Abstract
The increasing environmental concerns over and demand for sustainable solutions have driven research into the efficient recovery and reuse of waste materials, particularly from photocatalysts used in wastewater treatment. This study addresses the critical challenge posed by used PVDF/TiO2 photocatalysts, which, if not properly managed, contribute to environmental pollution. A practical recovery technique based on the phase inversion method was developed to separate and purify PVDF, TiO2, and the solvent NMP from used composite materials. This method led to recovery rates of 95.17% for PVDF, 98.35% for NMP, and 67% for TiO2. The recycled photocatalyst was then reassembled and tested for its ability to degrade methylene blue, a common dye pollutant. A Box–Behnken design was employed to optimize the treatment conditions, ensuring the process was both efficient and reproducible. The regenerated material achieved up to 99.6% efficiency in the first cycle, with a slight reduction in efficiency observed across subsequent cycles, maintaining over 92% efficiency after 10 cycles. These findings confirm that effective recovery of photocatalytic materials is not only feasible but also beneficial in reducing waste and maintaining high treatment performance.
1. Introduction
Population growth has led to an increased use of products, which in turn results in the release of large amounts of wastewater [1]. Seeking to address this issue, researchers have been drawn to photocatalytic methods in recent years as an effective and affordable approach to wastewater treatment. However, a significant challenge arises from the disposal of used photocatalysts. Improper disposal can introduce additional pollutants into the environment, limiting the benefits of wastewater treatment.
Recently, a wide range of photocatalytic materials have been proposed [2,3,4,5,6], including titanium dioxide [7], iron oxide [8], graphitic carbon nitride [9], bismuth oxide [10], and copper oxide [11]. Among these, TiO2 has dominated the field of wastewater treatment due to its favorable balance between treatment efficiency and economic feasibility [12]. However, the separation of TiO2 particles from the treated aqueous effluent remains a challenging task. To overcome this limitation, various immobilization techniques have been developed to enhance the stability and usability of TiO2 in photocatalytic systems [13]. One promising approach involves the use of PVDF/TiO2 composite photocatalysts (PTP), which have attracted a significant amount of attention for their efficiency in wastewater treatment. Numerous studies have demonstrated their remarkable performance in breaking down organic pollutants and improving water quality [14,15,16,17]. The process of fabricating PTP typically involves immobilizing TiO2 nanoparticles within a PVDF matrix, followed by a phase inversion process to create a stable, high-performance membrane [18]. This structure allows for enhanced photocatalytic activity, making it ideal for treating wastewater.
Despite the promising results, there is a notable gap in research regarding the disposal of used PTP. Few studies address the challenges associated with the saturation and disposal of these photocatalysts after they have completed their treatment function. For instance, Erusappan et al. [14] reported that mesoporous TiO2/PVDF composites achieved 84–100% color removal for synthetic dyes, yet no discussion was provided on the reuse or recycling of the spent photocatalytic materials. Similarly, Yin et al. [15] examined PVDF/TiO2 composites for organic dye degradation and found that the material maintained stable performance over five reuse cycles. However, the long-term recyclability and recovery strategy were not explored.
Moreover, when recovery is discussed, it is often limited to the extraction of just one or two components from the spent material [19,20,21,22]. Liang et al. [20] proposed a technique for recycling PVDF from waste membranes, successfully producing micropowders, but without addressing the recovery of other spent materials. In another case, Sun et al. [23] reported that damaged PVDF/TiO2 photocatalysts could be reprocessed by adding DMF solvent, effectively reforming the material with high photocatalytic efficiency. While these studies offer partial solutions, they fall short of addressing the comprehensive recovery and reuse of both PVDF and TiO2 from used photocatalysts. Therefore, a key issue that remains underexplored is the potential for reusing the recovered materials. Determining whether the recovered TiO2 and PVDF can be reintroduced into the process effectively is crucial for closing the loop in photocatalytic wastewater treatment, making it both sustainable and economically viable. The feasibility of this reuse will determine the long-term impact of PTP in environmental remediation, as it could reduce waste generation and the demand for new materials.
In this study, we divided our research into two main sections. The first section focuses on recovering the entire PTP composite material, while the second investigates the performance of recycled PTP in the treatment of methylene blue (MB). The recovery process involved several steps, including dissolution, centrifugation, filtration, and vacuum distillation. After recovery, the recycled materials were characterized using SEM-EDS, XRD, and AFM to assess their structural integrity. Subsequently, the recycled materials were reused to fabricate a new PTP composite. The recycled PTP was then tested for its ability and stability to treat methylene blue, which served as a model wastewater contaminant. Regarding the evaluation of the reuse process, the experimental design was guided by Response Surface Methodology (RSM), using parameters A, B, and C as independent variables and color removal efficiency as the response variable. This approach allowed for a comprehensive evaluation of the performance of recycled PTP in wastewater treatment and the factors influencing its effectiveness.
2. Materials and Methods
2.1. Experimental Procedure
All chemicals used in the experiments were of laboratory grade and used without further purification. Polyvinylidene fluoride (PVDF) was purchased domestically, while n-methyl-2-pyrrolidone (NMP) was purchased from Shimakyu, Japan. Titanium dioxide (TiO2) and ethyl alcohol (ethanol) were obtained from Sigma-Aldrich, Germany. Reverse osmosis (RO) water, sourced from a filtration system, was used for washing and rinsing all apparatuses.
First, the saturated PTP was washed with water three times to remove any residual pollutants on the surface that may have remained after the wastewater treatment process. The washed samples were then placed in a drying oven at 40 °C for use in further experiments. Next, the washed PTP samples were transferred to a heated stirring system with NMP as the solvent and maintained at 70 °C for 3 h to dissolve the PTP into a homogeneous mixture. Upon completion of this process, a significant amount of white powder was observed floating in the solution, which indicated that TiO2 was released from the PTP composites. The mixture was then subjected to centrifugation at 3000 rpm for 5 min to separate the TiO2 powder from the solution. The white powder settled at the bottom of the centrifuge tube. The remaining liquid was mixed with a large amount of ethanol to dissolve the NMP and facilitate the release of PVDF from the composites via the phase inversion method [20,24]. A vacuum aspirator was used to filter out the PVDF, which was then stored in a desiccator for 24 h to ensure complete evaporation of any remaining water. Finally, the NMP–ethanol solution was transferred to a vacuum rotary evaporator and heated at 50 °C for 20 min to separate the solvents completely.
PTP and R-PTP were fabricated by following a procedure similar to that described in a previous study, with detailed descriptions provided [25]. In summary, PVDF powder was dissolved in NMP at 70 °C in a 3:7 ratio to form 1.2 g of PVDF slurry. Afterward, TiO2 (at 4 wt.%) was gradually added to the mixture and stirred until it was completely dispersed. The mixture was then cooled in an ice-water bath for 3 h to form the reused PTP. The resulting samples were washed thoroughly with RO water to remove any excess solvent and then dried and stored in a light-protected environment for future use. Also, methylene blue was prepared in advance to conduct performance tests on the recycled composites. For the photocatalysis study, the prepared R-PTP was first immersed in synthetic MB solutions and placed in a custom dark chamber. It was then exposed to continuous UV-C light (4 W) for a predetermined duration. Afterward, the first R-PTP was washed with RO water, dried, and stored in a desiccator for subsequent cycling tests. All experiments were conducted at natural pH and room temperature. Figure 1 illustrates all the steps of the experiments.
Figure 1.
Illustration of recycling and reuse processes: 1. dissolution, 2. TiO2 centrifugation, 3. PVDF separation, 4. PVDF filtration, 5. solvent separation, 6. reproducing PTP, and 7. methylene blue removal.
2.2. Analytical Techniques
Scanning electron microscopy (SEM) is an essential analytical technique used to examine surface morphology and structural changes. Our morphological analysis was carried out using a Hitachi S3400 (Fukuoka, Japan). The instrument was operated with an emitted current of 66,000 nA, an accelerating voltage of 15 kV, and a working distance between the aperture and the specimen ranging from 7.6 to 7.7 mm. Additionally, energy-dispersive X-ray spectroscopy (EDS) was coupled with SEM to conduct elemental mapping and compositional analysis of the photocatalyst surfaces. This combination allowed for a detailed visualization of the distribution of key elements (such as C, N, O, F, and Ti) within both fresh and recycled PVDF/TiO2 composites, offering insight into the effectiveness of the recycling process and the homogeneity of the recovered materials. Furthermore, the X-ray diffraction patterns of the recycled materials were obtained using a Bruker D2 Phaser X-ray diffractometer (Billerica, MA, USA), operated at a voltage of 30 kV and a current of 10 mA, with a scanning angle range of 2θ from 20 to 80°.
Atomic force microscopy (AFM) was employed to analyze the surface topography and roughness of the recycled materials. This technique enables high-resolution imaging, allowing for a detailed examination of any changes in surface morphology after the recycling process. The AFM measurements were made using a multimode scanning probe microscope (Digital Instruments, Bresso, Italy), operated in tapping mode to prevent damage to the sample surfaces. The data collected from AFM were used to assess the integrity and uniformity of the recycled materials, ensuring their suitability for reuse.
To detect any residual contaminants and assess solvent purity, a UV-Vis spectrophotometer (ChromTech, Apple Valley, MN, USA) was used to record the absorbance spectra of recycled NMP and ethanol in the 200–400 nm range. Additionally, this instrument was utilized to observe the characteristic absorbance peaks of MB and evaluate photocatalytic performance and efficiency retention after R-PTP had undergone reuse cycles.
The color index of the treated and untreated solutions was measured using a Hach DR1900 spectrophotometer (Hach, Ames, IA, USA). Measurements were taken at the characteristic absorption peaks of methylene blue, allowing for accurate assessment of color removal across multiple treatment cycles.
2.3. Box–Behnken Model for Color Removal
A Box–Behnken design within the framework of response surface methodology is recommended for its foundation in randomization and its efficiency in exploring the interactions between variables [26,27]. This design allows one to investigate three levels of each factor and is structured in such a way that it can fit a quadratic model, making it highly suitable for capturing the non-linear relationships often present in experimental data. BBD is particularly advantageous due to its high efficiency and cost-effectiveness, requiring fewer experimental runs compared to other designs such as the central composite design [28]. Furthermore, its versatility allows for the optimization of all points within the experimental cube, providing comprehensive solutions for a wide range of conditions. As a result, BBD is increasingly recognized as an effective statistical tool for designing and optimizing research into industrial effluent treatment [29,30,31]. The total number of trials was calculated using the following equation [32]:
where k represents the number of factors, and P denotes the number of center points included in the design. The independent variables and factorial levels are summarized in Table 1. A second-order polynomial equation presenting the influence of variables on the response is described below:
N = 2k(k − 1) + P
Y = β0 + ∑βiXi + ∑βiiXi2 + ∑βijXiXj + ε
Table 1.
Input variables with the values of low, medium, and high levels.
In this study, the three independent variables are denoted as A, B, and C. Therefore, the proposed equation can be expressed as
where Y is the response variable (color removal efficiency), A represents the reaction time, B is the methylene blue concentration, and C denotes the pollutant volume. The coefficient β represents the estimated effects of the factors and their interactions, while ε represents the random error. This equation provides a mathematical framework for predicting a response based on varying levels of the independent variables.
Y = β0 + β1A + β2B + β3C + β12AB + β13AC + β23BC + β11A2 + β22B2 + β33C2 + ε
3. Results and Discussion
3.1. Formation and Proposed Recovery Method
In recent years, TiO2/PVDF composites have attracted a significant amount of attention in the field of photocatalysis. These composites not only offer enhanced effectiveness compared to conventional photocatalysts but also address many of the existing challenges faced by traditional materials [33]. Despite these advantages, improper disposal of used PTP can pose serious environmental problems. In general, PTP is formed through a series of mechanisms: (1) the formation of the polymer PVDF, (2) the immobilization of TiO2 into the PVDF matrix, and (3) the casting and development of the photocatalysts via a phase inversion process. Based on this formation mechanism, a recovery method can be proposed, involving (1) dissolution of the PTP into a liquid phase, (2) the release and separation of TiO2, and (3) the extraction of PVDF powder from the solvents. Sun et al. [23] reported on the fabrication of PVDF/TiO2 composite membranes through a phase inversion process, focusing on their application in photocatalysis. The study revealed that these photocatalytic composites effectively removed color from a simulated dyeing effluent, showcasing their potential for wastewater treatment. The phase inversion process allowed for a uniform distribution of TiO2 particles within the PVDF matrix, which enhanced the photocatalytic activity of the membranes. Moreover, the research demonstrated that these composites could be easily recycled through several simple steps, including washing and drying, without a significant loss of photocatalytic efficiency. This reusability is crucial for practical applications, as it reduces the overall cost and environmental impact of the treatment process. The study also explored the stability of photocatalytic activity over multiple cycles, confirming that the composites retained their effectiveness after several uses, which is a significant advantage over conventional photocatalysts.
Building upon previous methodologies, in this study, we propose a novel strategy for the complete recovery of spent PVDF/TiO2 photocatalytic materials from wastewater treatment processes. Also, we evaluate the performance of the recycled PTP in degrading synthetic methylene blue. This integrated approach not only advances the practical reuse of photocatalysts but also introduces a fresh direction in the field of photocatalysis by emphasizing both material recovery and sustained treatment efficiency.
3.2. Recycled Material Characterization
The SEM analysis of the recycled TiO2 and PVDF samples provides insightful details about their morphologies post-recovery. The uniform distribution and even surface morphology of the recycled TiO2 particles, as shown in Figure 2a, indicate that the centrifugation process effectively separated the TiO2 from the composite matrix. This uniformity is crucial as it suggests that the structural integrity of TiO2 was maintained throughout the recovery process, preserving its photocatalytic properties. The similarity of these results to previously reported TiO2 morphologies reinforces the effectiveness of the recovery process used in this study [34].
Figure 2.
SEM images of (a) recycled TiO2, (b) recycled PVDF, and (c) reproduced PTP.
In contrast, the PVDF samples displayed a markedly different morphology (Figure 2b). The presence of pores of varying sizes and uneven patches in the recycled PVDF can be attributed to the dense crosslinking that occurs during the recovery process [23]. This dense crosslinking alters the surface structure, potentially impacting a material’s porosity and surface area. Such changes can influence a material’s performance when reused in composite formation, as the structural integrity of the PVDF might differ from its original state [35]. The observed morphological differences between the recycled TiO2 and PVDF underscore the varying challenges in recovering each material. While TiO2 recovery appeared to maintain high structural integrity, the PVDF exhibited more significant changes, which may reflect the different physical and chemical interactions each material engages in during the recovery process. These findings highlight the complexity of the recovery process and the need for tailored approaches to ensure the effective separation and integrity of each component in composite materials.
Figure 2c illustrates that the morphology of the recycled PTP is relatively smooth, with visible agglomeration of TiO2 particles within the PVDF matrix. This observation aligns with findings from previous studies, which indicated that at high concentrations, TiO2 particles tend to aggregate and intercalate into the pores of the PVDF matrix [36,37]. This aggregation can enhance the entrapment of TiO2, leading to a more uniform distribution of photocatalytic sites throughout the composite material. The entrapment of TiO2 particles within the PVDF matrix is crucial for maintaining the structural integrity of the composite during the photocatalytic process. It ensures that the TiO2 remains embedded in the matrix, reducing the likelihood of leaching into the treated water, which could otherwise diminish the efficiency of the photocatalyst and pose environmental risks. Additionally, an even distribution of TiO2 particles across the PVDF matrix can improve the overall photocatalytic performance by providing a consistent and extensive surface area for interaction with pollutants. This enhances the degradation rate of contaminants, making the composite more effective in treating wastewater.
To better illustrate the distribution of the components within the composite, SEM-EDS data pertaining to the fresh PTP and recycled PTP are presented in Figure 3 and Figure 4, respectively. The morphology of the fresh sample appears more uniform than that of the recycled one (Figure 3a and Figure 4a), with fewer signs of localized agglomeration. This can be attributed to the superior structural integrity of brand-new materials compared to their recycled counterparts. The general elemental distributions for both composites show similar patterns across the matrix (Figure 3b and Figure 4b). However, the EDS mapping of each element reveals noticeable differences, particularly in the recycled sample, where elements such as C, N, and O display uneven dispersion and localized clustering. This observation can be explained by several phenomena that occur during the recycling process. The irregular distribution of carbon is likely due to the re-crystallization behavior of PVDF during the phase inversion step. When PVDF is re-dissolved and then re-precipitated, the polymer chains may aggregate non-uniformly, forming localized, carbon-rich domains [38]. The clustering of nitrogen is predominantly associated with residual NMP solvent that may be trapped in the PVDF matrix, especially within microvoids or interstitial regions, even after solvent recovery steps. Such retention is a common challenge in polymer recycling, where solvent entrapment alters elemental distributions [39]. The oxygen agglomeration is due to the partial re-agglomeration of TiO2 nanoparticles during the reformation process. TiO2 has a strong tendency to form clusters if not well-dispersed, particularly when reintroduced into a polymeric matrix. Additionally, surface oxidation of PVDF, which may occur during the thermal or chemical treatment steps, can further increase the localized oxygen signal [40]. These effects collectively contribute to the observed heterogeneity in the recycled composite, emphasizing the importance of optimizing processing conditions, such as in regard to solvent removal, dispersion techniques, and thermal treatment, to enhance the structural uniformity and performance of the recycled photocatalysts.
Figure 3.
SEM-EDS of fresh PTP with (a) morphological image, (b) general distribution, and (c) elemental distribution (Magnification: 2000×, Voltage: 16 kV, Working Distance: 10.3 mm).
Figure 4.
SEM-EDS of recycled PTP with (a) morphological image, (b) general distribution, and (c) elemental distribution (Magnification: 2000×, Voltage: 16 kV, Working Distance: 10.2 mm).
To investigate the crystal structures of the recycled materials, an XRD analysis was performed, and the results are shown in Figure 5. The XRD patterns reveal high-intensity diffraction peaks of the recycled TiO2 at 2θ values of around 25.5°, 27.6°, 38°, and 48.3°, corresponding to the (101), (110), (004), and (200) planes, respectively. These peaks are indicative of the anatase and rutile phases of TiO2, confirming that the crystalline structure of TiO2 was preserved during the recovery process. These results are consistent with the findings of previous studies, where the typical XRD pattern of TiO2 was reported to exhibit distinct peaks at specific 2θ angles. The distinct peaks confirm the successful recovery and retention of TiO2’s crystalline structure after the recycling process [14].
Figure 5.
XRD pattern of recycled materials including TiO2, PVDF, and PTP composite.
In contrast, the major diffraction peaks of the recycled PVDF were observed at 2θ values of around 18.6°, 20.7°, and 25.7°, corresponding to the (020), (110), and (021) planes, respectively. These peaks are characteristic of both the α and γ phases of PVDF, suggesting that the polymer maintained its crystalline structure post-recovery [41]. However, at the 2θ angle of 25.7°, an abnormally high-intensity peak was observed. This can be attributed to the overlap of diffraction peaks from both PVDF and residual TiO2 particles that remained trapped in the PVDF matrix during the recovery process. This interpretation aligns well with the SEM images, which show that some TiO2 agglomerates are still embedded within the PVDF structure. The residual TiO2 likely contributes to the enhanced intensity of this peak, reflecting the incomplete separation of TiO2 from the composite, which could slightly affect the purity of the recycled materials [42].
For the recycled PTP composite, the XRD patterns clearly show the diffraction peaks of both TiO2 and PVDF. Interestingly, the intensity of the PVDF-related peaks appears higher than that of the TiO2 peaks. This suggests that TiO2 is entrapped within the PVDF matrix, with PVDF crystals partially covering the TiO2 crystals. This encapsulation could be due to the strong interactions between the PVDF and TiO2 during the phase inversion process, resulting in a composite wherein the PVDF matrix dominates the surface, thereby affecting the intensity of the TiO2 peaks in the XRD pattern.
To compare the surface topography of fresh PTP and R-PTP, AFM analysis was conducted for these samples, as shown in Figure 6. The AFM results reveal that the surface of the recycled PTP is slightly rougher than that of the fresh PTP. This increased roughness can be attributed to the fact that the purity of the recycled materials is not as high as that of the fresh chemicals. Imperfections or residual impurities in the recycled materials likely contribute to the uneven surface, resulting in a less smooth texture compared to that of the fresh PTP. Previous studies have demonstrated that the roughness observed in AFM results is relatively consistent with this study, even when compared with recycled PTP [43,44]. This suggests that the R-PTP produced in this study can maintain the quality necessary for TiO2-modified PVDF.
Figure 6.
AFM images of (a) fresh PTP and (b) R-PTP.
Figure 7 presents the UV-Vis spectra of recycled NMP and ethanol over the wavelength ranges of 240–340 nm and 200–400 nm, respectively. The spectrum for recycled ethanol shows a shape similar to that of the pure ethanol spectrum, with a slight variation indicating the presence of very few impurities or a minor difference in concentration between the pure and recycled ethanol. However, this variation falls within an acceptable range for laboratory conditions. In the case of recycled NMP, the spectrum aligns closely with that of standard NMP. The variation in absorbance intensity between 300 and 400 nm is likely due to differences in the concentrations of the recycled and standard solutions rather than any significant impurity affecting the purity of the recycled NMP.
Figure 7.
UV-Vis spectra of recycled (a) ethanol and (b) NMP.
3.3. Recovery Calculation
To calculate the recovery rates of the recycled materials, mass recovery calculations were conducted based on the initial mass of the materials used to create the PTP and the mass recovered after the recycling process, according to the following equation:
where R is the recovery rate (%), MR represents the mass of the recycled materials (g), and M represents the initial mass of the materials (g). The calculation was performed using data from at least three experiments to ensure there was high stability and reliability. Figure 8 displays the calculated values, including the mass before and after recovery.
Figure 8.
Recovery percentages of recycled PVDF, NMP, TiO2, and ethanol.
The results indicate that the recovery rates for PVDF, NMP, TiO2, and ethanol were approximately 95.17, 98.35, 67, and 87.5%, respectively. Overall, the recovery percentages are relatively high, except for that for TiO2. The lower recovery rate for TiO2 aligns with the SEM and XRD results, which confirmed that some TiO2 particles remained entrapped within the recycled PVDF matrix, thus reducing recovery efficiency. Similarly, the recovery rate of ethanol was slightly below 90%, likely due to losses during the vacuum rotary evaporation process. This suggests that while the overall recovery is efficient, certain steps in the process may require optimization to minimize material loss.
3.4. Reuse Investigation
3.4.1. Methylene Blue Removal Model
The Box–Behnken design was applied to the recycled PTP to assess its effectiveness in treating methylene blue in aqueous solutions, and all raw data were presented in Table S1. To define the cube boundaries of the BBD model, preliminary experiments were conducted. Consequently, the practical experimental conditions were selected, including reaction times ranging from 15 to 60 min, methylene blue concentrations between 5 and 10 ppm, and pollutant volumes from 5 to 10 mL. Table 2 presents the fit summary of the model, showing that the results of the investigation align well with a quadratic model, evidenced by an adjusted R2 value of 0.9640 and a predicted R2 value of 0.8482.
Table 2.
Fit summary for the proposed model.
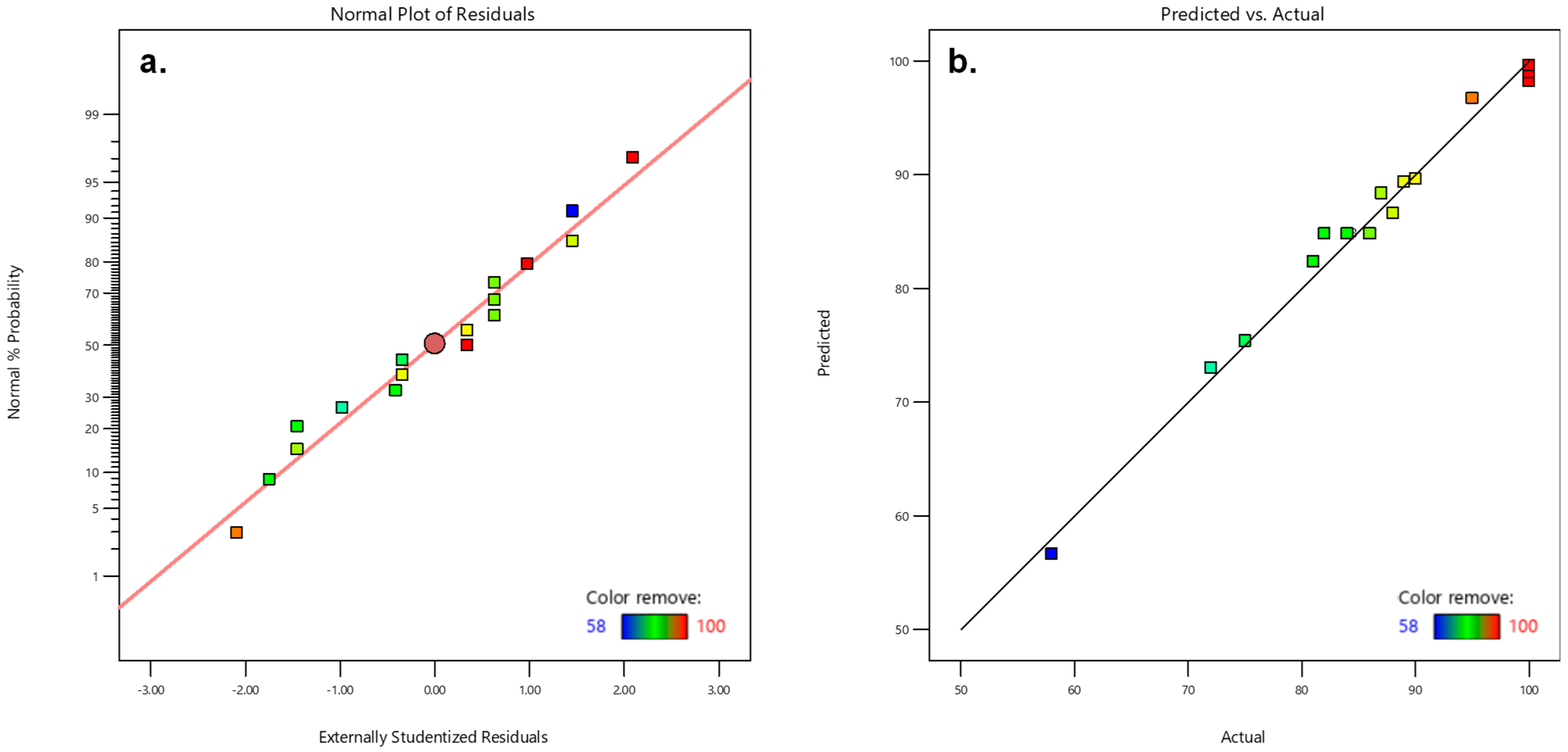
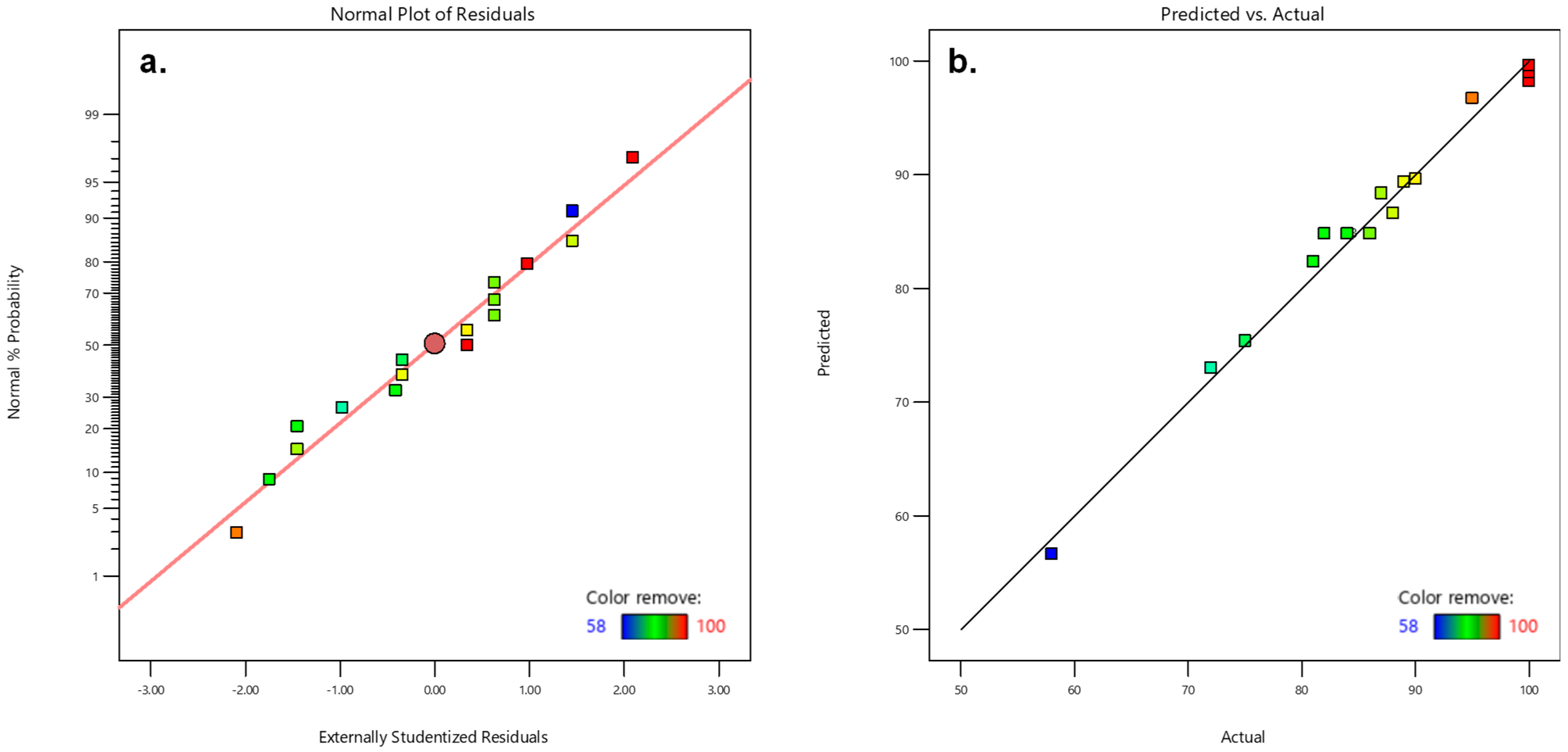
The ANOVA data, displayed in Table 3, were used to assess the model’s adequacy and significance. The model’s F-value of 48.61 indicates a highly significant fit, with only a 0.01% chance that such a large F-value could occur due to noise. Most of the p-values were less than 0.05, indicating that most of the coded factors were significant. Specifically, the factors corresponding to reaction time (A), methylene blue concentration (B), and methylene blue volume (C) were significant, except for the interaction term AC and the quadratic term B2. Also, the p-value of less than 0.05 for the lack of fit in the proposed model indicates that the lack of fit is not significant. Additionally, the coefficient of variance reported in the ANOVA table further supports the model’s reliability and adequacy [32]. These results confirm that the proposed quadratic model is robust and provides a reliable framework for optimizing the treatment of methylene blue using R-PTP [45]. Additionally, the normal probability plot of residuals was examined to assess the fit of the quadratic model [46]. As shown in Figure 9a, the residuals lie close to the reference line, indicating an approximate normal distribution. In Figure 9b, the predicted-versus-observed removal efficiencies align along a 45° line, which confirms that the prediction errors are centered around zero. These diagnostics validate the model’s adequacy for describing the methylene blue removal system.
Table 3.
ANOVA summary.
Figure 9.
Diagnostic plots of MB removal model: (a) normal plot and (b) predicted vs. actual.
In this study, the mutual interactions between time and concentration, as well as between concentration and volume, were observed to have a significant impact on the response variable. Conversely, the interaction between time and volume appears to have had a negligible impact on the response. The quadratic equation of the response variable, incorporating the independent variables, was defined as follows:
Y = 84.80 + 6.13A − 6.87B − 6C + 5.75AB + 1AC − 9BC + 8.47A2 − 1.53B2 − 4.77C2
To illustrate the mutual interaction of independent variables with respect to the response, 3D surface graphs are presented in Figure 10. Only interactions with p-values less than 0.05 are displayed, specifically the interactions between time and methylene blue concentration (AB) and between concentration and treated volume (BC). Figure 10a highlights the significant interaction between reaction time and methylene blue concentration with respect to color removal efficiency. At a constant treatment volume of 7.5 mL, the reaction time range of 15 to 60 min proved to be enough for the effective treatment of methylene blue concentrations ranging from 5 to 10 ppm. This demonstrates that extending the reaction time improves the treatment performance for higher concentrations of methylene blue. Figure 10b depicts the interaction between treated volume and methylene blue concentration. The color removal efficiency remains high within the range of 5–10 ppm methylene blue and 5–9 mL of treated volume, with a constant reaction time of 37.5 min.
Figure 10.
3D surface plots for color removal model with the interaction of (a) MB concentration–reaction time and (b) volume of MB–MB concentration.
Under the optimized conditions, the R-PTP achieved 99.6% removal of methylene blue at a reaction time of 60 min, a methylene blue concentration of 7.5 ppm, and a treated volume of 5 mL, with a desirability value of 1. The optimized conditions were validated through triplicate experiments, yielding a color removal efficiency of 99.6% (±0.2%), thereby confirming the accuracy of the proposed model’s predictions. The findings from the Box–Behnken design model confirm that the R-PTP meets the criteria for an effective photocatalyst in methylene blue treatment, showcasing its high efficiency and reliability under the tested conditions.
3.4.2. Stability Evaluation
To investigate the reusability of R-PTP, 10 treatment cycles were conducted under optimized conditions. Figure 11 presents the UV-Vis spectra of a 7.5 ppm methylene blue solution and the treated samples from the 1st to the 10th cycles. In the first cycle, the characteristic peaks of methylene blue around 235 nm and 620 nm were significantly degraded. From the second cycle onwards, the degradation appeared to slightly decrease but remained stable up to the 10th cycle. This trend can be explained by the fact that the freshly prepared R-PTP had a cleaner surface, which allowed for optimal photocatalytic performance during the initial cycle. However, starting from the second cycle, the surface of the composite gradually started to become saturated, leading to a slight reduction in performance, which then stabilized in the following cycles. Overall, color removal efficiency remained consistently high, ranging from 92.3% to 99.6% across all 10 cycles. This stability is attributed to the mutual support and synergistic interaction between TiO2 and the PVDF matrix. Tian et al. [17] also reported that PVDF@TiO2 hybrid membranes maintained a methylene blue degradation efficiency above 90% even after eight treatment cycles, further supporting the durability and reusability of PVDF-based photocatalytic systems under repeated operational conditions. This consistency highlights the potential of such composites for use in long-term applications in wastewater treatment.
Figure 11.
UV-vis spectra of treated MB with R-PTP within 10 cycles.
3.4.3. Removal Mechanisms
The PVDF/TiO2 photocatalysts’ methylene blue removal mechanism involves several steps, leveraging the photocatalytic properties of TiO2 and the structural support provided by PVDF. When the PVDF/TiO2 composite is exposed to UV light, TiO2 absorbs the photons. This energy excites electrons from the valence band to the conduction band of TiO2, creating electron–hole pairs (e−/h+). The excited electrons in the conduction band reduce oxygen molecules (O2) dissolved in the solution and thus form superoxide radicals (O2−•). Simultaneously, the holes in the valence band oxidize water (H2O) or hydroxide ions (OH−) to generate hydroxyl radicals (•OH). These reactive oxygen species, such as •OH and O2−•, are highly reactive and attack the methylene blue molecules, breaking them down into smaller, less harmful molecules through a series of oxidation and reduction reactions [47,48,49]. PVDF plays a crucial role by serving as a support matrix for TiO2, immobilizing the TiO2 particles and preventing their aggregation. The porous structure of PVDF enhances the surface area and allows better interaction between TiO2 and the dye molecules [14,50]. It also facilitates the recovery and reuse of the photocatalyst by providing mechanical stability and facilitating ease of handling. After the photocatalytic reaction, the PVDF/TiO2 composite can be separated from the treated solution. It can be washed, dried, and reused for multiple cycles of methylene blue removal, maintaining its photocatalytic activity with minimal loss of efficiency. These efficient recovery and reusability characteristics make PVDF/TiO2 composites a practical solution for wastewater treatment applications.
3.5. Summary and Comparison
In this study, a novel method was developed to fully recover and reuse the spent components of PVDF/TiO2 photocatalysts, including PVDF, TiO2, and the solvent NMP. The recycled photocatalyst demonstrated consistent structural characteristics and stable performance in degrading methylene blue over 10 reuse cycles. These results highlight the feasibility of maintaining photocatalytic activity after recovery. More importantly, this study offers a sustainable approach to closing the loop in wastewater treatment by minimizing waste generation and promoting the reuse of functional materials.
The comparative data summarized in Table 4 underscore the uniqueness and comprehensive nature of the recycling approach developed in this study. Among the surveyed photocatalyst systems, the PVDF/TiO2 composite analyzed in this work demonstrates the rare ability to allow the successful and separate recovery of all primary components, such as PVDF polymer, TiO2 nanoparticles, and organic solvents, through a phase inversion technique. In contrast, most previously reported methods only achieve partial recovery. For instance, solvent-assisted regeneration typically allows simultaneous recovery of PVDF and TiO2 but lacks the ability to separate components, which can affect material purity and long-term performance. Similarly, magnetic separation or chemical cleaning approaches, such as those applied to Fe3O4/TiO2 and Bi2WO6/MIL-53(Al)/PVDF composites, tend to focus on the regeneration of a single component or the whole composite without allowing flexibility for selective reuse. Notably, the recycled materials in this work retained high functional performance, with the reused PTP membrane achieving over 92% methylene blue removal efficiency, outperforming most previously reported systems in both efficiency and long-term stability.
Table 4.
Comparative analysis of this study with other related works on photocatalyst recycling.
4. Conclusions
In conclusion, this work provides an integrated recycling strategy for PVDF/TiO2 photocatalysts that successfully reclaimed PVDF (95.17%) and the solvent NMP (98.35%), achieving a more modest 67% recovery of TiO2. SEM-EDS, XRD, and AFM analyses confirmed that the recycled materials largely retained their original morphology and crystallinity, and UV–Vis spectroscopy verified that the recovered solvents met laboratory-grade purity standards. Under Box–Behnken-optimized conditions, the regenerated photocatalyst achieved a 99.6% removal of methylene blue and sustained 92.3–99.6% degradation efficiency over ten consecutive cycles under optimized conditions. Although these results highlight the feasibility of closing the loop on spent photocatalyst materials, the lower recovery and purity of TiO2, due in part to residual PVDF entrapment, indicate that separation efficacy remains a key challenge. Enhancements such as ultrasonication-assisted dispersion or density-gradient centrifugation may allow more effective liberation of TiO2 nanoparticles from the polymer matrix. By refining these recovery steps, this approach can move closer to full material circularity, reinforcing its promise for sustainable, high-performance wastewater treatment.
Supplementary Materials
The following supporting information can be downloaded at: https://www.mdpi.com/article/10.3390/pr13051392/s1, Table S1. A series of experiments for MB treatment using R-PTP.
Author Contributions
Conceptualization, H.-J.L. and V.N.D.N.; Methodology, H.-J.L. and V.N.D.N.; Software, D.H.M.N.; Validation, V.N.D.N., H.N.Q.P. and T.-T.N.; Formal Analysis, H.N.Q.P.; Investigation, V.N.D.N.; Resources, T.-T.N. and D.H.M.N.; Data Curation, V.N.D.N. and H.N.Q.P.; Writing—Original Draft Preparation, V.N.D.N.; Writing—Review and Editing, H.-J.L. and V.N.D.N.; Visualization, T.-T.N. and D.H.M.N.; Supervision, H.-J.L.; Project Administration, H.-J.L. All authors have read and agreed to the published version of the manuscript.
Funding
This research received no external funding.
Data Availability Statement
The original contributions presented in this study are included in the article. Further inquiries can be directed to the corresponding author.
Acknowledgments
Sincere gratitude is extended to the Department of Chemical Engineering and the Green Energy Center at Feng Chia University, Taiwan, for their technical support and provision of apparatus and analytical instruments.
Conflicts of Interest
The authors declare no conflicts of interest.
References
- Kesari, K.K.; Soni, R.; Jamal, Q.M.S.; Tripathi, P.; Lal, J.A.; Jha, N.K.; Siddiqui, M.H.; Kumar, P.; Tripathi, V.; Ruokolainen, J. Wastewater Treatment and Reuse: A Review of its Applications and Health Implications. Water Air Soil Pollut. 2021, 232, 208. [Google Scholar] [CrossRef]
- Mohadesi, M.; Sanavi Fard, M.; Shokri, A. The application of modified nano-TiO2 photocatalyst for wastewater treatment: A review. Int. J. Environ. Anal. Chem. 2024, 104, 2571–2592. [Google Scholar] [CrossRef]
- Nasir, A.M.; Jaafar, J.; Aziz, F.; Yusof, N.; Salleh, W.N.W.; Ismail, A.F.; Aziz, M. A review on floating nanocomposite photocatalyst: Fabrication and applications for wastewater treatment. J. Water Process Eng. 2020, 36, 101300. [Google Scholar] [CrossRef]
- Balakrishnan, A.; Appunni, S.; Chinthala, M.; Vo, D.-V.N. Biopolymer-supported TiO2 as a sustainable photocatalyst for wastewater treatment: A review. Environ. Chem. Lett. 2022, 20, 3071–3098. [Google Scholar] [CrossRef]
- Kanakaraju, D.; anak Kutiang, F.D.; Lim, Y.C.; Goh, P.S. Recent progress of Ag/TiO2 photocatalyst for wastewater treatment: Doping, co-doping, and green materials functionalization. Appl. Mater. Today 2022, 27, 101500. [Google Scholar] [CrossRef]
- Ali, H.M.; Arabpour Roghabadi, F.; Ahmadi, V. Solid-supported photocatalysts for wastewater treatment: Supports contribution in the photocatalysis process. Sol. Energy 2023, 255, 99–125. [Google Scholar] [CrossRef]
- You, J.; Guo, Y.; Guo, R.; Liu, X. A review of visible light-active photocatalysts for water disinfection: Features and prospects. Chem. Eng. J. 2019, 373, 624–641. [Google Scholar] [CrossRef]
- Liu, D.; Huang, Z.; Li, M.; Li, X.; Sun, P.; Zhou, L. Construction of magnetic bifunctional β-cyclodextrin nanocomposites for adsorption and degradation of persistent organic pollutants. Carbohydr. Polym. 2020, 230, 115564. [Google Scholar] [CrossRef] [PubMed]
- Jang, E.; Kim, D.W.; Hong, S.H.; Park, Y.M.; Park, T.J. Visible light-driven g-C3N4@ZnO heterojunction photocatalyst synthesized via atomic layer deposition with a specially designed rotary reactor. Appl. Surf. Sci. 2019, 487, 206–210. [Google Scholar] [CrossRef]
- Meng, L.; Xu, W.; Zhang, Q.; Yang, T.; Shi, S. Study of nanostructural bismuth oxide films prepared by radio frequency reactive magnetron sputtering. Appl. Surf. Sci. 2019, 472, 165–171. [Google Scholar] [CrossRef]
- Sawicka-Chudy, P.; Wisz, G.; Sibiński, M.; Starowicz, Z.; Głowa, Ł.; Szczerba, M.; Cholewa, M. Performance improvement of TiO2/CuO by increasing oxygen flow rates and substrate temperature using DC reactive magnetron sputtering method. Optik 2020, 206, 164297. [Google Scholar] [CrossRef]
- Carp, O.; Huisman, C.L.; Reller, A. Photoinduced reactivity of titanium dioxide. Prog. Solid State Chem. 2004, 32, 33–177. [Google Scholar] [CrossRef]
- Zakria, H.S.; Othman, M.H.D.; Kamaludin, R.; Sheikh Abdul Kadir, S.H.; Kurniawan, T.A.; Jilani, A. Immobilization techniques of a photocatalyst into and onto a polymer membrane for photocatalytic activity. RSC Adv. 2021, 11, 6985–7014. [Google Scholar] [CrossRef] [PubMed]
- Erusappan, E.; Thiripuranthagan, S.; Radhakrishnan, R.; Durai, M.; Kumaravel, S.; Vembuli, T.; Kaleekkal, N.J. Fabrication of mesoporous TiO2/PVDF photocatalytic membranes for efficient photocatalytic degradation of synthetic dyes. J. Environ. Chem. Eng. 2021, 9, 105776. [Google Scholar] [CrossRef]
- Yin, J.; Roso, M.; Boaretti, C.; Lorenzetti, A.; Martucci, A.; Modesti, M. PVDF-TiO2 core-shell fibrous membranes by microwave-hydrothermal method: Preparation, characterization, and photocatalytic activity. J. Environ. Chem. Eng. 2021, 9, 106250. [Google Scholar] [CrossRef]
- Zheng, X.; Liu, Y.; Liu, X.; Li, Q.; Zheng, Y. A novel PVDF-TiO2@g-C3N4 composite electrospun fiber for efficient photocatalytic degradation of tetracycline under visible light irradiation. Ecotoxicol. Environ. Saf. 2021, 210, 111866. [Google Scholar] [CrossRef] [PubMed]
- Tian, Z.; Song, Y.; Zhang, J.; Qin, S.; Yang, Y.; Li, J.; Cui, Z. In situ growth of TiO2 and its immobilization on PVDF films for the adsorption and photocatalytic degradation of dye. Int. J. Hydrogen Energy 2024, 51, 837–847. [Google Scholar] [CrossRef]
- Zhang, J.; Zheng, M.; Zhou, Y.; Yang, L.; Zhang, Y.; Wu, Z.; Liu, G.; Zheng, J. Preparation of Nano-TiO2-Modified PVDF Membranes with Enhanced Antifouling Behaviors via Phase Inversion: Implications of Nanoparticle Dispersion Status in Casting Solutions. Membranes 2022, 12, 386. [Google Scholar] [CrossRef]
- Tian, C.; Chen, J.; Bai, Z.; Wang, X.; Dai, R.; Wang, Z. Recycling of end-of-life polymeric membranes for water treatment: Closing the loop. J. Membr. Sci. Lett. 2023, 3, 100063. [Google Scholar] [CrossRef]
- Liang, L.; Ma, Y.; Ji, X.; Ma, J.; Zhang, W.; Song, L. The sustainable recycling of polyvinylidene fluoride membrane for tribological application. J. Appl. Polym. Sci. 2023, 140, e54287. [Google Scholar] [CrossRef]
- Patel, R.V.; Raj, G.B.; Chaubey, S.; Yadav, A. Investigation on the feasibility of recycled polyvinylidene difluoride polymer from used membranes for removal of methylene blue: Experimental and DFT studies. Water Sci. Technol. 2022, 86, 194–210. [Google Scholar] [CrossRef]
- Bilici, Z.; Bouchareb, R.; Sacak, T.; Yatmaz, H.C.; Dizge, N. Recycling of TiO2-containing waste and utilization by photocatalytic degradation of a reactive dye solution. Water Sci. Technol. 2020, 83, 1242–1249. [Google Scholar] [CrossRef] [PubMed]
- Sun, X.-x.; Liu, G.; Li, R.; Meng, Y.; Wu, J. Polyporous PVDF/TiO2 photocatalytic composites for photocatalyst fixation, recycle, and repair. J. Am. Ceram. Soc. 2021, 104, 6290–6298. [Google Scholar] [CrossRef]
- Wang, X.; Xiao, C.; Liu, H.; Huang, Q.; Chen, M. Fabrication and properties of recycled poly (vinylidene fluoride) (PVDF) hollow fiber membranes. Desalin. Water Treat. 2017, 87, 82–90. [Google Scholar] [CrossRef]
- Phan, H.N.Q.; Leu, H.J.; Nguyen, V.N.D. Unleashing the potential of electrooxidation and PVDF/TiO2 photocatalysis for textile dye wastewater treatment. Int. J. Environ. Sci. Technol. 2024. [Google Scholar] [CrossRef]
- Phan, H.N.Q.; Leu, H.-J.; Nguyen, V.N.D. Enhancing pharmaceutical wastewater treatment: Ozone-assisted electrooxidation and precision optimization via response surface methodology. J. Water Process Eng. 2024, 58, 104782. [Google Scholar] [CrossRef]
- Ferreira, N.; Viana, T.; Henriques, B.; Tavares, D.S.; Jacinto, J.; Colónia, J.; Pinto, J.; Pereira, E. Application of response surface methodology and box–behnken design for the optimization of mercury removal by Ulva sp. J. Hazard. Mater. 2023, 445, 130405. [Google Scholar] [CrossRef]
- Narukulla, S.; Bogadi, S.; Tallapaneni, V.; Sanapalli, B.K.R.; Sanju, S.; Khan, A.A.; Abdul, M.; Hasi Rani, B.; Tonmoy, K.M.; Veera Venkata, S.R.K.; et al. Comparative study between the Full Factorial, Box–Behnken, and Central Composite Designs in the optimization of metronidazole immediate release tablet. Microchem. J. 2024, 207, 111875. [Google Scholar] [CrossRef]
- Alturki, S.F.; Suwaed, M.S.; Ghareeb, A.; AlJaberi, F.Y.; Hassan, A.A. Statistical analysis and optimization of mechanical-chemical electro-Fenton for organic contaminant degradation in refinery wastewater. J. Eng. Res. 2024. [Google Scholar] [CrossRef]
- Latif, A.; Maqbool, A.; Zhou, R.; Arsalan, M.; Sun, K.; Si, Y. Optimized degradation of bisphenol A by immobilized laccase from Trametes versicolor using Box-Behnken design (BBD) and artificial neural network (ANN). J. Environ. Chem. Eng. 2022, 10, 107331. [Google Scholar] [CrossRef]
- Kaur, M.; Noonia, A.; Dogra, A.; Singh Thind, P. Optimising the parameters affecting degradation of Cypermethrin in an aqueous solution using TiO2/H2O2 mediated UV photocatalysis: RSM-BBD, kinetics, isotherms and reusability. Int. J. Environ. Anal. Chem. 2023, 103, 1153–1167. [Google Scholar] [CrossRef]
- Asfaha, Y.G.; Zewge, F.; Yohannes, T.; Kebede, S. Application of hybrid electrocoagulation and electrooxidation process for treatment of wastewater from the cotton textile industry. Chemosphere 2022, 302, 134706. [Google Scholar] [CrossRef] [PubMed]
- Lou, L.; Wang, J.; Lee, Y.J.; Ramkumar, S.S. Visible Light Photocatalytic Functional TiO2/PVDF Nanofibers for Dye Pollutant Degradation. Part. Part. Syst. Charact. 2019, 36, 1900091. [Google Scholar] [CrossRef]
- Vembuli, T.; Thiripuranthagan, S.; Kumaravel, S. Enhanced removal of hazardous organic contaminants with advanced visible light-active F-doped TiO2/rGO/PVDF photocatalytic membranes. J. Alloys Compd. 2024, 1005, 175997. [Google Scholar] [CrossRef]
- Wang, A.; Chen, C.; Liao, L.; Qian, J.; Yuan, F.-G.; Zhang, N. Enhanced β-Phase in Direct Ink Writing PVDF Thin Films by Intercalation of Graphene. J. Inorg. Organomet. Polym. Mater. 2020, 30, 1497–1502. [Google Scholar] [CrossRef]
- Shi, F.; Ma, Y.; Ma, J.; Wang, P.; Sun, W. Preparation and characterization of PVDF/TiO2 hybrid membranes with different dosage of nano-TiO2. J. Membr. Sci. 2012, 389, 522–531. [Google Scholar] [CrossRef]
- Kulkarni, N.D.; Kumari, P. Development of highly flexible PVDF-TiO2 nanocomposites for piezoelectric nanogenerator applications. Mater. Res. Bull. 2023, 157, 112039. [Google Scholar] [CrossRef]
- Park, A.; Jung, J.-Y.; Kim, S.; Kim, W.; Seo, M.Y.; Kim, S.; Kim, Y.J.; Lee, W.B. Crystallization behavior of polyvinylidene fluoride (PVDF) in NMP/DMF solvents: A molecular dynamics study. RSC Adv. 2023, 13, 12917–12924. [Google Scholar] [CrossRef]
- Haponska, M.; Trojanowska, A.; Nogalska, A.; Jastrzab, R.; Gumi, T.; Tylkowski, B. PVDF Membrane Morphology—Influence of Polymer Molecular Weight and Preparation Temperature. Polymers 2017, 9, 718. [Google Scholar] [CrossRef]
- Chen, X.; Mao, S.S. Titanium Dioxide Nanomaterials: Synthesis, Properties, Modifications, and Applications. Chem. Rev. 2007, 107, 2891–2959. [Google Scholar] [CrossRef]
- Zhao, Y.; Yang, W.; Zhou, Y.; Chen, Y.; Cao, X.; Yang, Y.; Xu, J.; Jiang, Y. Effect of crystalline phase on the dielectric and energy storage properties of poly(vinylidene fluoride). J. Mater. Sci. Mater. Electron. 2016, 27, 7280–7286. [Google Scholar] [CrossRef]
- Yang, C.; Wang, P.; Li, J.; Wang, Q.; Xu, P.; You, S.; Zheng, Q.; Zhang, G. Photocatalytic PVDF ultrafiltration membrane blended with visible-light responsive Fe(III)-TiO2 catalyst: Degradation kinetics, catalytic performance and reusability. Chem. Eng. J. 2021, 417, 129340. [Google Scholar] [CrossRef]
- Mohamat, R.; Bakar, S.A.; Mohamed, A.; Muqoyyanah; Othman, M.H.D.; Kamal, S.N.E.A.M.; Mamat, M.H.; Ahmad, M.K.; Remakrishna, S. Incorporation of Different Polymeric Additives for Polyvinylidene Fluoride Membrane Fabrication and Its Performance on Methylene Blue Rejection and Antifouling Improvement. J. Polym. Environ. 2023, 31, 3466–3479. [Google Scholar] [CrossRef]
- Polisetti, V.; Ray, P. Nano SiO and TiO embedded polyacrylonitrile/polyvinylidene fluoride ultrafiltration membranes: Improvement in flux and antifouling properties. J. Appl. Polym. Sci. 2021, 138, 49606. [Google Scholar] [CrossRef]
- Ahmadi, S.; Mohammadi, L.; Igwegbe, C.A.; Rahdar, S.; Banach, A.M. Application of response surface methodology in the degradation of Reactive Blue 19 using H2O2/MgO nanoparticles advanced oxidation process. Int. J. Ind. Chem. 2018, 9, 241–253. [Google Scholar] [CrossRef]
- Asaithambi, P.; Aziz, A.R.A.; Daud, W.M.A.B.W. Integrated ozone—Electrocoagulation process for the removal of pollutant from industrial effluent: Optimization through response surface methodology. Chem. Eng. Process. Process Intensif. 2016, 105, 92–102. [Google Scholar] [CrossRef]
- Sari, Y.; Gareso, P.L.; Armynah, B.; Tahir, D. A review of TiO2 photocatalyst for organic degradation and sustainable hydrogen energy production. Int. J. Hydrogen Energy 2024, 55, 984–996. [Google Scholar] [CrossRef]
- Schneider, J.; Matsuoka, M.; Takeuchi, M.; Zhang, J.; Horiuchi, Y.; Anpo, M.; Bahnemann, D.W. Understanding TiO2 Photocatalysis: Mechanisms and Materials. Chem. Rev. 2014, 114, 9919–9986. [Google Scholar] [CrossRef]
- Guo, Q.; Zhou, C.; Ma, Z.; Yang, X. Fundamentals of TiO2 Photocatalysis: Concepts, Mechanisms, and Challenges. Adv. Mater. 2019, 31, 1901997. [Google Scholar] [CrossRef]
- Yadav, A.; Sharma, P.; Panda, A.B.; Shahi, V.K. Photocatalytic TiO2 incorporated PVDF-co-HFP UV-cleaning mixed matrix membranes for effective removal of dyes from synthetic wastewater system via membrane distillation. J. Environ. Chem. Eng. 2021, 9, 105904. [Google Scholar] [CrossRef]
- Mai, N.X.D.; Bae, J.; Kim, I.T.; Park, S.H.; Lee, G.-W.; Kim, J.H.; Lee, D.; Son, H.B.; Lee, Y.-C.; Hur, J. A recyclable, recoverable, and reformable hydrogel-based smart photocatalyst. Environ. Sci. Nano 2017, 4, 955–966. [Google Scholar] [CrossRef]
- Madima, N.; Kefeni, K.K.; Mishra, S.B.; Mishra, A.K.; Kuvarega, A.T. Fabrication of magnetic recoverable Fe3O4/TiO2 heterostructure for photocatalytic degradation of rhodamine B dye. Inorg. Chem. Commun. 2022, 145, 109966. [Google Scholar] [CrossRef]
- Hu, L.; Zhang, Y.; Lu, W.; Lu, Y.; Hu, H. Easily recyclable photocatalyst Bi2WO6/MOF/PVDF composite film for efficient degradation of aqueous refractory organic pollutants under visible-light irradiation. J. Mater. Sci. 2019, 54, 6238–6257. [Google Scholar] [CrossRef]
Disclaimer/Publisher’s Note: The statements, opinions and data contained in all publications are solely those of the individual author(s) and contributor(s) and not of MDPI and/or the editor(s). MDPI and/or the editor(s) disclaim responsibility for any injury to people or property resulting from any ideas, methods, instructions or products referred to in the content. |
© 2025 by the authors. Licensee MDPI, Basel, Switzerland. This article is an open access article distributed under the terms and conditions of the Creative Commons Attribution (CC BY) license (https://creativecommons.org/licenses/by/4.0/).










