Abstract
Aiming at the problem of the nonlinear, strongly coupled, and underdriven trajectory tracking instability of a quadrotor unmanned aerial vehicle (UAV), this thesis proposes a feedback linearization and fractional order model predictive control strategy based on feedback linearization by modeling the dynamics of the UAV control system and linearizing the nonlinear model of attitude control. A dual closed-loop control structure, feedback linearization control (FLC) for a position loop, and fractional order model predictive control (FOMPC) for an attitude loop are adopted to realize fast position tracking and attitude response. In addition, considering that the fractional order method has the advantage of flexible regulation, the fractional order integral operator is added to the cost function of model predictive control. Finally, the simulation results and the calculation of the root mean square error verify that the proposed method has a fast response speed, small overshoot, stable flight, and good track tracking performance in UAV track tracking.
1. Introduction
As a flexible and efficient flight tool, quadrotor UAV has shown great potential in various fields. Quadrotor UAVs are widely used in the fields of aerial photography, agricultural inspection, disaster monitoring, search and rescue, and power inspection [1]. At present, numerous control strategies have been implemented for the flight control and trajectory tracking issues of quadrotors, and many scholars at home and abroad have proposed a variety of algorithms to target the flight control problems of quadrotor UAVs, and the primary control approaches can be classified into two broad categories [2]; the first category is grounded in classical control theory, and its design methods mainly rely on the time–domain response, root trajectory, and frequency response characteristics. This type of method is mainly suitable for those UAVs with weak longitudinal and lateral coupling and low mobility requirements. The other category is built on modern control theories, including PID [3], LQR [4], adaptive control [5], sliding mode control [6], intelligent control [7], robust control [8], feedback linearized control [9], etc. Moreno-Valenzuela J et al. proposed a nonlinear PID controller to realize the path tracking of UAV, proved the boundedness of the closed-loop control system by using the Lyapunov function, determined the gain adjustment criterion while securing the exact tracking of the desired position and posture, and the simulation verified the validity of the control method [10]; Yimei Chen et al. proposed a fractional order PID control scheme, which utilizes fractional order micro integral operator approximation to generate a higher-order transfer function to realize the suppression effect on the parameter uptake of the UAV [11]; Manyi Sun et al. propose an active disturbance suppression and model prediction control strategy, in which the MPC controller estimates and compensates the disturbance by expanding the state observers and disturbance observers, thus realizing the accurate trajectory tracking of the UAV [12]; Yanhua Yang et al. proposes a model based on the expanded state Kalman filtering predictive control method, which improves the estimation of disturbances by the UAV system, and thus enhances the stability and tracking capabilities of the control system [13]; Ma D et al. proposes a self-resistant and predictive control strategy, and designs a self-resistant controller to control the inner-loop attitude stabilization problem, while the outer-loop employs a predictive controller that estimates and compensates for disturbances by means of the dilated state observer to address the path tracking problem [14]; Singh B K et al. put forward a control approach that integrates feedback linear control with model predictive control. This was aimed at investigating the attitude stabilization and trajectory tracking issues of UAV for circular and spiral trajectories. These investigations were carried out under external environmental disturbances, like sudden gusts of wind [15].
MPC is capable of supplying the most suitable inputs for the entities within a specified prediction model. This is achieved while taking into account both the state constraints and the input constraints, which enables UAVs to better adapt to various mission requirements in complex environments through the prediction and optimal solution of the system model of the future state; however, MPC usually requires a large amount of computational resources and time; especially when dealing with high-dimensional state space and long-time prediction, the computational complexity will increase dramatically, which may lead to real-time performance degradation [16]. With the aim of delving deeper into resolving the trajectory tracking and attitude stabilization challenges of UAVs, this thesis puts forward a control method for UAV trajectory tracking. This method is established on the combination of feedback linearization control and FOMPC; taking references from the literature [15], the system adopts internal and external double closed-loop control, the external loop controller adopts the feedback linearization control method, the internal loop controller adopts the FOMPC control method, and the linear parameter variation method is used in the discrete domain. The optimization issue can be resolved in an offline manner, thereby lessening the demand for computational capability. The structure of this thesis is as follows: in the second chapter, the dynamic modeling of UAVs and the theoretical basis of the fractional order method proposed in this thesis are briefly stated. The third chapter mainly describes the UAV inner and outer loop control principal design, formula derivation, and stability analysis. In the fourth chapter, simulation verification is carried out. Finally, the conclusion is made in the fifth chapter.
2. Problem Statement
The motion dynamics model of a quadrotor drone usually includes the equations of motion and dynamics equations of the vehicle, and a commonly used simplified UAV dynamics model may be presented as a six-degree-of-freedom system, i.e., three translational degrees of freedom (translational motion along the x, y, and z-axis) and three rotational degrees of freedom (rotational motion about the x, y, and z-axis), which is a four-input and six-output underdriven, strongly-coupled, nonlinear system. So as to facilitate the modeling of the UAV, this thesis takes the “cross” UAV as an example, in which the rotor blades are symmetrically distributed in the four directions of the body, namely, front, back, left, and right, and the four rotor blades are at the same altitude and level, and their structures and radii are the same [17], as shown in Figure 1.
Figure 1.
Structure of the quadrotor UAV.
It is assumed that the quadrotor UAV is a solid body airframe which has an even spread of mass and a symmetric layout, the center of mass position is not affected by gyroscopic effect, and the gravitational acceleration does not change with the flight altitude. The UAV body coordinate system B = (ObXbYbZb), the initial point of the coordinate system for the center of gravity of the quadcopter, the terrestrial coordinate system E = (OeXeYeZe), the initial point of the coordinate system can be set as the initial position of the quadcopter takeoff, and the flight power of the quadcopter UAV is the lift yielded by the four motors driving the rotor. The flight of a quadcopter UAV has the following five basic modes: hovering motion, vertical motion, pitching motion, roll motion, and yaw motion. The pitch motion generates the pitch angle θ, the roll motion generates the roll angle ϕ, and the yaw motion generates the yaw angle ψ. The spot where the quadcopter is situated is described by [x y z]T, the velocity is described by [u v w]T, and the rotations along the axes (i.e., roll, pitch, and yaw) are expressed by [ϕ θ ψ]T [18], and the angular velocity is described by [p q r]T.
The transformation matrix of the object coordinate system to the geographical coordinate system is as follows:
For the purpose of controller design, the inputs to the control system of the quadrotor are selected as , and U is defined as follows:
where Ωi is the rotor speed, Fi is the lift provided by the ith rotor, U1 controls the vertical motion, U2 controls the roll motion, U3 controls the pitch motion, and U4 controls the yaw motion.
A comprehensive mathematical model of the UAV in the geographic coordinate system based on the Newton–Euler method is established as follows:
where m is the mass of the quadcopter UAV, is the rotational inertia of the motor along the propeller axis, and are the rotational inertias of the UAV around the x, y, and z axes.
In a quadrotor UAV, Ux, Uy, and Uz correspond to the control inputs of the system in the position directions, and by adjusting these control inputs, various motions of the vehicle in space can be realized, and from (4), the relationship between Ux, Uy, and Uz and U1, ϕd and θd, is as follows:
The expected roll angle and pitch angle can be extracted from the transformation. The reference angles for roll and pitch are input into the attitude regulator, and the thrust is introduced to the controlled entity as the final control input U1. The expected roll angle and pitch angle can be obtained from the transformation of the aforesaid equation as follows:
Fractional order calculus theory is a calculus theory of arbitrary order obtained by extending the traditional integer order calculus, whose order of differentiation and integration is not limited to integers, but can be fractions or even complex numbers. Fractional calculus theory is not a new research theory; fractional order derivatives have a variety of definitions, including the commonly used Grünwald–Letnikov (GL) fractional order calculus, Riemann–Liouville (RL) fractional order calculus, Caputo fractional order calculus, etc. GL fractional order calculus definition [19] is as follows:
where t0 is the lower boundary of integration, t is the upper boundary of integration, β is the order of integration, h is the sampling time, and [•] denotes rounding.
In general, to simplify the calculation, we can set
where
Let
be
the original function of order α, i.e., ; converting the differential symbol D to the integral symbol I and combining it with the integral theorem, the following representation of the integral [20] is obtained:
where a and b are the top and lower limits of integration and α is the order of integration.
For the state space equations:
The state–space model presented in Equation (10) is transformed into an extended non-minimum state–space model. This new model incorporates state variables as well as output tracking errors, taking the following form:
where , r(k) is the tracking reference point at moment k, and e(k) is the output error at moment k.
The vector representation of the model output at the future k + i moments can be obtained from Equation (11), which is collapsed to obtain the following:
where
For the above state space model, consider the following cost function:
where α, β are fractional order integration orders, P is the prediction time horizon, M is the control time horizon, and Ts is the sampling step.
Based on the Grünwald–Letnikov fractional order calculus definition, the cost function in Equation (14) is discretized at the sampling time Ts and considered to incorporate the fractional order model tracking error and control incremental weighting factors to obtain the following:
Solving for the minimum of the cost function based on (15) yields the optimal control law:
Adopting the idea of rolling to find the amount of control at the current moment, there are,
3. Methodology
The control of the quadrotor UAV adopts the outer and inner loop control, and the total control structure is shown in Figure 2. In Figure 2, xd, yd, zd, and ψd are the given reference trajectories of the quadrotor UAV, ϕd and θd are the reference values of the Euler angles computed by the position controller through the attitude solver, U1, U2, U3, and U4 are the UAV control inputs, and x, y, z, ϕ, θ, and ψ are the actual output states of the UAV.
Figure 2.
Simple block diagram of quadcopter UAV control.
3.1. Outer Loop Control
Feedback linearized control (FLC for short) is an approach commonly used in the design of outer-loop controllers for multi-rotor vehicles. In this method, the system dynamics were linearized in order to be designed using linear control theory. The position loop dynamics were modeled according to Equation (3) as follows:
In this paper, the position control was controlled by feedback linearization, and the main idea of feedback linearization is to use the method of feedback to accurately linearize or partially accurately linearize the nonlinear system, which makes the relationship between the input and output transformed from nonlinear to linear; firstly, the nonlinear system of (18) is transformed into a linear system by (19):
Feedback linearization intends to design a feedback controller so as to let the state vector x of the system converge to the desired position in the steady state; to achieve this goal, we used the pole assignment method to design the feedback matrix K; for this system, we constructed a state feedback control as follows:
Assuming a desired pole vector , the characteristic polynomial of the system can be expressed as
where is the desired pole position.
In a feedback control system, the controller is tasked with modulating the control inputs in response to the positional error. The objective is to steer the system state to converge asymptotically to the desired state. The discrepancy differential equation for the pole placement controller is given as follows:
where e denotes the error, , indicates desired location, x, y, z represent the authentic position, and represent the discrepancy between the desired and actual position.
Associate the elements of the controller matrix K with the position error. Assume that the controller matrix is
where is an element of the controller matrix; we can represent the control input u of the controller as a linear combination of position errors:
The output of the outer loop control system yields the reference values of roll and pitch angles as well as the total thrust. Then, based on Equations (4) and (5), the control action U1 and the reference values of pitch and roll angles can be acquired as described below:
where is the desired roll, pitch, and yaw angles.
Through Equation (24), it can be concluded that ; feed to the attitude controller.
3.2. Inner Loop Control
Attitude control is inner-loop control. In this thesis, we assumed that the roll angle and the pitch angle are small. For the purpose of ensuring the stable flight and good trajectory tracking of the vehicle, fractional order model predictive control was employed as the inner loop attitude controller; according to the above assumptions, the rotational equations of motion are obtained as follows:
Firstly, we adopted linear parameter varying (LPV) methods to process model (25), which can convert the above nonlinear equation into the following state-space equation:
Linearizing the above equation, let us say , ; we obtained A, B, C, and D as follows:
Discretizing the above state space equations yields the following discrete state space equations:
Since the fractional order model can describe the system characteristics more accurately compared to the integer order model, when designing the controller, we adopted the fractional order concept in the cost function. We added the fractional order integral operator to the cost function and employed the Grünwald–Letnikov definition of fractional order calculus to handle this operator. As a result, the adjustable parameters of the controller were increased. The concept of optimization performance metrics commonly used for signals and systems is generalized to fractional order metrics to achieve a more comprehensive consideration of the performance metric function, and the following new fractional order cost function is designed.
The sampling step Ts is chosen, and in this paper, kTs is abbreviated as moment k. Owing to the definition of Grünwald–Letnikov fractional order calculus, the cost function in Equation (26) is discretized at the sampling time Ts, and using Equation (9), we can obtain the following:
where is the corresponding coefficient matrix, when , , and when , .
At k time, since the output at the (k − 1)-th time, as well as the input and output from the previous time, are known values, the aforementioned cost function can be transformed into the following performance indicators:
where
In order to make the general integer-order MPC consistent with the parameters proposed in this paper, the fractional order model tracking error and the control increment weighting coefficient, Q and R, were added to (31) to obtain the following:
A fractional order cost function is defined in this manner. Then, with the same constraints of the weight matrices Q and R, the optimal control inputs u(k) were determined by minimizing the cost function JF. Using the idea of rolling, the amount of control at the current moment is found as follows:
when t ≥ 0; here are the following constraints:
In this context, u(t), x(t), and y(t) stand for the input, the constraints on state variables, and the output constraints, respectively.
This section can be split into subheadings. It aims to offer a brief and accurate account of the experimental results, an interpretation of them, and the experimental conclusions that can be deduced.
Theorem 1.
Under the action of fractional order model predictive control, the cost function Equation (34) is a Lyapunov function, and the closed-loop control system is stable.
Proof of Theorem 1.
For MPC systems, the key to their stability results is the construction of the Lyapunov function. Selecting the cost function itself as the Lyapunov function [21], i.e., , i.e.,
We have to set up a connection between the Lyapunov function at sampling instant k + 1 and that at sampling instant k. Let us assume that all constraints hold at sampling time k, and the initial state information x(k + 1) of a feasible (not the best) solution at ηk + 1 is ηk. Then, x(k + 1) stands for the response of the next step given the state x(k).
The control sequence that is feasible at k + 1 is L(0)Tηk, L(1)Tηk, L(2)T ηk, …L(Np−1)T ηk goes further and replaces the last element with 0, giving the sequence L(1)Tηk, L(2)T ηk, …L(Np−1)T ηk, 0. Due to the optimality of ηk + 1 solutions, the following can be seen:
is similar to , the feasible sequences L(1)T ηk, L(2)T ηk, …L(Np−1)T ηk, 0 are used to replace the control sequence.
Assuming under the terminal state constraint, this yields
Therefore, the difference of the Lyapunov function is
We can see that is negative. Therefore, according to the Lyapunov stability theory, it can be deduced that the method presented in this thesis is capable of stabilizing the closed-loop controlled system. □
4. Simulation Experiments and Analysis
In this thesis, the position loop control is employed to calculate the state feedback gain matrix by the pole assignment method, the control input (Ux, Uy, Uz) is obtained by multiplying the gain matrix with the state error and its rate of change, and the position output (Ux, Uy, Uz) is calculated by the attitude solver to obtain φd and θd, which are then used as the input of attitude control. Finally, it has an impact on the UAV, resulting in the formation of a double-closed-loop system which is used to control the UAV’s ability to track the trajectory. In order to validate the promptness and efficacy of the control method put forward in this paper, we carried out a comparison with the conventional MPC control method in the relevant literature [15]; we verified that the method with feedback linearization control as the outer loop and FOMPC control as the inner loop have a better control effect and robustness, which is controlled by building a simulation model in the MATLAB R2022a environment. The simulation parameters specific to the UAV are given in the following table (Table 1):
Table 1.
Quadcopter UAV parameter settings.
In this paper, we additionally set the sampling time Ts to 0.1 s; the frequency of the control system hz is four; the inputs have a lower bound lb = [−0.5; −0.5; −0.5], an upper bound ub = [0.5; 0.5; 0.5], a prediction time horizon P = 4, and a control time horizon M = 4; the position-controlled poles px, py, and pz are [−1 −2]; and we set the weight matrices Q = diag(10,10…10) and R = diag(10, 10…10). By choosing these parameters here, we aim to reduce the computational complexity and get an effective control action. Fractional order controller parameters α = 0.8, β = 0.5; as a reference, the traditional MPC parameter settings are shown in the literature [15] and compared with the control method designed in this paper, simulation experiments show that the method in this paper has better control performance.
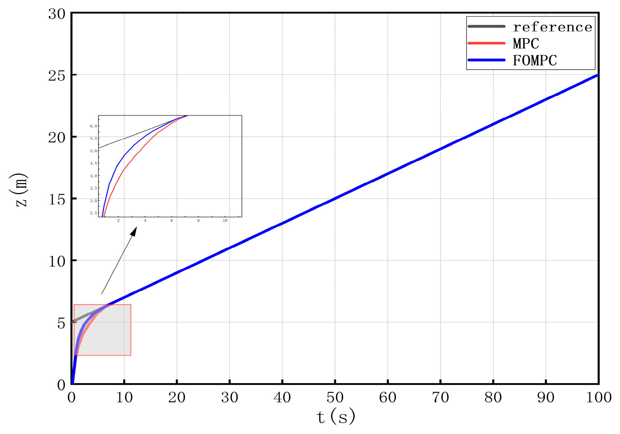
Assume that the reference trajectory of the quadcopter UAV is , , (where , h1 is the final height, h0 is the initial height); assuming an initial height of 5 m and a final height of 25 m, t1 = 100 s, the initial state of the drone is , the analysis of the simulation results for the path tracking position control of the quadrotor UAV is shown in Figure 3, Figure 4, Figure 5, Figure 6, Figure 7, Figure 8 and Figure 9. Among them, Figure 3 shows the three dimensional simulation of the quadrotor UAV’s path following. From the figure, it can be seen that the MPC has fluctuations in the tracking process under the given reference trajectory, while the error between the reference trajectory and the actual flight trajectory under the FLC-FOMPC-based control is almost zero, which can better track the desired reference trajectory and realize good path tracking. Figure 4, Figure 5, Figure 6, Figure 7, Figure 8 and Figure 9 show the path tracking simulation and the corresponding speed simulation of the quadrotor UAV in the position directions, from which it can be seen that under the given reference trajectories in the x, y, and z directions, FLC-FOMPC are able to track the reference trajectories faster than MPC with a better tracking effect, and the corresponding speeds in the x, y, and z directions can track the reference speeds very quickly to realize the stable and fast tracking performance of the UAV.
Figure 3.
UAV 3D path tracking curve.
Figure 4.
x-direction path tracking trajectory.
Figure 5.
x-direction velocity tracking trajectory.
Figure 6.
y-direction path tracking trajectory.
Figure 7.
y-direction velocity tracking trajectory.
Figure 8.
z-direction path tracking trajectory.
Figure 9.
z-direction velocity tracking trajectory.
Figure 10, Figure 11 and Figure 12 respond to the simulation trajectory of the UAV attitude tracking, from which it can be seen that through the FLC-FOMPC attitude control, the overshooting amount is small, the response is fast, and the steady state error is small, which can stabilize the attitude value to the set value quickly, thus realizing the fast response of the attitude, whereas the traditional model predictive controller has a longer adjustment time and the fluctuation of the overshooting amount is also bigger. It can be seen that the traditional MPC control is susceptible to external interference, while the fractional order model predictive controller designed in this thesis can quickly and stably track the desired trajectory, which better fits the predetermined change curve. It can be inferred that the fractional order model predictive control greatly increases the flexibility of the MPC controller by increasing the parameters of the regulating controller, thus obtaining a better control effect.
Figure 10.
Roll angle tracking.
Figure 11.
Pitch angle tracking.
Figure 12.
Yaw angle tracking.
Through the above simulation results and root mean square error analysis in Table 2, the feedback linearization control realizes the position control of the quadcopter UAV, and the fractional order model predictive control realizes the attitude control of the quadcopter UAV, and through the combination of the two, the tracking effect of the quadcopter UAV on the reference trajectory during flight can be better realized under the given reference trajectory.
Table 2.
RMSE of trajectory tracking error.
5. Conclusions
Regarding the problems, such as poor tracking performance of the UAV during the trajectory tracking process, this thesis proposes adopting a feedback linearization control in the position loop, a model predictive control in the attitude loop, adding a fractional integration operator to the cost function, using the Grünwald–Letnikov fractional calculus definition to process the integral operator, and finally, applying the control quantity to the UAV. At the same time, the constraints of state and control input are considered, and the calculation of control action is reduced by combining the two controllers. The two controllers work together at different operating frequencies to minimize the tracking error of the FLC-FOMPC controller. This method improves the stability and tracking performance of the control system. The simulation verifies that compared with the traditional MPC in the reference [15], the designed controller has greater flexibility, can obtain a better control effect, and has the advantages of stronger robustness, fast response speed, and high accuracy. The optimization problem can be solved offline as FOMPC is built upon a linear prediction model, thereby reducing the need for computing power. Although the method in this paper shows significant advantages in UAV trajectory tracking, there are still some limitations. For example, FOMPC has better dynamic response and robustness, but its calculation is still higher than the traditional integer order control method, and its real-time performance may be limited in resource-constrained platforms (such as the embedded controller of small UAV). Especially in the feedback linearization process, the model error will directly affect the control performance. In practical applications, external disturbances, uncertainties, and environmental changes may lead to the accumulation of modeling errors, which will affect the stability and accuracy of the system. The simulation of the proposed method mainly focuses on the trajectory tracking performance but does not fully consider the physical constraints of the UAV in actual flight (such as motor saturation, input delay, sensor noise, etc.), which may lead to a gap between the theoretical and practical performance. Future research should be carried out from multiple aspects, such as parameter optimization, computational efficiency, robustness enhancement, and practical application verification, to further improve the practicability and scope of application of the method, and provide a more efficient and stable solution for UAV control in complex environments.
Author Contributions
Conceptualization, K.S.; methodology, W.X.; software, W.X.; validation, K.S. and Y.Z.; writing—review and editing, C.S.; visualization, Y.L. All authors have read and agreed to the published version of the manuscript.
Funding
This research was funded by the Heilongjiang Province University fund project, grant number 2022TSTD-04.
Data Availability Statement
The original contributions presented in the study are included in the article; further inquiries can be directed to the corresponding authors.
Conflicts of Interest
The authors declare no conflicts of interest.
Abbreviations
| FLC | Feedback linearization control |
| MPC | Model predictive control |
| FOMPC | Fractional order model predictive control |
| UAV | Unmanned aerial vehicle |
References
- Zhou, J.; Wang, B.; Tang, C. Flight Control of Quadrotor UAVs Based on State Space Model Predictive Control. Inf. Control 2018, 47, 149–155. [Google Scholar]
- Alexis, K.; Nikolakopoulos, G.; Tzes, A. Model predictive quadrotor control: Attitude, altitude and position experimental studies. IET Control Theory Appl. 2012, 6, 1812–1827. [Google Scholar] [CrossRef]
- Hu, G.; Gui, L.; Quan, S.; Guo, T.; Wang, Y.; Wang, J. Design of four-rotor UAV control system based on series fuzzy PID. Exp. Technol. Manag. 2019, 36, 132–135. [Google Scholar]
- Feng, Y.; Duan, S.; Dong, G. LQR-based longitudinal control law design for UAVs. China Sci. Technol. Inf. 2015, 22, 63–64. [Google Scholar]
- Navabi, M.; Davoodi, A.; Mirzaei, H. Trajectory tracking of under-actuated quadcopter using Lyapunov-based optimum adaptive controller. Proc. Inst. Mech. Eng. Part G J. Aerosp. Eng. 2022, 236, 202–215. [Google Scholar] [CrossRef]
- Tao, Y.; Wang, W.; Qiu, Y.; Li, J. Trajectory Tracking Control Based on Adaptive Sliding Mode for Quadrotor UAV. Inf. Control 2018, 47, 276–282. [Google Scholar] [CrossRef]
- Xiao, C.; Mao, Y.; Yuan, H. Design and Simulation of Intelligent Control Algorithm for Quad-rotors under Wind Disturbance. Comput. Sci. 2018, 45, 310–316. [Google Scholar]
- Lee, T.; Leok, M.; McClamroch, N.H. Nonlinear robust tracking control of a quadrotor UAV on SE(3). Asian J. Control 2013, 15, 391–408. [Google Scholar] [CrossRef]
- Freddi, A.; Lanzon, A.; Longhi, S. A feedback linearization approach to fault tolerance in quadrotor vehicles. IFAC Proc. Vol. 2011, 44, 5413–5418. [Google Scholar] [CrossRef]
- Moreno-Valenzuela, J.; Pérez-Alcocer, R.; Guerrero-Medina, M.; Dzul, A. Nonlinear PID-type controller for quadrotor trajectory tracking. IEEE/ASME Trans. Mechatron. 2018, 23, 2436–2447. [Google Scholar] [CrossRef]
- Chen, Y.; Zhang, T. Quadrotor aircraft control based on fractional order PID. J. Tianjin Polytech. Univ. 2019, 38, 58–63. [Google Scholar]
- Sun, M.; Bi, W.; Zhang, A.; Diao, Y. Trajectory tracking control for quadrotor based on MPC and ESO-DO. Command Control Simul. 2024, 4, 1–13. [Google Scholar]
- Yang, Y.; Lyu, T.; Chai, L. Path tracking control for a quadrotor UAV based on ESKF-MPC. J. Electron. Meas. Instrum. 2022, 36, 24–32. [Google Scholar]
- Ma, D.; Xia, Y.; Li, T.; Chang, K. Active disturbance rejection and predictive control strategy for a quadrotor helicopter. IET Control Theory Appl. 2016, 10, 2213–2222. [Google Scholar] [CrossRef]
- Singh, B.K.; Kumar, A. Model predictive control using LPV approach for trajectory tracking of quadrotor UAV with external disturbances. Aircr. Eng. Aerosp. Technol. 2023, 95, 607–618. [Google Scholar] [CrossRef]
- Chipofya, M.; Lee, D.J.; Chong, K.T. Trajectory tracking and stabilization of a quadrotor using model predictive control of Laguerre functions. Abstr. Appl. Anal. 2015, 2015, 916864. [Google Scholar] [CrossRef]
- Wang, Z.; Zhang, Y. Research on Prediction-PID Compound Control of Quadrotor UAV. Control Eng. China 2021, 28, 1390–1397. [Google Scholar]
- Li, J.; Chen, P.; Chang, Z.; Zhang, G.; Guo, L.; Zhao, C. Trajectory Tracking Control of Quadrotor Based on Fractional-Order S-Plane Model. Machines 2023, 11, 672. [Google Scholar] [CrossRef]
- Rhouma, A.; Bouani, F.; Bouzouita, B.; Ksouri, M. Model predictive control of fractional order systems. J. Comput. Nonlinear Dyn. 2014, 9, 031011. [Google Scholar] [CrossRef] [PubMed]
- Zhang, R.; Zou, Q.; Cao, Z.; Gao, F. Design of fractional order modeling based extended non-minimal state space MPC for temperature in an industrial electric heating furnace. J. Process Control 2017, 56, 13–22. [Google Scholar] [CrossRef]
- Wang, L. Model Predictive Control System Design and Implementation Using MATLAB; Springer: London, UK, 2009. [Google Scholar]
Disclaimer/Publisher’s Note: The statements, opinions and data contained in all publications are solely those of the individual author(s) and contributor(s) and not of MDPI and/or the editor(s). MDPI and/or the editor(s) disclaim responsibility for any injury to people or property resulting from any ideas, methods, instructions or products referred to in the content. |
© 2025 by the authors. Licensee MDPI, Basel, Switzerland. This article is an open access article distributed under the terms and conditions of the Creative Commons Attribution (CC BY) license (https://creativecommons.org/licenses/by/4.0/).











