Unveiling the Impact of Microfractures on Longitudinal Dispersion Coefficients in Porous Media
Abstract
1. Introduction
2. Materials and Methods
2.1. Governing Equations for CO2 Miscible Flooding
2.2. Porous Media Model
2.3. Numerical Setting
2.4. Computing of the Longitudinal Dispersion Coefficient
3. Results and Discussion
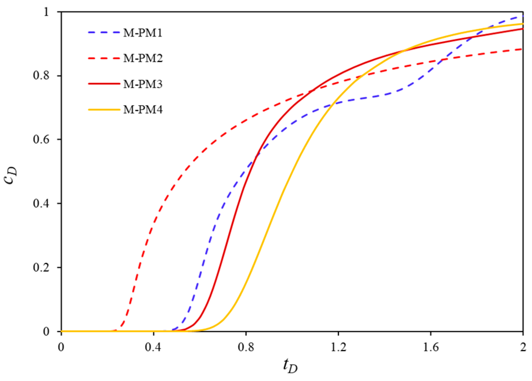
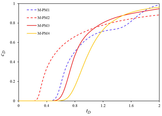
3.1. Model Validation
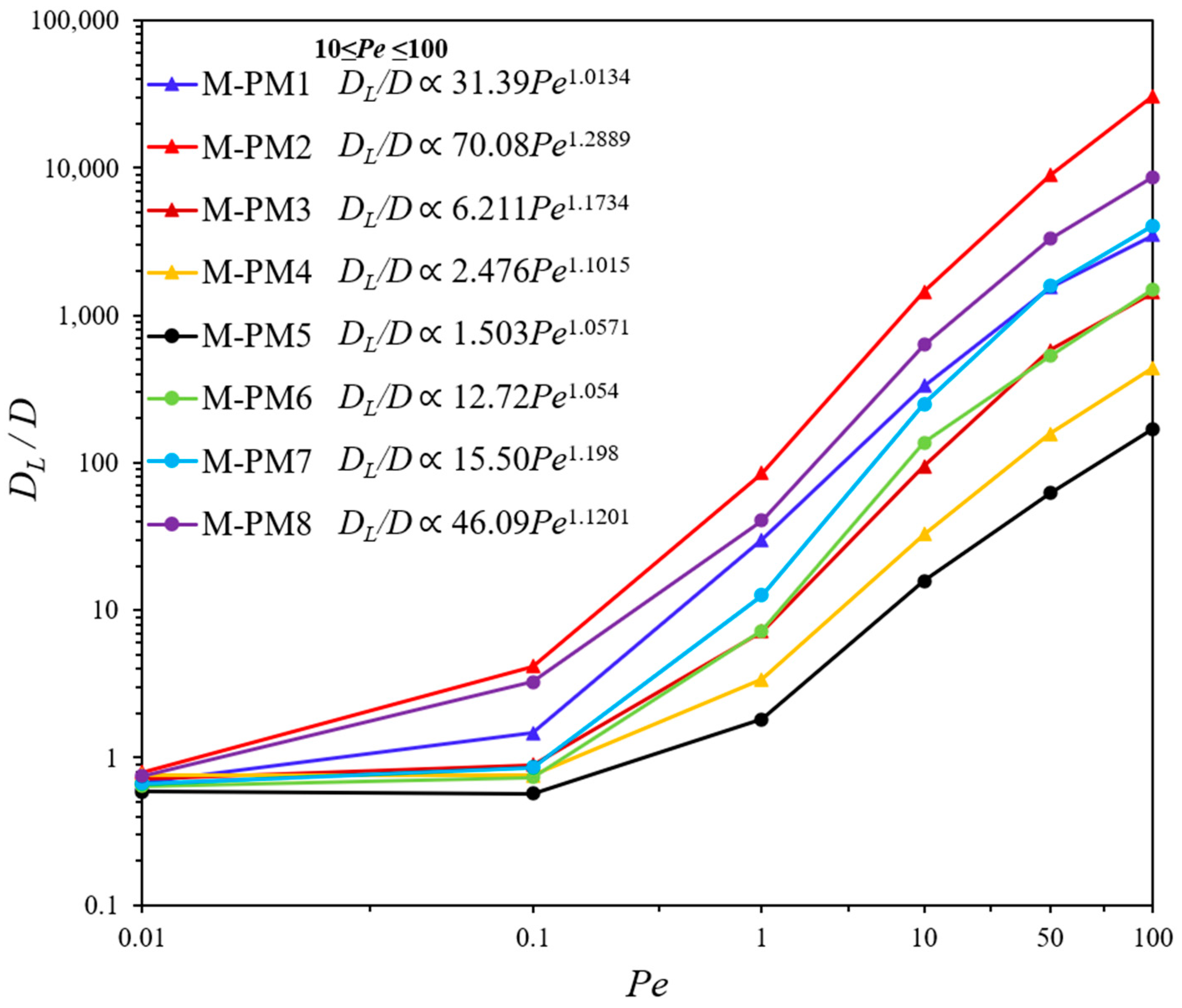
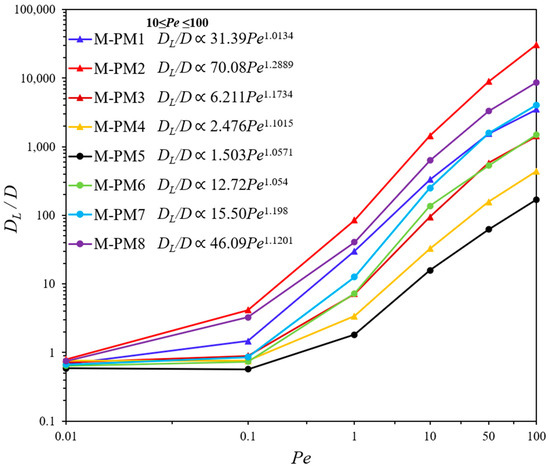
3.2. Longitudinal Dispersion Coefficient in M-PM
3.3. Scale Sensitivity of the Longitudinal Dispersion Coefficient in M-PM
3.4. Longitudinal Dispersion Regimes in M-PM
4. Conclusions
- A longer projected microfracture length along the flow direction enhances CO2 convection–dispersion, leading to a higher longitudinal dispersion coefficient. Conversely, a longer lateral projected length of microfractures restricts the full development of the CO2 concentration front, causing a decrease in the longitudinal dispersion coefficient.
- When Pe ≥ 1, the variation in longitudinal dispersion coefficient along the flow direction in all M-PM domains follows a three-stage pattern: In Stage 1, the matrix section is before microfractures, where the longitudinal dispersion coefficient increases with the dimensionless length, and the rate of increase grows with the Peclet number. In Stage 2, the mixing section is between microfractures and the matrix, where the longitudinal dispersion coefficient variation is impacted by microfracture connectivity and orientation. In Stage 3, the matrix section is after the microfractures, where the longitudinal dispersion coefficient exhibits case-dependent behavior based on microfracture connectivity and flow conditions.
- When 0.01 ≤ Pe ≤ 0.1, the presence of dominant flow channels in M-PM1, M-PM2, and M-PM8 results in a longitudinal dispersion coefficient deviating from traditional scaling laws. However, due to the limited impact of convection, this regime remains diffusion-dominated. Uncertainty analysis indicates that for Pe < 0.07, the longitudinal dispersion coefficient in porous media with highly connected microfractures along the flow direction follows a fixed relationship with porosity. When Pe ≥ 1, all the M-PM systems transition into the mixed diffusive–advective regime, where both mechanical dispersion and molecular diffusion impact solute transport. In addition, the mixing coefficient effectively characterizes the macroscopic heterogeneity of M-PM.
Author Contributions
Funding
Data Availability Statement
Conflicts of Interest
Abbreviations
| Nomenclature | |
| A | Aperture of microfractures |
| CDE | convection–dispersion equation |
| c | concentration of CO2, mol·m−3 |
| c0 | Injected CO2 concentration, mol·m−3 |
| ci | Initial CO2 concentration, mol·m−3 |
| average concentration in the y-direction, mol·m−3 | |
| cD | dimensionless concentration |
| D | diffusion coefficient, m2·s−1 |
| DL | longitudinal dispersion coefficient, m2·s−1 |
| DNS | direct numerical simulation |
| ds | average particle diameter, μm |
| dp | average pore diameter, μm |
| EOR | enhanced oil recovery |
| erfc | complementary error function |
| F | formation factor |
| k | The shape factor of capillary interface |
| L | domain length, μm |
| Lc | characteristic length, μm |
| Lm | microfracture length, μm |
| M-PM | microfractured porous media |
| N-S | Navier–Stokes |
| n | Unit normal vector at boundary |
| PNM | pore network modeling |
| PSD | pore size distribution |
| p | pressure, Pa |
| Pe | Peclet number |
| SSD | Solid size distribution |
| t | time, s |
| tD | dimensionless time |
| u | fluid velocity, m·s−1 |
| u0 | injection velocity of CO2, m·s−1 |
| u | Velocity component in direction of flow, m·s−1 |
| average convection velocity, m·s−1 | |
| v | intrinsic velocity, m·s−1 |
| W | Domain width, μm |
| x, y | Cartesian coordinate components |
| xD | dimensionless length |
| Greek symbols | |
| α, α’ | power-law exponents |
| β, β’ | Mixing coefficients |
| ρ | mixture density, kg·m−3 |
| μ | mixture viscosity, Pa·s |
| μed | Viscosity of displaced fluids, Pa·s |
| μi | Viscosity of displacing fluids, Pa·s |
| φ | Original matrix porosity |
| φf | Microfracture porosity |
| φm | matrix porosity |
| φt | total porosity |
| ε | Applicability range parameters of scaling laws |
References
- Lu, M.; Qian, Q.; Zhong, A.; Zhang, Z.; Zhang, L. Investigation on the Flow Behavior and Mechanisms of Water Flooding and CO2 Immiscible/Miscible Flooding in Shale Oil Reservoirs. J. CO2 Util. 2024, 80, 102660. [Google Scholar] [CrossRef]
- Li, L.; Zhou, X.; Su, Y.; Xiao, P.; Chen, Z.; Zheng, J. Influence of Heterogeneity and Fracture Conductivity on Supercritical CO2 Miscible Flooding Enhancing Oil Recovery and Gas Channeling in Tight Oil Reservoirs. Energy Fuels 2022, 36, 8199–8209. [Google Scholar] [CrossRef]
- Zhu, Q.; Jia, X.; Li, B.; Wang, K.; Zhang, Y.; Chen, Z. Mathematical Modeling of Foamy-Oil Flow in a Cyclic Solvent Injection Process. J. Pet. Sci. Eng. 2022, 215, 110594. [Google Scholar] [CrossRef]
- Jia, X.; Zhu, Q.; Wang, K.; Jiao, B.; Guo, E.; Qu, T.; Wu, K.; Chen, Z. Numerical Simulation of Foamy-Oil Flow in a Cyclic Solvent Injection Process. Fuel 2023, 333, 126259. [Google Scholar] [CrossRef]
- Bachu, S. CO2 Storage in Geological Media: Role, Means, Status and Barriers to Deployment. Prog. Energy Combust. Sci. 2008, 34, 254–273. [Google Scholar] [CrossRef]
- Edouard, M.N.; Okere, C.J.; Ejike, C.; Dong, P.; Suliman, M.A.M. Comparative Numerical Study on the Co-Optimization of CO2 Storage and Utilization in EOR, EGR, and EWR: Implications for CCUS Project Development. Appl. Energy 2023, 347, 121448. [Google Scholar] [CrossRef]
- Cui, G.; Hu, Z.; Ning, F.; Jiang, S.; Wang, R. A Review of Salt Precipitation during CO2 Injection into Saline Aquifers and Its Potential Impact on Carbon Sequestration Projects in China. Fuel 2023, 334, 126615. [Google Scholar] [CrossRef]
- Izadpanahi, A.; Blunt, M.J.; Kumar, N.; Ali, M.; Gaeta Tassinari, C.C.; Sampaio, M.A. A Review of Carbon Storage in Saline Aquifers: Mechanisms, Prerequisites, and Key Considerations. Fuel 2024, 369, 131744. [Google Scholar] [CrossRef]
- Mim, R.T.; Negash, B.M.; Jufar, S.R.; Ali, F. Minireview on CO2 Storage in Deep Saline Aquifers: Methods, Opportunities, Challenges, and Perspectives. Energy Fuels 2023, 37, 18467–18484. [Google Scholar] [CrossRef]
- Afshari, S.; Hejazi, S.H.; Kantzas, A. Role of Medium Heterogeneity and Viscosity Contrast in Miscible Flow Regimes and Mixing Zone Growth: A Computational Pore-Scale Approach. Phys. Rev. Fluids 2018, 3, 054501. [Google Scholar] [CrossRef]
- Rokhforouz, M.R.; Akhlaghi Amiri, H.A. Pore-Level Influence of Micro-Fracture Parameters on Visco-Capillary Behavior of Two-Phase Displacements in Porous Media. Adv. Water Resour. 2018, 113, 260–271. [Google Scholar] [CrossRef]
- Meakin, P.; Tartakovsky, A.M. Modeling and Simulation of Pore-scale Multiphase Fluid Flow and Reactive Transport in Fractured and Porous Media. Rev. Geophys. 2009, 47, 2008RG000263. [Google Scholar] [CrossRef]
- El Kadi Abderrezzak, K.; Ata, R.; Zaoui, F. One-Dimensional Numerical Modelling of Solute Transport in Streams: The Role of Longitudinal Dispersion Coefficient. J. Hydrol. 2015, 527, 978–989. [Google Scholar] [CrossRef]
- Bijeljic, B.; Muggeridge, A.H.; Blunt, M.J. Pore-scale Modeling of Longitudinal Dispersion. Water Resour. Res. 2004, 40, 2004WR003567. [Google Scholar] [CrossRef]
- Bear, J. Dynamics of Fluids in Porous Media; Dover Books on Physics and Chemistry; Dover: New York, NY, USA, 1988; ISBN 978-0-486-65675-5. [Google Scholar]
- Afshari, S.; Hejazi, S.H.; Kantzas, A. Longitudinal Dispersion in Heterogeneous Layered Porous Media during Stable and Unstable Pore-Scale Miscible Displacements. Adv. Water Resour. 2018, 119, 125–141. [Google Scholar] [CrossRef]
- Bijeljic, B.; Mostaghimi, P.; Blunt, M.J. Signature of Non-Fickian Solute Transport in Complex Heterogeneous Porous Media. Phys. Rev. Lett. 2011, 107, 204502. [Google Scholar] [CrossRef]
- Hasan, S.; Niasar, V.; Karadimitriou, N.K.; Godinho, J.R.A.; Vo, N.T.; An, S.; Rabbani, A.; Steeb, H. Direct Characterization of Solute Transport in Unsaturated Porous Media Using Fast X-Ray Synchrotron Microtomography. Proc. Natl. Acad. Sci. USA 2020, 117, 23443–23449. [Google Scholar] [CrossRef]
- Sadeghi, M.A.; Agnaou, M.; Barralet, J.; Gostick, J. Dispersion Modeling in Pore Networks: A Comparison of Common Pore-Scale Models and Alternative Approaches. J. Contam. Hydrol. 2020, 228, 103578. [Google Scholar] [CrossRef]
- Mostaghimi, P.; Bijeljic, B.; Blunt, M.J. Simulation of Flow and Dispersion on Pore-Space Images. SPE J. 2012, 17, 1131–1141. [Google Scholar] [CrossRef]
- Bruderer, C.; Bernabé, Y. Network Modeling of Dispersion: Transition from Taylor Dispersion in Homogeneous Networks to Mechanical Dispersion in Very Heterogeneous Ones. Water Resour. Res. 2001, 37, 897–908. [Google Scholar] [CrossRef]
- Salles, J.; Thovert, J.-F.; Delannay, R.; Prevors, L.; Auriault, J.-L.; Adler, P.M. Taylor Dispersion in Porous Media. Determination of the Dispersion Tensor. Phys. Fluids A Fluid Dyn. 1993, 5, 2348–2376. [Google Scholar] [CrossRef]
- Sallès, J.; Thovert, J.F.; Adler, P.M. Reconstructed Porous Media and Their Application to Fluid Flow and Solute Transport. J. Contam. Hydrol. 1993, 13, 3–22. [Google Scholar] [CrossRef]
- Mahadevan, J.; Lake, L.W.; Johns, R.T. Estimation of True Dispersivity in Field-Scale Permeable Media. SPE J. 2003, 8, 272–279. [Google Scholar] [CrossRef]
- Garmeh, G.; Johns, R.T. Upscaling of Miscible Floods in Heterogeneous Reservoirs Considering Reservoir Mixing. SPE Reserv. Eval. Eng. 2010, 13, 747–763. [Google Scholar] [CrossRef]
- Connolly, M.; Johns, R.T. Scale-Dependent Mixing for Adverse Mobility Ratio Flows in Heterogeneous Porous Media. Transp. Porous Med. 2016, 113, 29–50. [Google Scholar] [CrossRef]
- Meng, Y.; Jiang, J.; Wu, J.; Wang, D. A Physics-Enhanced Neural Network for Estimating Longitudinal Dispersion Coefficient and Average Solute Transport Velocity in Porous Media. Geophys. Res. Lett. 2024, 51, e2024GL110683. [Google Scholar] [CrossRef]
- Nicolaides, C.; Jha, B.; Cueto-Felgueroso, L.; Juanes, R. Impact of Viscous Fingering and Permeability Heterogeneity on Fluid Mixing in Porous Media. Water Resour. Res. 2015, 51, 2634–2647. [Google Scholar] [CrossRef]
- Tan, C.T.; Homsy, G.M. Simulation of Nonlinear Viscous Fingering in Miscible Displacement. Phys. Fluids 1988, 31, 1330–1338. [Google Scholar] [CrossRef]
- Jha, B.; Cueto-Felgueroso, L.; Juanes, R. Quantifying Mixing in Viscously Unstable Porous Media Flows. Phys. Rev. E 2011, 84, 066312. [Google Scholar] [CrossRef]
- Brigham, W.E.; Reed, P.W.; Dew, J.N. Experiments on Mixing During Miscible Displacement in Porous Media. Soc. Pet. Eng. J. 1961, 1, 1–8. [Google Scholar] [CrossRef]
- Bretz, R.E.; Specter, R.M.; Orr, F.M. Effect of Pore Structure on Miscible Displacement in Laboratory Cores. SPE Reserv. Eng. 1988, 3, 857–866. [Google Scholar] [CrossRef]
- John, A.K.; Lake, L.W.; Bryant, S.L.; Jennings, J.W. Investigation of Mixing in Field-Scale Miscible Displacements Using Particle-Tracking Simulations of Tracer Floods with Flow Reversal. SPE J. 2010, 15, 598–609. [Google Scholar] [CrossRef]
- Bruderer-Weng, C.; Cowie, P.; Bernabé, Y.; Main, I. Relating Flow Channelling to Tracer Dispersion in Heterogeneous Networks. Adv. Water Resour. 2004, 27, 843–855. [Google Scholar] [CrossRef]
- Todd, M.R.; Longstaff, W.J. The Development, Testing, and Application of a Numerical Simulator for Predicting Miscible Flood Performance. J. Pet. Technol. 1972, 24, 874–882. [Google Scholar] [CrossRef]
- Koval, E.J. A Method for Predicting the Performance of Unstable Miscible Displacement in Heterogeneous Media. Soc. Pet. Eng. J. 1963, 3, 145–154. [Google Scholar] [CrossRef]
- Suo, S.; Jiang, L.; Wang, P.; Xie, M. Study of the Porous Media Random Structure Model. Mod. Phys. Lett. B 2020, 34, 2050090. [Google Scholar] [CrossRef]
- Shakib, J.T.; Ghaderi, A.; Shahri, A.A. Analysis of Hydraulic Fracturing Length and Aperture on the Production Rate in Fractured Reservoir. Life Sci. J. 2012, 9, 1769–1777. [Google Scholar] [CrossRef]
- Zhu, Q.; Wu, K.; Guo, S.; Peng, F.; Zhang, S.; Jiang, L.; Li, J.; Feng, D.; Zhang, Y.; Chen, Z. Pore-Scale Investigation of CO2-Oil Miscible Flooding in Tight Reservoir. Appl. Energy 2024, 368, 123439. [Google Scholar] [CrossRef]
- Ma, Q.; Zheng, Z.; Fan, J.; Jia, J.; Bi, J.; Hu, P.; Wang, Q.; Li, M.; Wei, W.; Wang, D. Pore-Scale Simulations of CO2/Oil Flow Behavior in Heterogeneous Porous Media under Various Conditions. Energies 2021, 14, 533. [Google Scholar] [CrossRef]
- National Institute of Standards and Technology. NIST. 2023. Available online: https://www.nist.gov/ (accessed on 23 May 2024).
- Taylor, G.I. Dispersion of Soluble Matter in Solvent Flowing Slowly through a Tube. Proc. R. Soc. Lond. A 1953, 219, 186–203. [Google Scholar] [CrossRef]
- Aris, R. On the Dispersion of a Solute in a Fluid Flowing through a Tube. Proc. R. Soc. Lond. A 1956, 235, 67–77. [Google Scholar] [CrossRef]
- Sahimi, M. Fractal and Superdiffusive Transport and Hydrodynamic Dispersion in Heterogeneous Porous Media. Transp. Porous Med. 1993, 13, 3–40. [Google Scholar] [CrossRef]
- Babaei, M.; Joekar-Niasar, V. A Transport Phase Diagram for Pore-Level Correlated Porous Media. Adv. Water Resour. 2016, 92, 23–29. [Google Scholar] [CrossRef]
- Mahmoudvand, M.; Ashoorian, S. Carbon Dioxide Injection Enhanced Oil Recovery and Carbon Storage in Shale Oil Reservoirs. In Gas Injection Methods; Elsevier: Amsterdam, The Netherlands, 2023; pp. 199–257. ISBN 978-0-12-822302-4. [Google Scholar]
- Van Genuchten, M.T. Analytical Solutions for Chemical Transport with Simultaneous Adsorption, Zero-Order Production and First-Order Decay. J. Hydrol. 1981, 49, 213–233. [Google Scholar] [CrossRef]
- Berkowitz, B.; Zhou, J. Reactive Solute Transport in a Single Fracture. Water Resour. Res. 1996, 32, 901–913. [Google Scholar] [CrossRef]
- Wang, L.; Cardenas, M.B.; Deng, W.; Bennett, P.C. Theory for Dynamic Longitudinal Dispersion in Fractures and Rivers with Poiseuille Flow. Geophys. Res. Lett. 2012, 39, 2011GL050831. [Google Scholar] [CrossRef]
- Archie, G.E. The Electrical Resistivity Log as an Aid in Determining Some Reservoir Characteristics. Trans. AIME 1942, 146, 54–62. [Google Scholar] [CrossRef]
- Fricke, H. The Electric Conductivity and Capacity of Disperse Systems. Physics 1931, 1, 106–115. [Google Scholar] [CrossRef]
- Legatski, M.W.; Katz, D.L. Dispersion Coefficients for Gases Flowing in Consolidated Porous Media. Soc. Pet. Eng. J. 1967, 7, 43–53. [Google Scholar] [CrossRef]
- Kinzel, D.L.; Hill, G.A. Experimental Study of Dispersion in a Consolidated Sandstone. Can. J. Chem. Eng. 1989, 67, 39–44. [Google Scholar] [CrossRef]
- Sorbie, K.S.; Parker, A.; Clifford, P.J. Experimental and Theoretical Study of Polymer Flow in Porous Media. SPE Reserv. Eng. 1987, 2, 281–304. [Google Scholar] [CrossRef]
- Liu, H.; Zhang, Y.; Valocchi, A.J. Lattice Boltzmann Simulation of Immiscible Fluid Displacement in Porous Media: Homogeneous versus Heterogeneous Pore Network. Phys. Fluids 2015, 27, 052103. [Google Scholar] [CrossRef]
- Ghaderi, A.; Abbaszadeh Shahri, A.; Larsson, S. An Artificial Neural Network Based Model to Predict Spatial Soil Type Distribution Using Piezocone Penetration Test Data (CPTu). Bull. Eng. Geol. Env. 2019, 78, 4579–4588. [Google Scholar] [CrossRef]


















| Microfracture Characteristics | M-PM Systems | Pe | Results | Longitudinal Dispersion Regimes |
|---|---|---|---|---|
| Length | M-PM1 M-PM2 | 0.01 | Satisfy DL/D = 1/Fφt | Diffusion-dominated |
| 0.1 | Deviate from DL/D = 1/Fφt | |||
| 1~100 | DL(MPM2) > DL(MPM1) | Mixed diffusive–advective | ||
| Density | M-PM1 | 0.01 | Satisfy DL/D = 1/Fφt | Diffusion-dominated |
| M-PM3 | 0.1 | M-PM1 deviate from DL/D = 1/Fφt | ||
| M-PM4 | 1~100 | DL(MPM1) > DL(MPM3) > DL(MPM4) | Mixed diffusive–advective | |
| Orientation | M-PM3 | 0.01 | Satisfy DL/D = 1/Fφt | Diffusion-dominated |
| M-PM5 | 0.1 | Satisfy DL/D = 1/Fφt | ||
| M-PM6 | 1~100 | DL(MPM6) ≈ DL(MPM3) > DL(MPM5) | Mixed diffusive–advective | |
| Connectivity | M-PM7 M-PM8 | 0.01 | Satisfy DL/D = 1/Fφt | Diffusion-dominated |
| 0.1 | M-PM8 deviate from DL/D = 1/Fφt | |||
| 1~100 | DL(MPM8) > DL(MPM7) | Mixed diffusive–advective |
| Model | 1 | |||||
|---|---|---|---|---|---|---|
| Pe = 0.02 | Pe = 0.04 | Pe = 0.06 | Pe = 0.07 | Pe = 0.08 | Pe = 0.09 | |
| M-PM1 | 1.0 | 1.0 | 1.0 | 1.7 | 2.0 | 2.4 |
| M-PM2 | 1.0 | 1.0 | 1.2 | 2.8 | 3.2 | 3.7 |
| M-PM8 | 1.0 | 1.0 | 1.2 | 2.4 | 2.9 | 3.3 |
| Reference | β | Porous Media |
|---|---|---|
| Brigham et al. [31] | 1.20 | Berea sandstone |
| Legatski and Katz [52] | 1.24 | Berea sandstone |
| Kinzel and Hill [53] | 1.33 | Berea sandstone |
| Sorbie et al. [54] | 1.05–1.1 | Clashach sandstone |
| Bijieljic et al. [14] | 1.17–1.35 | PNM |
| Afshari et al. [16] | 0.99–1.24 | Layering PM |
Disclaimer/Publisher’s Note: The statements, opinions and data contained in all publications are solely those of the individual author(s) and contributor(s) and not of MDPI and/or the editor(s). MDPI and/or the editor(s) disclaim responsibility for any injury to people or property resulting from any ideas, methods, instructions or products referred to in the content. |
© 2025 by the authors. Licensee MDPI, Basel, Switzerland. This article is an open access article distributed under the terms and conditions of the Creative Commons Attribution (CC BY) license (https://creativecommons.org/licenses/by/4.0/).
Share and Cite
Wang, M.; Wu, K.; Zhu, Q.; Ye, J. Unveiling the Impact of Microfractures on Longitudinal Dispersion Coefficients in Porous Media. Processes 2025, 13, 722. https://doi.org/10.3390/pr13030722
Wang M, Wu K, Zhu Q, Ye J. Unveiling the Impact of Microfractures on Longitudinal Dispersion Coefficients in Porous Media. Processes. 2025; 13(3):722. https://doi.org/10.3390/pr13030722
Chicago/Turabian StyleWang, Muyuan, Keliu Wu, Qingyuan Zhu, and Jiawei Ye. 2025. "Unveiling the Impact of Microfractures on Longitudinal Dispersion Coefficients in Porous Media" Processes 13, no. 3: 722. https://doi.org/10.3390/pr13030722
APA StyleWang, M., Wu, K., Zhu, Q., & Ye, J. (2025). Unveiling the Impact of Microfractures on Longitudinal Dispersion Coefficients in Porous Media. Processes, 13(3), 722. https://doi.org/10.3390/pr13030722

