Abstract
Research on the deformation and failure behavior of coal is a key scientific issue in the study of coal–rock dynamic disaster prevention technology. It is a critical means to grasp the structural effect of coal–rock deformation and failure behavior to explore the effects of fracture structure on coal–rock deformation and failure behavior. Our experiment on the failure characteristics of coal–rock and the evolution of deformation–fracture structures before the peak stress of coal–rock primarily investigates the influence of fracture structures on its deformation and failure behavior under loading, with a focus on analyzing the size of the primary fractures. The results indicate that the influence of the primary fracture structure on the physical and mechanical properties of coal–rock varies, and the sensitivity of different properties to these structures also differs. Compared to coal–rock without outburst proneness, the fracture structure evolution of coal–rock with strong outburst proneness before failure is more intense and exhibits significant geometric nonlinearity. The size of the fracture that plays the main role in the pre-peak deformation of coal–rock with strong outburst proneness is about one-third of the size of the specimen, and it is about one-fifth of the size of the specimen for coal–rock without outburst proneness. The fracture structure affects the whole deformation process before the failure of coal–rock with strong outburst proneness, but its influence on coal–rock without outburst proneness is gradually reduced with the loading.
1. Introduction
The occurrence of rock burst accidents is primarily due to the loss of the original equilibrium state of the coal–rock mass under the influence of mining disturbances, leading to subsequent deformation and failure [1,2,3,4]. Therefore, to reveal the mechanism of rock burst accidents, it is essential to study the controlling mechanisms of three factors: the inherent properties of coal–rock, the structure of coal–rock, and the environmental stress during the process of disaster initiation, occurrence, and development.
Coal bursting liability is the likelihood of coal to accumulate strain energy and cause impact damage. The damage and failure of coal–rock media under external load is a nonlinear evolution process far from equilibrium [5,6]. It is also the result of the heterogeneity and collective effect of the media at macro, micro and micro levels and different scales [7,8,9]. The failure of coal–rock media is characterized by a sudden catastrophe, which presents uncertainty. The basic reason causing this complex feature lies in the multi-scale coupling effect [10,11,12]. It is generally a trans-scale evolution process, i.e., a large number of micro-damages accumulate and induce the macro catastrophe through trans-scale nonlinear cascades and development. In the whole process, some disordered structure effects at the micro-scale may be strongly amplified and give rise to significant large-scale effects, which will have an important impact on the catastrophic behavior of the system. Since it is impossible to describe the disordered structure and its sensitive effects at various scales in detail, the catastrophic behavior presents uncertainty [13,14].
The structural control of coal–rock catastrophic damage means that coal–rock damage is mostly controlled by the structure of coal–rock mass. During this process, the geometric distribution and material properties of coal–rock structural planes will directly affect the failure strength of the coal–rock mass. Researchers have carried out in-depth research on the structural control of coal–rock catastrophic failure behavior [15,16,17,18]. Moreover, Zheng et al. [19,20] analyzed the relationship between the shear strength of the structural plane and that of the rock block and discussed the failure mode and strength theory of the mass. Yang et al. [21] conducted uniaxial compression tests on through joint mass and found it has three main forms of failure, i.e., split, slippage along the joint surface and the composite form of split and slippage; in addition, the variation in joint plane inclination is the main reason for the difference in the strength, deformation and failure mode of the specimen. Nasseri et al. [22] carried out triaxial test research on shale and slate, respectively. The result indicates that the failure of the rock mass can be divided into three forms: slippage, shear and composite failure along the structural plane. Sun [23] proposed that the rock mass is a discontinuous structure controlled by the structural plane, and the rock mass structure controls its deformation, failure and mechanical properties. Meanwhile, the control effect of rock material is far less obvious than that of the rock mass structure from the aspect of control effect. However, with the continuous increase in mining depth and the emergence of complex working conditions during the mining engineering process, the control effect of the rock mass structural plane will weaken or disappear along with the high ground stress conditions at its depth. In this case, shear failure becomes the main form of rock mass failure. The stress control and the synergistic control effect of structure and stress will be more significant, while the mechanical behavior of the rock mass will shift from structural control to stress control [24].
In addition, regarding the fracture structure effect of coal–rock mechanical behavior, the effect of coal–rock fracture structure on the deformation and failure of materials during loading is studied, which is the core content of the fracture structure effect of coal–rock mechanical behavior. Xiao et al. [25] found that the failure strength and deformation characteristics of deep rock masses with a single fissure are strongly influenced by the structural surface under triaxial conditions. Du et al. [26] developed a combined test system to study the size effect on the shear strength of rock joints and explored its initial applications, finding that the shear strength of rock joints exhibits a significant size effect. Zhang et al. [27] concluded that the permeability of both intact and fractured coal changes significantly under cyclic loading and unloading, with fractures playing a key role in permeability evolution. Sun [28] presents an image-based multi-grid and adaptive multi-scale modeling method to simulate the trans-scale process of reinforced concrete, from evolving random meso-damage to macro-scopic cracks and eventually to catastrophic rupture, and verified the feasibility of the method. The influence of coal–rock fracture structure on coal–rock mechanical behavior is a basic scientific issue in studying the occurrence mechanism of coal–rock dynamic disaster, especially the effect of coal–rock fracture structure on the deformation and failure behavior of coal–rock media, which is the basis to explore the occurrence and development of coal–rock dynamic disaster.
To reveal the impact of fracture structures on the deformation and failure behavior of coal–rock with different impact tendencies, this paper conducted pre-peak deformation fracture structure evolution experiments. It analyzed the evolution characteristics of fracture structures during the pre-peak deformation process of coal–rock with varying impact tendencies and identified the dominant fracture scale in the pre-peak deformation process at the laboratory scale. Meanwhile, the evolution behavior of the elastic and plastic deformation of coal–rock with different fracture structures under the same loading path and the effect of fracture development on the failure characteristics of coal–rock were analyzed.
2. Experimental Procedure
2.1. Experimental Setup
The test includes two parts: (1) Uniaxial cyclic loading/unloading test. The main equipment is the TAW-2000 electro-hydraulic servo testing machine and LVDT displacement sensor by U.S.A (as shown in Figure 1). (2) The in situ CT (computed tomography) scan test of coal–rock media after unloading. The equipment is the advanced industrial CT machine produced by U.S. BIR (as shown in Figure 2). The experiment employs a high-precision 16-bit micro-focus X-ray for full-height scanning, with a total of 1000 layers, each 0.1 mm thick. Due to equipment limitations, the criteria for different loading stages remain consistent, resulting in an image resolution of 100 μm.
Figure 1.
Main test equipment: (a) TAW-2000 electro-hydraulic servo testing machine; (b) LVDT displacement sensor.
Figure 2.
Computer tomography scan imaging system.
Coal samples were selected from two coal mines with different impact tendencies: Bayan Gaole Coal Mine (with strong bursting liability) and Shennan’ao Coal Mine (without bursting liability). The mechanical properties of the test coal samples are as shown in Table 1. If the uniaxial compressive strength is less than 7 MPa and the elastic energy index is less than 2, the coal mine is considered to have no outburst proneness. If the uniaxial compressive strength is greater than or equal to 14 MPa and the elastic energy index is greater than or equal to 5, the coal mine is considered to have strong outburst proneness. In the laboratory, cylindrical standard specimens with dimensions of Ø50 mm × 100 mm were prepared. Among them, 3 specimens were prepared from Bayan Gaole Coal Mine, labeled B1~B3, and 2 specimens were prepared from Shennan’ao Coal Mine, labeled S1 and S2.
Table 1.
The mechanical properties of test coal samples.
This group of tests is aimed to observe the evolution behavior of the fracture structure characteristics of coal–rock media at different loading stages. The test is completed in four stages: (1) load 5 coal–rock specimens on the testing machine, and then carry out the in situ CT scan test to acquire the initial structures; (2) load the coal–rock specimens to the elastic stage and unload them, and then carry out the in situ CT scan test; (3) load the coal–rock specimens to the plastic stage and unload them, and then carry out the in situ CT scan test; and (4) load the coal–rock specimens to the near-failure stage and unload them, and then carry out the in situ CT scan test. The loading/unloading rate in the test is 100 N/s. Due to the great difference in coal–rock samples, even the coal–rock samples with the same bursting liability have different stress values at different stages during loading. Therefore, the judgment process is mainly based on the slope of the stress–strain curve, i.e., the curve is approximately a concave arc during the compaction stage, and the slope will increase rapidly after it passes through the bottom of the arc. The slope of the primary curve is read at the interface of the testing machine every 1 kN. When the slope has no obvious change more than 3 consecutive times and is close to the elastic modulus of the sample, it can be judged that the coal–rock deformation has entered the linear elastic stage; when the slope shows a downward trend more than 3 consecutive times, it can be judged that the deformation enters the plastic stage; and when the slope decreases rapidly and greatly compared to the previous stage, it can be judged that the deformation enters the near-failure stage. See Table 2 for the specific loading/unloading scheme.
Table 2.
The specific plan of test loading.
2.2. Data Image Processing Method
Due to the uneven density of coal and rock media and the fact that CT scan imaging is a very complex process, it is easy for the overall high gray value of some CT scan sections and the overall low gray value of some CT scan sections to appear, which directly affects the subsequent threshold segmentation results. Therefore, the CT scan image is processed by gray standardization, so that the pixels of the image are distributed in the whole gray range. At the same time, after standardization, the difference between the gray value of the target and the background is amplified, which is convenient for subsequent recognition and segmentation. Figure 3 shows the CT scan slice effect before and after processing. On this basis, the Gaussian filtering algorithm is applied to remove some special noise and artifacts, and the difference algorithm is applied to smooth the image as a whole. The image obtained by subtracting the image obtained by the former from the image obtained by the latter is the final processed result, as shown in Figure 4. It can be seen that this processing method can highlight the edge of the fracture image on the premise of removing some special noise and artifacts, and it greatly improve the image effect after processing so as to prepare for the subsequent three-dimensional reconstruction and statistical analysis of the spatial geometric characteristics of the original fracture structure.
Figure 3.
Effect diagram before and after the slice normalizing process: (a) original slice; (b) processed slice.
Figure 4.
The effect diagram of a slice after the filtering process.
The primary fracture structures were obtained by three-dimensional reconstruction and threshold segmentation. Figure 5 and Figure 6 show the reconstruction effect of primary fracture structures of 5 coal–rock mediums. The length and volume are selected to quantitatively describe the morphological characteristics of fracture space, in which the length is the maximum Feret diameter and the volume is the pixel volume. The fracture structure with the largest space volume and the best connectivity in the coal–rock medium is called the primary fracture structure.
Figure 5.
Three-dimensional reconstruction of primary crack structure of coal–rock with strong outburst proneness (Bayangaole Coal Mine).
Figure 6.
Three-dimensional reconstruction of primary crack structure of coal–rock without outburst proneness (Shennanao Coal Mine).
3. Results
3.1. Evolution Process of Pre-Peak Deformation Fracture Structure of Coal and Rock
Figure 7a–d respectively show the evolution behavior of two coal–rock fracture structures with different bursting liabilities. The specimen undergoes a complete loading and unloading process, forming a hysteresis loop in the stress–strain curve. The loading curve can be represented by the curve before the peak in the clockwise direction along the hysteresis loop, while the unloading process is represented by the curve after the peak. Owing to many minor damages in coal–rock, defects of a volume less than 10 mm3 are hidden in favor of the visual observation, and the remaining large volume fractures are smoothed. For the fracture evolution behavior of coal–rock without bursting liability, it is difficult to observe the obvious changes visually; therefore, only one group is shown. But this does not mean that there is no fracture evolution behavior. Due to the high degree of the development of the primary fracture structure in its initial state, the image of subsequent crack propagation is masked, which makes it difficult to distinguish visually. However, there are obvious differences that appear later in the statistical analysis.

Figure 7.
Fracture structure evolution diagram before peak value: (a) B1; (b) B2; (c) B3; (d) S1.
3.2. Evolution Behavior of Pre-Peak Deformation Fracture and Main Control Fracture Scale of Coal–Rock
The main control fracture refers to the fracture structure that plays a leading role in different deformation stages of the coal–rock pre-peak [29]. The coal–rock media are always accompanied by fracture structure expansion and new cracks in the process of deformation and destruction. Therefore, the dynamic evolution behavior of structure will significantly degrade the material. Some scholars [30,31] use a full stress–strain curve to classify the different stages of rock deformation and failure, crack development and propagation behavior. The reason that coal–rock exhibits different deformation and failure characteristics under loaded conditions is that the evolution of its fracture structure plays an important role.
The fracture scales at different loading stages are counted, their changes are analyzed, and the evolution coefficient η is defined to describe its scale change. In order to indicate the reason for variation, the absolute value is not taken and the sign is kept. η > 0 indicates that the number of fractures increases at this scale; η < 0 indicates that the number of fractures decreases at this scale; η = 0 indicates that the number of fractures has no change at this scale; and η = −1 indicates that the fracture of this scale “disappears”, which may be caused by the fracture closure or by the expansion or compression of the scale fracture to other scales. The breakpoint on the curve indicates that there are new fractures at this scale.
where pt is the number of fractures at a certain scale in the current stage, and pt−1 is the number of fractures at the same scale in the previous stage. Figure 8 shows the fracture scale change in coal–rock media with strong bursting liability.
Figure 8.
Fracture scale evolution of coal–rock with strong bursting liability (B1 specimen) at different stages.
It can be analyzed from the curve in Figure 8 that in the elastic deformation stage, 27,000 μm is the dividing line. The number of fractures will increase between the 0 μm and 27,000 μm scale and decrease above the 27,000 μm scale. Especially for the scale over 27,000 μm, η mostly take 0 and −1, and there are almost no breakpoints in the curve, which indicates that the fracture evolution behavior at this scale is dominated by complete compaction. Figure 9 compares the CT scan slices of coal–rock at this stage with those in the initial state. New small fractures appear during the elastic deformation stage, so there are two reasons for the increase in fractures between the 0 μm and 27,000 μm scale: large-scale fractures are compressed to this size; and small new cracks appear. Few breakpoints occur in the whole curve, indicating that there are few new fracture scales in the elastic deformation stage, and the fracture evolution behavior is relatively continuous; therefore, the deformation characteristics of coal–rock media are relatively stable in this stage. After the deformation and failure behavior of coal–rock enters the plastic stage, the scale range of fracture evolution behavior in this stage is more concentrated, mostly between 10,000 μm and 39,000 μm. All three breakpoints in the curve appear in this scale range, i.e., the scale of new fractures is concentrated here. This is precisely the macroscopic manifestation of the self-organization characteristics of the meso organizational behavior of the coal–rock system under load, and the crack evolution will develop from disorder to order. In the elastic and plastic deformation stage, the maximum sizes of fractures are 82,000 μm and 86,000 μm, respectively. When the coal–rock enters the near-failure stage, the crack distribution scale will increase significantly compared to that in the first two stages; that is why the macro fracture begins to form. The entire curve is almost all in the negative range and tends to −1. It indicates that almost all the fractures in the original scale “disappear” when the coal–rock is close to failure. The three breakpoints that occurred in the curve are 42,000 μm, 49,000 μm and 104,000 μm, respectively. The 104,000 μm scale especially exceeded the full height of the specimen, which was clearly the scale of the macro fracture surface. The curve characteristic of this stage shows that in the near-failure stage of coal–rock, the continuity of deformation and failure behavior decreases, and the fracture structure begins to concentrate to several scales, especially the 104,000 μm scale. Compared to the maximum scales 82,000 μm and 86,000 μm in the elastic and plastic deformation stage, it sees a significant leap. This is strong proof of the geometrically nonlinear characteristics of the coal–rock fracture structure evolution behavior near the catastrophic moment.
Figure 9.
Comparison diagram of slices in same position of specimen (XY direction).
In the elastic deformation stage, the scale of the fracture evolution behavior of coal–rock with strong bursting liability is relatively scattered, and the overall performance is disorder. The evolution behavior of large-scale fractures is mainly characterized by compaction, and the number of them decreases, while the number of small-scale fractures increases. This may be caused by new small cracks or large-scale fractures being compressed to this scale. The dividing line of these two scales is about one-third of the specimen size. After entering the plastic stage, the self-organization characteristics of the coal–rock system come into play. The fracture evolution behavior begins to develop in order, and the fracture evolution behavior concentrates to a certain scale, i.e., approx one-third of the specimen size. In the elastic and plastic deformation stage, the fracture evolution behavior is relatively continuous, so the macro deformation behavior of coal–rock is relatively stable. In the near-failure stage, the fracture scale begins to concentrate to several points from a certain range. Here, most fractures no longer evolve, and only a few fractures play a leading role. The fracture evolution behavior exhibits geometrically nonlinear characteristics with leaps in the spatial scale, and eventually, the larger-scale fracture abruptly changes into macro breakdown. Therefore, the entire failure process of coal–rock specimens with strong bursting liability is divided into two stages: one is the catastrophe-forming stage (the elastic and plastic stage) and the other is the quasi-catastrophic stage (the near-failure stage). When it is detected that the cracks near one-third of the loaded size begin to concentrate, it is predicted that the coal–rock is at the end of the catastrophe-forming stage and is going into the quasi-catastrophic stage, which can be used as an early warning.
The coal–rock media without bursting liability and the change in its fracture scale are shown in Figure 10. It can be seen from the variation curve of S1 that the fracture distribution scale is significantly increased compared to the coal–rock with strong bursting liability. There is also a limit value (16,000 μm) for the increase and decrease in fractures in the elastic deformation stage. η mostly takes 0 and −1 when the scale is larger than 16,000 μm. The fracture evolution behavior in the plastic deformation stage is concentrated between 8000 μm and 22,000 μm. In the near-failure stage, the fracture evolution behavior of the coal–rock without bursting liability is different from that with strong bursting liability, and the curve shape is close to that in the plastic deformation stage. Its fracture evolution behavior is concentrated between 4000 μm and 20,000 μm, which is slightly reduced compared to that in the plastic stage. In addition, in different deformation and failure stages, the overall fracture scale distribution range of coal–rock without bursting liability has no change. Especially when it is near the failure stage, there is no sudden change and leaps in scale. Generally, in the whole process of S1 deformation, the curve change is not as sharp as that of coal–rock with strong bursting liability, and the difference between each stage is relatively weak. From this point of view, it is more difficult to predict the loading failure of coal–rock media without bursting liability. It can be concluded from the curve that there is little evolution behavior of large-scale fractures in the whole deformation process, so it is speculated that the evolution behavior of small-scale fractures plays a leading role. The generation and expansion of small-scale cracks will make the large-scale cracks that are about to be penetrated in the initial state penetrate into the macroscopic failure surface. In the S1 specimen, the main control fracture size is less than 20,000 μm. In the process of deformation and failure, the fracture structure evolution behavior of coal–rock without bursting liability is softer than that with strong bursting liability, without sudden increases or leaps in scale or strong geometric nonlinear characteristics, and the meso structure evolution behavior is more orderly. In the whole deformation process, the fracture scale that plays a leading role in its macro failure is about 20,000 μm, i.e., one-fifth of the specimen size.
Figure 10.
Fracture scale evolution of non-bursting liability coal–rock (S1 specimen) at different stages.
3.3. The Failure Characteristics Are Affected by the Fracture Development
The effect of fracture structure on the failure characteristics is also reflected in the coal–rock failure mechanism. It is known from the CT scan experiment that the integrity of coal–rock with strong bursting liability is high, and there are often fillers in the primitive fracture [32,33], so the failure is mostly from the coal matrix and fillers. Figure 11 depicts the physical graphs of coal sample failure. It can be seen from the stress–strain curve that in the initial stage of material loading, the primary fracture structure with an angle of approximately 90° to the principal stress is compacted, meaning that this part of the primitive fracture has “disappeared”. If there is no filler, the “disappeared” primitive fracture will become the primitive coal; if there is a filler, the primitive “disappeared” fracture will become the primitive rock. For the primary fracture structure with an angle of approximately 0° to the principal stress, if there is no filler, the coal matrix materials on both sides will be affected by the tensile stress on the two surfaces of the fracture, making the fracture expand parallel to the direction of the principal stress loading, mainly forming type I cracks. If there is a filler, due to the difference in the elastic modulus between the filler and coal matrix material, the two will show inconsistent deformation behavior under load, i.e., different displacements, and the propagation fractures will mostly be type I and II cracks. Under the loading condition, the strength of coal–rock with strong bursting liability is mainly that of the media themselves, and its failure is mainly the failure of coal–rock materials.
Figure 11.
Physical graphs of coal sample failure: (a) B1; (b) S1.
The main fracture structure of the coal–rock without bursting liability is approx. 30~60° to the main stress, or it is exhibited, as a net structure, as a whole in the coal–rock. The failure of the material is mainly shear failure or plastic deformation. The failure mechanism of coal–rock with strong bursting liability is tension failure.
According to the principle of elasticity [34],
The ultimate tensile strain of the material is assumed to be ɛ3,0, and its failure criterion is
When σ3 = σ2 = 0,
where σc is the uniaxial compressive strength of the material. Therefore,
Combining with (3) and (5), then
If it is a false triaxial condition, then
Equations (7) and (8) are the tensile fracture criteria of materials.
The failure of coal–rock media without bursting liability is mainly shear failure, the plastic deformation of rock material, or the sliding of rock material along the fracture structure. The shear failure follows the maximum shear stress theory and is brittle failure; the plastic deformation follows Mohr–Coulomb’s strength theory and is flexible failure. The former is a special case of the latter, but the two are the same in the essence. According to Mohr–Coulomb’s criterion [35], under the plane stress condition,
where c is the cohesion of the material and φ is the internal friction angle of the material. Equation (9) is rewritten into
When σ3 = 0, σ1 = σc.
When σ1 = 0, σ3 = −σt.
σt is the unique strength of the material. When combined with Equation (12), then
When combined with Equations (13) and (14), then
When combined with Equations (12)–(14), then
When combined with Equation (8), then
then
The criterion of transformation from tensile failure to shear failure or plastic deformation can be obtained accordingly. When
The material will be damaged in the form of tensile failure controlled by tensile strain; when
In the material, shear failure or plastic deformation will occur. Because the structural characteristics of materials will affect the relationship between Poisson’s ratio and the internal friction angle, it will affect the failure mechanism of coal–rock media with different bursting liabilities.
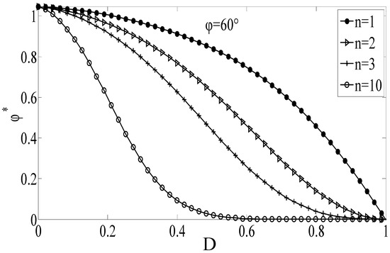
The correlation between the primary fracture structure of coal–rock and the Poisson’s ratio of material is quite weak. Therefore, the effect of structure on the coal–rock failure mechanism is manifested in its effect on the internal friction angle in essence [36]. The damage degree of coal–rock media with different bursting liabilities is significantly different, so it is assumed that the complete coal–rock materials can be subjected to different degrees of damage and deterioration treatment in order to obtain the coal–rock media with different bursting liabilities. According to the nonlinear brittle damage dynamic model [37], the relationship between the internal friction angle of intact rock material and the effective internal friction angle of damaged rock material is as follows:
where n is the material parameter. It can be seen from Figure 12 that the internal friction angle of the material will gradually decrease with the increase in damage; the greater the n, the higher the sensitivity of the internal friction angle to the damage. Therefore, when the bursting liability decreases, the failure mechanism will gradually transit from the tensile failure to the shear failure and plastic deformation.
Figure 12.
Effect of damage degree on internal friction angle.
4. Conclusions
Based on the test of coal–rock failure characteristics, the evolution test of coal–rock pre-peak deformation fracture structure and the deformation numerical test of coal–rock with different structural characteristics, this paper focuses on the effect of coal–rock fracture structure on its deformation and failure behavior under load and obtains the following understanding:
- (1)
- The fracture evolution behavior of coal–rock specimens with strong bursting liability in their elastic deformation stage exhibits disorder and the scale is relatively dispersed. The boundary is about one-third of the specimen size; after entering the plastic deformation stage, the fracture evolution behavior becomes orderly, the continuity is improved, and the scale is gradually concentrated in the range of about one-third of the specimen size. When it is observed that the fractures in this range begin to develop concentratedly, the specimen can be considered to be in the “quasi-catastrophic” stage, and an early warning can be given.
- (2)
- Under the loading condition, the fracture evolution behavior of coal–rock with no bursting liability is relatively soft and orderly without a leap or sharp rise in the scale. The damage of the material is mainly controlled by the increase in small fractures, which contributes to the penetration of large fractures. The size of this small fracture is less than one-fifth of the specimen size.
- (3)
- The failure mechanism of coal–rock is affected by the fracture structure. Regarding the coal–rock media with different bursting liabilities, two different failure mechanisms under uniaxial loading will occur: tensile failure and shear failure/plastic deformation. The root cause lies in the relationship between Poisson’s ratio and the internal friction angle. Specifically, the property of the coal–rock fracture structure controlling the internal friction angle of the material makes the coal–rock failure mechanism transition from tensile failure to shear failure or plastic deformation as the bursting liability decreases.
Author Contributions
Conceptualization, H.L. and Y.M.; methodology, S.H.; software, Y.M.; validation, S.H. and Z.S.; formal analysis, L.L.; investigation, S.H. and Y.M.; resources, H.L.; data curation, Z.S.; writing—original draft preparation, S.H. and Y.M.; writing—review and editing, H.L.; visualization, L.L.; supervision, H.L.; project administration, H.L.; funding acquisition, H.L. All authors have read and agreed to the published version of the manuscript.
Funding
This work was supported by the Science and Technology Development Fund Project of the CCTEG China Coal Research Institute (No. 2023CX-I-05) and China Coal Research Institute Science and Technology Development Fund Project Technology Innovation Fund Class I (2023CX-I-06).
Data Availability Statement
The original contributions presented in this study are included in the article. Further inquiries can be directed to the corresponding author.
Conflicts of Interest
Author Lei Li was employed by the company China Coal Science and Technology Group Energy Technology Development Co., Ltd. The remaining authors declare that the research was conducted in the absence of any commercial or financial relationships that could be construed as a potential conflict of interest. The China Coal Science and Technology Group Energy Technology Development Co., Ltd. had no role in the design of the study; in the collection, analyses, or interpretation of data; in the writing of the manuscript, or in the decision to publish the results.
References
- Rong, F.; Wang, H.; Xia, M.; Ke, F.; Bai, Y. Catastrophic Rupture Induced Damage Coalescence in Heterogeneous Brittle Media. Pure Appl. Geophys. 2006, 163, 1847–1865. [Google Scholar] [CrossRef]
- He, X.; Wang, E.; Nie, B.; Liu, M.; Zhang, L. Electromagnetic Dynamics of Coal or Rock Rheology; Science Press: Beijing, China, 2003; pp. 12–28. [Google Scholar]
- Zhang, C.; Xu, J.; Yin, G.; Peng, S.; Li, Q.; Chen, Y. A Novel Large-Scale Multifunctional Apparatus to Study the Disaster Dynamics and Gas Flow Mechanism in Coal Mines. Rock Mech. Rock Eng. 2019, 52, 2889–2898. [Google Scholar] [CrossRef]
- Niu, Y.; Song, X.; Li, Z.; Wang, E.; Liu, Q.; Zhang, X.; Cai, G.; Zhang, Q. Experimental study and field verification of stability monitoring of gas drainage borehole in mining coal seam. J. Pet. Sci. Eng. 2020, 189, 106985. [Google Scholar] [CrossRef]
- Maleki, H. High stress gradient, critical factor affecting rock burst in the United States mines. In Proceedings of the SRM International Symposium (EUROCK 2021), Turin, Italy, 21–24 September 2021; Volume 833. [Google Scholar]
- Department of the Environment. Background Review: Subsidence from Coal Mining Activities; Department of the Environment: Canberra, Australia, 2005. [Google Scholar]
- Bai, Y.L.; Lu, C.S.; Ke, F.J.; Xia, M. Evolution induced catastrophe. Phys. Lett. 1994, 185, 196–200. [Google Scholar] [CrossRef]
- Xia, M.F.; Wei, Y.J.; Ke, F.J.; Bai, Y.L. Critical Sensitivity and Trans-scale Fluctuations in Catastrophic Rupture. Pure Appl. Geophys. 2002, 159, 2491–2509. [Google Scholar] [CrossRef]
- Wei, Y.J.; Xia, M.F.; Ke, F.J.; Yin, X.; Bai, Y. Evolution-induced catastrophe and its predictability. Pure Appl. Geophys. 2000, 157, 1945–1957. [Google Scholar] [CrossRef]
- Bazant, Z.P.; Chen, E.P. Scaling of Structural Failure. Appl. Mech. Rev. 1997, 50, 593–627. [Google Scholar] [CrossRef]
- Wang, H.Y.; He, G.W.; Xia, M.F.; Ke, F.; Bai, Y. Multiscale coupling in complex mechanical systems. Chem. Eng. Sci. 2004, 59, 1677–1686. [Google Scholar] [CrossRef]
- Rong, F.; Wang, H.Y.; Xia, M.F.; Ke, F.; Bai, Y. Trans-scale coupling in multi-scale simulation. Int. J. Multiscale Numer. Engrg. 2006, 4, 169–182. [Google Scholar] [CrossRef]
- Hao, S.W.; Wang, H.Y.; Xia, M.F.; Ke, F.; Bai, Y. Relationship between strain localization and catastrophic rupture. Theor. Appl. Fract. Mech. 2007, 48, 41–49. [Google Scholar] [CrossRef]
- Du, K.; Bi, R.; Khandelwal, M.; Li, G.; Zhou, J. Occurrence mechanism and prevention technology of rockburst, coal bump and mine earthquake in deep mining. Geomech. Geophys. Geo-Energy Geo-Resour. 2024, 10, 98. [Google Scholar] [CrossRef]
- Peng, S.; Wu, B.; Xu, J.; Shi, T.; Yan, F.; Wu, S. Research on 3D reconstruction method of rock fracture surface based on CGAL. Chin. J. Rock Mech. Eng. 2020, 39 (Suppl. S2), 3450–3463. [Google Scholar]
- Ding, X.; Liu, J.; Bai, S.; Sheng, Q.; Xu, P. Study on numerical simulation of structure effects of rock mass creep. Chin. J. Rock Mech. Eng. 2006, 25 (Suppl. S2), 3642–3649. [Google Scholar]
- Zhang, Z.; Zhao, Y.; Liu, Q.; Sheng, Q.; Yang, Y. Study of structure effect of jointed rock mass deformation modulus. Chin. J. Rock Mech. Eng. 2011, 31 (Suppl. S2), 4158–4166. [Google Scholar]
- Liu, C.; Ma, T.; Cheng, X. Failure characteristics of fractured coal rock under different angle discontinuities. Saf. Coal Mines 2015, 46, 218–220. [Google Scholar]
- Zheng, Y.; Kong, L. Geomechanics. Rock Plasticity Mechanics; Science Press: Beijing, China, 2010. [Google Scholar]
- Jaeger, J.C. Shear failure of anisotropic rocks. Geol. Mag. 1960, 97, 65–72. [Google Scholar] [CrossRef]
- Yang, Z.Y.; Chen, J.M.; Huang, T.H. Effect of joint sets on the strength and deformation of rock mass models. Int. J. Rock Mech. Min. Sci. 1998, 35, 75–84. [Google Scholar] [CrossRef]
- Nasseri, M.H.; Rao, K.S.; Ramamurthy, T. Failure mechanism in schistose rocks. Int. J. Rock Mech. Min. Sci. 1997, 34, 460–470. [Google Scholar] [CrossRef]
- Sun, G.; Sun, Y. Principle of Rock Mechanics; Science Press: Beijing, China, 2011. [Google Scholar]
- Han, J.; Li, S.; Li, S. Transformation mechanism and criterion model of structural control and stress control for rock mass failure. Sci. China Phys. Mech. Astron. 2013, 43, 177–185. [Google Scholar]
- Xiao, T.; Li, X.; Jia, S. Triaxial test research and mechanical analysis based on structure surface effect of deep rock mass with single fissure. Chin. J. Rock Mech. Eng. 2012, 31, 1666–1673. [Google Scholar]
- Du, S.; Lv, Y.; Luo, Z.; Huang, M. Combined test system for size effect of rock joint shear strength and its primary application research. Chin. J. Rock Mech. Eng. 2021, 40, 13. [Google Scholar]
- Zhang, L.; Kan, Z.; Xue, J.; Li, M. Study on permeability law of intact and fractured coal under cyclic loading and unloading. Chin. J. Rock Mech. Eng. 2021, 40, 2487–2499. [Google Scholar]
- Sun, B.; Wang, X.; Li, Z. Meso-scale image-based modeling of reinforced concrete and adaptive multi-scale analyses on damage evolution in concrete structures. Comput. Mater. Sci. 2015, 110, 39–53. [Google Scholar] [CrossRef]
- Li, B.; You, M. Nonlinear strength of rocks with cohesion and friction using the exponential criterion. Chin. J. Rock Mech. Eng. 2016, 35, 1945–1953. [Google Scholar]
- Gao, M.; Li, T.; Meng, L.; Chen, G. The method to identify characteristic stresses of rock in different stages during failure process. Chin. J. Rock Mech. Eng. 2016, 35 (Suppl. S2), 3577–3588. [Google Scholar]
- Feng, C.; Wu, Y.; Feng, F. Study of fatigue properties and critical stress measurement method of rock. Chin. J. Rock Mech. Eng. 2010, 2734–2740. [Google Scholar]
- Yuan, W.; Li, X.; He, J.; Li, S.; Cheng, G. Structure effect study of deformation and failure of rock and soil aggregate with CT technique. Chin. J. Rock Mech. Eng. 2013, 3134–3140. [Google Scholar]
- Wang, D.; Zeng, F.; Wang, J.; Wei, J.; Jiang, Z.; Wang, X.; Zhang, P.; Yu, C. Dynamic evolution characteristics and fractal law of loaded coal fractures by micro industrial CT. Chin. J. Rock Mech. Eng. 2020, 39, 90–99. [Google Scholar] [CrossRef]
- Lurie, A.I.; Belyaev, A. Theory of Elasticity; Springer: Berlin/Heidelberg, Germany, 2005. [Google Scholar]
- Brady, B.H.G.; Brown, E.T. Rock Mechanics and Mining Engineering. In Rock Mechanics; Springer: Dordrecht, The Netherlands, 1999. [Google Scholar]
- Liu, C.; Zhang, Z.; Yuan, J.; Liu, Y. Effect factors and determination methods of slope angle of rock slope stability. Hydro-Sci. Eng. 2016, 1, 23–29. [Google Scholar]
- Qiu, Z. Nonlinear Dynamic Damage Mechanics Theory and Numerical Analysis Model. Ph.D. Thesis, Zhejiang University, Hangzhou, China, 2005. [Google Scholar]
Disclaimer/Publisher’s Note: The statements, opinions and data contained in all publications are solely those of the individual author(s) and contributor(s) and not of MDPI and/or the editor(s). MDPI and/or the editor(s) disclaim responsibility for any injury to people or property resulting from any ideas, methods, instructions or products referred to in the content. |
© 2025 by the authors. Licensee MDPI, Basel, Switzerland. This article is an open access article distributed under the terms and conditions of the Creative Commons Attribution (CC BY) license (https://creativecommons.org/licenses/by/4.0/).












