Study of the Viability of Separating Mixtures of Water–Bioethanol Using a Neoteric Solvent: 1-Decyl-3-methylimidazolium Bis(trifluoromethylsulfonyl)imide
Abstract
1. Introduction
2. Materials and Methods
2.1. Materials
2.2. Methods
2.3. Analysis
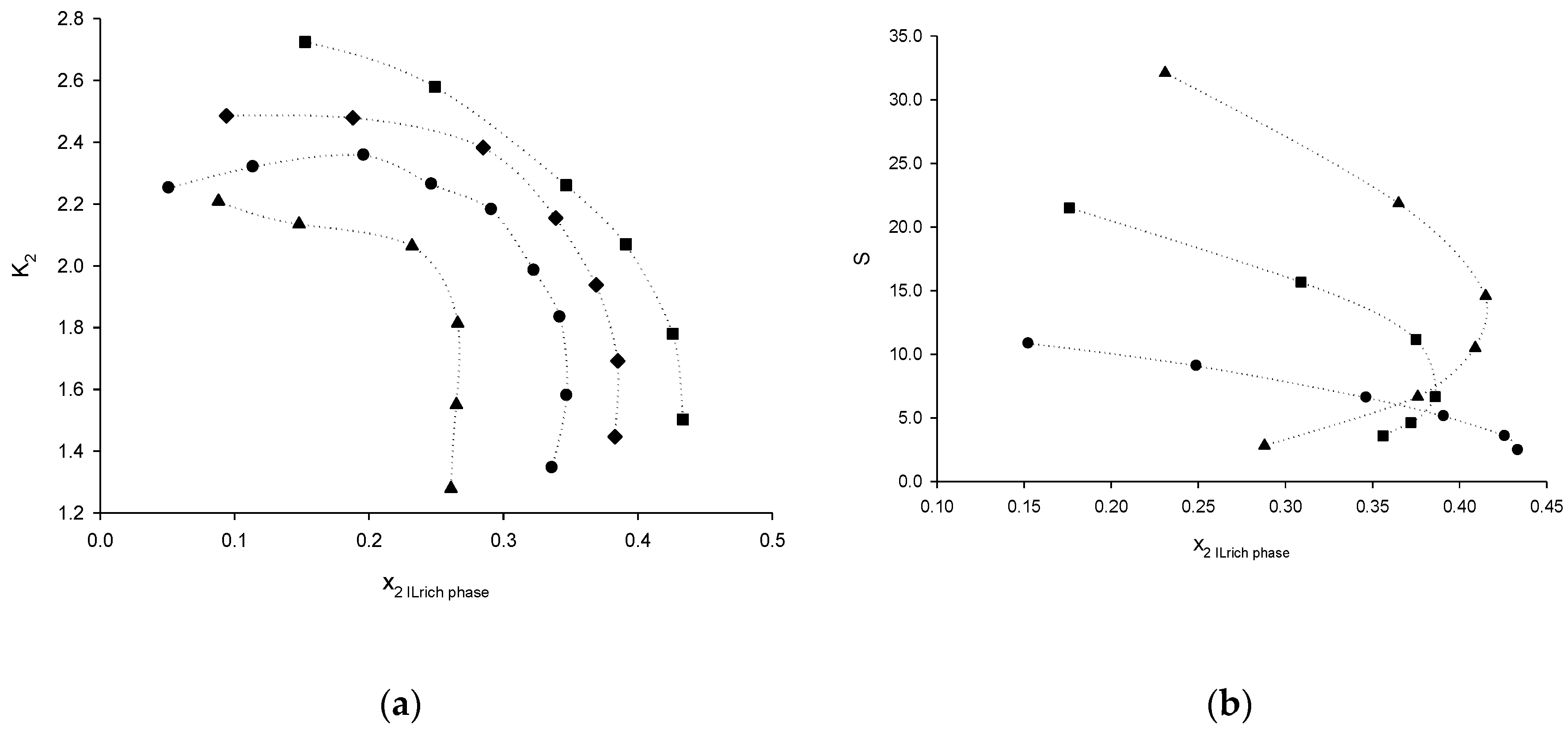
3. Results
3.1. Experimental Data




3.2. Data Correlation
4. Discussion
5. Conclusions
Author Contributions
Funding
Data Availability Statement
Conflicts of Interest
Abbreviations
| ILs | ionic liquids | 
| [dmim][Tf2N] | 1-decyl-3-methylimidazolium bis(trifluoromethylsulfonyl)imide | 
| [emim][Tf2N] | 1-ethyl-3-methylimidazolium bis(trifluoromethylsulfonyl)imide | 
| [bmim][Tf2N] | 1-butyl-3-methylimidazolium bis(trifluoromethylsulfonyl)imide | 
| [hmim][Tf2N] | 1-hexyl-3-methylimidazolium bis(trifluoromethylsulfonyl)imide | 
| [omim][Tf2N] | 1-octyl-3-methylimidazolium bis(trifluoromethylsulfonyl)imide | 
| NRTL | non-random two-liquid model | 
| UNIQUAC | universal quasichemical model | 
| LLE | liquid–liquid equilibrium | 
| LVE | Liquid–vapor equilibrium | 
| VOCs | flammable volatile organic compounds | 
| K2 | distribution coefficient | 
| S | selectivity | 
References
- Global Framework on Chemicals. United Nations Environment Programme. Available online: https://www.unep.org/global-framework-chemicals (accessed on 23 December 2024).
- Mendiburu, A.Z.; Lauermann, C.H.; Hayashi, T.C.; Mariños, D.J.; da Costa, R.B.R.; Coronado, C.J.; Roberts, J.J.; de Carvalho, J.A. Ethanol as a renewable biofuel: Combustion characteristics and application in engines. Energy 2022, 257, 124688. [Google Scholar] [CrossRef]
- Joyia, M.A.K.; Ahmad, M.; Chen, Y.-F.; Mustaqeem, M.; Ali, A.; Abbas, A.; Gondal, M.A. Trends and advances in sustainable bioethanol production technologies from first to fourth generation: A critical review. Energy Convers. Manag. 2024, 321, 119037. [Google Scholar] [CrossRef]
- Zhao, J.; Xu, Y.; Wang, W.; Griffin, J.; Roozeboom, K.; Wang, D. Bioconversion of industrial hemp biomass for bioethanol production: A review. Fuel 2020, 281, 118725. [Google Scholar] [CrossRef]
- Tse, T.J.; Wiens, D.J.; Reaney, M.J.T. Production of Bioethanol—A Review of Factors Affecting Ethanol Yield. Fermentation 2021, 7, 268. [Google Scholar] [CrossRef]
- Beluhan, S.; Mihajlovski, K.; Šantek, B.; Ivančić Šantek, M. The Production of Bioethanol from Lignocellulosic Biomass: Pretreatment Methods, Fermentation, and Downstream Processing. Energies 2023, 16, 7003. [Google Scholar] [CrossRef]
- Lee, S.C.; Oh, H.W.; Woo, H.C.; Kim, Y.H. Energy-efficient bioethanol recovery process using deep eutectic solvent as entrainer. Biomass Convers. Biorefinery 2023, 13, 15815–15826. [Google Scholar] [CrossRef]
- Janković, T.; Straathof, A.J.J.; Kiss, A.A. Advanced downstream processing of bioethanol from syngas fermentation. Sep. Purif. Technol. 2023, 322, 124320. [Google Scholar] [CrossRef]
- Voutsas, E.C.; Pamouktsis, C.; Argyris, D.; Pappa, G.D. Measurements and thermodynamic modeling of the ethanol–water system with emphasis to the azeotropic region. Fluid Phase Equilibria 2011, 308, 135–141. [Google Scholar] [CrossRef]
- Lei, Z.; Dai, C.; Zhu, J.; Chen, B. Extractive distillation with ionic liquids: A review. AIChE J. 2014, 60, 3312–3329. [Google Scholar] [CrossRef]
- Pereiro, A.B.; Araújo, J.M.M.; Esperança, J.M.S.S.; Marrucho, I.M.; Rebelo, L.P.N. Ionic liquids in separations of azeotropic systems—A review. J. Chem. Thermodyn. 2012, 46, 2–28. [Google Scholar] [CrossRef]
- Martínez-Galmiche, I.F.; Ramírez-Corona, N.; Conde-Mejía, C.; Sánchez-Sánchez, K.B.; Gani, R.; Jiménez-Gutiérrez, A. Design of energy-efficient ionic liquid-based extractive distillation systems for ethanol dehydration including alternatives for ionic liquid recovery. Chem. Eng. Res. Des. 2022, 188, 238–248. [Google Scholar] [CrossRef]
- Janković, T.; Straathof, A.J.J.; McGregor, I.R.; Kiss, A.A. Design of a Novel Pass-Through Distillation Process for Bioethanol Recovery. In 34th European Symposium on Computer Aided Process Engineering/15th International Symposium on Process Systems Engineering; Manenti, F., Reklaitis, G.V., Eds.; Elsevier: Amsterdam, The Netherlands, 2024; Volume 53. [Google Scholar] [CrossRef]
- Assaf, J.C.; Mortada, Z.; Rezzoug, S.A.; Maache-Rezzoug, Z.; Debs, E.; Louka, N. Comparative Review on the Production and Purification of Bioethanol from Biomass: A Focus on Corn. Processes 2024, 12, 1001. [Google Scholar] [CrossRef]
- Urszula, D. Experimental data of fluid phase equilibria-correlation and prediction models: A review. Processes 2019, 7, 277. [Google Scholar] [CrossRef]
- Barr-David, F.; Dodge, B.F. Vapor-Liquid Equilibrium at High Pressures. The Systems Ethanol-Water and 2-Propanol-Water. J. Chem. Eng. Data 1959, 4, 107–121. [Google Scholar] [CrossRef]
- Marsh, K.N.; Deev, A.; Wu, A.C.T.; Tran, E.; Klamt, A. Room temperature ionic liquids as replacements for conventional solvents—A review. Korean J. Chem. Eng. 2002, 19, 357–362. [Google Scholar] [CrossRef]
- Canales, R.I.; Brennecke, J.F. Comparison of Ionic Liquids to Conventional Organic Solvents for Extraction of Aromatics from Aliphatics. J. Chem. Eng. Data 2016, 61, 1685–1699. [Google Scholar] [CrossRef]
- Boli, E.; Voutsas, E. Ionic liquids as entrainers for the separation of azeotropic mixtures: Experimental measurements and COSMO-RS predictions. Chem. Eng. Sci. 2020, 219, 115579. [Google Scholar] [CrossRef]
- Qiu, X.; Zhou, M.; Zhu, Z.; Qi, J.; Wang, Y.; Yang, J. Comparative study on organic solvents and green solvents in separation of aromatic hydrocarbons/low-carbon alcohols azeotrope by structure–activity relationship. Sep. Purif. Technol. 2022, 297, 121498. [Google Scholar] [CrossRef]
- Philippi, F.; Welton, T. Targeted modifications in ionic liquids—From understanding to design. Phys. Chem. Chem. Phys. 2021, 23, 6993–7021. [Google Scholar] [CrossRef]
- Beil, S.; Markiewicz, M.; Pereira, C.S.; Stepnowski, P.; Thöming, J.; Stolte, S. Toward the Proactive Design of Sustainable Chemicals: Ionic Liquids as a Prime Example. Chem. Rev. 2021, 121, 13132–13173. [Google Scholar] [CrossRef] [PubMed]
- Kianfar, E.; Mafi, S. Ionic liquids: Properties, application, and synthesis. Fine Chem. Eng. 2021, 2, 21–29. [Google Scholar] [CrossRef]
- Nasirpour, N.; Mohammadpourfard, M.; Zeinali Heris, S. Ionic liquids: Promising compounds for sustainable chemical processes and applications. Chem. Eng. Res. Des. 2020, 160, 264–300. [Google Scholar] [CrossRef]
- Greer, A.J.; Jacquemin, J.; Hardacre, C. Industrial Applications of Ionic Liquids. Molecules 2020, 25, 5207. [Google Scholar] [CrossRef] [PubMed]
- Kaur, G.; Kumar, H.; Singla, M. Diverse applications of ionic liquids: A comprehensive review. J. Mol. Liq. 2022, 351, 118556. [Google Scholar] [CrossRef]
- Zhang, H.; Jiao, Y.; Zhao, Q.; Li, C.; Cui, P.; Wang, Y.; Zheng, S.; Li, X.; Zhu, Z.; Gao, J. Sustainable separation of ternary azeotropic mixtures based on enhanced extractive distillation/pervaporation structure and multi-objective optimization. Sep. Purif. Technol. 2022, 298, 121685. [Google Scholar] [CrossRef]
- Guo, C.; Liu, X.; Wang, F.; Cao, Y.; Zheng, S.; He, G. Economic Analysis and Life Cycle Environmental Assessment of Imidazolium-Based Ionic Liquids for Separation of the Methanol/Dimethyl Carbonate Azeotrope. ACS Sustain. Chem. Eng. 2023, 11, 10482–10495. [Google Scholar] [CrossRef]
- Cheng, H.; Wang, K.; Wang, Y.; Zhao, G.; Zhu, Z.; Qi, J.; Zhong, L.; Wang, Y.; Zhang, H.; Cui, P. Mechanism Analysis and Multiobjective Optimization of Efficient and Energy-Saving Separation of Green Fuel Additives via Extractive Pressure Swing Distillation with an Ionic Liquid Mixed Entrainer. Ind. Eng. Chem. Res. 2024, 63, 5261–5275. [Google Scholar] [CrossRef]
- Addouni, M.; Benyounes, H.; Jin, S.; Haddou, B.; Shen, W. Extraction process design for the separation of aromatic and aliphatic hydrocarbons using organic solvent, ionic liquid or their mixture: A comparative study. Braz. J. Chem. Eng. 2020, 37, 307–322. [Google Scholar] [CrossRef]
- Li, H.; Sun, G.; Li, D.; Xi, L.; Zhou, P.; Li, X.; Zhang, J.; Gao, X. Molecular interaction mechanism in the separation of a binary azeotropic system by extractive distillation with ionic liquid. Green Energy Environ. 2021, 6, 329–338. [Google Scholar] [CrossRef]
- Hu, R.; Liu, W.; Wang, Y.; Zhu, Z.; Wang, Y.; Yang, J.; Qi, J. Mechanism Analysis and Process Optimization for Extraction Distillation of Alcohol-Ester Azeotrope Using Ionic Liquid. ACS Sustain. Chem. Eng. 2024, 12, 16770–16780. [Google Scholar] [CrossRef]
- Liu, H.; Wang, Y.; Zhou, Y.; Wang, K.; Wang, Y.; Zhu, Z.; Qi, J. Multiscale analysis of the phase behavior of azeotropic systems containing low-carbon alcohols with ILs as extractants. J. Environ. Chem. Eng. 2024, 12, 114609. [Google Scholar] [CrossRef]
- Sosa, J.E.; Araújo, J.M.M.; Amado, E.; Pereiro, A.B. Separation of azeotropic mixtures using protic ionic liquids as extraction solvents. J. Mol. Liq. 2020, 297, 111733. [Google Scholar] [CrossRef]
- Ramírez-Corona, N.; Schramm-Flores, A.; Reyes-Lombardo, S.; Jiménez-Gutiérrez, A. Effect of ionic liquids as entrainers on the dynamic behavior of ethanol-water extractive columns. BMC Chem. Eng. 2019, 1, 23. [Google Scholar] [CrossRef]
- Cumplido, M.P.; Cháfer, A.; de la Torre, J.; Lladosa, E. Capability study of 1-butyl-3- methylimidazolium bis(trifluoromethylsulfonyl)imide and trihexyl(tetradecyl)phosphonium bis(2,4,4-trimethylpentyl)phosphinate as solvents in the separation of 1-propanol from water. Fluid Phase Equilibria 2018, 469, 1–8. [Google Scholar] [CrossRef]
- Cumplido, M.P.; Cháfer, A.; de la Torre, J.; Montón, J.B. Study of separation of water+2-propanol mixture using different ionic liquids: 1-Butyl-3-methylimidazolium bis(trifluoromethylsulfonyl)imide or 1-butyl-1-methylpyrrolidinium bis(trifluoromethylsulfonyl)imide. J. Chem. Thermodyn. 2018, 116, 32–41. [Google Scholar] [CrossRef]
- Cumplido, M.P.; Cháfer, A.; de la Torre, J.; Poy, H. Separation of the azeotropic mixture 2-propanol + water employing different imidazolium ionic liquids as solvents. J. Chem. Thermodyn. 2020, 140, 105889. [Google Scholar] [CrossRef]
- Cháfer, A.; de la Torre, J.; Lladosa, E.; Loras, S. Study of liquid–liquid equilibria at different temperatures of water + ethanol + 1-butyl-1-methylpyrrolidinium bis(trifluoromethylsulfonyl)imide ternary system. Fluid Phase Equilibria 2016, 426, 3–9. [Google Scholar] [CrossRef]
- Liu, W.; Zhang, Z.; Ri, Y.; Xu, X.; Wang, Y. Liquid–liquid equilibria for ternary mixtures of water + 2-propanol + 1-alkyl-3-methylimidazolium bis(trifluoromethylsulfonyl)imide ionic liquids at 298.15 K. Fluid Phase Equilibria 2016, 412, 205–210. [Google Scholar] [CrossRef]
- Abrams, D.S.; Prausnitz, J.M. Statistical thermodynamics of liquid mixtures: A new expression for the excess Gibbs energy of partly or completely miscible systems. AIChE J. 1975, 21, 116–128. [Google Scholar] [CrossRef]
- Danner, R.P. Computer calculations for multicomponent vapour-liquid and liquid-liquid equilibria. J. M. Prausnitz, T.F. Anderson, E.A. Grens, C.A. Eckert, R. Hsieh and J. P. O’Connell, Prentice-Hall, Englewood Cliffs, New Jersey (1980), 353 pages, $24.95. AIChE J. 1981, 27, 173. [Google Scholar] [CrossRef]
- Gao, J.; Ma, Y.; Zhang, L.; Liu, W.; Xu, D.; Xu, X.; Wang, Y. Measurement and correlation of phase equilibria for ternary systems of water + (ethanol/1-propanol) + 1-decyl-3-methylimidazolium bis(trifluoromethylsulfonyl) imide at 298.15 K. Fluid Phase Equilibria 2016, 427, 340–344. [Google Scholar] [CrossRef]
- Cháfer, A.; de la Torre, J.; Font, A.; Lladosa, E. Liquid–Liquid Equilibria of Water + Ethanol + 1-Butyl-3-methylimidazolium Bis(trifluoromethanesulfonyl)imide Ternary System: Measurements and Correlation at Different Temperatures. J. Chem. Eng. Data 2015, 60, 2426–2433. [Google Scholar] [CrossRef]
- Cháfer, A.; de la Torre, J.; Loras, S.; Montón, J.B. Study of liquid–liquid extraction of ethanol + water azeotropic mixtures using two imidazolium-based ionic liquids. J. Chem. Thermodyn. 2018, 118, 92–99. [Google Scholar] [CrossRef]
- Cháfer, A.; Lladosa, E.; de la Torre, J.; Burguet, M.C. Study of liquid–liquid equilibrium of the systems isobutyl acetate+acetic acid+water and isobutyl alcohol+acetic acid+water at different temperatures. Fluid Phase Equilibria 2008, 271, 76–81. [Google Scholar] [CrossRef]
- de la Torre, J.; Chafer, A.; Monton, J.B.; Lladosa, E.; Loras, S. Apparatus applicable to quantitative sample. analysis. Patent ES-1128706, 15 October 2015. [Google Scholar]
- Seader, J.D.; Henley, E.J.; Roper, D.K. Separation Process Principles; Wiley: New York, NY, USA, 1998; Volume 25. [Google Scholar]
- Xu, X.; Zhao, T.; Wang, Y.; Geng, X.; Wang, Y. Ternary Liquid–Liquid Equilibrium of Azeotropes (Water +2-Propanol) with Ionic Liquids ([Dmim][NTf2]) at Different Temperatures. J. Chem. Eng. Data 2017, 62, 1667–1672. [Google Scholar] [CrossRef]
- Cumplido, M.P.; Cuenca-Navarro, M.; Cháfer, A.; de la Torre, J.; Cerisuelo, J.P. Study of the capability of 1-decyl-3-methylimidazolium bis(trifluoromethylsulfonyl)imide ionic liquid as solvent in the separation of water from 1-propanol or 2-propanol at different temperatures. J. Mol. Liq. 2020, 318, 114083. [Google Scholar] [CrossRef]
- Freire, M.G.; Carvalho, P.J.; Gardas, R.L.; Marrucho, I.M.; Santos, L.M.; Coutinho, J.A. Mutual Solubilities of Water and the [Cnmim][Tf2N] Hydrophobic Ionic Liquids. J. Phys. Chem. B 2008, 112, 1604–1610. [Google Scholar] [CrossRef] [PubMed]
- Chemstations. CHEMCAD Process Flow Sheet Simulator 6.5.6. Available online: https://www.chemstations.com/CHEMCAD/ (accessed on 31 October 2024).
- Gmehling, J. Vapor-Liquid Equilibrium Data Collection; DECHEMA Deutsche Gesellschaft: Frankfurt, Germany, 1977. [Google Scholar]
- Santiago, R.S.; Santos, G.R.; Aznar, M. UNIQUAC correlation of liquid–liquid equilibrium in systems involving ionic liquids: The DFT–PCM approach. Fluid Phase Equilibria 2009, 278, 54–61. [Google Scholar] [CrossRef]
- Gardas, R.L.; Ge, R.; Ab Manan, N.; Rooney, D.W.; Hardacre, C. Interfacial tensions of imidazolium-based ionic liquids with water and n-alkanes. Fluid Phase Equilibria 2010, 294, 139–147. [Google Scholar] [CrossRef]
- Zumdahl, S.S.; Zumdahl, S.A.; DeCoste, D.J. Chemistry: An Atoms First Approach; Cengage Learning: Boston, MA, USA, 2020. [Google Scholar]
- National Institute of Standards and Technology (NIST). 1-Propanol. Available online: https://webbook.nist.gov/cgi/cbook.cgi?ID=71-23-8 (accessed on 24 December 2024).
- National Institute of Standards and Technology (NIST). 2-Propanol. Available online: https://webbook.nist.gov/cgi/cbook.cgi?ID=67-63-0 (accessed on 24 December 2024).
- Fitchett, B.D.; Knepp, T.N.; Conboy, J.C. 1-Alkyl-3-methylimidazolium Bis(perfluoroalkylsulfonyl)imide Water-Immiscible Ionic Liquids. J. Electrochem. Soc. 2004, 151, E219. [Google Scholar] [CrossRef]



| Chemical Name | Molar Mass | Source | Purity | 
|---|---|---|---|
| (g/mol) | (Mass Fraction) | ||
| Water | 18.02 | Fluka | 0.9950 | 
| Ethanol | 46.07 | Fluka | 0.9980 | 
| Methanol | 32.04 | Across Organics | 0.9997 | 
| [dmim][Tf2N] | 503.53 | Iolitec | >0.9800 | 
| T (K) | [dmim][Tf2N] | Water | K2 | S | ||
|---|---|---|---|---|---|---|
| Rich Phase | Rich Phase | |||||
| x1 | x2 | x1 | x2 | |||
| 283.2 | 0.195 | 0.000 | 1.000 | 0.000 | - | - | 
| 0.179 | 0.117 | 0.936 | 0.064 | 1.821 | 9.519 | |
| 0.215 | 0.243 | 0.875 | 0.125 | 1.942 | 7.894 | |
| 0.246 | 0.362 | 0.803 | 0.197 | 1.840 | 6.011 | |
| 0.281 | 0.416 | 0.741 | 0.258 | 1.615 | 4.262 | |
| 0.315 | 0.452 | 0.695 | 0.301 | 1.500 | 3.308 | |
| 0.393 | 0.474 | 0.605 | 0.380 | 1.248 | 1.924 | |
| 303.2 | 0.241 | 0.000 | 1.000 | 0.000 | - | - | 
| 0.237 | 0.153 | 0.944 | 0.056 | 2.725 | 10.846 | |
| 0.257 | 0.249 | 0.903 | 0.096 | 2.580 | 9.081 | |
| 0.290 | 0.346 | 0.846 | 0.153 | 2.261 | 6.590 | |
| 0.327 | 0.391 | 0.810 | 0.189 | 2.070 | 5.130 | |
| 0.378 | 0.426 | 0.758 | 0.239 | 1.780 | 3.572 | |
| 0.430 | 0.433 | 0.705 | 0.288 | 1.503 | 2.464 | |
| 323.2 | 0.291 | 0.000 | 1.000 | 0.000 | - | - | 
| 0.310 | 0.178 | 0.950 | 0.050 | 3.551 | 10.878 | |
| 0.345 | 0.308 | 0.892 | 0.107 | 2.869 | 7.411 | |
| 0.411 | 0.379 | 0.829 | 0.170 | 2.232 | 4.501 | |
| 0.470 | 0.395 | 0.778 | 0.218 | 1.810 | 2.999 | |
| 0.569 | 0.365 | 0.706 | 0.276 | 1.322 | 1.640 | |
| Component | UNIQUAC Parameters | |
|---|---|---|
| r | q | |
| water | 0.9200 a | 1.3997 a | 
| Ethanol | 2.5755 a | 2.5880 a | 
| [dmim][Tf2N] | 16.9766 b | 13.7052 b | 
| T (K) | i–j | NRTL Parameters | rmsd (%) | UNIQUAC Parameters | rmsd (%) | |||
|---|---|---|---|---|---|---|---|---|
| α | Aij (J.mol−1) | Aji (J.mol−1) | Aij (J.mol−1) | Aji (J.mol−1) | ||||
| 283 | 1–2 | 0.3 | 134.31 | −892.22 | −1627.58 | 396.63 | ||
| 1–3 | 0.3 | 11,900.64 | 3186.91 | 0.56 | 961.16 | 5223.45 | 0.25 | |
| 2–3 | 0.3 | 8322.68 | −7066.68 | −1548.61 | 1455.08 | |||
| 303 | 1–2 | 0.3 | 2480.38 | −618.15 | −2531.52 | 421.27 | ||
| 1–3 | 0.3 | 12,425.64 | 2546.94 | 0.63 | 179.17 | 6128.64 | 0.26 | |
| 2–3 | 0.3 | 8316.60 | −6542.99 | 3482.78 | −3650.69 | |||
| 323 | 1–2 | 0.3 | 3103.66 | −970.09 | 504.35 | −1006.10 | ||
| 1–3 | 0.3 | 11,698.46 | 1702.14 | 0.61 | 939.76 | 5214.58 | 0.29 | |
| 2–3 | 0.3 | 12,312.93 | −8285.97 | 2169.72 | −2060.89 | |||
| Disclaimer/Publisher’s Note: The statements, opinions and data contained in all publications are solely those of the individual author(s) and contributor(s) and not of MDPI and/or the editor(s). MDPI and/or the editor(s) disclaim responsibility for any injury to people or property resulting from any ideas, methods, instructions or products referred to in the content. | 
© 2025 by the authors. Licensee MDPI, Basel, Switzerland. This article is an open access article distributed under the terms and conditions of the Creative Commons Attribution (CC BY) license (https://creativecommons.org/licenses/by/4.0/).
Share and Cite
Cumplido, M.-P.; de la Torre, J.; Arango, M.-C.; Cerisuelo, J.P.; Chafer, A. Study of the Viability of Separating Mixtures of Water–Bioethanol Using a Neoteric Solvent: 1-Decyl-3-methylimidazolium Bis(trifluoromethylsulfonyl)imide. Processes 2025, 13, 580. https://doi.org/10.3390/pr13020580
Cumplido M-P, de la Torre J, Arango M-C, Cerisuelo JP, Chafer A. Study of the Viability of Separating Mixtures of Water–Bioethanol Using a Neoteric Solvent: 1-Decyl-3-methylimidazolium Bis(trifluoromethylsulfonyl)imide. Processes. 2025; 13(2):580. https://doi.org/10.3390/pr13020580
Chicago/Turabian StyleCumplido, Maria-Pilar, Javier de la Torre, Maria-Camila Arango, Josep Pasqual Cerisuelo, and Amparo Chafer. 2025. "Study of the Viability of Separating Mixtures of Water–Bioethanol Using a Neoteric Solvent: 1-Decyl-3-methylimidazolium Bis(trifluoromethylsulfonyl)imide" Processes 13, no. 2: 580. https://doi.org/10.3390/pr13020580
APA StyleCumplido, M.-P., de la Torre, J., Arango, M.-C., Cerisuelo, J. P., & Chafer, A. (2025). Study of the Viability of Separating Mixtures of Water–Bioethanol Using a Neoteric Solvent: 1-Decyl-3-methylimidazolium Bis(trifluoromethylsulfonyl)imide. Processes, 13(2), 580. https://doi.org/10.3390/pr13020580
 
        

 
                                                


 
       