The Effect of Optimizing the Stripping and Drying Parameters During Industrial Extraction on the Physicochemical Properties of Soybean Oil
Abstract
1. Introduction
2. Materials and Methods
2.1. Raw Materials
2.2. Oil Extraction
2.3. Oil-Insoluble Fine Substances
2.4. Determination of Color Index
2.5. Acidity
2.6. Peroxide Value
2.7. Oxidative Stability Measurement
2.8. Moisture Content
2.9. Statistical Analysis
3. Results and Discussion
3.1. Some Properties of Soybeans Before Entering the Line
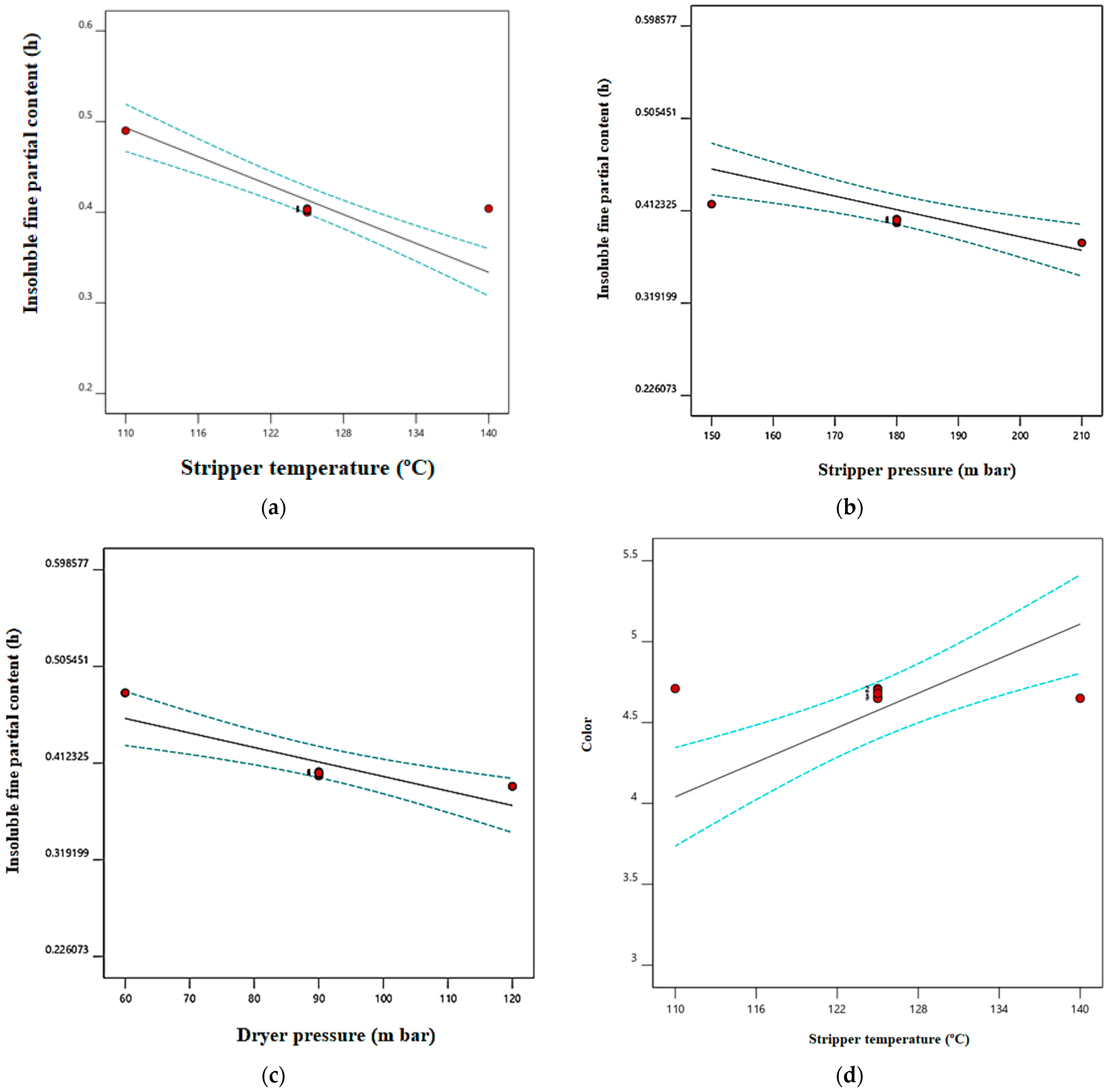
3.2. Oil-Insoluble Fine Substances
3.3. Color Index
3.4. Acidity
3.5. Peroxide Value
3.6. Oxidative Stability of Soybean Oil
3.7. Moisture Content
3.8. Optimizing Soybean Oil Extraction on an Industrial Scale
4. Conclusions
Author Contributions
Funding
Data Availability Statement
Conflicts of Interest
References
- Zhao, Q.; Xu, Y.; Liu, Y. Soybean oil bodies: A review on composition, properties, food applications, and future research aspects. Food Hydrocoll. 2022, 124, 107296. [Google Scholar]
- Liu, S.; Zhang, M.; Feng, F.; Tian, Z. Toward a “green revolution” for soybean. Mol. Plant 2020, 13, 688–697. [Google Scholar] [CrossRef]
- Khamies, M.; Hagar, M.; Kassem, T.S.; Moustafa, A.H.E. Case study of chemical and enzymatic degumming processes in soybean oil production at an industrial plant. Sci. Rep. 2024, 14, 4064. [Google Scholar] [CrossRef]
- Rizi, M.S.; Mohammadi, M. Breeding crops for enhanced roots to mitigate against climate change without compromising yield. Rhizosphere 2023, 26, 100702. [Google Scholar] [CrossRef]
- Chatterjee, C.; Gleddie, S.; Xiao, C.-W. Soybean bioactive peptides and their functional properties. Nutrients 2018, 10, 1211. [Google Scholar] [CrossRef]
- Preece, K.; Hooshyar, N.; Zuidam, N. Whole soybean protein extraction processes: A review. Innov. Food Sci. Emerg. Technol. 2017, 43, 163–172. [Google Scholar] [CrossRef]
- Shaltouki, M.; Nazeri, V.; Shokrpour, M.; Tabrizi, L.; Aghaei, F. Phenotypic and genotypic assessment of some Iranian Ziziphora clinopodioides Lam. Ecotypes. J. Agric. Sci. Technol. 2021, 23, 645–660. [Google Scholar]
- FAO. Food and Agriculture Organization (FAO). Available online: https://www.donorplatform.org/post/fao-statistical-yearbook-2023-world-food-and-agriculture/ (accessed on 1 January 2023).
- Kong, W.; Baeyens, J.; De Winter, K.; Urrutia, A.R.; Degrève, J.; Zhang, H. An energy-friendly alternative in the large-scale production of soybean oil. J. Environ. Manag. 2019, 230, 234–244. [Google Scholar] [CrossRef]
- Aussanasuwannakul, A.; Boonbumrung, S.; Pantoa, T. Valorization of soybean residue (Okara) by supercritical carbon dioxide extraction: Compositional, physicochemical, and functional properties of oil and defatted powder. Foods 2023, 12, 2698. [Google Scholar] [CrossRef] [PubMed]
- Wilcox, J. (Ed.) Breeding soybeans for improved oil quantity and quality. In World Soybean Research Conference III; CRC Press: Boca Raton, FL, USA, 2022. [Google Scholar]
- Say, M.; Kong, S.; Nat, Y.; Tan, C.P.; Tan, R. Oil extraction through hydraulic pressing from Cambodian soybean seeds and analysis of its physicochemical quality. J. Food Technol. 2023, 10, 93–102. [Google Scholar]
- Cheng, M.-H.; Rosentrater, K.A. Economic feasibility analysis of soybean oil production by hexane extraction. Ind. Crops Prod. 2017, 108, 775–785. [Google Scholar] [CrossRef]
- Zhang, H.; Yuan, Y.; Zhu, X.; Xu, R.; Shen, H.; Zhang, Q.; Ge, X. The effect of different extraction methods on extraction yield, physicochemical properties, and volatile compounds from field muskmelon seed oil. Foods 2022, 11, 721. [Google Scholar] [CrossRef] [PubMed]
- Rostami, M.; Farzaneh, V.; Boujmehrani, A.; Mohammadi, M.; Bakhshabadi, H. Optimizing the extraction process of sesame seed’s oil using response surface method on the industrial scale. Ind. Crops Prod. 2014, 58, 160–165. [Google Scholar] [CrossRef]
- Potrich, E.; Miyoshi, S.C.; Machado, P.F.; Furlan, F.F.; Ribeiro, M.P.; Tardioli, P.W.; Giordano, R.L.; Cruz, A.J. Replacing hexane by ethanol for soybean oil extraction: Modeling, simulation, and techno-economic-environmental analysis. J. Clean. Prod. 2020, 244, 118660. [Google Scholar] [CrossRef]
- Lavenburg, V.M.; Rosentrater, K.A.; Jung, S. Extraction methods of oils and phytochemicals from seeds and their environmental and economic impacts. Processes 2021, 9, 1839. [Google Scholar] [CrossRef]
- Taticchi, A.; Esposto, S.; Veneziani, G.; Minnocci, A.; Urbani, S.; Selvaggini, R.; Sordini, B.; Daidone, L.; Sebastiani, L.; Servili, M. High vacuum-assisted extraction affects virgin olive oil quality: Impact on phenolic and volatile compounds. Food Chem. 2021, 342, 128369. [Google Scholar] [CrossRef] [PubMed]
- Ferreira, M.C.; Gonçalves, D.; Bessa, L.C.; Rodrigues, C.E.; Meirelles, A.J.; Batista, E.A. Soybean oil extraction with ethanol from multiple-batch assays to reproduce a continuous, countercurrent, and multistage equipment. Chem. Eng. Process. Process Intensif. 2022, 170, 108659. [Google Scholar] [CrossRef]
- Abad, A.; Shahidi, F. A robust stripping method for the removal of minor components from edible oils. Food Prod. Process. Nutr. 2020, 2, 1–9. [Google Scholar] [CrossRef]
- Comerlatto, A.; Voll, F.A.; Daga, A.L.; Fontana, É. Mass transfer in soybean oil extraction using ethanol/isopropyl alcohol mixtures. Int. J. Heat Mass Transf. 2021, 165, 120630. [Google Scholar] [CrossRef]
- Chakraborty, D.; Das, J.; Das, P.; Bhattacharjee, S.; Das, S. Evaluation of the parameters affecting the extraction of sesame oil from sesame (Sesamum indicum L.) seed using soxhlet apparatus. Int. Food Res. J. 2017, 24, 691–695. [Google Scholar]
- Farzaneh, V.; Bakhshabadi, H.; Gharekhani, M.; Ganje, M.; Farzaneh, F.; Rashidzadeh, S.; Carvalho, I.S. Application of an adaptive neuro_fuzzy inference system (ANFIS) in the modeling of rapeseeds’ oil extraction. J. Food Process Eng. 2017, 40, e12562. [Google Scholar] [CrossRef]
- AOCS. AOCS Official Method Cd 8-53. In Official Methods and Recommended Practices of the AOCS; AOCS: Champaign, IL, USA, 1993. [Google Scholar]
- Cunniff, P.; Washington, D. Official methods of analysis of aoac international. J. AOAC Int. 1997, 80, 127A. [Google Scholar]
- Bakhshabadi, H.; Rostami, M.; Moghimi, M.; Bojmehrani, A.; Bahelkeh, A.; Toorani, N. Optimizing the operating parameters of cooker during oil extraction and production of sunflower meal on an industrial scale. Iran. Food Sci. Technol. Res. J. 2017, 13, 27–37. [Google Scholar]
- Moghimi, M.; Farzaneh, V.; Bakhshabadi, H. The effect of ultrasound pretreatment on some selected physicochemical properties of black cumin (Nigella sativa). Nutrire 2018, 43, 18. [Google Scholar] [CrossRef]
- Lee, Y.-C.; Oh, S.-W.; Chang, J.; Kim, I.-H. Chemical composition and oxidative stability of safflower oil prepared from safflower seed roasted with different temperatures. Food Chem. 2004, 84, 1–6. [Google Scholar] [CrossRef]
- Bakhshabadi, H.; Mirzaei, H.; Ghodsvali, A.; Jafari, S.M.; Ziaiifar, A.M. The influence of pulsed electric fields and microwave pretreatments on some selected physicochemical properties of oil extracted from black cumin seed. Food Sci. Nutr. 2018, 6, 111–118. [Google Scholar] [CrossRef] [PubMed]
- Mitra, P.; Ramaswamy, H.S.; Chang, K.S. Pumpkin (Cucurbita maxima) seed oil extraction using supercritical carbon dioxide and physicochemical properties of the oil. J. Food Eng. 2009, 95, 208–213. [Google Scholar] [CrossRef]
- Ma, Y.; Wu, X.; Zhao, L.; Wang, Y.; Liao, X. Comparison of the compounds and characteristics of pepper seed oil by pressure-assisted, ultrasound-assisted and conventional solvent extraction. Innov. Food Sci. Emerg. Technol. 2019, 54, 78–86. [Google Scholar] [CrossRef]
- Anjum, F.; Anwar, F.; Jamil, A.; Iqbal, M. Microwave roasting effects on the physico-chemical composition and oxidative stability of sunflower seed oil. J. Am. Oil Chem. Soc. 2006, 83, 777–784. [Google Scholar] [CrossRef]
- Bruhn, C.M. Consumer attitudes and market response to irradiated food. J. Food Prot. 1995, 58, 175–181. [Google Scholar] [CrossRef]
- Osséo, L.S.; Caputo, G.; Gracia, I.; Reverchon, E. Continuous fractionation of used frying oil by supercritical CO2. J. Am. Oil Chem. Soc. 2004, 81, 879–885. [Google Scholar] [CrossRef]
- Bakhshabadi, H.; Mirzaei, H.; Ghodsvali, A.; Jafari, S.M.; Ziaiifar, A.M.; Farzaneh, V. The effect of microwave pretreatment on some physico-chemical properties and bioactivity of Black cumin seeds’ oil. Ind. Crops Prod. 2017, 97, 1–9. [Google Scholar] [CrossRef]
- Alimentarius, C. Codex standard for named vegetable oils. Codex Stan 1999, 210, 1–13. [Google Scholar]
- O’brien, R.D. Fats and Oils: Formulating and Processing for Applications; CRC Press: Boca Raton, FL, USA, 2008. [Google Scholar]
- Velasco, J.N.; Andersen, M.L.; Skibsted, L.H. Evaluation of oxidative stability of vegetable oils by monitoring the tendency to radical formation. A comparison of electron spin resonance spectroscopy with the Rancimat method and differential scanning calorimetry. Food Chem. 2004, 85, 623–632. [Google Scholar] [CrossRef]
- Farhoosh, R. Critical kinetic parameters and rate constants representing lipid peroxidation as affected by temperature. Food Chem. 2021, 340, 128137. [Google Scholar] [CrossRef] [PubMed]
- Emmons, C.L.; Peterson, D.M.; Paul, G.L. Antioxidant capacity of oat (Avena sativa L.) extracts. 2. In vitro antioxidant activity and contents of phenolic and tocol antioxidants. J. Agric. Food Chem. 1999, 47, 4894–4898. [Google Scholar] [CrossRef] [PubMed]
- Holser, R. Properties of refined milkweed press oil. Ind. Crops Prod. 2003, 18, 133–138. [Google Scholar] [CrossRef]
- Matthäus, B. Utilization of high-oleic rapeseed oil for deep-fat frying of French fries compared to other commonly used edible oils. Eur. J. Lipid Sci. Technol. 2006, 108, 200–211. [Google Scholar] [CrossRef]
- Navarra, G.; Cannas, M.; D’Amico, M.; Giacomazza, D.; Militello, V.; Vaccaro, L.; Leone, M. Thermal oxidative process in extra-virgin olive oils studied by FTIR, rheology and time-resolved luminescence. Food Chem. 2011, 126, 1226–1231. [Google Scholar] [CrossRef]
- Spielmeyer, A.; Wagner, A.; Jahreis, G. Influence of thermal treatment of rapeseed on the canolol content. Food Chem. 2009, 112, 944–948. [Google Scholar] [CrossRef]
- Hosseini, S.M.; Bojmehrani, A.; Zare, E.; Zare, Z.; Hosseini, S.M.; Bakhshabadi, H. Optimization of antioxidant extraction process from corn meal using pulsed electric field-subcritical water. J. Food Process. Preserv. 2021, 45, e15458. [Google Scholar] [CrossRef]
- Samaram, S.; Mirhosseini, H.; Tan, C.P.; Ghazali, H.M. Ultrasound-assisted extraction and solvent extraction of papaya seed oil: Crystallization and thermal behavior, saturation degree, color and oxidative stability. Ind. Crops Prod. 2014, 52, 702–708. [Google Scholar] [CrossRef]
- Regulation (EC) No 1333/2008 of the European Parliament and of the Council of 16 December 2008 on Food Additives (Text with EEA Relevance). Available online: https://eur-lex.europa.eu/eli/reg/2008/1333/oj (accessed on 11 December 2008).
- Laoretani, D.; Fernández, M.; Crapiste, G.; Nolasco, S. Effect of drying operating conditions on canola oil tocopherol content. Antioxidants 2014, 3, 190–199. [Google Scholar] [CrossRef] [PubMed]
- Subroto, E.; Manurung, R.; Heeres, H.J.; Broekhuis, A.A. Optimization of mechanical oil extraction from Jatropha curcas L. kernel using response surface method. Ind. Crops Prod. 2015, 63, 294–302. [Google Scholar] [CrossRef]
- Rezzoug, S.-A.; Boutekedjiret, C.; Allaf, K. Optimization of operating conditions of rosemary essential oil extraction by a fast controlled pressure drop process using response surface methodology. J. Food Eng. 2005, 71, 9–17. [Google Scholar] [CrossRef]




| Characteristics | Sampling Time (Hour) | ||||||||
|---|---|---|---|---|---|---|---|---|---|
| 8 | 10 | 12 | 14 | 16 | 18 | 20 | 22 | 24 | |
| Acidity (% oleic acid) | 0.45 ± 0.01 a | 0.45 ± 0.02 a | 0.46 ± 0.01 a | 0.45 ± 0.02 a | 0.47 ± 0.02 a | 0.45 ± 0.01 a | 0.45 ± 0.01 a | 0.45 ± 0.02 a | 0.46 ± 0.01 a |
| Peroxide value (meqO2/kg) | 0.53 ± 0.02 a | 0.52 ± 0.03 a | 0.52 ± 0.01 a | 0.53 ± 0.02 a | 0.52 ± 0.03 a | 0.52 ± 0.01 a | 0.50 ± 0.03 a | 0.52 ± 0.01 a | 0.51 ± 0.02 a |
| No | Stripper Temperature | Stripper Pressure | Dryer Pressure |
|---|---|---|---|
| 1 | 110 | 150 | 60 |
| 2 | 140 | 150 | 60 |
| 3 | 110 | 210 | 60 |
| 4 | 140 | 210 | 60 |
| 5 | 110 | 150 | 120 |
| 6 | 140 | 150 | 120 |
| 7 | 110 | 210 | 120 |
| 8 | 140 | 210 | 120 |
| 9 | 110 | 180 | 90 |
| 10 | 140 | 180 | 90 |
| 11 | 125 | 150 | 90 |
| 12 | 125 | 210 | 90 |
| 13 | 125 | 180 | 60 |
| 14 | 125 | 180 | 120 |
| 15 | 125 | 180 | 90 |
| 16 | 125 | 180 | 90 |
| 17 | 125 | 180 | 90 |
| 18 | 125 | 180 | 90 |
| 19 | 125 | 180 | 90 |
| 20 | 125 | 180 | 90 |
| Oil-Insoluble Fine Particle Content | Oil Acidity | Color | Peroxide Value | Oxidative Stability | Moisture Content | |||||||
|---|---|---|---|---|---|---|---|---|---|---|---|---|
| Models | Sum of Squares | Pb > F | Sum of Squares | Pb > F | Sum of Squares | Pb > F | Sum of Squares | Pb > F | Sum of Squares | Pb > F | Sum of Squares | Pb > F |
| Intercept | 3.42 | - | 14.79 | - | 418.52 | - | 16.89 | - | 461.23 | - | 0.106 | - |
| Linear | 0.0979 | <0.001 | 0.0901 | 0.009 | 3.30 | 0.002 | 0.104 | 0.009 | 0.771 | 0.003 | 0.003 | 0.0009 |
| 2FI | 0.0058 | 0.1134 | 0.0543 | 0.005 | 0.865 | 0.082 | 0.065 | 0.004 | 0.1651 | 0.212 | 0.002 | 0.601 |
| Quadratic | 0.0025 | 0.4149 | 0.0005 | 0.983 | 0.329 | 0.398 | 0.0008 | 0.975 | 0.0433 | 0.765 | 0.0005 | 0.253 |
| Cubic | 0.006 | 0.0531 | 0.0337 | <0.01 | 0.979 | <0.01 | 0.039 | 0.001 | 0.341 | 0.002 | 0.0002 | 0.787 |
| Residual | 0.0019 | - | 0.0002 | - | 0.0295 | - | 0.0001 | - | 0.032 | - | 0.0008 | - |
| Total | 3.53 | - | 14.97 | - | 424.03 | - | 17.10 | - | 462.58 | - | 0.1109 | - |
| Oil-Insoluble Fine Particle Content | Oil Acidity | Color | Peroxide Value | Oxidative Stability | Moisture Content | |||||||
|---|---|---|---|---|---|---|---|---|---|---|---|---|
| Source | Sum of Squares | Pb > F | Sum of Squares | Pb > F | Sum of Squares | Pb > F | Sum of Squares | Pb > F | Sum of Squares | Pb > F | Sum of Squares | Pb > F |
| Model | 0.098 | <0.001 | 0.144 | 0.0005 | 3.30 | 0.002 | 0.169 | 0.0005 | 0.771 | 0.003 | 0.003 | 0.0009 |
| X1 | 0.063 | <0.001 | 0.085 | <0.001 | 2.85 | 0.0003 | 0.097 | <0.01 | 0.676 | 0.0005 | 0.001 | 0.006 |
| X2 | 0.017 | 0.0009 | 0.003 | 0.343 | 0.441 | 0.092 | 0.004 | 0.284 | 0.090 | 0.135 | 0.001 | 0.078 |
| X3 | 0.018 | 0.0007 | 0.003 | 0.315 | 0.008 | 0.814 | 0.003 | 0.308 | 0.004 | 0.732 | 0.0004 | 0.074 |
| X12 | - | - | - | - | - | - | - | - | - | - | - | |
| X22 | - | - | - | - | - | - | - | - | - | - | - | |
| X32 | - | - | - | - | - | - | - | - | - | - | - | |
| X1X2 | - | - | 0.034 | 0.003 | - | - | 0.041 | 0.003 | - | - | - | - |
| X1X3 | - | - | 0.015 | 0.036 | - | - | 0.016 | 0.041 | - | - | - | - |
| X2X3 | - | - | 0.006 | 0.154 | - | - | 0.007 | 0.141 | - | - | - | - |
| Residual | 0.016 | - | 0.034 | - | 2.20 | 0.039 | 0.582 | - | 0.002 | |||
| Lack of Fit | 0.016 | - | 0.034 | - | 2.20 | - | 0.039 | - | 0.581 | - | 0.002 | - |
| Pure Error | 0.000005 | - | 0.000 | - | 0.003 | 0.000 | 0.0006 | - | 0.000006 | - | ||
| Cor Total | 0.114 | - | 0.178 | - | 5.50 | 0.209 | 1.35 | - | 0.004 | - | ||
| Number | Dependent Variable | Equation | R2 | R2-Adj | cv | Predicted Data | Real Data |
|---|---|---|---|---|---|---|---|
| 1 | Oil-insoluble fine particle content (%) | y = +0.413 − 0.0798 X1 − 0.041 X2 − 0.042 X3 | 0.858 | 0.832 | 7.68 | 0.49 | 0.47 |
| 2 | Oil acidity (% oleic acid) | y = +0.860 + 0.092 X1 + 0.016 X2 − 0.017 X3 − 0.065 X1X2 − 0.042 X1X3 − 0.0275 X2X3 | 0.801 | 0.712 | 5.98 | 0.69 | 0.69 |
| 3 | Color | y = +4.57 + 0.534 X1 + 0.210 X2 + 0.028 X3 | 0.699 | 0.624 | 8.11 | 3.80 | 3.50 |
| 4 | Peroxide value (meq O2/kg oil) | y = +0.919 + 0.097 X1 + 0.019 X2 − 0.018 X3 − 0.072 X1X2 − 0.044 X1X3 +0.031 X2X3 | 0.810 | 0.722 | 6.01 | 0.72 | 0.73 |
| 5 | Oxidative stability (h) | y = +4.80 − 0.260 X1 − 0.095 X2 − 0.021 X3 | 0.669 | 0.589 | 3.97 | 5.20 | 5.30 |
| 6 | Moisture content (%) | y = +0.073 − 0.010 X1 − 0.012 X2 − 0.006 X3 | 0.732 | 0.662 | 14.33 | 0.09 | 0.08 |
Disclaimer/Publisher’s Note: The statements, opinions and data contained in all publications are solely those of the individual author(s) and contributor(s) and not of MDPI and/or the editor(s). MDPI and/or the editor(s) disclaim responsibility for any injury to people or property resulting from any ideas, methods, instructions or products referred to in the content. |
© 2025 by the authors. Licensee MDPI, Basel, Switzerland. This article is an open access article distributed under the terms and conditions of the Creative Commons Attribution (CC BY) license (https://creativecommons.org/licenses/by/4.0/).
Share and Cite
Mohammadi-Moghaddam, T.; Bakhshabadi, H.; Bojmehrani, A.; Valdes, M.E.; Morshedi, A. The Effect of Optimizing the Stripping and Drying Parameters During Industrial Extraction on the Physicochemical Properties of Soybean Oil. Processes 2025, 13, 541. https://doi.org/10.3390/pr13020541
Mohammadi-Moghaddam T, Bakhshabadi H, Bojmehrani A, Valdes ME, Morshedi A. The Effect of Optimizing the Stripping and Drying Parameters During Industrial Extraction on the Physicochemical Properties of Soybean Oil. Processes. 2025; 13(2):541. https://doi.org/10.3390/pr13020541
Chicago/Turabian StyleMohammadi-Moghaddam, Toktam, Hamid Bakhshabadi, Abolfazl Bojmehrani, Marcos Eduardo Valdes, and Afsaneh Morshedi. 2025. "The Effect of Optimizing the Stripping and Drying Parameters During Industrial Extraction on the Physicochemical Properties of Soybean Oil" Processes 13, no. 2: 541. https://doi.org/10.3390/pr13020541
APA StyleMohammadi-Moghaddam, T., Bakhshabadi, H., Bojmehrani, A., Valdes, M. E., & Morshedi, A. (2025). The Effect of Optimizing the Stripping and Drying Parameters During Industrial Extraction on the Physicochemical Properties of Soybean Oil. Processes, 13(2), 541. https://doi.org/10.3390/pr13020541
