Abstract
A consistent life cycle assessment (LCA) methodology was employed to show how the type of alkali (NaOH or Na2CO3) used for extracting water glass from rice husks, as well as the type of acid (HCl, H2SO4, or HNO3) used for precipitating water glass to nanosilica, affects the environmental emissions of rice husk-derived nanosilica (RH nanosilica). Six nanosilica production scenarios were explicitly compared to determine the most environmentally friendly route. The LCA results show that under the same circumstances, the majority of the environmental emissions of sodium hydroxide (NaOH) are significantly better than those of sodium carbonate (Na2CO3), except for the MAETP and ODP indicators. Similarly, except for the MAETP indicator, the environmental emissions of hydrochloric acid (HCl) are generally superior to those of sulfuric acid (H2SO4) and nitric acid (HNO3). NaOH and HCl were selected as preferable for the extraction of silica from rice husks and the precipitation of water glass, respectively. In addition, the preferred route underwent further in-depth optimization with the aim of achieving optimal environmental emissions for RH nanosilica. The effects of electricity, diesel, fertilizers, and pesticides on the life cycle emission factors of RH nanosilica were examined. The results demonstrate that replacing traditional coal power with cleaner alternatives, such as wind, hydropower, solar power (both photovoltaic and thermal), and biogas electricity, can result in a substantial decrease in the life cycle emission factors of nanosilica, with reductions varying between 20% and 60%. An effective method to reduce emissions associated with diesel, fertilizers, and pesticides is to adopt effective measures to decrease their consumption. These findings provide valuable theoretical foundations and insights for the industrial application of RH nanosilica. These results have great significance for guiding and promoting the industrialization process of nanosilica derived from rice husks and accelerating its commercialization.
1. Introduction
The increasing global warming and the frequent occurrence of extreme weather events, driven by greenhouse gas emissions over the past few decades, have compelled scientists to seek alternative materials that not only fulfill human needs but also minimize adverse environmental impacts [1]. In contrast to fossil fuels, biomass is a renewable resource that can be cultivated and harvested in an eco-friendly and sustainable manner [2]. Furthermore, biomass is characterized as a carbon-neutral resource, meaning the carbon dioxide emitted during its combustion is precisely counterbalanced by the carbon dioxide absorbed by plants during their growth process, thereby ensuring a neutral impact on the atmospheric carbon balance [3]. Therefore, biomass is considered an ideal alternative material for environmental protection, such as the preparation of nanosilica.
Nanosilica, characterized by its distinctive ultrafine nanoscale dimensions (1–100 nm), displays an array of remarkable characteristics and has been broadly utilized across numerous domains, such as coatings [4], cementing materials [5], catalysis, drug delivery [6], and water and wastewater treatment [7]. The gas-phase, precipitation, and sol–gel methods [8] are the conventional methods for preparing nanosilica. These methods often require expensive reagents and silica precursors, such as silicon tetrachloride, tetraethylsilicate (TEOS), sodium tetramethylsilicate, and sodium silicate [9], which are toxic and ecologically harmful. In addition, high temperatures are required in the gas-phase method and in the preparation of precipitation precursors of sodium silicate, which makes these processes energy-intensive, costly, and emits large amounts of carbon dioxide [10]. Therefore, the synthesis of nanosilica from safer, cheaper, and environmentally friendly silicon-containing waste is an encouraging trend.
Biomass wastes, especially their ashes, are recognized as promising raw materials for nanosilica production owing to the consistent generation of ash and its substantial silica content. With a high content of natural silica, rice husk is the most thoroughly researched biomass precursor material for the synthesis of amorphous nanosilica. Rice husk is an abundant agricultural waste that provides a sufficient source of raw materials for the preparation of nanosilica. The estimated global rice production was approximately 534 million tons in 2024 [11], which resulted in approximately 106 million tons of rice husks. In addition, the utilization of rice husks can reduce the accumulation and incineration of agricultural waste, thereby lowering environmental pollution [12]. Numerous investigations have been carried out to extract nanosilica from rice husks.
Typically, the synthesis of nanosilica from rice husk is reported to involve thermal and chemical methods [9]. Low ash production capacity, non-uniformity of ash products, and time-consuming operation (i.e., batch-like operation) are the major disadvantages of the thermal method [13]. Chemical extraction has the potential to considerably minimize metallic contaminants and enhance the quality of bio-silica compared to the direct thermal method [14]. Therefore, scholars favor the chemical method more. In the chemical method, rice husk is washed and dried to remove impurities, and then rice husk ash is prepared through acid leaching and thermal treatment. Subsequently, a silicate solution is obtained via alkaline treatment, which is then precipitated in an acidic medium to synthesize nanosilica. The alkaline treatment is performed by the addition of an alkaline solution, such as sodium hydroxide (NaOH, primarily) [15,16], sodium carbonate (Na2CO3) [17], or potassium hydroxide (KOH) [18]. The precipitation reaction is performed using hydrochloric acid (HCl) [19,20], sulfuric acid (H2SO4) [21,22], phosphoric acid (H3PO4) [23], and nitric acid (HNO3) [24]. However, previous research has mainly focused on the preparation process of rice husk-derived nanosilica (RH nanosilica) or the development of its applications. In contrast, there is a notable lack of literature that systematically evaluates the environmental impact of RH nanosilica prepared using the chemical reagents mentioned above from an environmental perspective.
Life cycle assessment (LCA) serves as a powerful instrument, empowering enterprises to gain a thorough understanding of the environmental footprint of their products and operations, thereby steering them toward informed decision-making that is aimed at alleviating these impacts. It constitutes a comprehensive methodology for assessing the environmental repercussions associated with every stage of a product’s life cycle, encompassing raw material extraction, production, utilization, and eventual disposal or recycling. LCA has achieved broad acceptance across a diverse range of industries. For instance, Arfan et al. [25] performed an environmental and economic assessment of hydrogen production from biowaste and biomass from a life cycle perspective, with a high degree of primary life cycle inventory data on materials, energy, and investment flows. Dominic et al. [26] synthesized nanosilica from millet husk, and they indicated that millet husk nanosilica has a lower environmental impact when compared to rice husk nanosilica. Zhao et al. [27] used a consistent LCA methodology to show how the type of yeast (C6 or C6/C5) used for ethanol fermentation, as well as the type of acid (H2SO4 or CO2) used to neutralize CaO pretreated slurry, affects environmental and human health aspects.
However, to date, no comprehensive LCA studies have been published regarding the production of RH nanosilica, and only LCA analyses of specific processes are available. For instance, Joglekar et al. [28] performed an LCA of rice husk nanosilica prepared by NaOH and H2SO4 and observed a total climate change of 7.26 kg of CO2 equivalent per kg of silica production. In fact, various acids and alkalis have been used to prepare nanosilica from rice husks, but a preparation process that is more beneficial to the environment has not been studied. This paper innovatively conducted a comparative and comprehensive analysis of existing preparation processes for RH nanosilica, evaluating them from an environmental perspective.
The objective of this study was to employ the LCA method to demonstrate how the type of alkali (NaOH or Na2CO3) that is used for extracting water glass from rice husk, as well as the type of acid (HCl, H2SO4, or HNO3) which is used for precipitating water glass to nanosilica, affect the environmental emissions of RH nanosilica. Six nanosilica production scenarios were explicitly compared to identify the most environmentally friendly route. Furthermore, the preferred route underwent further in-depth optimization, aiming to achieve optimal environmental emissions for RH nanosilica. The impact of KOH on the environmental emissions of nanosilica was not taken into account in this paper as no emission data for KOH were available in the software database. Similarly, due to the complexity and uncertainty of the byproducts resulting from the H3PO4 treatment process, the H3PO4 production scenarios were also excluded from consideration in this study. This study provides a theoretical foundation for the sustainable development and low-carbon evolution of RH nanosilica. The results are important for the promotion and guidance of the industrialization process of deriving nanosilica from rice husk and accelerating its commercialization.
2. Materials and Methods
2.1. Goal and Scope Definition
LCA was performed with LCA for Experts (GaBi) software (Version 10.8.0.14, Sphera Solutions GmbH Inc., Chicago, IL, USA, 2023), based on ISO 14040 and 14044. The Ecoivent 3.8 database was employed. The goal of this work was to analyze and compare the environmental impacts of six RH nanosilica production scenarios using alkali extraction followed by acid precipitation. A detailed emission inventory calculation was carried out—from the acquisition and transportation of rice husks to the final production of the nanosilica product. The usage and post-treatment of nanosilica were excluded from the scope of this evaluation. The system boundary of the life cycle system of the RH nanosilica is illustrated in Figure 1. The functional unit considered was the preparation of 1 kg of nanosilica product.
Figure 1.
The system boundary of the RH nanosilica production.
2.2. Inventory and Data Sources
2.2.1. Stage 1: Rice Husk Acquisition
The acquisition of rice husks included the processes of rice cultivation, harvesting, and the subsequent collection and storage of the husks. The primary consumption of energy was observed during various farming activities, including cultivation, irrigation, harvesting, transportation, and processing. The raw material and resource consumption during the rice husk acquisition stage was primarily obtained from the “Compilation of Cost-Benefit Data on Agricultural Products in China 2024” [29] (hereafter referred to as “Cost Compilation 2024”). The raw materials and resource inputs were as follows:
- Seed: The rice yield was 487.80 kg/mu (a Chinese unit of area, where 1 mu equals 666.67 square meters), with a seed usage of 3.20 kg/mu. Rice husk quality accounted for 27% of the rice grain quality [30].
- Fertilizers: The equivalent consumption of the rice fertilizers was 6.28 kg/mu of nitrogen fertilizers, 0.26 kg/mu of phosphate fertilizers, 0.74 kg/mu of potassium fertilizers, and 15.32 kg/mu of compound fertilizer. Among the nitrogen fertilizers, urea accounted for 94%, ammonium bicarbonate accounted for 5.1%, and other nitrogen fertilizers accounted for 0.9%. The consumption of ammonium bicarbonate was replaced by ammonium nitrate due to the lack of the ammonium bicarbonate emission inventory in LCA for Experts (GaBi) software version 10.8.0.14, and this was converted based on the nitrogen content. Similarly, other nitrogen fertilizers were also assumed to be ammonium nitrate. Calcium superphosphate accounted for 96% of the phosphate fertilizers. According to previous studies [31,32], the other phosphate fertilizers were assumed to be diammonium phosphate. Potassium chloride accounted for 99% of the potassium fertilizers. All potassium fertilizers were assumed to be potassium chloride since the LCA for Experts (GaBi) software version 10.8.0.14 does not have emission inventories for other types of potassium fertilizers. The compound fertilizer was of unknown composition and was assumed to be a ternary compound NPK fertilizer, consisting of 15% nitrogen fertilizer, 15% phosphate fertilizer, and 15% potassium fertilizer.
- Pesticides: The consumption of pesticides was converted based on the rice pesticide costs outlined in the “Cost Compilation 2024” [29] and the price data from the “Chinese Price Statistics Yearbook 2024” [33].
- Water: Water consumption for rice cultivation was sourced from the Chinese Statistical Yearbook 2024 [34], which was calculated based on the irrigated farmland area, crop sowing area, and total rice production nationwide. Among the irrigation water used, 50% was groundwater, and 50% was surface water [35].
- Electricity: Electricity consumption was calculated based on the rice irrigation costs outlined in the “Cost Compilation 2024” [29] and the electricity prices in China for the year 2024.
- Diesel: The energy consumption data for diesel usage in rice harvesting and rice husk storage processes were referenced from the literature [36,37], with appropriate modifications made on this basis. Therefore, the energy consumption for rice husk storage was estimated to be 30% of that for rice straw storage. The processing and storage of rice husk was simpler than that of rice straw, and there was no need for agricultural machinery such as shredders, balers, forklifts, balers, and grab cranes. Therefore, the energy consumption for rice husk storage was estimated to be 30% of that for rice straw storage.
2.2.2. Stage 2: Rice Husk Transportation
During the rice husk transportation stage, it was assumed that road freight transportation was utilized, with a transportation radius of 50 km, reflecting short-haul transportation. Therefore, short-haul trucks powered by diesel were used as the freight tool. The environmental emission factors for short-haul trucks from the basic material database of LCA for Experts (GaBi) software version 10.8.0.14, were directly adopted for the calculations.
2.2.3. Stage 3: Product Production (Water Glass Production (Stage 3a) and Nanosilica Production (Stage 3b))
To facilitate the analysis, the process of nanosilica production was divided into two parts: water glass production (Stage 3a) and nanosilica production (Stage 3b). The main process flow for water glass production is illustrated in Figure 2a. Rice husks were soaked in water for a period of time to wash away dust and impurities and dried for the preparation of rice husk ash. Rice husk ash was obtained by decomposing washed rice husks at a high temperature in a furnace. The inputs and outputs for rice husk ash acquisition were based on an inventory analysis of biomass combustion presented in the literature [38]. The rice husk ash was mixed with an alkaline solution (NaOH or Na2CO3) for reflux heating, and it was then cooled and filtered to obtain a sodium silicate solution. The sodium silicate solution was prepared using a dosing pump and a stirrer with 0.02 kW and 0.3 kW power, respectively. Upon dilution, the sodium silicate solution became a water glass solution.
Figure 2.
Schematic of the production processes: (a) water glass and (b) nanosilica.
Figure 2b shows the main process flow of nanosilica production. A diluted acid solution (HCl, H2SO4, or HNO3) was introduced into the water glass solution and maintained for 1 h to facilitate the precipitation of sodium silicate. This precipitation process was facilitated using a dosing pump with a power of 0.02 kW and a stirrer with a power of 0.3 kW. Subsequently, a high-pressure homogenizer with a power of 2.2 kW, was employed for further refinement of the precipitated mixture. Nitrogen was used as the reagent in this process. The pH level of the precipitated solution was then adjusted to a range of 4–4.5 using the above-diluted acid solution. After undergoing acidification, aging, washing, and freeze-drying, the precipitated solution yielded nanosized silica powder. The incubator used for aging boasted a power of 6 kW, while the centrifuge for washing operated at 0.75 kW. The freeze-dryer had a capacity of 0.85 kW, and the material transfer pump was powered by 4 kW.
In the aforementioned process, the quantities of rice husk, alkali, water glass, and acid were determined based on the corresponding chemical reactions, with additional margins taken into account. Specifically, a 1.3-fold stoichiometric amount was considered for rice husk usage during water glass production, assuming a 15% ash content in the rice husk and an 85% SiO2 content in the rice husk ash. The content of rice husk ash in rice husk roughly ranges from 10 to 23 d.b. wt% (d.b. = dry basis.) [39,40,41], with 15 d.b. wt% adopted for this calculation for the sake of caution. The SiO2 content in rice husk ash typically ranges from 80 to 99 d.b. wt% [9,40,42,43], with 85 d.b. wt% adopted for this calculation for the sake of caution. The 0.3-fold margin for rice husks primarily accounted for the mass loss of rice husks during the processes of water washing and impurity removal (0.1-fold), ash production (0.1-fold), and ensuring a complete alkaline dissolution reaction (Formula (1), 0.1-fold). In actual solid-liquid chemical reactions, the amount of reactants consumed may be greater than the theoretical amount indicated by the chemical reaction equation. This is due to various factors, such as the reaction conditions, purity and state of the reactants, losses during the reaction process, incomplete reactions, and side reactions. The composition of rice husk ash is relatively complex, containing various oxides, such as SiO2, K2O, MgO, CaO, Na2O, Al2O3, and Fe2O3. Besides SiO2, Al2O3 can also react with NaOH, thereby increasing the consumption of NaOH by approximately 0.1 to 0.2 times the stoichiometric value. The products resulting from the dissolution of Al2O3 will decompose into liquid byproducts during the acidification process without compromising the quality of the nanosilica. This is also one of the reasons for the need for an excess amount of acid. The impurities in rice husk ash can affect the dissolution rate of SiO2. Appropriately increasing the consumption of NaOH (by approximately 0.2 to 0.3 times the stoichiometric value) can enhance the dissolution rate of SiO2. Taking into account the above reasons, a 1.5-fold stoichiometric amount was used for the alkali consumption. A 1.1-fold increase was adopted for the water glass usage for the production of silica, with an additional 0.1-fold margin being used to ensure a complete reaction. A 1.5-fold increase was also applied to the acid usage when considering the amount required for the precipitation (1.1-fold stoichiometric value) acidification processes (0.4-fold stoichiometric value for pH adjustment to 4–4.5). The quantities of ethanol, nitrogen, and other materials were primarily obtained from actual experimental data [44]. The influence of the acid and alkali types on the consumption of electricity, water, ethanol, nitrogen, and other parameters was not considered. Due to the minimal refrigerant usage per unit mass of dried material during freeze-drying, emissions from the refrigerant were excluded from this study. Only emissions from other energy and material consumption during this process were considered. Chemical reactions for the abovementioned treatments are illustrated in Equations (1)–(4).
where n is the water glass modulus; stands for acid solutions such as HCl, H2SO4, and HNO3; and stands for sodium salt solutions such as NaCl, Na2SO4, and NaNO3.
The primary input and output data for the production of RH nanosilica using various combinations of acids and alkalis are listed in Table 1.
Table 1.
Main inventory analysis of the RH nanosilica production stages.
2.3. Life Cycle Impact Assessment
The environmental implications were quantified using the CML 2001 methodology, which was integrated into the LCA for Experts (GaBi) software version 10.8.0.14 suite, and an exhaustive analysis was conducted across various environmental categories. The data for the assessment were sourced from the Ecoinvent 3.8 database, adhering to a cradle-to-gate system boundary specifically for nanosilica powder. The flowchart for the life cycle of RH nanosilica conducted using LCA for Experts (GaBi) software version 10.8.0.14 is shown in Figure 3.
Figure 3.
Flowchart of the life cycle of RH nanosilica, as conducted using LCA for Experts (GaBi) software version 10.8.0.14.
This comprehensive assessment covered a wide range of standardized impact categories, such as abiotic resource depletion potential (ADP fossil, MJ), global warming potential (GWP, kg CO2 eq.), human toxicity potential (HTP, kg DCB eq.), ozone layer depletion potential (ODP, kg R11 eq.), photochemical ozone creation potential (POCP, kg Ethene eq.), acidification potential (AP, kg SO2 eq.), eutrophication potential (EP, kg phosphate eq.), freshwater aquatic ecotoxicity potential (FAETP, kg DCB eq.), terrestrial ecotoxicity potential (TETP, kg DCB eq.), and marine aquatic environment potential (MAETP, kg DCB eq.) [45]. This multifaceted approach aims to screen for environmentally friendly reagents and determine the most eco-friendly route for RH nanosilica. To achieve optimal environmental emissions for RH nanosilica, key areas for improvement and optimization were identified and analyzed, and further in-depth optimization was conducted on the preferred route. This approach ensures that every aspect of the production process is scrutinized to minimize the environmental impact, leading to a more sustainable and eco-friendly outcome. These recommendations serve as guidance for the industrialization and commercialization of RH nanosilica production.
3. Results
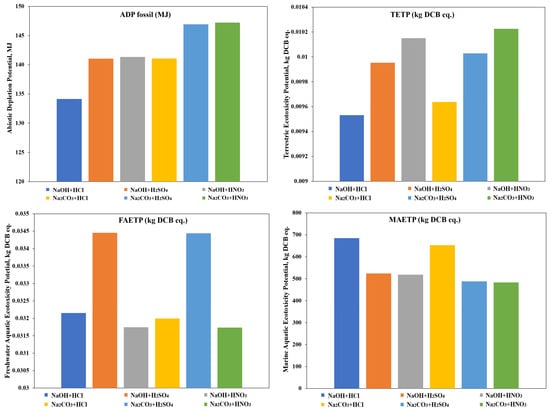
The results of the life cycle impact assessment (LCIA) obtained using LCA for Experts (GaBi) software version 10.8.0.14, are reported in this section. The environmental impact categories throughout the life cycle of RH nanosilica are shown in Figure 4. The first and second sections report the effect of different alkalis and acids on the RH nanosilica life cycle environmental emissions, respectively, to screen environmentally friendly alkali and acid reagents and provide references for industrial production.

Figure 4.
Environmental impacts of the life cycle of RH nanosilica based on different alkalis and acids.
3.1. Comparison of NaOH and Na2CO3
When comparing the environmental impacts of NaOH and Na2CO3, it was assumed that HCl was used in the two production scenarios of nanosilica. As shown in Figure 4, when paired with the same acid, the use of NaOH significantly reduced the impact of most environmental factors compared to Na2CO3. The reductions in AP, EP, POCP, and GWP were particularly noticeable, with ranges of approximately 19.0–23.2%, 22.0–26.3%, 12.5–14.0%, and 7.8–10.1%, respectively. The ADP fossil also decreased to some extent (by 4.0–4.9%). Compared to Na2CO3, the use of NaOH also resulted in a significant increase in a few environmental impact factors, such as ODP and MAETP. The increase in MAETP was about 5.0–7.5%, while the increase in ODP was more pronounced, ranging from 17.8 to 36.6%. Other impact factors, such as TETP, FAETP, and HTP, exhibited slight decreases or increases; however, the changes were within 2%.
When considering the multidimensional environmental impacts, NaOH demonstrated significantly lower environmental emissions compared to Na2CO3 under identical conditions. The use of NaOH was more conducive to mitigating water or soil acidification, alleviating eutrophication in water bodies, reducing ozone formation, mitigating global warming, and conserving fossil energy resources. However, the notable increase in MAETP in the NaOH scenario indicated its adverse effects on marine ecosystems. This is primarily because marine organisms are highly sensitive to changes in pH levels. Extreme pH shifts, whether acidic or alkaline, can exert stress on marine life, affecting their growth, reproduction, and survival. Despite a significant increase in ODP with NaOH, its magnitude was low, causing minor environmental changes compared to other factors.
3.2. Comparison of HCl, H2SO4 and HNO3
According to Section 3.1, the environmental emissions of NaOH were notably lower than those of Na2CO3 under identical conditions. Assuming that NaOH was used in the production of water glass, a comparative analysis was conducted on the environmental impacts throughout the life cycle of RH nanosilica using different acid types. Figure 4 shows similar emission patterns when using Na2CO3, which is consistent with the exclusive use of NaOH.
As illustrated in Figure 4, the use of HCl significantly reduced most of the environmental impact factors compared to H2SO4 and HNO3. In the HCl scenario, the values for ADP fossil, TETP, GWP, AP, EP, ODP, and POCP were the lowest. The HCl scenario’s FAETP and HTP values fell between those of the H2SO4 and HNO3 scenarios. Conversely, the HCl scenario’s MAETP was notably higher than those of both the H2SO4 and HNO3 scenarios. In comparison to HCl and HNO3, the H2SO4 scenario exhibited the highest values for FAETP, HTP, AP, and POCP. The remaining impact factors, such as ADP fossil, TETP, MAETP, GWP, EP, and ODP, lie between the HCl and HNO3 scenarios. When compared to HCl and H2SO4, the HNO3 scenario showed the highest values for ADP fossil, TETP, GWP, EP, and ODP. However, the HNO3 scenario’s MAETP, FAETP, and HTP were the lowest. The HNO3 scenario’s AP and POCP values fell between those of the HCl and H2SO4 scenarios.
Under identical conditions, the environmental emissions of HCl were significantly lower than those of H2SO4 and HNO3. The use of HCl was more conducive to conserving fossil fuels, mitigating global climate change, alleviating acidification of water bodies or soil, reducing eutrophication of water bodies, and decreasing ozone formation. Additionally, HCl exhibits low toxicity to terrestrial ecosystems and causes minimal damage to the ozone layer. However, the HCl scenario had the highest MAETP, indicating that its use is detrimental to marine ecosystems. This is primarily due to the difficulty in treating chlorine-containing wastewater resulting from hydrochloric acid, which undermines the stability of marine ecosystems [46].
4. Discussion
4.1. Contribution of Different Stages and Life Cycle Inventories
According to the analysis in Section 3, NaOH and HCl was selected as the optimal combination for preparing RH nanosilica. The contribution values of the stages and production factors in the life cycle of nanosilica were analyzed. The aim was to identify materials significantly impacting the environment, directly or indirectly, and to propose strategies to optimize these factors and reduce the process’s environmental footprint.
Figure 5 illustrates the contribution of different stages to various impact indicators of nanosilica derived from rice husk. It is evident that the rice husk acquisition stage exhibited the highest emissions, followed by the product production stages. Given the assumption of a short transportation radius for rice husk, emissions from the transportation stage were minimal. Consequently, an analysis of the contribution of production factors within the rice husk acquisition stage and the production stage to each impact indicator was conducted, as depicted in Figure 6a and 6b, respectively. Figure 6a reveals that diesel, electricity, pesticide, NPK fertilizer, and urea fertilizer made significant contributions to the various impact indicators during the rice husk acquisition stage. Additionally, Figure 6b shows that in the product production stage, electricity contributed the most to the impact indicators, followed by NaOH and HCl. Compared to Na2CO3, H2SO4, and HNO3, the environmental emissions associated with NaOH and HCl were relatively low. Reducing their usage may compromise the quality or yield of RH nanosilica. Therefore, further optimization of these two parameters (acids and alkalis) was not pursued in this section.
Figure 5.
Environmental impacts of different stages of RH nanosilica.
Figure 6.
Environmental impacts of different life cycle parameters for RH nanosilica: (a) parameters for rice husk acquisition and (b) parameters for water glass and nanosilica production.
Based on the above analysis, the elements of electricity, diesel, pesticide, NPK fertilizer, and urea fertilizer were optimized to reduce the environmental impacts of the RH nanosilica production life cycle.
4.2. Improvement Assessment
4.2.1. Electricity
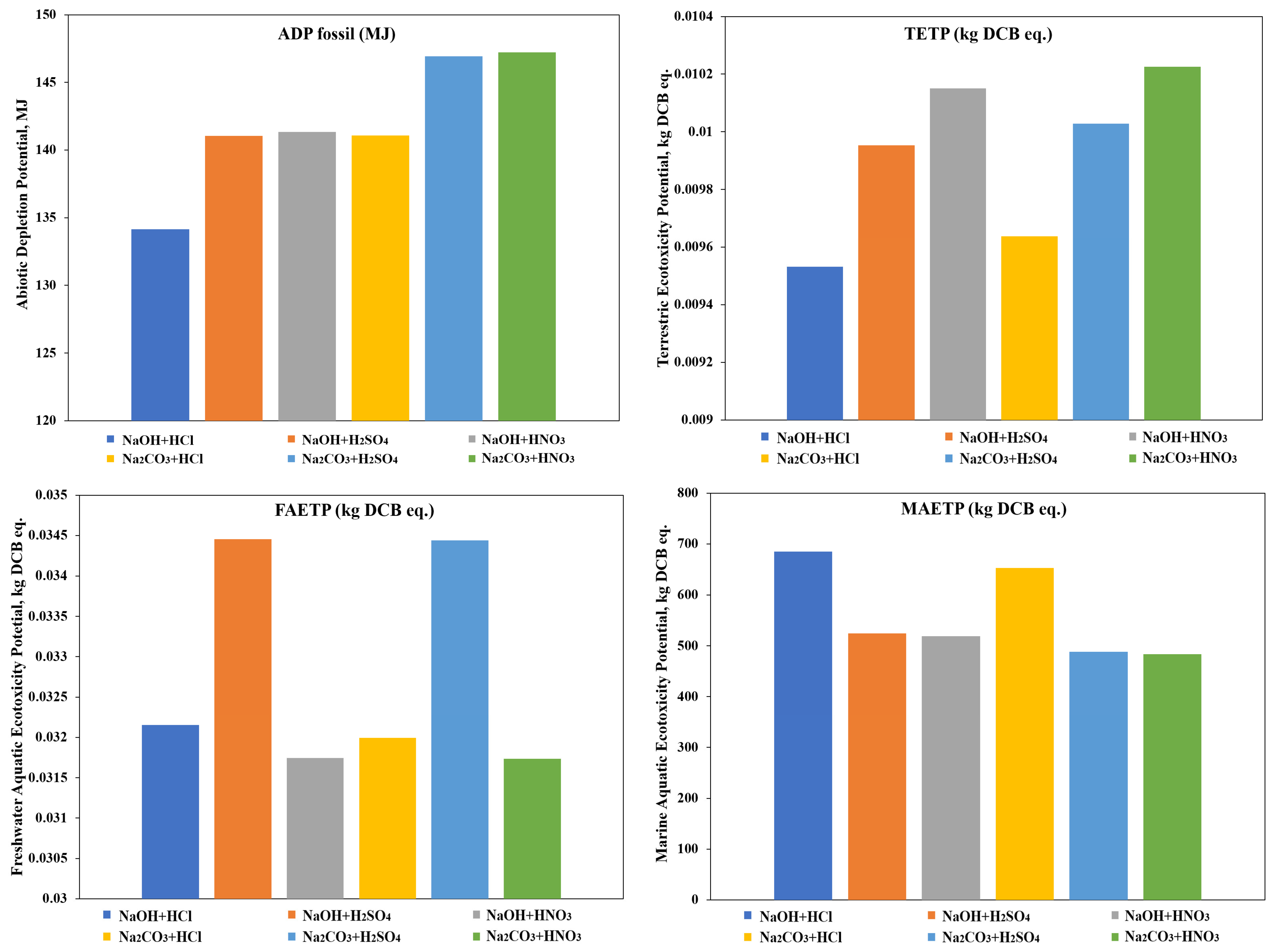
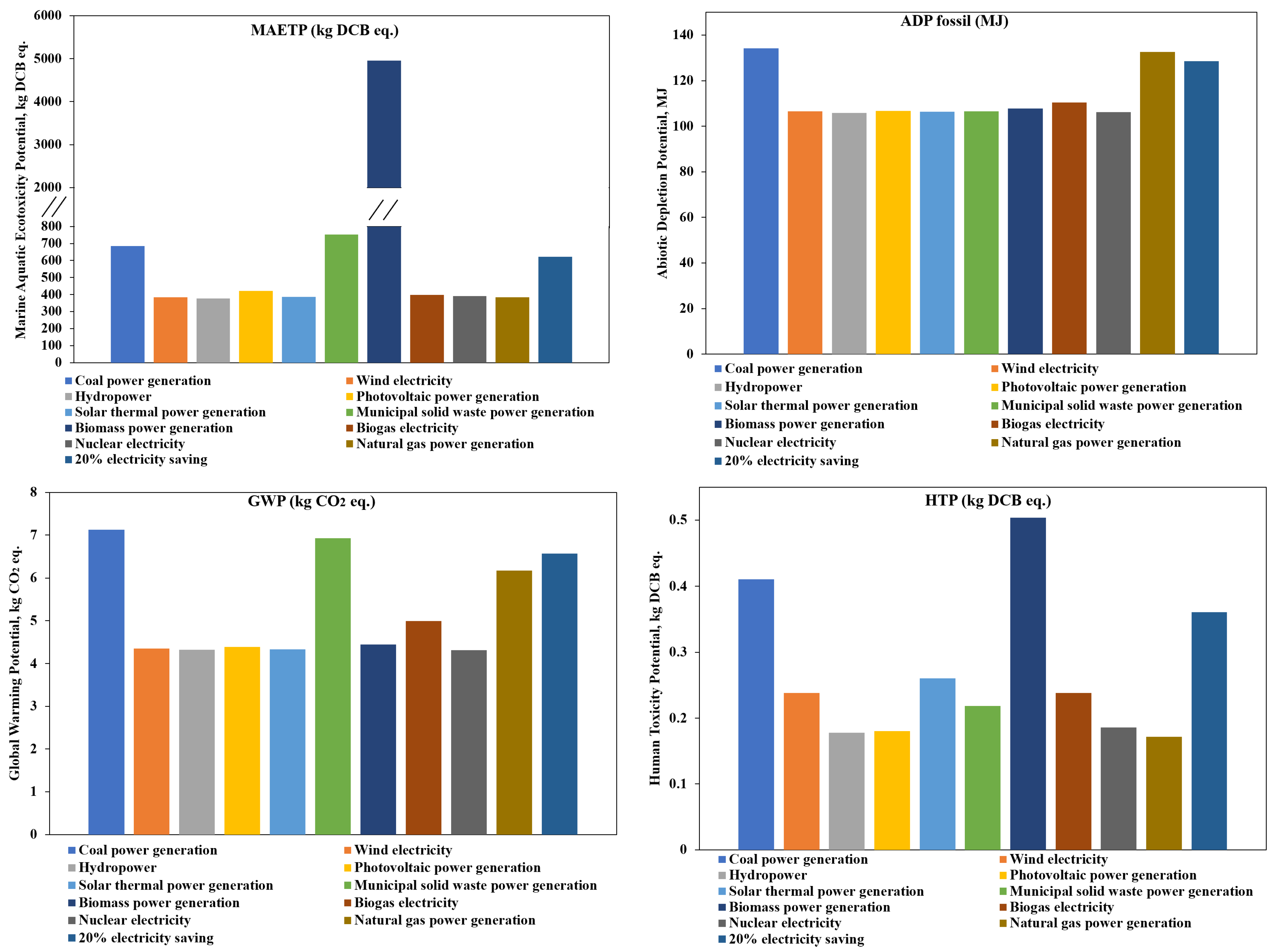
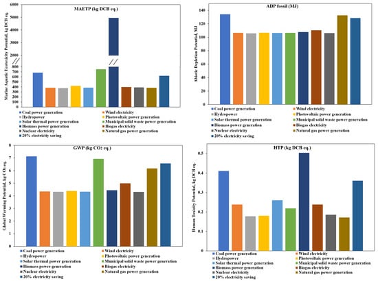
To better demonstrate the influence of environmental factors during the life cycle of RH nanosilica, a unified analysis of the electricity consumption across all stages of its life cycle was conducted. Based on the findings from Section 3, four indicators—MAETP, ADP fossil, GWP, and HTP—were identified as the most critical in terms of their environmental impact throughout the entire life cycle of RH nanosilica. Therefore, this section focuses on the analysis of these four indicators. Figure 7 presents a comparison of the environmental emissions associated with the life cycle of RH nanosilica, considering different electricity generation technologies and a scenario of 20% electricity savings. For an effective comparative analysis, a single-factor variable control method was employed, where only the type or consumption of electricity was adjusted while keeping other parameters constant. Specifically, the “20% electricity savings” scenario refers to a 20% reduction in the use of coal power. For the other scenarios, only the type of electricity was changed, while electricity consumption remained unchanged.
Figure 7.
Environmental impacts of the life cycle of RH nanosilica based on different electricity power generation types.
When compared to coal power, the utilization of green electricity sources such as wind, hydropower, photovoltaic, solar thermal, nuclear power, and biogas electricity results in significant reductions in various environmental emissions throughout the life cycle of RH nanosilica. Specifically, the reductions in MAETP, ADP fossil, GWP, and HTP for the aforementioned cases range approximately from 39 to 45%, 18 to 21%, 30 to 40%, and 37 to 57%, respectively. Evidently, the adoption of green electricity is beneficial for environmental protection and sustainable development. The development of green electricity has emerged as one of the crucial directions for future global energy transitions. Notably, nuclear power is often regarded as a type of clean energy due to its low-emission characteristics, which means it does not produce greenhouse gas emissions during operation. However, nuclear fuels, such as uranium, required for nuclear power have certain environmental and safety risks in the process of mining and disposal. Additionally, nuclear power faces challenges in terms of waste disposal.
Compared to coal power generation, the municipal solid waste (MSW) power generation scenario exhibits significant reductions in ADP fossil and HTP by 21% and 47%, respectively. However, the GWP for the MSW power generation scenario decreases by only about 3%, indicating a limited effect on greenhouse gas emission reduction. Furthermore, the MAETP for the MSW power generation scenario even increased by 10%. This has been attributed to the potential for harmful substances, such as heavy metals, organic pollutants, and persistent organic pollutants from waste disposal processes, to enter oceans via atmospheric circulation and precipitation, thereby contaminating marine ecosystems. In contrast, the natural gas power generation scenario demonstrated notable decreases in MAETP, GWP, and HTP of approximately 44%, 13%, and 58%, respectively. Nonetheless, natural gas, being a conventional fossil fuel, maintained a similar ADP fossil level to the coal power generation scenario. When coal power consumption was reduced by 20%, all emissions across the life cycle of nanosilica production decreased. However, the reduction in environmental emissions was more pronounced when green electricity was utilized without reducing electricity consumption when compared to scenarios where energy coal power consumption was reduced by 20%. In summary, green power sources such as wind, hydropower, photovoltaic, solar thermal, and biogas electricity are able to substantially mitigate the environmental impact of the life cycle of RH nanosilica. Manufacturers of nanosilica can achieve energy conservation, emission reduction, and energy transition by adopting green electricity.
4.2.2. Diesel During the Rice Husk Acquisition Stage
In the rice husk acquisition stage, the primary element contributing to the environmental impact is diesel, followed by electricity, pesticides, and fertilizers. This section analyzes the impact of the diesel used in the rice husk acquisition stage on the environmental emissions of the nanosilica life cycle, as well as the potential for reducing these emissions by substituting diesel with other high-energy-density fuels. Table 2 lists the calorific values of the two alternative fuels, of which the equivalent consumption was calculated based on the principle of equal calorific value of 1 kg of diesel. Figure 8 compares the environmental emissions of RH nanosilica when there is a 20% reduction in diesel consumption in the rice husk acquisition stage and when using alternative fuels with equivalent calorific values. For an effective comparative analysis, a single-factor variable control method was employed, where only the diesel consumption or type of alternative fuel in the rice husk acquisition stage was adjusted, while all other parameters remained constant. For other scenarios, the fuel type and equivalent consumption were adjusted, while all the other parameters remained unchanged. Since diesel consumption is relatively low in the rice husk transportation stage and the transportation distance is hypothetical, this section focuses solely on the diesel used in the rice husk acquisition stage and excludes the diesel used in the transportation stage.
Table 2.
The calorific value of different fuels (unit: kcal/kg).
Figure 8.
Environmental impacts of the life cycle of RH nanosilica based on different fuel types of the rice husk acquisition stage.
Figure 8 shows that using compressed natural gas (CNG) as a fuel for large agricultural machinery instead of diesel results in a lower ADP fossil potential for the life cycle of RH nanosilica. However, the GWP emissions from CNG were notably higher than those from diesel. In fact, CNG typically has lower greenhouse gas emissions per unit volume or weight compared to diesel. Nonetheless, the calorific value of CNG is approximately 15% lower than that of diesel. To produce the same amount of heat, the consumption of CNG needs to be about 15% higher than that of diesel, leading to higher greenhouse gas emissions when using CNG. The ADP fossil potential for liquefied petroleum gas (LPG) is comparable to that of diesel. However, the MAETP, GWP, and HTP for the LPG scenario were significantly higher than those for the diesel scenario, indicating that LPG contributes to substantially higher environmental emissions when compared to diesel. When diesel consumption was reduced by 20%, there was a notable decrease in various emissions throughout the life cycle of nanosilica, particularly in MAETP, ADP fossil, and GWP.
Based on the comprehensive analysis above, diesel is an ideal fuel for large-scale machinery due to its high energy density. An effective method to reduce diesel-related emissions is to adopt measures that decrease diesel consumption, such as optimizing the design, employing high-efficiency generators, and improving fuel management systems to enhance energy efficiency, thereby reducing emissions per unit. Theoretically, substituting diesel with cleaner fuels that produce fewer pollutants, such as biodiesel, could help reduce related environmental emissions. However, due to limitations in the database, relevant emission data for biodiesel were not obtained; thus, the potential of biodiesel to replace diesel is not discussed in this paper.
4.2.3. Pesticide and Fertilizers During the Rice Husk Acquisition Stage
Apart from diesel, the elements with the greatest environmental impact during the rice husk acquisition stage are electricity, pesticides, NPK fertilizer, and urea fertilizer. The impact of electricity during this stage has already been analyzed in conjunction with the electricity used in the production of water glass and nanosilica in Section 4.2.1, and it will not be further elaborated here. Figure 9 presents a comparison of the environmental emissions throughout the life cycle of RH nanosilica when different fertilizers and pesticides are reduced by 20%. Based on a single-factor variable control method, only the amount of fertilizer or pesticide was changed, while the other parameters remained constant. Figure 8 also shows the environmental emissions that occur throughout the life cycle of RH nanosilica when urea is replaced by ammonium nitrate or urea ammonium nitrate (UAN). The substitution quantities for ammonium nitrate and UAN were calculated based on nitrogen content equivalence. Ammonium nitrate contained 33.5% nitrogen, while urea contained 46% nitrogen, meaning that 1.373 kg of ammonium nitrate was needed to replace 1 kg of urea to obtain an equivalent amount of nitrogen. UAN contains 30% nitrogen; therefore, 1.533 kg of UAN is required to replace 1 kg of urea with the same nitrogen content. NPK compound fertilizer, which is a mixture of the three primary nutrients of nitrogen, phosphorus, and potassium, has a more complex composition and was not considered for substitution in this paper.

Figure 9.
Environmental impacts of the life cycle of RH nanosilica based on different fertilizer and pesticide types at the rice husk acquisition stage.
As shown in Figure 9, when the consumption of pesticide, NPK fertilizer, and urea fertilizer was reduced by 20%, there was a notable decrease in all types of emissions throughout the life cycle of RH nanosilica. Compared to fertilizers, reducing pesticide consumption results in a more significant reduction in emissions. The impact of pesticides on the environmental emissions of RH nanosilica was greater than that of fertilizers. However, due to the diversity and complexity of pesticide types, the pesticide data used in this paper represent the average for China; therefore, the substitution of pesticides was not investigated. Instead, two alternative fertilizers, ammonium nitrate and UAN, were examined as replacements for urea. The results indicate that both alternative fertilizers reduced ADP fossil emissions but significantly increased GWP emissions, particularly ammonium nitrate. This finding does not contradict the results in the literature [47]. Serrenho et al. [47] advised that globally, replacing some of the highest-emitting fertilizers, such as urea, with ammonium nitrate could further reduce carbon emissions by 20% to 30%. However, this would only be beneficial if the fertilizer industry decarbonizes. Without decarbonization, replacing urea with ammonium nitrate may not necessarily reduce carbon emissions. In contrast, reducing fertilizer usage is more effective in reducing fertilizer-related emissions, which aligns with the findings in the literature [47]. As stated in [47], the most effective way to reduce emissions related to fertilizers is to decrease their usage. The efficiency of fertilizer application is currently very low, which is a practical reality in agriculture. If fertilizers could be used more effectively, their demand would significantly decrease, leading to reduced carbon emissions without compromising crop yield.
4.3. Sensitivity Analysis
The sensitivity analysis was aimed at verifying how the results varied for each of the six scenarios of transformation of rice husks into nanosilica, whose inventory data, although based on reliable information, represents the main driver of the final eco-indicator. The initial values for the six scenarios for the sensitivity analysis are shown in Figure 10. The input values for each parameter were decreased by 20%, including electricity, alkali, acid, diesel, pesticide, NPK fertilizer, and urea fertilizer, for the sensitivity study. The environmental impacts of the RH nanosilica were then recalculated to determine how changes in parameter inputs affect the LCA results for the entire system. A parameter would not be sensitive if the factor change was less than 2% [48].
Figure 10.
Sensitivity analysis for six scenarios of the life cycle of RH nanosilica.
Overall, reducing electricity consumption was the most effective way to reduce the environmental impacts, especially in GWP, MAETP, and HTP, which can achieve a reduction of about 8–12%. Reducing pesticide usage can also significantly reduce environmental emissions, with a 2–6% reduction in all 10 indicators. A 20% reduction in diesel consumption in the rice husk acquisition stage can reduce ADP fossil and FAETP indicators by 5% and 12%, respectively. Other factors are sensitive to some indicators. For example, HCl is the most sensitive to the MAETP indicator, with a reduction of approximately 5%. H2SO4 is most sensitive to the HTP and TETP indicators, with a decrease of about 3%. HNO3 exhibits the highest sensitivity to the FAETP indicator, with a reduction of roughly 4%. NaOH is most sensitive to the ODP indicator, showing a decrease of around 4%. Na2CO3 is most sensitive to the ADP fossil and HTP indicators, with a reduction of approximately 3%. Both NPK fertilizer and urea fertilizer are most sensitive to the EP indicator, with a decrease of about 5%. The results of the sensitivity analysis are generally consistent with the findings of the overall analysis.
5. Conclusions
In this study, a comparative LCA was conducted to evaluate the environmental impact of different alkaline extraction (NaOH and Na2CO3) and acid precipitation processes (HCl, H2SO4, and HNO3) on RH nanosilica emissions and to determine the most eco-friendly route. Further in-depth optimization was conducted on the preferred route, aiming to achieve optimal environmental emissions for RH nanosilica. The key findings are as follows:
- Compared to Na2CO3, using NaOH resulted in significant decreases in five indicators (AP, EP, POCP, GWP, and ADP fossil) and significant increases in only two indicators (ODP and MAETP). Compared to H2SO4 and HNO3, the HCl scenario exhibited the lowest emissions according to seven indicators (ADP fossil, TETP, GWP, AP, EP, ODP, and POCP) and the highest emissions based on the MAETP indicator.
- The results indicate that NaOH and HCl are better selections for the chemical method to prepare nanosilica from rice husk. However, there are some challenges that need to be addressed in the usage of NaOH and HCl due to the higher MAETP criteria. During production, wastewater from NaOH and HCl should be deeply treated with technology to meet environmental standards before discharge or recycling. Enhancing alkaline and acidic wastewater reuse technologies will fundamentally mitigate the harm to marine ecosystems.
- Green electricity sources, such as wind, hydropower, solar power (both photovoltaic and thermal), and biogas electricity, can significantly reduce the environmental emissions of the nanosilica life cycle, achieving a 20–60% reduction in environmental impacts. Enterprises can enhance the integration of green electricity into production to reduce emissions and support sustainability.
- To reduce diesel emissions, there is a need to decrease diesel consumption by optimizing designs, using efficient generators, and improving fuel management. Alternatively, developing clean fuels, such as biodiesel, can theoretically help lower emissions.
- The most effective approach to reducing fertilizer-related and pesticide-related emissions is to enhance their utilization efficiency and decrease their consumption without compromising crop yields. Possible measures to enhance fertilizer utilization efficiency include applying fertilizers in appropriate amounts, at deeper soil levels, or with higher precision, along with using bio-fertilizers and organic fertilizers, and adopting improved fertilization methods, such as drip irrigation. By selecting eco-friendly biological pesticides, optimizing pesticide application methods, promoting the agricultural circular economy, strengthening pesticide management, and adopting low-carbon agricultural technologies, effective reductions in carbon emissions from pesticides can be achieved.
A notable limitation encountered in this study was the exclusion of real-time transportation data, which may have impacted the comprehensiveness of the findings. Furthermore, the research highlighted in this paper focuses on environmental impact analysis. Nevertheless, in practical industrial production processes, it is crucial to comprehensively take into account product quality, production costs, and environmental emissions. Consequently, economic analyses of RH nanosilica will be undertaken in future research endeavors.
Author Contributions
Investigation, S.G. and L.Y.; data curation, S.G. and L.Y.; writing—original draft preparation, S.G.; writing—review and editing, L.Y., X.L. and J.Z.; software, J.Z. All authors have read and agreed to the published version of the manuscript.
Funding
This research was funded by the “Nanxun Scholars Program for Young Scholars of ZJWEU, grant number RC2022021036”, and the “Science and Technology Project of Water Resources Department of Zhejiang Provincial (Research on Recycling Technology and Key Materials of Nitrate Wastewater)”, grant number RB2208.
Data Availability Statement
Data are contained within the article.
Acknowledgments
The financial support from the “Nanxun Scholars Program for Young Scholars of ZJWEU” and Nanxun Innovation Institute is kindly acknowledged.
Conflicts of Interest
Author Xiaoye Liang was employed by the company China Energy Engineering Group Zhejiang Electric Power Design Institute Co., Ltd. The remaining authors declare that this research was conducted in the absence of any commercial or financial relationships that could be construed as potential conflicts of interest.
Abbreviations and Nomenclature
| LCA | Life cycle assessment |
| RH nanosilica | Rice husk-derived nanosilica |
| TEOS | Tetraethylsilicate |
| NaOH | Sodium hydroxide |
| Na2CO3 | Sodium carbonate |
| KOH | Potassium hydroxide |
| HCl | Hydrochloric acid |
| H2SO4 | Sulfuric acid |
| H3PO4 | Phosphoric acid |
| HNO3 | Nitric acid |
| Cost Compilation 2023 | Compilation of Cost-Benefit Data on Agricultural Products in China 2023 |
| ADP fossil | Abiotic resource depletion potential |
| GWP | Global warming potential |
| HTP | Human toxicity potential |
| ODP | Ozone layer depletion potential |
| POCP | Photochemical ozone creation potential |
| AP | Acidification potential |
| EP | Eutrophication potential |
| FAETP | Freshwater aquatic ecotoxicity potential |
| TETP | Terrestrial ecotoxicity potential |
| MAETP | Marine aquatic environment potential |
| LCIA | Life cycle impact assessment |
| MSW power generation | municipal solid waste power generation |
| CNG | Compressed natural gas |
| LPG | Liquefied petroleum gas |
| UAN | Urea ammonium nitrate |
References
- Pham, C.D.; Dang, M.D.T.; Ly, T.B.; Tran, K.D.; Vo, N.T.; Do, N.H.N.; Mai, P.T.; Le, P.K. A review of the extraction methods and advanced applications of lignin-silica hybrids derived from natural sources. Int. J. Biol. Macromol. 2023, 230, 123175. [Google Scholar] [CrossRef] [PubMed]
- Londono-Pulgarin, D.; Cardona-Montoya, G.; Restrepo, J.C.; Munoz-Leiva, F. Fossil or bioenergy? Global fuel market trends. Renew. Sustain. Energ. Rev. 2021, 143, 110905. [Google Scholar] [CrossRef]
- Bhutto, A.W.; Qureshi, K.; Abro, R.; Harijan, K.; Zhao, Z.; Bazmi, A.A.; Abbas, T.; Yu, G. Progress in production of biomass-to-liquid biofuels to decarbonize transport sector—Prospectus and challenges. RSC Adv. 2016, 6, 32140–32170. [Google Scholar] [CrossRef]
- Muralishwara, K.; Kini, U.A.; Sharma, S. Epoxy-clay nanocomposite coatings: A review on synthesis and characterization. Mater. Res. Express 2019, 6, 082007. [Google Scholar] [CrossRef]
- Zhang, X.; Ahmad, J.; Jebur, Y.M.; Deifalla, A.F. A review on partial substitution of nanosilica in concrete. Rev. Adv. Mater. Sci. 2024, 63, 20230157. [Google Scholar]
- Maity, A.; Polshettiwar, V. Dendritic fibrous nanosilica for catalysis, energy harvesting, carbon dioxide mitigation, drug delivery, and sensing. ChemSusChem 2017, 10, 3866–3913. [Google Scholar] [CrossRef]
- Salami, B.A.; Oyehan, T.A.; Gambo, Y.; Badmus, S.O.; Tanimu, G.; Adamu, S.; Lateef, S.A.; Saleh, T.A. Technological trends in nanosilica synthesis and utilization in advanced treatment of water and wastewater. Environ. Sci. Pollut. Res. 2022, 29, 42560–42600. [Google Scholar] [CrossRef]
- Yang, Y.; Yang, Y.; Ni, C. Preparation of nano-SiO2 by silica sol in-situ complexation protective precipitation method. J. Inorg. Organomet. Polym. 2022, 32, 4359–4372. [Google Scholar] [CrossRef]
- Hossain, S.S.; Bae, C.J.; Roy, P.K. Recent progress of wastes derived nano-silica: Synthesis, properties, and applications. J. Clean. Prod. 2022, 377, 134418. [Google Scholar] [CrossRef]
- Abdul Razak, N.A.; Othman, N.H.; Mat Shayuti, M.S.; Jumahat, A.; Sapiai, N.; Lau, W.J. Agricultural and industrial waste-derived mesoporous silica nanoparticles: A review on chemical synthesis route. J. Environ. Chem. Eng. 2022, 10, 107322. [Google Scholar] [CrossRef]
- United States Department of Agriculture. World Agricultural Supply and Demand Estimates. Available online: https://www.usda.gov/oce/commodity/wasde/wasde1224v2.pdf (accessed on 10 October 2024).
- Gu, S.; Zhou, J.; Yu, C.; Luo, Z.; Wang, Q.; Shi, Z. A novel two-staged thermal synthesis method of generating nanosilica from rice husk via pre-pyrolysis combined with calcination. Ind. Crop. Prod. 2015, 65, 1–6. [Google Scholar] [CrossRef]
- Yang, H.; Liu, B.; Chen, Y.; Li, B.; Chen, H. Influence of inherent silicon and metals in rice husk on the char properties and associated silica structure. Energy Fuels 2015, 29, 7327–7334. [Google Scholar] [CrossRef]
- Gebretatios, A.G.; Pillantakath, A.R.K.K.; Witoon, T.; Lim, J.W.; Banat, F.; Cheng, C.K. Rice husk waste into various template-engineered mesoporous silica materials for different applications: A comprehensive review on recent developments. Chemosphere 2023, 310, 136843. [Google Scholar] [CrossRef]
- Park, J.Y.; Gu, Y.M.; Chun, J.; Sang, B.I.; Lee, J.H. Pilot-scale continuous biogenic silica extraction from rice husk by one-pot alkali hydrothermal treatment and ball milling. Chem. Biol. Technol. Agric. 2023, 10, 102. [Google Scholar] [CrossRef]
- Azat, S.; Korobeinyk, A.V.; Moustakas, K.; Inglezakis, V.J. Sustainable production of pure silica from rice husk waste in Kazakhstan. J. Clean. Prod. 2019, 217, 352–359. [Google Scholar] [CrossRef]
- Nayak, P.P.; Nandi, S.; Datta, A.K. Comparative assessment of chemical treatments on extraction potential of commercial grade silica from rice husk. Eng. Rep. 2019, 1, e212035. [Google Scholar] [CrossRef]
- Park, J.Y.; Gu, Y.M.; Park, S.Y.; Hwang, E.T.; Sang, B.I.; Chun, J.; Lee, J.H. Two-stage continuous process for the extraction of silica from rice husk using attrition ball milling and alkaline leaching methods. Sustainability 2021, 13, 7350. [Google Scholar] [CrossRef]
- Hossain, S.S.; Mathur, L.; Bhardwaj, A.; Roy, P.K. A facile route for the preparation of silica foams using rice husk ash. Int. J. Appl. Ceram. Technol. 2019, 16, 1069–1077. [Google Scholar] [CrossRef]
- Cervera, R.B.M.; Salamangkit-Mirasol, E.A. Preparation of amorphous nanosilica from philippine waste rice hull via acid precipitation method. Mater. Sci. Forum 2016, 864, 112–116. [Google Scholar] [CrossRef]
- Deepshikha, D.; Gopinath, H. Effect of rice husk derived nanosilica on the structure, properties and biodegradability of corn-starch/lDPE composites. J. Polym. Environ. 2019, 27, 710–727. [Google Scholar]
- Prameswara, G.; Rahim, H.; Diana, S.; Azwar, M.; Baasir, N.R.; Trisnawati, I.; Supriadi, C.P.; Puspita, F. Silica precipitation from rice husk ash leachate: Optimization and kinetic analysis. Chem. Pap. 2024, 78, 6363–6369. [Google Scholar] [CrossRef]
- Zulfiqar, U.; Subhani, T.; Husain, S.W. Towards tunable size of silica particles from rice husk. J. Non-Cryst. Solids 2015, 429, 61–69. [Google Scholar] [CrossRef]
- Adam, F.; Chew, T.S.; Andas, J. A simple template-free sol-gel synthesis of spherical nanosilica from agricultural biomass. J. Sol-Gel Sci. Technol. 2011, 59, 580–583. [Google Scholar] [CrossRef]
- Arfan, M.; Eriksson, O.; Wang, Z.; Soam, S. Life cycle assessment and life cycle costing of hydrogen production from biowaste and biomass in Sweden. Energy Convers. Manag. 2023, 291, 117262. [Google Scholar] [CrossRef]
- Dominic, C.D.M.; Rosa, D.d.S.; Barbosa, R.F.d.S.; Anagha, O.V.; Neenu, K.V.; Begum, P.S.; Kumar, A.V.; Parameswaranpillai, J.; Siriwong, C.; Ajithkumar, T.G.; et al. Extraction, characterization, and life cycle assessment of nanosilica from millet husk: A sustainable alternative with low environmental impact. J. Clean. Prod. 2024, 442, 140924. [Google Scholar] [CrossRef]
- Zhao, J.; Feng, D.; Lee, J. Life cycle assessment of calcium oxide pretreatment of corn stover with carbon dioxide neutralization for ethanol production. Bioresour. Technol. 2023, 379, 129042. [Google Scholar] [CrossRef]
- Joglekar, S.N.; Kharkar, R.A.; Mandavgane, S.A.; Kulkarni, B.D. Process development of silica extraction from RHA: A cradle to gate environmental impact approach. Environ. Sci. Pollut. Res. 2019, 26, 492–500. [Google Scholar] [CrossRef]
- Department of Prices, National Development and Reform Commission. Compilation of Cost-Benefit Data on Agricultural Products in China 2024; China Statistics Press: Beijing, China, 2025.
- Bi, Y.; Gao, C.; Wang, Y.; Li, B. Estimation of straw resources in China. Trans. Chin. Soc. Agric. Eng. 2009, 25, 211–217, (In Chinese with English Abstract). [Google Scholar]
- Chen, S.; Lu, F.; Wang, X. Estimation of greenhouse gases emission factors for China’s nitrogen, phosphate, and potash fertilizers. Acta Ecol. Sin. 2015, 35, 6371–6383. (In Chinese) [Google Scholar]
- Zheng, X.; Bai, H.; Feng, S.; Cui, R.; Wang, C.; Gao, Y. Carbon emission status of phosphate and compound fertilizer industry and low carbon green development path. Phosphate. Comp. Fertil. 2022, 37, 1–7. (In Chinese) [Google Scholar]
- Urban Socio-Economic Survey Division, National Bureau of Statistics. China Price Statistical Yearbook 2024; China Statistics Press: Beijing, China, 2025.
- National Bureau of Statistics. China Statistical Yearbook 2024. Available online: https://www.stats.gov.cn/sj/ndsj/2024/indexch.htm (accessed on 1 January 2025).
- Littlefield, J.; Bhander, G.; Davis, T.; Eckard, R.; Haslbeck, J.; Nippert, M.; Wallace, R.; Marriott, J. Life Cycle Analysis: Ethanol from Biomass (Appendices). Available online: https://www.docin.com/p-896736381.html (accessed on 19 August 2014).
- Guangzhou Institute of Energy Conversion, Chinese Academy of Sciences. Comprehensive Life Cycle Assessment of Power Generation Technologies Based on Agricultural and Forestry Biomass Resources. Available online: https://max.book118.com/html/2018/0826/8010006077001121.shtm (accessed on 27 August 2018).
- Heng, L. Study on Process Simulation of Producing Polyol Fuel via Oriented Pyrolysis of Biomass and Full Life Cycle Carbon Footprint. Ph.D. Thesis, Southeast University, Nanjing, China, 2019. [Google Scholar]
- Guo, J. Life Cycle Assessment of Converting Biomass to Liquid Fuel Through Gasification and the Experimental Research on Methanol Cracking to Gasoline. Ph.D. Thesis, Zhejiang University, Hangzhou, China, 2014. [Google Scholar]
- Steven, S.; Restiawaty, E.; Bindar, Y. Routes for energy and bio-silica production from rice husk: A comprehensive review and emerging prospect. Renew. Sustain. Energy Rev. 2021, 149, 111329. [Google Scholar] [CrossRef]
- Rodriguez-Otero, A.; Vargas, V.; Galarneau, A.; Castillo, J.; Christensen, J.H.; Bouyssiere, B. Sustainable Harnessing of SiO2 nanoparticles from rice husks: A review of the best synthesis and applications. Processes 2023, 11, 3373. [Google Scholar] [CrossRef]
- Peralta, Y.M.; Molina, R.; Moreno, S. Rice husk silica: A review from conventional uses to new catalysts for advanced oxidation processes. J. Environ. Manag. 2024, 370, 122735. [Google Scholar] [CrossRef] [PubMed]
- Yadav, M.; Dwibedi, V.; Sharma, S.; George, N. Biogenic silica nanoparticles from agro-waste: Properties, mechanism of extraction and applications in environmental sustainability. J. Environ. Chem. Eng. 2022, 10, 108550. [Google Scholar] [CrossRef]
- Chun, J.; Lee, J.H. Recent progress on the development of engineered silica particles derived from rice husk. Sustainability 2020, 12, 10683. [Google Scholar] [CrossRef]
- Gu, S.; Chang, Y.; Zhang, J.; Zhou, J. Preparation of highly dispersed nanosilica from rice husk by a precipitation method combined with high pressure homogenization. Inorg. Chem. Ind. 2018, 50, 66–69+74. (In Chinese) [Google Scholar]
- Guinée, J.B.; Gorrée, M.; Heijungs, R.; Huppes, G.; Kleijn, R.; de Koning, A.; van Oers, L.; Sleeswijk, A.W.; Suh, S.; de Haes, H.A.U.D. Handbook on Life Cycle Assessment: Operational Guide to the ISO Standards; Kluwer Academic Publishers: New York, NY, USA, 2001; pp. 71–82. [Google Scholar]
- Gu, S.; Yang, L.; Liang, X.; Zhou, J. Life cycle assessment and process optimization of precipitated nanosilica—A case study in China. Energies 2024, 17, 5621. [Google Scholar] [CrossRef]
- Yunhu, G.; Serrenho, A.C. Greenhouse gas emissions from nitrogen fertilizers could be reduced by up to one-fifth of current levels by 2050 with combined interventions. Nat. Food. 2023, 4, 170–178. [Google Scholar]
- Rodriguez, M.; Hicks, M.I.A. Life cycle assessment of stainless-steel reusable speculums versus disposable acrylic speculums in a university clinic setting: A case study. Environ. Res. Commun. 2022, 4, 025002. [Google Scholar] [CrossRef]
Disclaimer/Publisher’s Note: The statements, opinions and data contained in all publications are solely those of the individual author(s) and contributor(s) and not of MDPI and/or the editor(s). MDPI and/or the editor(s) disclaim responsibility for any injury to people or property resulting from any ideas, methods, instructions or products referred to in the content. |
© 2025 by the authors. Licensee MDPI, Basel, Switzerland. This article is an open access article distributed under the terms and conditions of the Creative Commons Attribution (CC BY) license (https://creativecommons.org/licenses/by/4.0/).











