Abstract
Flexible ultra-long stroke pumping units (FULSPUs) are widely adopted in low-yield oil wells due to their structural simplicity and high operational efficiency. However, current equipment selection methods lack precision, leading to mismatched configurations, low utilization rates, and unnecessary costs. To address this challenge, this study develops a systematic optimization framework integrating motion dynamics analysis and empirical data. First, a simplified formula for peak polished rod load (PPRL) is concluded by analyzing the unit’s stable motion characteristics. Second, a multi-parameter selection method incorporating stroke length, frequency, pump efficiency, and dynamic liquid level constraints is developed. This method generates interactive selection charts that map maximum liquid production across varying pumping depths, providing a rapid decision-making tool for optimal equipment pairing. A double-layer circle visualization that quantifies equipment utilization by linking pumping unit load and pump load, offering actionable insights for cost-effective upgrades. The model is validated through a field case, where overdesign risks are reduced. Significantly, this work replaces traditional beam-pump selection models with a tailored solution for flexible FULSPUs, delivering two major contributions: (1) a standardized workflow balancing technical feasibility and economic efficiency and (2) a visual tool that when adopted in the oilfield, the efficiency and applicability of equipment selection are improved. These advancements establish a transformative framework for sustainable resource management in mature low-permeability reservoirs.
1. Introduction
When a low-permeability oilfield enters the middle and late exploitation stage, the liquid production of a single well gradually decreases [1]. For this reason, the flexible ultra-long stroke pumping unit (FULSPU) system, which has the advantages of long stroke, low stroke, simple structure, small load impact, and high overall efficiency, has gradually been widely used in the old oilfields [2,3,4,5,6,7].
Compared with conventional beam pumping units, FULSPUs demonstrate four distinct technical advantages: Firstly, enhanced system efficiency. The extended stroke length combined with reduced stroking speed enables stable polished rod motion with minimized stroke loss, thereby increasing pump efficiency. This kinematic optimization significantly decreases energy consumption per production unit. Secondly, extended pump maintenance intervals. The reduced stroke frequency decreases rod-tubing wear rates. This slower cycling effectively reduces cumulative fatigue stress on sucker rods and mechanical stress cycles on the pumping unit, ultimately prolonging the mean time between pump inspections. Thirdly, improved polished rod load characteristics. The extended stroke length allows prolonged constant-speed motion phases, reducing peak dynamic loads. This enhanced mechanical stability lowers the probability of equipment failure. Finally, operational adaptability. Through direct adjustment of winch parameters, both stroke length and frequency can be precisely controlled. This flexibility facilitates optimal matching with diverse well conditions [8].
The current long-stroke oil pumping units are mainly divided into beam-type long-stroke oil pumping units and beamless long-stroke oil pumping units [9]. Among them, the former includes double-beam pumping units, vertical beam tower pumping units, and so on. By increasing the range-extending structure, the swing angle of the traveling beam is appropriately increased to enhance the stroke of the equipment; but, due to the cumbersome structure, it is difficult to install and maintain, and the cost is high, where the tower-type long-stroke pumping unit includes gear-type pumping unit, chain-type long-stroke pumping unit, wide-band long-stroke pumping unite, etc., and the maximum stroke is subject to the height of the tower.
This paper introduces the FULSPU system, using the power control drive to control the drum moving forward and reverse through the flexible steel wire rope, driving the pumping rod up and down with a reciprocating motion [10]. Its maximum stroke can be up to 50 m, with a stroke 1–12 h−1 stroke rate that is easy to adjust.
Regarding the optimization of ultra-long stroke pumping units, previous researchers have made certain progress. Kennedy [11] proposed that a lower stroke frequency may lead to a lower possibility of rod buckling, gas locking, and other problems in ultra-long stroke pumping units. Ghareeb [12] proposed that the ultra-long stroke pumping units enhance pump efficiency and production rates while reducing wear and maintenance by optimizing stroke length-to-rod stretch ratios, minimizing cycling and enabling easy adjustments, making them ideal for deep, challenging, and high-volume wells. Hou [13] optimized the stroke speed and waiting time for both upstroke and downstroke to enhance the system efficiency of the ultra-long stroke pumping unit system. Cui [14] optimized the long-stroke pumping unit with a low-speed permanent magnet synchronous motor to save energy by more than 20%. However, there is no specific research or model for optimizing the equipment selection of ultra-long stroke pumping units, and current practices typically rely on procedures used for conventional beam pumping units.
Although a series of targeted optimization selection methods have been formed for traditional beam pumping units [15,16,17,18,19,20,21,22,23,24,25,26,27,28,29,30], these methods are difficult to apply to the selection and design of FULSPUs due to the differences in the laws of motion. According to the pumping unit model and plunger pump model used in the field, there is often a mismatch between the actual application equipment model and the demand, resulting in low system efficiency and high cost. And when the equipment load rate is too high, it increases the probability of equipment failure [31].
To bridge this gap, this study aims to achieve the following research objectives:
- Developing a novel optimization framework for FULSPU selection;
- To quantify the impact of dynamic loads on polished rod motion through empirical and theoretical analyses, proposing a simplified peak polished rod load (PPRL) calculation formula;
- To establish a multi-parameter selection methodology incorporating stroke length, frequency, and dynamic liquid level constraints, supported by interactive selection charts;
- To validate the framework’s practicality through field case studies (e.g., Well #1).
These objectives directly respond to the unresolved challenges in the existing literature, offering a transformative tool for low-permeability oilfield management.
2. Basis of Analysis for FULSPUs
2.1. Structure and Working Principle of Flexible Ultra-Long Stroke Oil Pumping Unit
The basic structure of a FULSPU is shown in Figure 1.
Figure 1.
Flexible ultra-long stroke oil pumping unit structure schematic diagram.
Differing from the traditional four-link mechanism of the beam pumping unit, the FULSPU cancels the transmission chain, and with the help of the flexible steel wire rope, through the traveling wheel drive mechanism to change the direction, directly transforms the positive and negative rotating motion of the drum into the up and down reciprocating motion of the pumping rod, which drives the downhole ultra-long stroke pumping pump to work. The downhole is equipped with a multi-stage tubular pumping pump, the length of the tubular pump is 10 m, the total length is 50 m, and the length of the plunger is 1.2 m.
When working, an intelligent frequency conversion controller controls the motor moving forward and reverse, and the flexible steel wire rope is wrapped around the drum of the winch and connected to the downhole pumping rod through the drive mechanism of the flywheel. The motor drives the drum to rotate, and the drum drives the flexible steel wire rope to move and the downhole pumping rod and pumping pump to move.
2.2. Analysis of the Law of Motion of the Polished Rod
For FULSPUs, the pumping rod is driven upward by the motor-driven drum during the upstroke, and the pumping rod is controlled to go downward by an electromagnetic brake and mechanical brake during the downstroke. Therefore, a complete motion cycle can be divided into six processes: upstroke start with uniform acceleration, upstroke with uniform speed, upstroke with uniform deceleration, downstroke with uniform acceleration, downstroke with uniform speed, and upstroke with uniform deceleration.
A typical curve of displacement and velocity versus time at the polished rod is shown in Figure 2.
Figure 2.
Displacement and velocity at the polished rod for (a) an FULSPU and (b) a traditional beam pumping unit.
Different from the traditional beam pumping unit, as shown in Figure 2, it can be seen that the FULSPU has the characteristics of long stroke, low rod velocity, prolonged constant-speed motion phases, and stable acceleration and deceleration segments.
2.3. Polished Rod Load
Since the rated polished rod load is indicated in the technical specification of an FULSPU, when the actual polished rod load exceeds this rated value, it will cause the pumping unit to be overloaded and lead to failure. Therefore, it is necessary to consider the PPRL during the working process when selecting and designing the pumping unit.
The polished rod load of the pumping unit consists of static load and dynamic load [32,33], of which the static load mainly includes the pumping rod column load, liquid column load, and so on, as shown in Table 1.
Table 1.
Flexible ultra long stroke pumping unit polished rod load calculation formulas.
Dynamic loads include inertia loads, vibration loads, and so on. When calculating the maximum polished rod load, Mills [34] proposed the concept of the “acceleration factor”, which can be used to calculate the dynamic load when calculating the maximum polished rod load. The formula for calculating the maximum polished rod load is as follows:
where δ is the acceleration factor (dimensionless), S is the stroke length (m), and N is the stroke frequency (min−1).
The minimum polished rod load during downstroke is then calculated as follows:
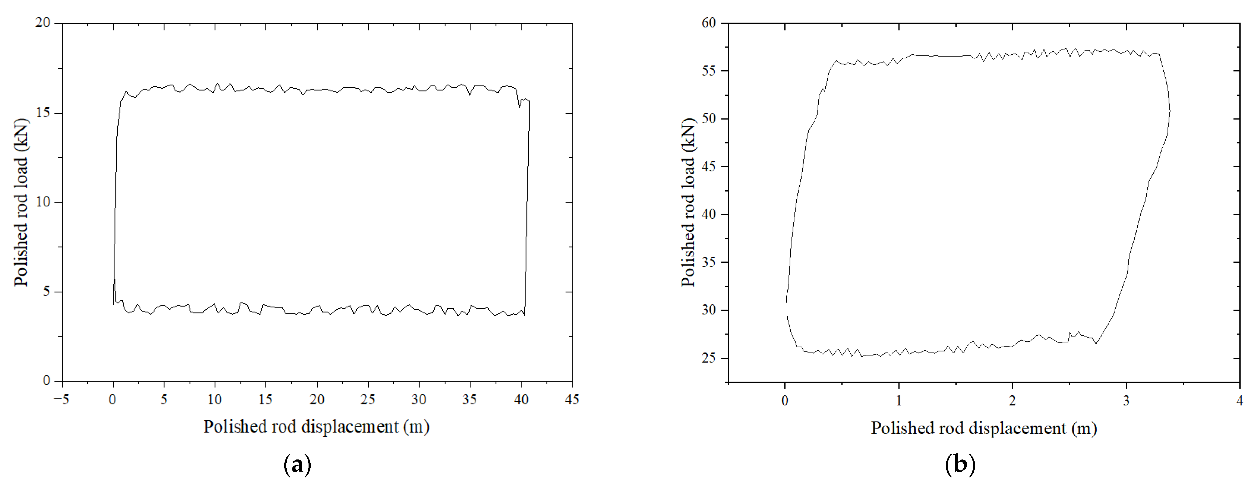
However, according to the analysis above, for an FULSPU, the stroke length is longer, the stroke frequency is lower, and the calculated acceleration coefficient is about 5 × 10−4, i.e., the ratio of the dynamic load to the total load is about 0.05%. As a comparison, for a conventional beam pumping unit, the stroke and number of strokes are 3 m and 6 min−1, respectively, with a dynamic load ratio of 6.03%. In addition, the acceleration and deceleration intervals of the flexible ultra-long-stroke pumping unit are small, and the uniform motion time is long, so the dynamic load can be ignored. In addition, in the measured load diagram of the polished rod, the polished rod load is more stable during the up and down stroke, and there is no obvious difference between the load value of the variable-speed section and that of the uniform-speed section, which also proves that the dynamic load accounts for a smaller proportion of the total load. These can be obtained from the polished rod load diagram for FULSPU and traditional beam pumping unit as shown in Figure 3.
Figure 3.
Polished rod load diagram. (a) FULSPU. (b) Traditional beam pumping unit.
3. Optimization and Selection Chart of FULSPUs
The horizontal coordinate of the chart is the pump hanging depth, and the vertical coordinate is the liquid production volume. When calculating, it is important to consider the peak polished rod load, pump diameter, pump efficiency, and other effects for the formation of the FULSPU model/pump type selection chart.
3.1. Main Parameters for the Selection of FULSPU Systems
In contrast to conventional beam pumping units, there is no balancing device on the ground unit of an FULSPU, and there is no balancing block design step in the design process. In addition, there is also no crankshaft device on an FULSPU, and there is no crankshaft maximum torque limitation. Therefore, when designing, only the maximum polished rod load limitation should be considered when selecting the surface equipment.
As for the downhole long-stroke piston pump design, when the stroke length and frequency are fixed, the upper limit of the theoretical production volume of different models of long-stroke piston pumps is fixed; therefore, the production rate is the limiting condition of the long-stroke piston pump design.
3.1.1. Rated Polished Rod Load
For an FULSPU, the maximum pumping depth of the pumping unit is mainly affected by the pumping unit’s rated polished rod load. According to the above analysis, considering that the variable speed movement process of an FULSPU is relatively smooth and occupies less space, the formula for calculating the peak polished rod load can be simplified and expressed as follows:
where PPRL is the peak polished rod load (N).
In the pumping unit selection and design, half of the need is to ensure that the ratio of the PPRL to the rated polished rod load of the pumping unit is less than 0.8 [35]:
where [Fmax] is the rated polished rod load for the sucker rod pumping unit (kN).
3.1.2. Theoretical Maximum Flow Rate for the Pump
After determining a set of strokes, strokes, and pumping efficiency for different pump diameters, you can obtain its corresponding maximum liquid production [35].
where Qp max is the max flow rate for the pump (m3/d), ηp is the pump efficiency (dimensionless), Ap is the cross-sectional area of the pump (m2), S is the stroke length (m), and N is the stroke frequency (min−1).
3.2. Methodology of the Chart
The specific steps for drawing the chart are as follows:
1. Organize the design parameters. This includes selecting a set of plunger pumps and pumping unit models to be chosen, determining the stroke length and stroke frequency, determining the respective rod string combinations for the different models of plunger pumps, collating the well inflow performance relationship (IPR), and setting the minimum pump submergence based on the well application constraints.
2. Determine a pump efficiency value based on experience, and determine the theoretical maximum fluid production for different models of ultra-long stroke piston pumps according to the selected stroke parameters.
3. Calculate the weight of the rod string corresponding to different pump models under different pumping depths, and subtract the weight of rod string from the PPRL corresponding to each pumping model. The corresponding load is the maximum liquid column load allowed to be lifted.
4. According to the calculated liquid load, invert the dynamic liquid level. When the calculated dynamic liquid level meets the minimum submergence requirement, the dynamic liquid level position is taken as the depth calculated according to the liquid load. When the calculated dynamic liquid level position does not meet the minimum submergence requirement, the dynamic liquid level position is determined according to the depth of the pump hanging and the minimum submergence requirement. The dynamic liquid level position, combined with the inflow dynamics of oil wells, determine the final output corresponding to different units and different pump depths.
Based on the procedures above, a Python-based iterative calculation program was developed to calculate the data.
4. Example Analysis
4.1. Chart Example Analysis
1. Collation of design parameters
Take well #1 in an oilfield as an example, and explain in detail the drawing process of the chart.
The well is a straight well with a shot hole medium depth of 2400 m and a formation output fluid density of 900 kg/m3. The design oil/casing pressure is 1 MPa. To ensure the normal operation of the pump, the minimum pump submergence is set to 50 m.
The inflow dynamic curve IPR of well #1 is shown in Figure 4.
Figure 4.
Inflow performance curve for well #1.
Based on the pump type and pumping unit model used in the field, three models of 38 mm, 44 mm, and 56 mm are selected for the pump, while three models of 6-, 8-, and 10-type pumping units are selected for the pumping unit as alternative equipment.
According to the selected equipment, the design stroke is 50 m, and the design stroke rate is 9 h−1. Combined with the mechanical analysis of the rod string, the corresponding combinations of rod strings for the three pump types are shown in Table 2 [36].
Table 2.
The ratio of pumping rod strings for different pump types.
According to the field application experience, the pumping efficiency of the ultra-long stroke piston pump is 55%; combined with the plunger diameter of the pump to be selected and the design stroke and using the theoretical maximum liquid yield formula introduced in the previous section of the piston pump, the maximum liquid yield of the three types of piston pumps of 38 mm, 44 mm, and 56 mm are calculated to be 7.74 m3/d, 9.85 m3/d, and 15.95 m3/d, respectively.
Since the maximum load occurs in the upstroke during the operation of the flexible ultra-long stroke pumping rods, the upstroke should be analyzed when the rated polished rod load of the pumping rods is the limitation.
When the pumping rod has more than one level, it is necessary to obtain the weight of the rod after finding the weight of the rod for each level of the rod, and then obtain it cumulatively.
The rated polished rod loads of the 6-, 8-, and 10-type pumping units are 60 kN, 80 kN, and 100 kN, respectively. In application, you need to ensure that the pumping unit peak load is lower than the pumping unit rated polished rod load of 80%; that is, the three types of pumping units that allow the PPRL were 48 kN, 64 kN, and 80 kN.
Take the 8-type pumping unit as an example, the design of the maximum permissible polished rod load of 64 kN.
After determining the weight of the rod according to Table 2, the maximum permissible polished rod load of the pumping unit is subtracted from the weight of the rod, i.e., the maximum load of the liquid column is obtained.
The rod weight and maximum liquid column load of the pumping unit 8-type are shown in Figure 5.
Figure 5.
Rod weights and liquid weights of three pump types of the 8-type pumping unit at various pumping depths.
Using the maximum liquid column load, combined with the minimum submergence requirement, the dynamic liquid level position is calculated.
Take the 8-type pumping unit as an example, when the pump hanging depth is 1200 m, the corresponding liquid weights of the three pump types are 34.72 kN, 25.66 kN, and 17.69 kN. When the liquid production is low and the gas-liquid ratio is low, the friction pressure drop of the wellbore and the acceleration pressure drop are small and negligible, and this part of the liquid weight is approximately equal to the hydrostatic pressure of the liquid column.
According to the liquid weight back-propelled liquid level depth, the corresponding dynamic liquid level depths of the 38 mm, 44 mm and 56 mm pumps are 3297 m, 1914 m and 815 m, respectively; however, the first two dynamic liquid level depths have already exceeded the pump-hanging depth, and the actual production needs to reduce the number of strokes to reduce the production and improve the dynamic liquid level position, so the actual dynamic liquid level depth is calculated according to the safe submergence degree and pump-hanging depth set in the first step, which is 1150 m.
According to the dynamic liquid level position of the three pump types, the corresponding bottomhole flow pressures are 12.48 MPa, 12.48 MPa, and 15.56 MPa. Combined with the IPR curves of the wells, the theoretical production rates of the three pump types corresponding to the three pump types are 21.14 m3/d, 21.14 m3/d, and 15.69 m3/d, based on the calculation of the bottomhole flow pressures.
At this time, it should be noted that the 38 mm pump and 44 mm pump calculated fluid production of 21.14 m3/d, is more than the step 2 calculation of the pump’s theoretical maximum fluid production, that is, at this time, the factors limiting the output of the pump’s theoretical maximum fluid production; therefore, fluid production can only be taken as two pumps of the theoretical maximum production of 7.74 m3/d and 9.85 m3/d. For the 56 mm pump, the calculation of the resulting 15.69 m3/d did not exceed the theoretical maximum pump production of 15.95 m3/d obtained in the second step, that is, at this time the factors limiting the production of the pumping unit rated polished rod load, so the actual production of liquid is taken as 15.69 m3/d.
To obtain the FULSPU optimization selection chart by the Python-based program, different pump hanging depths, different types of pumping pumps, and pumping units under the conditions of the liquid production are plotted, as shown in Figure 6.
Figure 6.
Well #1 FULSPU optimization selection chart.
In addition, the chart can be adjusted by adjusting the design stroke length (Figure 7)/frequency (Figure 8), pump efficiency (Figure 9), and fluid density (Figure 10):
Figure 7.
Effect of stroke length on the optimization selection chart: (a) stroke length = 45 m and (b) stroke length = 55 m.
Figure 8.
Effect of stroke frequency on the optimization selection chart: (a) stroke frequency = 7 h−1 and (b) stroke frequency = 11 h−1.
Figure 9.
Effect of pump efficiency on the optimization selection chart: (a) pump efficiency = 50% and (b) pump efficiency = 60%.
Figure 10.
Effect of liquid density on the optimization selection chart: (a) liquid density = 850 kg/m3 and (b) liquid density = 950 kg/m3.
4.2. Example of Optimization Analysis
In addition, the graphical layout can be used for the optimization analysis of existing wells, taking into account the equipment type, pumping depth, fluid production, and other parameters of the actual production wells.
Firstly, the concepts of “pumping unit load” and “pump load” are defined. The “pumping unit load “ is defined as the ratio of the current pumping depth to the maximum permissible pumping depth of the pumping unit used in the well, while keeping the current fluid production constant. The “pump load” is defined as the ratio of the current production rate of the well to the theoretical maximum production rate of the pumping unit used, while keeping the current pumping depth unchanged.
In the graphical layout, the two loads are represented by double-layer circles, in which the inner circle represents the “pumping unit load” and the “pump load” is represented by the outer circle.
The corresponding working condition points of the six production wells are plotted on the equipment selection chart, as shown in Figure 11. The six wells are all straight wells and have similar inflow performances, so the same set of charts can be used.
Figure 11.
Example of a production well optimization analysis chart.
Using the chart above, an optimization analysis of the existing equipment in use can be achieved. If the inner circle is full, it means that the pumping rate is too large, that is, the current pump hangs deeper than the safe use of the pumping unit model depth. To ensure the normal production of the equipment, the system should choose a larger size of the pumping unit. On the contrary, when the inner circle occupies a smaller percentage, it means that the current use of the pumping unit model may be too large, and a smaller sized pumping unit could be used to reduce the cost and improve the efficiency of the system. When the outer ring is full, it means that the current production has reached the theoretical maximum liquid production of the current pump model, and a larger size plunger pump should be installed if possible. On the contrary, when the outer ring accounts for a relatively small amount, it means that the current pump model may be too large, and current production can be replaced with a smaller size pump to save costs and improve system efficiency.
As shown in Figure 11, for most wells, the pumping unit load and pump load are reasonably balanced. However, for well 4X (highlighted in the figure), the pumping unit load and pump load are 0.36 and 0.66, respectively, indicating that the selected pumping unit and pump model are oversized. To address this, a new equipment configuration was selected for well 4X, using a #6 pumping unit paired with a 38 mm pump. With this adjustment, calculations show that if the original production parameters are maintained, the pumping unit load and pump load can be increased to 0.73 and 0.74, respectively. This change results in a 103% increase in the utilization rate of the surface pumping unit and a 12.1% increase in the utilization rate of the downhole pumping unit.
5. Conclusions
A flexible ultra-long stroke oil pumping unit has the characteristics of simple structure, ultra-long stroke, and ultra-low stroke, which effectively enhances production efficiency in low-production wells in oil fields in the middle and late stages of production. The moving law and load calculation method of the polished rod of a flexible ultra-long stroke pumping unit are analyzed. The dynamic load accounts for a relatively small proportion of the peak polished rod load, and the formula for calculating the peak polished rod load is proposed, which provides a theoretical basis for the optimal selection of the equipment. A method for the optimal selection of flexible ultra-long stroke pumping units and ultra-long-stroke piston pumps is proposed. Based on the stroke length, stroke frequency, and pump efficiency, the method gives the maximum liquid production under different pumping depths. Using the selection charts for the flexible ultra-long-stroke pumping unit, the maximum theoretical output corresponding to the combination of different models of FULSPUs and ultra-long-stroke piston pump can be obtained intuitively and efficiently. Alternatively, suitable equipment combinations can be selected based on the designed liquid production requirements. Through field cases, the specific steps are illustrated in detail, and the chart is verified. Applying the selection chart to field production wells and using double-layer circles to indicate the equipment usage rate visually demonstrates the reasonableness of the equipment used in the current production wells. Optimizing the equipment for well 4X by selecting a smaller pumping unit increased utilization rates by 103% for the surface unit and 12.1% for the downhole pump while maintaining the original production parameters. While this study establishes a practical framework for FULSPU optimization, future researches still need to be applied to the mechanical behavior of rod strings under ultra-long stroke conditions, including fatigue life prediction models integrating field-measured strain data from the oilfield; dynamic load characterization using high-frequency sensors to refine the PPRL formula; and experiments and computational fluid dynamics (CFD) simulations to quantify load and efficiency variations across all equipment combinations. These efforts aim to further enhance the reliability and applicability of the proposed methodology.
Author Contributions
Conceptualization, G.H. and J.Y.; methodology, G.H.; software, J.Y.; validation, J.G. and Y.Y.; formal analysis, J.Y.; investigation, M.W.; resources, J.G. and Y.Y.; data curation, M.W.; writing—original draft preparation, M.W.; writing—review and editing, J.Y.; visualization, M.W.; supervision, G.H.; and project administration, J.G. and Y.Y. All authors have read and agreed to the published version of the manuscript.
Funding
This research received no external funding.
Data Availability Statement
The original contributions presented in this study are included in the article. Further inquiries can be directed to the corresponding author.
Conflicts of Interest
Author Jiaqi Gao was employed by CNOOC Ener Tech-Drilling & Production Co. Author Yao Yang was employed by Oil & Gas Technology Research Institute of Changqing Oilfield Company. The remaining authors declare that the research was conducted in the absence of any commercial or financial relationships that could be construed as a potential conflict of interest.
Abbreviations
The following abbreviations are used in this manuscript:
| FULSPU | flexible ultra-long stroke pumping unit |
| PPRL | peak polished rod load |
References
- Cao, J.; Hao, M.; Chen, Y.; Li, B.; Liu, Z.; Liu, Y.; Xu, J. Advancing PetroChina’s Development Strategies for Low-Permeability Oil Reservoirs. Processes 2024, 12, 351. [Google Scholar] [CrossRef]
- Wang, X.B. Discussion on Advantages of New Energy-saving Lifting Oil Recovery Technology with Super Long Stroke. Energy Conserv. Pet. Petrochem. Ind. 2018, 8, 30–32. [Google Scholar] [CrossRef]
- Yang, Y.; Wu, W. Analysis and Calculation of Kinematic Characteristics and Suspension Load of Flexible Ultra-long Stroke Pumping Unit. Mech. Electr. Eng. Technol. 2022, 51, 63–66. [Google Scholar] [CrossRef]
- Xi, M. High Efficiency Oil Extraction Equipment with Ultra-long Stroke and Ultra-low Speed and a Kind of Technology of Exploiting Double Wells with One Motor. In Proceedings of the International Field Exploration and Development Conference, Chengdu, China, 23–25 September 2020. [Google Scholar] [CrossRef]
- Zhang, S. Design and Evaluation of Double Drum Ultra-Long Stroke Pump. Master’s Thesis, Northeast Petroleum University, Daqing, China, 2017. [Google Scholar]
- Wang, F.; Zhang, K.; Wei, J.; Zhang, D.; Hou, Y.; Wang, Y.; Chang, R.; Gao, Y. Research and Application of Super-Long Stroke and Super-Low Stroke Frequency Oil Pumping Technology. In Proceedings of the International Field Exploration and Development Conference, Xi’an, China, 16 October 2020. [Google Scholar] [CrossRef]
- Zhang, K.; Zhang, D.; Wang, X.; Hou, Y.; Wei, F. Application of a Soft Control Super Long Stroke Pump Unit In Daqing Oilfield. Energy Conserv. Pet. Petrochem. Ind. 2017, 7, 28–30. [Google Scholar] [CrossRef]
- Huo, M. Study Research on Ultra Long Stroke Pumping Technology. Master’s Thesis, Northeast Petroleum University, Daqing, China, 2021. [Google Scholar] [CrossRef]
- Sarmiento Varela, D.B.; Herrera, J.F.; Caicedo, M.R. Operational Cost Saving through Artificial Lift Optimization with Long Stroke Pumping Units in Fields of Cravo Viejo Block. In Proceedings of the SPE Artificial Lift Conference-Americas, Cartagena, Colombia, 21 May 2013. [Google Scholar] [CrossRef]
- Feng, Z.; Guo, B.; Cai, Z.; Yuan, H. Eccentric Wear Mechanism and Centralizer Layout Design in 3D Curved Wellbores. Appl. Sci. 2025, 15, 1494. [Google Scholar] [CrossRef]
- Kennedy, D.M.; Ghareeb, M. Ultra-Long Stroke and Intelligent Rod Pumping System for Producing Difficult Wells and/or Fluids. In Proceedings of the SPE/IATMI Asia Pacific Oil & Gas Conference and Exhibition, Jakarta, Indonesia, 17 October 2017. [Google Scholar] [CrossRef]
- Ghareeb, M.; Kennedy, D.; Woo, A. Intelligent Longest Stroke Reciprocating Pumping System for Production and Cost Optimization. In Proceedings of the SPE Annual Technical Conference and Exhibition, San Antonio, TX, USA, 9 October 2017. [Google Scholar] [CrossRef]
- Cui, J.; Xiao, W.; Feng, H.; Dong, W.; Zhang, Y.; Wang, Z.; Jianghan, W. Long Stroke Pumping Unit Driven By Low-Speed Permanent Magnet Synchronous Motor. In Proceedings of the SPE Middle East Artificial Lift Conference and Exhibition, Manama, Bahrain, 26 November 2014. [Google Scholar] [CrossRef]
- Hou, Y.; Zhang, W.; Wang, Y.; Sun, Y.; Wang, Q.; Gong, H.; Wei, X.; Zhang, K.; Zheng, D.; Dong, L.; et al. Influence of Operation Parameters on Lifting Effect of Ultra-long Stroke Pumping Units. Energy Conserv. Pet. Petrochem. Ind. 2021, 11, 1–4. [Google Scholar] [CrossRef]
- Liu, X.; Qi, Y.; Wu, J.; Yang, L.; Chen, F. An Approach to the Optimum Design of Sucker-rod Pumping System. In Proceedings of the 2010 WASE International Conference on Information Engineering, Beidai, China, 14 August 2010. [Google Scholar] [CrossRef]
- Li, W.; Dong, S.; Sun, X. An Improved Sucker Rod Pumping System Model and Swabbing Parameters Optimized Design. Math. Probl. Eng. 2018, 1, 1–15. [Google Scholar] [CrossRef]
- Chen, X.; Liu, C.; Liu, G.; Wu, J.; Liu, X. Reliability Optimization of Redundant System for Sucker Rod Pumping System. Oil Field Equip. 2019, 48, 1–5. [Google Scholar] [CrossRef]
- Osaretin, C.; Butt, S.; Iqbal, M.T. Sizing, Parametric Investigation and Analysis of Automated Sucker Rod Pump using Beam Pump Simulators. J. Chem. Pet. Eng. 2020, 54, 235–251. [Google Scholar] [CrossRef]
- Fakher, S.; Khlaifat, A.; Hossain, M.E.; Nameer, H. A comprehensive review of sucker rod pumps’ components, diagnostics, mathematical models, and common failures and mitigations. J. Pet. Explor. Prod. Technol. 2021, 11, 3815–3839. [Google Scholar] [CrossRef]
- Asadi, S.; Gharibzadeh, S.; Zangeneh, S.; Reihanifar, M.; Rahimi, M.; Abdullah, L. Comparative Analysis of Gradient-Based Optimization Techniques Using Multidimensional Surface 3D Visualizations and Initial Point Sensitivity. arXiv 2024, arXiv:2409.04470. [Google Scholar] [CrossRef]
- Chen, Z.; White, L.W.; Zhang, H. Predicting behavior of sucker-rod pumping systems with optimal control. J. Dyn. Sys. Meas. Control 2017, 140, 051004. [Google Scholar] [CrossRef]
- Takacs, G.; Kis, L. A new model to find optimum counterbalancing of sucker-rod pumping units including a rigorous procedure for gearbox torque calculations. J. Pet. Sci. Eng. 2021, 205, 108792. [Google Scholar] [CrossRef]
- Wu, Y. Determination of the Reasonable Load Factor and Lectotype Design Method of The Pumping Units in Daqing Oilfield. Pet. Geol. Oilfield Dev. Daqing 2013, 32, 109–112. [Google Scholar] [CrossRef]
- Yin, J.; Ma, H. A Novel Method for Predicting the Behavior of a Sucker Rod Pumping Unit Based on the Polished Rod Velocity. Mathematics 2024, 12, 1318. [Google Scholar] [CrossRef]
- Yin, J.; Sun, D.; Ma, H. Identification of the Four-Bar Linkage Size in a Beam Pumping Unit Based on Cubature Kalman Filter. Machines 2022, 10, 1133. [Google Scholar] [CrossRef]
- Xu, J.; Li, W.; Meng, S. Kinematic and Dynamic Simulation Analysis of Modified Conventional Beam Pumping Unit. Energies 2022, 15, 5496. [Google Scholar] [CrossRef]
- Wang, C.; Ma, H.; Zhang, X.; Xiang, X.; Shi, J.; Liang, X.; Zhao, R.; Han, G. Deciphering Rod Pump Anomalies: A Deep Learning Autoencoder Approach. Processes 2024, 12, 1845. [Google Scholar] [CrossRef]
- Liang, X.; Xing, Z.; Yue, Z.; Ma, H.; Shu, J.; Han, G. Optimization of Energy Consumption in Oil Fields Using Data Analysis. Processes 2024, 12, 1090. [Google Scholar] [CrossRef]
- Zhu, Z.; Han, G.; Liang, X.; Chang, S.; Yang, B.; Yang, D. Rapid Classification and Diagnosis of Gas Wells Driven by Production Data. Processes 2024, 12, 1254. [Google Scholar] [CrossRef]
- Yin, J.; Ma, H. A Hybrid Method for Solving the One-Dimensional Wave Equation of Tapered Sucker-Rod Strings. Axioms 2024, 13, 414. [Google Scholar] [CrossRef]
- Cheng, H.; Yu, H.; Zeng, P.; Osipov, E.; Li, S.; Vyatkin, V. Automatic Recognition of Sucker-Rod Pumping System Working Conditions Using Dynamometer Cards with Transfer Learning and SVM. Sensors 2020, 20, 5659. [Google Scholar] [CrossRef] [PubMed]
- Wang, Y.; Wang, S.; Yang, L.; Pu, H.; Ling, K. A New Model to Evaluate Polished Rod Load of Sucker Rod Pumping System. In Proceedings of the SPE Liquids-Rich Basins Conference-North America, Midland, TX, USA, 5 September 2018. [Google Scholar] [CrossRef]
- Zhang, Z. Study on Diagnostic and Optimization Techniques for Sucker Pump Deliqufication in Deep Well. Master’s Thesis, China University of Petroleum (Beijing), Beijing, China, 2023. [Google Scholar] [CrossRef]
- Mills, K.N. Factors influencing well loads combined in a new formula. Pet. Eng. 1939, 3, 33–40. [Google Scholar]
- Takacs, G. Sucker-Rod Pumping Handbook, 1st ed.; Gulf Professional Publishing: Burlington, MA, USA, 2015; pp. 57–246. [Google Scholar] [CrossRef]
- SY/T 5873-2017; Practice for Design and Execution of Sucker rod Pumping System. Petroleum Industry Press: Beijing, China, 2017; pp. 119–132.
Disclaimer/Publisher’s Note: The statements, opinions and data contained in all publications are solely those of the individual author(s) and contributor(s) and not of MDPI and/or the editor(s). MDPI and/or the editor(s) disclaim responsibility for any injury to people or property resulting from any ideas, methods, instructions or products referred to in the content. |
© 2025 by the authors. Licensee MDPI, Basel, Switzerland. This article is an open access article distributed under the terms and conditions of the Creative Commons Attribution (CC BY) license (https://creativecommons.org/licenses/by/4.0/).










