Research on Numerical Simulation and Interpretation Method of Water Injection Well Temperature Field Based on DTS
Abstract
1. Introduction
2. Numerical Simulation of Injection Wells
2.1. Modeling of Downhole Temperature Field
2.2. Model and Parameter Sensitivity Analysis
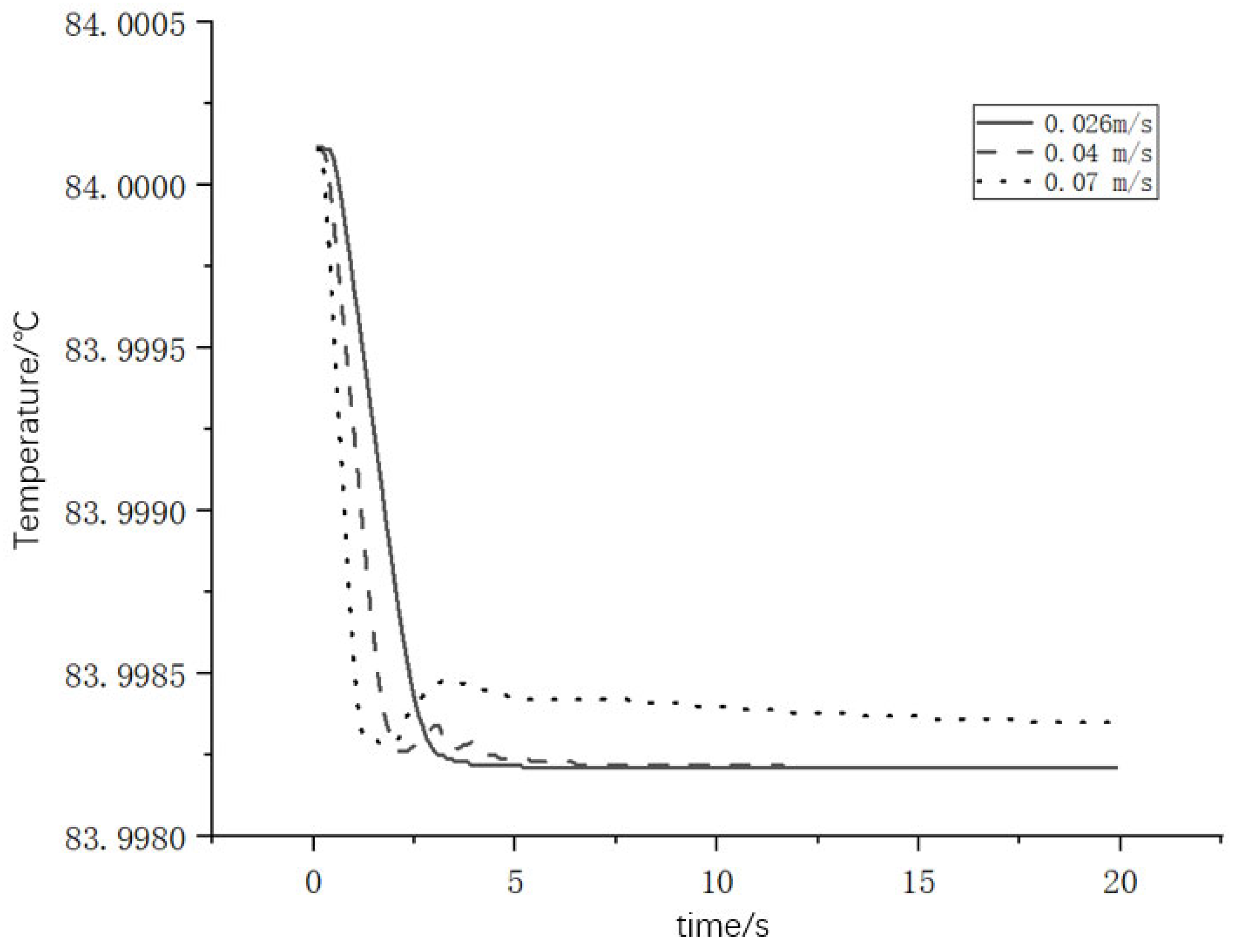
2.2.1. Effect of Injected Fluid Flow Rate on Temperature Profiles
2.2.2. Effect of Rock Thermal Conductivity on Temperature Profiles
2.3. Sobol Global Sensitivity Analysis
3. DTS Data Interpretation Methods
3.1. Volume Flow Rate as a Function of Temperature
3.2. DTS Data Inversion Interpretation Model
3.2.1. Inversion Error Function
3.2.2. Injection Profile Inversion Interpretation Process
4. Example Verification
5. Conclusions
- (1)
- This study established a transient temperature field model for the suction layer section of the injection well using the numerical simulation software COMSOL. The influence of wellbore flow rate and surrounding rock thermal conductivity on the temperature field distribution was analyzed. Through Sobol global sensitivity analysis, it was found that the first-order response index for flow rate was 0.6627, significantly higher than the 0.1353 for the formation thermal conductivity coefficient. This indicates that the flow rate has a dominant effect on the temperature field, with a much higher sensitivity compared to the thermal conductivity of the surrounding rock.
- (2)
- Example validation showed that the error in the inverse interpretation of water absorption profiles using the differential evolution algorithm was generally low. The results demonstrate that this inversion method is highly accurate and practical for interpreting data from distributed fiber optic temperature sensors.
- (3)
- In this study, the numerical simulation model was specifically developed for the injection well in question, reflecting certain unique characteristics of this particular well. However, the inversion model, which is based on the differential evolution algorithm, is universally applicable. It can be effectively used for wells with different geological conditions, making it a versatile tool for temperature field interpretation in various downhole environments. This flexibility enhances the broader applicability and robustness of the proposed method in real-world scenarios.
Author Contributions
Funding
Data Availability Statement
Acknowledgments
Conflicts of Interest
References
- Feng, E.; Yan, G.; Hu, Z.; Zhao, C. Numerical Simulation and Optimization of Temperature Field in Stratigraphic Zones of Water Injection Wells. Acta Pet. Sin. 1996, 151, 96–102. [Google Scholar]
- Yan, C.; Ren, J.; Shi, Q.; Li, X.; Bai, Y.; Yu, W. Flow Profiling Analysis of a Refractured Tight Oil Well Using Distributed Temperature Sensing. Processes 2024, 12, 2106. [Google Scholar] [CrossRef]
- Sui, W.; Wen, C.; Sun, W. Joint application of distributed optical fiber sensing technologies for hydraulic fracturing monitoring. Nat. Gas Ind. 2023, 43, 87–103. [Google Scholar]
- Ramey, H.J. Wellbore heat transmission. J. Pet. Technol. 1962, 14, 427–435. [Google Scholar] [CrossRef]
- Smith, R.C.; Steffensen, R.J. Interpretation of temperature profiles in water-injection wells. J. Pet. Technol. 1975, 27, 777–784. [Google Scholar] [CrossRef]
- Hasan, A.R.; Kabir, C.S. Aspects of wellbore heat transfer during two-phase flow. SPE Prod. Facil. 1994, 9, 211–216. [Google Scholar] [CrossRef]
- Li, H.; Sun, B.; Zhao, X.; Lu, J.; Wang, Z.; Ma, Z. Prediction of wellbore temperature field and analysis of influence factor for high-pressure gas well kill. J. China Univ. Pet. (Ed. Nat. Sci.) 2009, 33, 61–65+86. [Google Scholar]
- Zhang, Y.; Pan, L.; Pruess, K.; Finsterle, S. A time-convolution approach for modeling heat exchange between a wellbore and surrounding formation. Energy 2011, 36, 4080–4088. [Google Scholar] [CrossRef]
- Sagar, R.; Doty, D.R.; Schmidt, Z. Predicting temperature profiles in a flowing well. SPE Prod. Eng. 1991, 436, 441–448. [Google Scholar] [CrossRef]
- Guo, C.; Li, Y. Compehensive numerical simulation of pressure and temperature prediction in gas well. Acta Pet. Sin. 2001, 22, 100. [Google Scholar]
- Xiao, Z.; Song, Y.; Shi, Y.; Wang, D. Temperature field model and numerical simulation of multilayer water injection well. Prog. Geophys. 2005, 20, 801–807. [Google Scholar]
- Song, Y.J.; Shi, Y. Numerical simulation of downhole temperature distribution in polymer injection well. Prog. Geophys. 2007, 22, 1533–1538. [Google Scholar]
- Hasan, A.R.; Kabir, C.S.; Wang, X. A robust steady-state model for flowing-fluid temperature in complex wells. SPE Prod. Oper. 2007, 24, 269–276. [Google Scholar]
- Li, S.G.; Li, X.P. Numerical simulation of two-dimensional transient temperature field in injection wellbore. Oil-Gasfield Surf. Eng. 2011, 30, 42–43. [Google Scholar]
- Ren, M.; Ma, H.; Wang, W. Simulation of the Characteristics of Logging Response in Temperature Field in Wellbore. Chin. J. Eng. Geophys. 2014, 11, 71–76. [Google Scholar]
- Luo, H.; Li, H.; Li, Y.; Wang, F.; Xiang, Y.; Jiang, B.; Yu, H. Inversion and interpretation of production profile and fracture parameters of fractured horizontal wells in low. permeability gas reservoirs. Acta Pet. Sin. 2021, 42, 936. [Google Scholar]
- Hansong, M.; Luo, H.; Haitao, L.; Yuxing, X.; Qin, Z.; Ying, L. Influence Law of Temperature Profile of Vertical Well in Gas Reservoir. Sci. Technol. Eng. 2023, 23, 14192–14200. [Google Scholar] [CrossRef]
- Luo, H.; Xiang, Y.; Li, H.; Tan, Y.; Pang, W.; Zhang, Q.; Ma, X.; Liu, C. An efficient inversion interpretation method for distributed temperature measurement of horizontal wells in shale gas reservoirs. J. China Univ. Pet. (Ed. Nat. Sci.) 2023, 47, 115–121. [Google Scholar]
- Luo, H.; Li, H.; Li, Y.; Wang, F.; Xiang, Y.; Jiang, B.; Yu, H. A hybrid machine learning approach-based study of production forecasting and factors influencing the multiphase flow through surface chokes. Petroleum 2023, 42, 936. [Google Scholar] [CrossRef]
- Huang, L.; Song, H.; Wang, M.; Ma, W.; Wei, B. Research on injection and output profile interpretation method based on distributed fiber temperature logging. Prog. Geophys. 2024, 39, 266–279. [Google Scholar]
- Shen, A.; Wang, L.; Liu, Y.; Wei, J.; Li, W.; Liang, S.; Wang, F.; Jiang, L. Fracturing propagation model with thermal and pressure effects and its application in DTS. J. China Univ. Pet. (Ed. Nat. Sci.) 2024, 1–14. Available online: https://link.cnki.net/urlid/37.1441.TE.20240604.1730.004 (accessed on 24 April 2024).
- Deng, R.; Zhang, L.; Wang, L.; Zhao, X.; Kang, B.; Wang, H.; Xu, B.; Jiang, L.; Deng, Q. Accelerated Inversion Workflow Coupling Deep Learning and ES-MDA for DTS Data: A Case Study of Horizontal Well in Middle East Carbonate Reservoir. In Proceedings of the APOGCE 2024, Perth, Australia, 15 October 2024. [Google Scholar] [CrossRef]
- Guo, Y.; Yang, W.; Dong, X.; Zhang, L.; Zhang, Y.; Wang, Y.; Yang, B.; Deng, R. Distributed Fiber Optic Vibration Signal Logging Well Production Fluid Profile Interpretation Method Research. Processes 2024, 12, 721. [Google Scholar] [CrossRef]
- Zhu, S. Theoretical Study of Horizontal Well Output Profile Interpretation Based on Distributed Fiber Optic Temperature Testing. Ph.D. Thesis, Southwest Petroleum University, Chengdu, China, 2016. [Google Scholar]
- Cai, J. Horizontal Well Borehole Temperature Prediction and Interpretation Modeling Study. Ph.D. Thesis, Southwest Petroleum University, Chengdu, China, 2016. [Google Scholar]
- Xu, Z. An experimental study of the factors and mechanisms affecting the thermophysical properties of rocks. Pet. Explor. Dev. 1992, 85–89. [Google Scholar]
- Antonio, R.-J. A Note on the Theory of Temperature Logging. Soc. Pet. Eng. J. 1969, 9, 375–377. [Google Scholar] [CrossRef]

















| Parameter Name | Numerical Values and Units | Parameter Name | Numerical Values and Units |
|---|---|---|---|
| Injection radius | 0.01 m | Casing O.D. | 139.7 mm |
| Density of injected fluid | 1 g/cm3 | Casing thickness | 12.11 mm |
| Specific heat capacity | 4182 J/kg·k | Casing thermal conductivity | 16 W/(m·K) |
| strata density | 2.826 g/cm3 | Casing heat capacity | 400 J/(kg·°C) |
| Parameter Type | Parameter Name | Numerical Values and Units |
|---|---|---|
| Reservoir parameter | lengths | 278.2 m |
| thicknesses | 34 m | |
| land temperature gradient | 2.8 °C/100 m | |
| pressures | 47 MPa | |
| thermal conductivity | 3.5 W/(m·K) | |
| average density | 2.86 g/cm3 | |
| constant pressure heat capacity | 300 J/kg·K | |
| Wellbore parameters | Casing O.D. | 139.7 mm |
| Casing thermal conductivity | 16 W/(m·K) | |
| Casing constant pressure heat capacity | 400 J/kg·K |
| Work System | Starting Time | Expiration Date | Duration | |
|---|---|---|---|---|
| 1 | Initial well opening 35 m3 (System of workings I) | - | 16:05 | - |
| 2 | Injection volume 25 m3 (Work system II) | 16:05 | 18:35 | 2.5 h |
| 3 | Injection volume 10 m3 (Work system III) | 18:35 | 21:00 | 2.5 h |
| 4 | Well closure phase (System of work IV) | 21:00 | next day 21:00 | 24 h |
| Number | Deepth (m) | Inversion of Water Absorption (m3/d) | Measured Water Absorption (m3/d) | Absolute Error (m3/d) |
|---|---|---|---|---|
| 1 | 2654.0–2658.0 | 4.24062 | 4.37549 | 0.23575 |
| 2 | 2805.0–2808.4 | 5.39075 | 5.65561 | 0.39310 |
| 3 | 2814.0–2816.2 | 1.73610 | 2.03865 | 0.34385 |
| 4 | 2820.0–2823.2 | 2.18410 | 1.88104 | 0.25109 |
| 5 | 2827.8–2833.0 | 1.43851 | 2.00431 | 0.60002 |
| 6 | 2895.0–2900.0 | 20.14897 | 18.57346 | 1.09613 |
| 7 | 2914.0–2917.2 | 2.27119 | 2.04895 | 0.16821 |
| 8 | 2929.4–2932.2 | 1.00365 | 0.92249 | 0.05729 |
Disclaimer/Publisher’s Note: The statements, opinions and data contained in all publications are solely those of the individual author(s) and contributor(s) and not of MDPI and/or the editor(s). MDPI and/or the editor(s) disclaim responsibility for any injury to people or property resulting from any ideas, methods, instructions or products referred to in the content. |
© 2025 by the authors. Licensee MDPI, Basel, Switzerland. This article is an open access article distributed under the terms and conditions of the Creative Commons Attribution (CC BY) license (https://creativecommons.org/licenses/by/4.0/).
Share and Cite
Shi, S.; Liu, J.; Li, M.; Sun, C.; Lei, T. Research on Numerical Simulation and Interpretation Method of Water Injection Well Temperature Field Based on DTS. Processes 2025, 13, 274. https://doi.org/10.3390/pr13010274
Shi S, Liu J, Li M, Sun C, Lei T. Research on Numerical Simulation and Interpretation Method of Water Injection Well Temperature Field Based on DTS. Processes. 2025; 13(1):274. https://doi.org/10.3390/pr13010274
Chicago/Turabian StyleShi, Shengzhe, Junfeng Liu, Ming Li, Chao Sun, and Tong Lei. 2025. "Research on Numerical Simulation and Interpretation Method of Water Injection Well Temperature Field Based on DTS" Processes 13, no. 1: 274. https://doi.org/10.3390/pr13010274
APA StyleShi, S., Liu, J., Li, M., Sun, C., & Lei, T. (2025). Research on Numerical Simulation and Interpretation Method of Water Injection Well Temperature Field Based on DTS. Processes, 13(1), 274. https://doi.org/10.3390/pr13010274
