Abstract
The gas–phase flow field within a cyclone plays a critical role in the particle separation process. While previous research has primarily focused on the steady–state, time–averaged characteristics of this flow field, there has been limited investigation into its dynamic instability. This study seeks to address this gap by examining the dynamic instability of gas swirling flows in cyclones, offering new insights into their spatial and temporal dimensions. Numerical simulations were performed via large eddy simulation (LES) for the gas swirling flow in a reverse cyclone and tangential velocity was measured with a hot–wire anemometer (HWA). The model’s accuracy was validated against experimental data. The results demonstrate that the distributions of instantaneous tangential velocity and pressure exhibit spatial asymmetry and temporal instability across different sections of the cyclone. The dynamic instability of the gas swirling flow in the cyclone is the superposition of the spatial asymmetry and the temporal instability. These instabilities are more pronounced in the internal regions than the outer regions. Dynamic instability arises from the combined effects of rotational dynamics and wall curvature, leading to an eccentric rotation of the swirling center, particularly evident in the lower sections of the cyclone cone. This instability increases fluctuations in the instantaneous parameters, enhancing turbulence intensity and fine particle diffusion, and ultimately impairing both separation efficiency and particle size efficiency.
1. Introduction
The cyclone functions as an industrial device designed to separate dust from gas streams or to recover products. Its geometric simplicity, ease of operation, and high efficiency contribute to its widespread application in various sectors, including chemical processing, environmental protection, coal power generation, and other industrial fields [1,2,3]. Despite the cyclone’s simple structure, the strong swirling turbulent flow within it is complex and is characterized by dynamic instability of the swirling flow, which results in fluctuations in both velocity [4] and pressure [5]. These fluctuations adversely affect the performance of the cyclone [6,7]. Consequently, the dynamic instability present in the cyclone has significant implications for engineering practices [8].
Despite the passage of over 100 years since the invention of the first cyclone, due to the limitation of technical capabilities, scholars have mostly studied the internal flow field of the cyclone and concluded that the velocity and pressure fields exhibit an axially symmetric distribution [9,10]. While these findings significantly enhance the understanding of the cyclone’s internal flow field and contribute to improvements in separation efficiency, the time–averaged flow field fails to capture the complex details of the cyclone’s internal dynamics. In recent years, developments in experimental measurement techniques and computational numerical simulation technologies have led to increasingly accurate measurements and simulations of the three–dimensional instantaneous flow processes within the swirling flow field of the cyclone. Consequently, researchers have conducted extensive studies on the characteristics of gas swirling flow in gas cyclones, thereby enriching the understanding of swirling flow instability [11,12,13,14].
In experimental measurements, researchers primarily characterize the dynamic instability of swirling flows through the assessment of velocity and pressure. Hoekstra [15], Yazdabadi [16], Solero [17], and Obermair [18,19] employed laser Doppler velocimeters (LDVs) to measure the velocity distribution within the cyclone, thereby demonstrating the existence of a precessing vortex core that induces velocity fluctuations. Liu [20], Wu [21], and He [22] utilized particle image velocimeters (PIVs) to analyze the internal flow field of the cyclone, suggesting that the swirling flow exhibits instability. Wang [23] and Sun [24,25] applied hot–wire anemometers (HWAs) to measure the instantaneous tangential velocity of the cyclone, revealing different characteristics in terms of quasi–periodic fluctuations in velocity. Additionally, the causes and evolutionary patterns of cyclone velocity fluctuations have been examined under varying structural parameters. Gu [26] and Jia [27] employed high–precision pressure sensors to measure the pressure within the cyclone, indicating that the instantaneous pressure fluctuations occur with a certain degree of regularity. Several of the aforementioned studies conducted spectral analyses of the instantaneous parameters of the cyclone, confirming the presence of a dominant frequency [4,25,26,27,28], further substantiating the dynamic instability of the gas swirling flow within the cyclone.
Numerical simulation methods have also been employed to continuously predict the detailed flow fields within cyclones [29,30,31]. Dong [32] utilized the Reynolds stress model (RSM) to investigate the phenomenon of vortex core oscillation in cyclones, examining both the central offset rate and the angular deviation of the vortex core. Wang [33] conducted a numerical simulation of the internal flow field of the cyclone using the RSM, which demonstrated that the tangential velocity aligns with the Rankine combined–vortex structure. Furthermore, the swirling center did not entirely coincide with the geometric center. Gronald [34] employed large eddy simulation (LES) and similarly indicated the presence of this flow bias phenomenon. Gao [28] applied the RSM to predict velocity fluctuations and to predict the time–frequency characteristics of the cylindrical cyclone. Derksen [35,36] utilized the LES model to predict the velocity field of the Stairmand efficient cyclone, comparing the results with those obtained with laser Doppler anemometry (LDA), which confirmed that LES effectively captures the true fluctuations of the tangential velocity within the flow field. The findings also revealed that the axial line at the swirling center of the swirling flow exhibits an irregular oscillatory curve. Brar [37] employed the LES model to calculate the radial velocity at the center of the double–inlet cyclone, demonstrating significant fluctuations in radial velocity. The aforementioned studies showed that simulation results should not only be assessed based on average velocities; rather, the levels of velocity fluctuations are of considerable importance. Accurate predictions of velocity fluctuation levels are essential for obtaining a comprehensive understanding of the flow field. Previous research has indicated that both RSM and LES models exhibit high accuracy in predicting the flow field of cyclones. However, LES is a more computationally intensive technique, as it directly simulates larger anisotropic eddies, while smaller eddies are modeled using a relatively simple subgrid–scale approach [35,36,37]. Consequently, the LES model possesses certain advantages in terms of predicting the turbulent and dynamic characteristics of the flow field, particularly as computational power continues to increase.
This study examines the dynamic instability of the gas swirling flow within a reverse cyclone. A numerical simulation utilizing LES was employed to calculate the gas flow field in the cyclone. Subsequently, a comparative analysis was conducted between the simulation results and the experimental measurement data obtained from HWA in order to validate the accuracy of the numerical simulation in describing the dynamic characteristics. The analysis focused on the instability of instantaneous tangential velocity and pressure in the spatial and temporal dimensions, working based on the results of LES simulations. The mechanisms underlying the generation of dynamic instability were elucidated. Furthermore, the effects of dynamic instability on instantaneous parameter fluctuations and the particle separation process were discussed. This research offers valuable insights into the structural optimization and performance enhancement of cyclones from a stability perspective.
2. Experiment Setup
2.1. Cyclone Geometry
A reverse cyclone was developed as a foundation for dynamic measurement experiments. The cyclone was constructed from Plexiglas, featuring a wall thickness of 10 mm. The primary structure and dimensions are illustrated in Figure 1.
Figure 1.
Schematic of cyclone dimensions.
The entrance of the cyclone is characterized by a single–volute inlet. The reference plane is established on a horizontal plane that is parallel to the upper edge of the entrance. The origin is defined as the intersection of the geometric centerline of the vortex finder and the reference plane, with the positive direction oriented downwards. The geometric parameters of the cyclone are presented in Table 1.
Table 1.
Parameters of cyclones.
2.2. Experimental System
The experimental system, shown in Figure 2, primarily comprises several components, including a cyclone, a fan, valves, auxiliary lines, measurement equipment for hot–wire anemometry, a Pitot tube, a coordinate frame, and a computer. The experiment was conducted under negative pressure conditions to mitigate the challenges associated with sealing the system and to minimize the interference caused by fluctuations in fan operation. The fan draws in gas (air at atmospheric pressure and ambient temperature) into the cyclone, where the gas undergoes a rotational motion before being expelled through the vortex finder and subsequently entering the downstream pipeline. A butterfly valve and a bypass valve were utilized to regulate the flow within the system. A Pitot tube was employed to measure the inlet velocity (Vi), while the hot–wire anemometry system (IFA300, TSI Inc., Seattle, WA, USA) was used to capture instantaneous velocities within the cyclone. The coordinate frame served to secure and adjust the position of the hot–wire probe throughout the measurement process.
Figure 2.
Schematic of experimental setup.
During the experiment, 5 measuring sections were established: Z1(z/D = 1.23) for the cylinder, Z2–Z4 (z/D = 1.93, 2.52, 3.30) for the cone, and Z5 (z/D = 4.05) for the hopper. At each measurement section, 6 measurement points with varying r/R values were positioned along the radial direction (spanning 0° to 180°), as illustrated in Figure 2.
For the three–dimensional velocity field of a cyclone, the tangential velocity serves as a critical component of the swirling flow field and is instrumental in gas–solid separation processes. Consequently, instantaneous tangential velocity was selected as the primary parameter for dynamic measurement experiments. This necessitated the vertical alignment of the hot probe with respect to the tangential velocity during the measurement process. Vi was maintained at a constant rate of 6.8 m/s, with a sampling frequency of HWA = 1000 Hz and a sampling duration of 16 s.
3. Numerical Methods
3.1. Turbulence Model
The accuracy of both RSM and LES in cyclone studies has been extensively validated [38]. However, the LES model necessitates a more refined grid and greater computational effort compared to the RSM. One of the primary motivations for employing LES is its ability to explicitly resolve a significant portion (exceeding 80%) of the flow, which can provide additional details about the swirling flow, such as fluctuations in the mean flow field, and the frequency information of the flow field. Consequently, the LES model has an advantage over the RSM in terms of predicting the dynamic characteristics of the complex turbulent flow field in the cyclone [39,40].
In general, the gas velocity in all directions within the cyclone is observed to be less than 80 m/s. The air medium utilized in this study falls within the range of incompressible fluids at standard atmospheric conditions and an ambient temperature [28]. The concept of LES involves decomposing turbulent instantaneous motion, which includes pulsating motion, into large–scale and small–scale vortices through a filtering process. The large–scale vortices are resolved directly using Navier–Stokes equations, while the effects of small–scale vortices on the large–scale vortices and the overall flow field are represented through a subgrid–scale model. For isothermal incompressible viscous flow within the cyclone, the filtered Navier–Stokes equations are expressed as follows:
In Equation (2), the strain rate tensor () and the subgrid stress tensor () are defined as follows:
Following the filtering process, the relationship between and is defined as follows:
where can be determined as follows:
In the Smagorinsky–Lilly model, the coefficient of subgrid vortex viscosity is defined as follows:
The hybrid length of the mesh is defined as follows:
where is the von Kármán constant (0.41); d is the closest distance to the wall surface; and is the Smagorinsky constant (0.05~0.1).
3.2. Simulation Conditions
The commercial computational fluid dynamics (CFD) software ANSYS Fluent 18.0 (ANSYS, Inc., Pittsburgh, PA, USA) was utilized to simulate turbulent flow in this study. To enhance convergence during LES, the first–order RNG k–ε model was employed to determine the steady–state flow field, with the resulting calculations serving as the initial flow field for LES. The finite volume method was applied to discretize the partial differential equations governing the model. The semi–implicit method for pressure–linked equations–consistent (SIMPLEC) algorithm was used to address pressure–velocity coupling, while the PRESTO! scheme was utilized for pressure discretization. A quadratic upstream interpolation for convective kinematics (QUICK) difference format was adopted to interpolate the variables of all convection terms in the equations. Additionally, the second–order upwind scheme was employed to treat the turbulent kinetic energy, dissipation rate, and Reynolds stress.
The velocity inlet boundary condition was applied at the inlet, with Vi maintained at 6.8 m/s, which corresponded to a Reynolds number (Re) of 45,946. The Re was calculated based on Vi and the cyclone cylinder diameter (D), expressed as Re = . An outflow boundary condition was established at the vortex finder outlet, and the vortex finder was extended to ensure the full development of pipe flow conditions. Wall boundary conditions were implemented at all other boundaries, and the near–wall flow was modeled using the standard wall function with a no–slip boundary condition [37]. The hydraulic diameter and turbulence intensity were utilized to characterize turbulence. A comprehensive list of the boundary conditions is outlined in Table 2.
Table 2.
Detailed boundary conditions for simulation.
This study examines the dynamic characteristics of gas swirling flow. To ensure accuracy, the residual convergence criterion was established at 1 × 10−6, and the time step was set to 1 × 10−5 s. Once the flow reached a statistically steady state, data sampling commenced, and a specific duration was used in the calculation to obtain the statistical average and fluctuation values of the swirling flow.
3.3. Grid Independence
The cyclone utilized in this numerical simulation was of the same dimensions as the experimental model, with specific structural measurements given in Figure 1 and Table 1. The hexahedral computational grids were generated using ANSYS ICEM 18.0 software (Figure 3). A finer grid was implemented near the wall to accurately capture the complexities of the internal flow within the cyclone [41,42].
Figure 3.
A schematic of the computation grids. (a) Overall grid layout; (b) finer grid near the wall.
In the preliminary computations, 3 levels of grid resolution were tested for the cyclone, comprising 1,018,838, 2,201,534, and 3,083,516 hexahedral cells, respectively. Figure 4 compares the mean tangential velocity and the HWA measurements at the same axial section (z/D = 1.23) across the different grid configurations. The distribution trend in the mean tangential velocity, obtained from LES, is generally consistent with the experimental measurements. Notably, as the number of grid cells increases beyond a certain threshold, the simulation results exhibit minimal variation and converge closely to the experimental values, indicating that the results can be regarded as being independent of the grid resolution. Consequently, to achieve an optimal balance between computational efficiency and simulation accuracy, this study selected a grid comprising 2,201,534 cells. Additionally, the wall y+ value calculated using Fluent for this grid configuration falls within the range of 11.225 < y+ < 300 (Figure 5). The distance from the center of the first grid to the wall was confirmed to be situated within the logarithmic–law region [43].
Figure 4.
Tangential velocity profiles across different grids (z/D = 1.23).
Figure 5.
Wall y+ contour for cyclone simulation.
4. Results and Discussion
4.1. Model Validation
The numerical results were compared with experimental data, using both time–mean tangential velocity and instantaneous tangential velocity to validate the models employed in this study. The predicted time–mean tangential velocity at the section (z/D = 1.23) is largely consistent with the experimental data (Figure 4). Additionally, a comparison was made between the simulated monitoring data and the experimental data at 2 measurement points within the section (z/D = 1.23). The prediction results obtained for instantaneous tangential velocity exhibit similar fluctuation characteristics to those observed in the experimental results (Figure 6a,b). Using LES, the ranges of tangential velocity fluctuations at measurement points r/R = 0.28 and r/R = 0.76 are approximately 9 m/s and 5 m/s, respectively, while the corresponding experimental results are 7 m/s and 4 m/s. The fluctuations predicted by LES are generally slightly larger than those observed experimentally. This discrepancy can be attributed to the exclusion of wall roughness seen in the simulation, which presents a relatively idealized scenario, resulting in reduced energy loss and increased pulsation strength. Furthermore, spectral analysis was conducted on the simulated and experimental data at the measurement point r/R = 0.28 (Figure 6c,d). The dominant frequency of the simulated data is approximately 91 Hz, while that of the experimental data is approximately 86 Hz, indicating a close correspondence and suggesting a reasonable level of consistency. The comparisons across these various aspects indicate that the model utilized in this study demonstrates a satisfactory level of predictive accuracy in terms of the cyclone flow field.
Figure 6.
Comparison between numerical simulations and experimental data: (a) LES prediction of instantaneous tangential velocity; (b) HWA measurement of instantaneous tangential velocity; (c) frequency domain analysis from LES; (d) frequency domain analysis from HWA.
4.2. Instability of Instantaneous Tangential Velocity and Pressure
4.2.1. Instantaneous Tangential Velocity of the Spatial Dimension
Based on the numerical simulation results obtained from LES, Figure 7 depicts the instantaneous tangential velocity contours at 2.000 s for 4 sections (z/D = 1.23, 1.93, 3.30, 4.05) along the axial direction. The contours for each section exhibit non–uniformity, and the spatial locations of the maximum tangential velocity differ, thereby reflecting the non–axial symmetry of the instantaneous tangential velocity in the spatial dimension.
Figure 7.
Instantaneous tangential velocity contours across different axial sections.
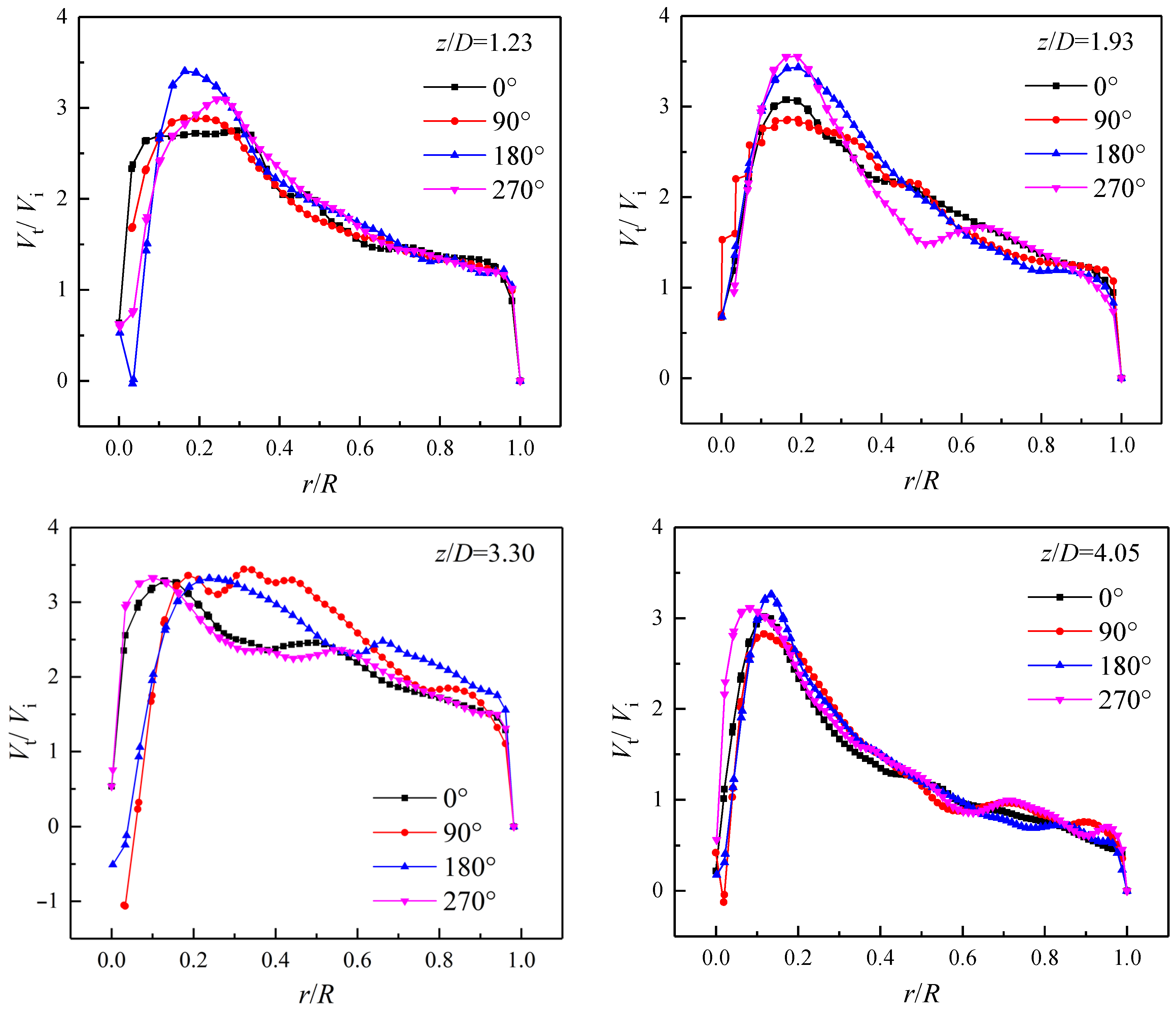
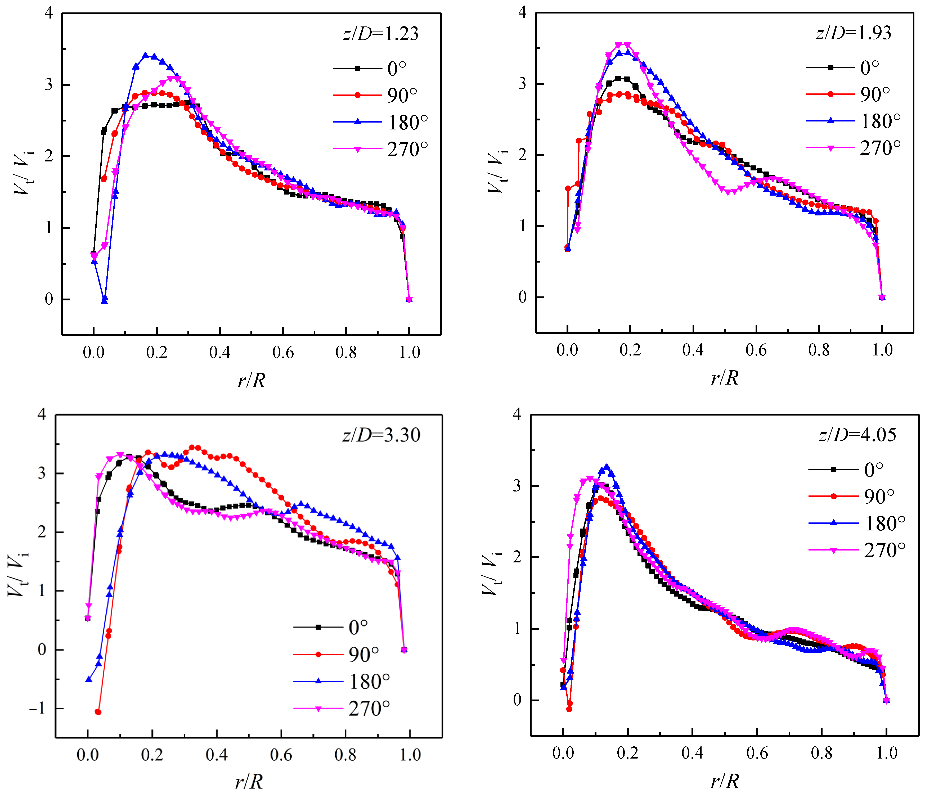
To facilitate more intuitive observation of the variations in instantaneous tangential velocity, the tangential velocity distributions across 4 circular directions in space (with the centerline parallel to the cyclone inlet designated as 0° and the direction for each interval labeled as 90°) were extracted (Figure 8). The instantaneous tangential velocity across different axial sections of the cyclone exhibits significant variability. As the gas enters the cone, the differences in velocity become increasingly pronounced due to the gradual reduction in space. However, these differences diminish once the gas enters the hopper. Notably, the lower section of the cone (z/D = 3.30) displays the most substantial disparity between the inner and outer swirling flows, with instances of negative tangential velocity occurring, indicating a heightened level of dynamic instability in this region. These observations further suggest that the instantaneous tangential velocity is asymmetrical in the spatial dimension, and that this asymmetry varies in magnitude across different axial positions within the cyclone.
Figure 8.
Instantaneous tangential velocity distribution across different spatial azimuths (2.000 s).
4.2.2. Instantaneous Tangential Velocity of the Temporal Dimension
In the temporal dimension, the contour of the instantaneous tangential velocity was extracted at 0.002 s intervals, beginning at 2.000 s, from the z/D = 3.30 section (Figure 9). The contour indicates that the maximum tangential velocity fluctuates within the section at various time points. Importantly, the location of the maximum tangential velocity appears to rotate over time around the geometric center of the cyclone.
Figure 9.
Instantaneous tangential velocity contours across different times.
Figure 10 illustrates the distributions of instantaneous tangential velocity in the 0° direction at various time intervals, revealing significant temporal variations in the velocity distribution. The radial position of the maximum tangential velocity exhibits changes over time, with negative tangential velocities observed at certain moments near the geometric center of the cyclone. This trend becomes more pronounced as the axial position descends within the separation space, particularly in the lower cone section (z/D = 3.30), where the deviation of instantaneous tangential velocity increases markedly at different times. Conversely, this trend diminishes within the hopper region. Additionally, velocity fluctuations in the internal region are consistently greater than those in the outer region across all sections. These phenomena suggest that the instantaneous tangential velocity is unstable in the temporal dimension, with the instability’s effect being more significant in the internal region compared to the outer region.
Figure 10.
Instantaneous tangential velocity distribution across different times (0° direction).
4.2.3. Instability of Instantaneous Pressure
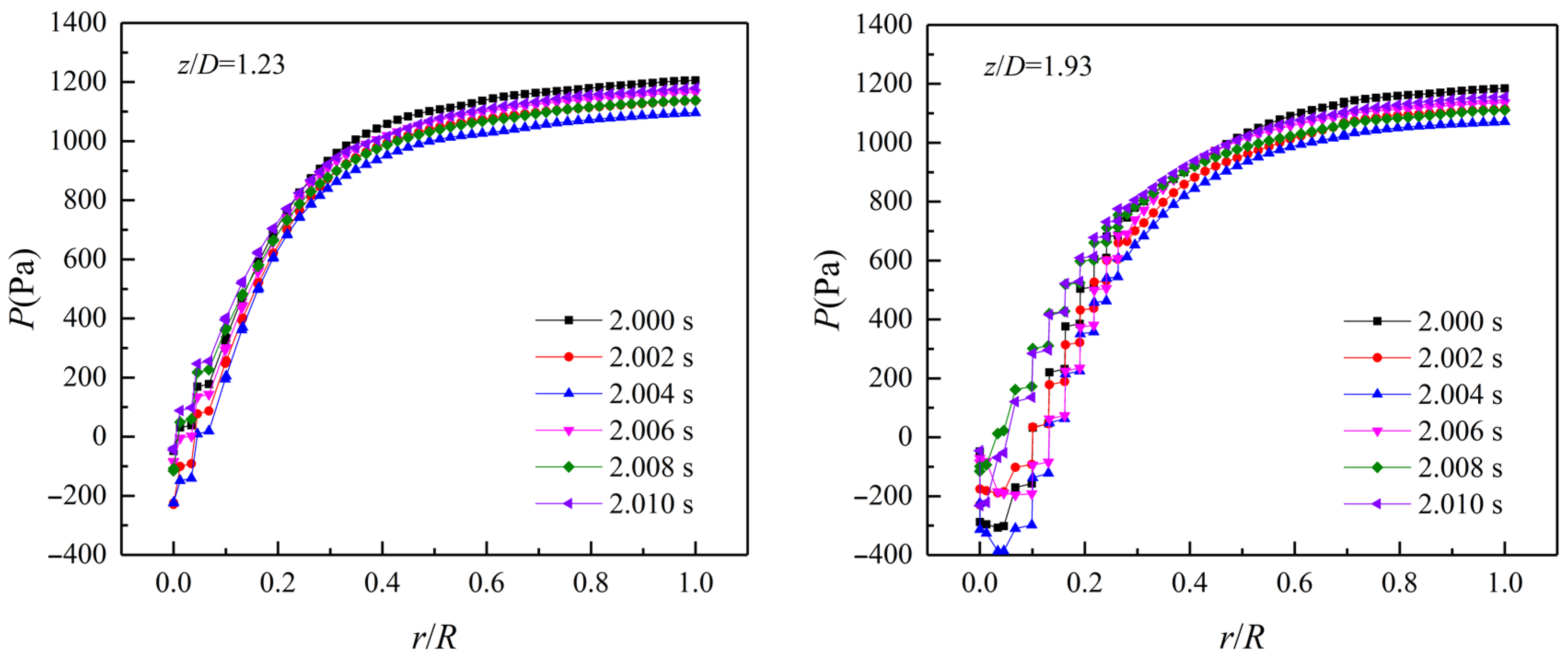
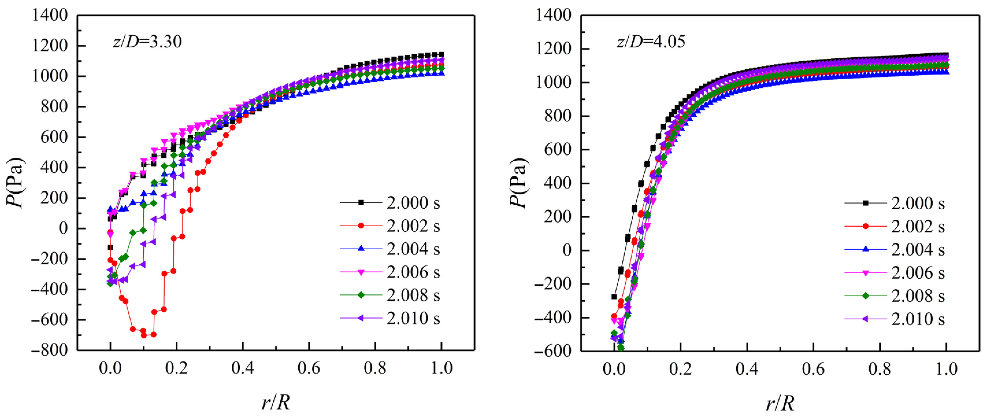
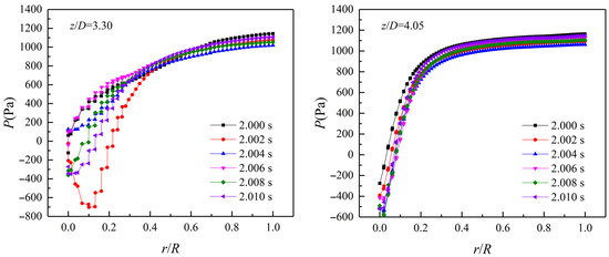
Utilizing a similar approach, the instantaneous pressure distributions across various sections were derived from both spatial and temporal dimensions (Figure 11 and Figure 12). The patterns observed in the instantaneous pressure distributions exhibit comparable characteristics and regularities to those of the fluctuations in instantaneous velocity. This observation further indicates the presence of dynamic instability in the swirling flow within both spatial and temporal contexts.
Figure 11.
Pressure distributions at different spatial azimuths (2.000 s).

Figure 12.
Pressure distributions at different times (0° direction).
4.3. Dynamic Instability Analysis of the Gas Swirling Flow
4.3.1. Generation Mechanism of Dynamic Instability
Figure 13 depicts the equivalent surface distributions of tangential velocity and pressure at the 2.000 s time point, as obtained from LES calculations. The internal distributions of tangential velocity and pressure within the cyclone exhibit a non–axisymmetric pattern. Furthermore, the equivalent surfaces of tangential velocity and pressure demonstrate irregular fluctuations at various axial positions; this is particularly pronounced in the lower sections of the cone. These observations indicate that the center of the swirling flow does not align with the geometric center of the cyclone. Additionally, the degree of eccentricity of the swirling center varies across different axial positions, highlighting the spatial instability of the swirling flow.
Figure 13.
Equivalent surface distribution of tangential velocity and pressure (2.000 s). (a) Tangential velocity equivalent surface; (b) pressure equivalent surface.
Figure 14 illustrates the equivalent surface distributions of pressure at various time intervals (every 0.002 s from 2.000 s to 2.010 s) within the cyclone flow field. This distribution can be approximately interpreted as the positional trajectory of the swirling center over time. It reveals notable variations in the location of the swirling center at different time points, with the vortex core exhibiting a significant degree of eccentricity across various axial positions, particularly in the lower regions of the cone. These observations align with the results presented in Section 4.2.2 and Section 4.2.3, which indicate heightened instantaneous tangential velocity and fluctuations in instantaneous pressure. This phenomenon exemplifies the temporal instability inherent in swirling flows.
Figure 14.
Equivalent surface distribution of pressure across different times.
From the perspective of gas flow analysis, the airflow within the cyclone exhibits rotational characteristics that stem from changes in the momentum moment of the inlet airflow. According to the principle of momentum conservation, expressed as Vt × r = Const, the radial inward rotation of the airflow results in the radial velocity Vr directly affecting the acceleration of the tangential velocity Vt. In Figure 15a, along the radial line r above the circular cross–section, the radial velocity of streamline 2 exceeds that of streamline 1, consequently leading to a greater tangential velocity for streamline 2 compared to streamline 1. The airflow transitions from an outer quasi–free vortex to an inner forced vortex, resulting in an uneven distribution of radial velocity along the circumference. This uneven distribution subsequently affects the tangential velocity, leading to an eccentric rotation of the swirling flow. When eccentric rotation occurs (Figure 15b), the tangential velocity becomes asymmetric, with the eccentric side exhibiting a higher velocity than the non–eccentric side, which also results in an asymmetric static pressure distribution. This flow pattern facilitates a continuous exchange between rotational kinetic energy and pressure potential energy. Consequently, the center of the swirling flow does not align with the geometric center of the cyclone; rather, the swirling flow undergoes an eccentric oscillation around the cyclone’s geometric center while simultaneously rotating. This phenomenon contributes to the dynamic instability of the swirling flow. Therefore, the dynamic instability observed in the cyclone’s swirling flow arises from the combined effects of rotational dynamics and the curvature effects induced by the wall’s bending, manifesting as an eccentric rotation of the swirling center in both temporal and spatial dimensions.
Figure 15.
Eccentric rotation of swirling flow in cyclone. (a) Effect of the radial velocity on the tangential velocity; (b) asymmetry of the tangential velocity and pressure.
4.3.2. Effects of Dynamic Instability on the Instantaneous Parameter Fluctuations
This simulation study employs the fixed–point monitoring method to ascertain instantaneous velocity and pressure. The tangential velocity is selected as a representative parameter in order to analyze the effect of dynamic instability on instantaneous fluctuations. At 3 time intervals, it is assumed that the swirling center transitions from point O′ to O and subsequently to O″. Curves 1, 2, and 3 represent the tangential velocity distributions corresponding to these 3 moments, with curve 2 depicting the scenario in which the swirling center aligns with the geometric center of the cyclone (Figure 16). The movement of the swirling center induces a change in tangential velocity (ΔVt) at any fixed radial position. This change can be expressed as the sum of the height difference between curves 1 and 2 (ΔVt′) and the height difference between curves 3 and 2 (ΔVt″). Due to the Rankine vortex distribution characteristics of the cyclone’s tangential velocity, ΔVt at point A, located in the forced vortex region, is significantly greater than at point B, situated in the quasi–free vortex region. This observation indicates that the instability of the swirling flow exerts a more pronounced effect on the forced vortex region while having a diminished effect on the external quasi–free vortex region. This phenomenon can be attributed to the flow of fluid from the external quasi–free vortex to the internal forced vortex. The instability generated by the forced vortex in the central region has a limited effect on the quasi–free vortex upstream, and the fluctuation values exhibit marked decay as one moves outward along the radial direction.
Figure 16.
Effect of eccentric rotation in swirling flow on tangential velocity fluctuations.
Notably, despite the variations in the fluctuation intensity of the instantaneous tangential velocity at different radial positions, the fluctuation frequency at positions A and B, which are fixed radially, remains consistent. As the center transitions of O→O→O″, the instantaneous tangential velocity at position A exhibits a singular increase from 1→2→3, whereas at position B, it demonstrates a singular decrease from 1→2→3. In the shaded area, the radial position C lies within the intersection of the forced vortex and the quasi–free vortex. In this study, the instantaneous tangential velocity shows a singular increase along the curve from 1→2, followed by a singular decrease from 2→3. Furthermore, the fluctuation frequency in this region is twice that of the other areas. Therefore, conducting a spectral analysis of the monitoring data will facilitate the determination of the frequency of the swirling flow oscillations, thereby enabling the characterization of the dynamic instability of the flow field within the cyclone.
4.3.3. Effects of Dynamic Instability on the Particle Separating Process
The cyclone operates based on the centrifugal force generated by the tangential velocity of the internal swirling flow, which is crucial for particle separation. However, the presence of dynamic instability within the swirling flow can adversely affect both particle separation and the stable operation of the cyclone. Specifically, dynamic instability leads to increased fluctuations in velocity and pressure within the cyclone, thereby intensifying gas turbulence and enhancing the turbulent diffusion of particles [4]. This phenomenon ultimately results in a reduction in separation efficiency. Furthermore, dynamic instability affects the particle size efficiency of the cyclone; turbulent diffusion diminishes the capture efficiency for smaller particles, particularly those of less than 5 μm in diameter. Consequently, the relationship between particle size and separation efficiency is characterized by an exponential curve, which may occasionally exhibit a “hook” phenomenon [44]. Additionally, the dynamic instability of the swirling flow is evidenced by the oscillation of the flow. Under certain conditions, if the frequency of this oscillation approaches the equipment’s inherent frequency, it can induce severe vibrations, potentially leading to damage to various components.
5. Conclusions
This study investigated the dynamic instability of gas swirling flow in a reverse cyclone using numerical simulations and HWA experiments. Both the spatial and temporal dimensions of dynamic instability were examined, and its generation mechanisms were analyzed. Furthermore, the effects of dynamic instability on instantaneous parameter fluctuations and particle separation were explored. The key conclusions are outlined as follows:
- The flow field results obtained through LES showed strong agreement with experimental measurements, particularly in terms of the time–averaged and instantaneous velocities. Notably, LES accurately captured the fluctuation intensity and frequency of the instantaneous tangential velocity, making it a reliable tool for studying the dynamic instability of complex flow fields.
- The dynamic instability of the gas swirling flow in the cyclone can be considered as the superposition of the spatial asymmetry and the temporal instability. The instantaneous tangential velocity and pressure distributions at various sections exhibit significant asymmetry in the spatial dimension and show instability over time. The internal regions of the cyclone experience higher instability levels compared to the outer regions, highlighting the localized impact of these phenomena.
- From the perspective of the cyclone structure and its internal gas flow, dynamic instability is driven by a combination of rotational effects and wall curvature. These forces cause an eccentric rotation of the swirling center, which is evident in both spatial and temporal dimensions. This eccentric rotation is particularly pronounced in the lower parts of the cyclone cone. Future studies should focus on structural modifications, such as symmetric inlet designs, anti–return mixing cones, or vortex stabilizers, in order to mitigate the effects of this eccentric rotation and improve the cyclone’s performance.
- The eccentric rotation caused by dynamic instability results in fluctuations in instantaneous parameters at specific frequencies, leading to increased turbulence intensity and particle diffusion. This adversely affects both the separation efficiency and particle size efficiency. Additionally, the fluctuations can induce significant mechanical stress, potentially causing equipment vibrations and damage. While this study focused on gas–phase flow, the introduction of particles will further increase the complexity of the flow field. Future work should aim to investigate the dynamic instability of particle–laden flows to improve industrial applications.
Author Contributions
Conceptualization, J.L. and L.S.; investigation, M.X., J.S. and J.Z.; writing—original draft preparation, J.L. and L.S.; writing—review and editing, L.S.; supervision, J.L. and M.M.; funding acquisition, L.S. and J.S. All authors have read and agreed to the published version of the manuscript.
Funding
This research was supported by the Hebei Natural Science Foundation (grant number: B2021411001). The authors are also grateful for the support from the National Natural Science Foundation of China (grant number: 22178382).
Data Availability Statement
All data generated or analyzed during this study are included in the published article.
Conflicts of Interest
The authors declare no conflicts of interest.
References
- Hoffmann, A.C.; Stein, L.E. Gas Cyclones and Swirl Tubes: Principles, Design and Operation, 2nd ed.; Springer: Berlin/Heidelberg, Germany, 2008. [Google Scholar]
- Swamee, P.K.; Aggarwal, N.; Bhobhiya, K. Optimum design of cyclone separator. AIChE J. 2010, 55, 2279–2283. [Google Scholar] [CrossRef]
- Huard, M.; Briens, C.; Berruti, F.; Gauthier, T.A. A review of rapid gas-solid separation techniques. Int. J. Chem. React. Eng. 2010, 8, 47–54. [Google Scholar] [CrossRef]
- Sun, L.Q.; Wang, D.; Song, J.F.; Liu, J.X.; Wang, J.Y.; Wei, Y.D. Experimental study of gas swirling flow instability characteristics in a cyclone using the hot-wire anemometry technique. AIChE J. 2019, 66, e16759. [Google Scholar] [CrossRef]
- Elsayed, K.; Lacor, C. Optimization of the cyclone separator geometry for minimum pressure drop using mathematical models and cfd simulations. Chem. Eng. Sci. 2010, 65, 6048–6058. [Google Scholar] [CrossRef]
- Yoshida, H.; Inada, Y.; Fukui, K.; Yamamoto, T. Improvement of gas-cyclone performance by use of local fluid flow control method. Powder Technol. 2009, 193, 6–14. [Google Scholar] [CrossRef]
- Misiulia, D.; Liden, G.; Antonyuk, S. Secondary Lip Flow in a Cyclone Separator. Flow Turbul. Combust. 2023, 110, 581–600. [Google Scholar] [CrossRef]
- Ansari, M.U.; Foshee, T.; Ludolph, R.A. Enhancing FCC reliability: The impact of cyclone technology developments. Revamps 2023, 3, 31–34. Available online: https://ptqmagazines.digitalrefining.com/view/192991701 (accessed on 6 July 2024).
- Hu, L.Y.; Zhou, L.X.; Zhang, J.; Shi, M.X. Studies on strongly swirling flows in the full space of a volute cyclone separator. AIChE J. 2010, 51, 740–749. [Google Scholar] [CrossRef]
- Zhou, L.X.; Li, Y.; Chen, T.; Xu, Y. Studies on the effect of swirl numbers on strongly swirling turbulent gas-particle flows using a phase-Doppler particle anemometer. Powder Technol. 2000, 112, 79–86. [Google Scholar] [CrossRef]
- Wang, B.; Pei, B.; Liu, H.; Jiang, Y.; Xu, D.; Chen, Y. Function and effect of the inner vortex on the performance of cyclone separators. AIChE J. 2017, 63, 4508–4518. [Google Scholar] [CrossRef]
- Wei, Q.; Sun, G.; Gao, C. Numerical analysis of axial gas flow in cyclone separators with different vortex finder diameters and inlet dimensions. Powder Technol. 2020, 369, 321–333. [Google Scholar] [CrossRef]
- Pisarev, G.I.; Gjerde, V.; Balakin, B.V.; Hoffmann, A.C.; Dijkstra, H.A.; Peng, W.M. Experimental and computational study of the “end of the vortex” phenomenon in reverse-flow centrifugal separators. AIChE J. 2012, 58, 1371–1380. [Google Scholar] [CrossRef]
- Wang, M.; Feng, D.; Wang, J.; Hou, L.; Miao, E. CFD investigation on the performance of cyclone separators with divergent or convergent insertion pipes. Processes 2023, 11, 2061. [Google Scholar] [CrossRef]
- Hoekstra, A.J.; Derksen, J.J.; Akker, H.E.A.V.D. An experimental and numerical study of turbulent swirling flow in gas cyclones. Chem. Eng. Sci. 1999, 54, 2055–2065. [Google Scholar] [CrossRef]
- Yazdabadi, P.A.; Griffiths, A.J.; Syred, N. Characterization of the PVC phenomena in the exhaust of a cyclone dust separator. Exp. Fluid 1994, 17, 84–95. [Google Scholar] [CrossRef]
- Solero, G.; Coghe, A. Experimental fluid dynamic characterization of a cyclone chamber. Exp. Therm. Fluid Sci. 2002, 27, 87–96. [Google Scholar] [CrossRef]
- Obermair, S.; Woisetschläger, J.; Staudinger, G. Investigation of the flow pattern in different dust outlet geometries of a gas cyclone by laser Doppler anemometry. Powder Technol. 2003, 138, 239–251. [Google Scholar] [CrossRef]
- Obermair, S.; Gutschi, C.; Woisetschläger, J.; Staudinger, G. Flow pattern and agglomeration in the dust outlet of a gas cyclone investigated by phase doppler anemometry. Powder Technol. 2005, 156, 34–42. [Google Scholar] [CrossRef]
- Liu, Z.L.; Zheng, Y.; Jia, L.F.; Zhang, Q.K. An experimental method of examining three-dimensional swirling flows in gas cyclones by 2D-PIV. Chem. Eng. J. 2007, 133, 247–256. [Google Scholar] [CrossRef]
- Wu, X.L.; Shi, M.X. Visualization of the Precessing Vortex Core in a Cyclone Separator by PIV. Chin. J. Chem. Eng. 2003, 11, 633–637. [Google Scholar]
- He, M.Y.; Zhang, Y.H.; Ma, L.; Wang, H.G.; Fu, P.B.; Zhao, Z.H. Study on flow field characteristics in a reverse rotation cyclone with PIV. Chem. Eng. Process. 2018, 126, 100–107. [Google Scholar] [CrossRef]
- Wang, D.; Sun, L.Q.; Wang, J.Y.; Liu, J.X.; Wei, Y.D.; Song, J.F. Experimental study of the dynamic characteristics of a cyclone by hot wire/film anemometry, Effects of gas leakage. Sep. Purif. Technol. 2020, 251, 117365. [Google Scholar] [CrossRef]
- Sun, L.Q.; Song, J.F.; Wang, D.; Wang, J.Y.; He, J.; Wei, Y.D. An experimental investigation on gas flow field dynamic characteristics in a reverse cyclone. Chem. Eng. Res. Des. 2020, 160, 52–62. [Google Scholar] [CrossRef]
- Sun, L.; Xie, M.; Dong, Y.; Li, J.; Song, J. Effects of Diameter Parameters on Gas Flow Field Characteristics in Cyclones: An Experimental Investigation. Processes 2024, 12, 474. [Google Scholar] [CrossRef]
- Gu, X.F.; Song, J.F.; Wei, Y.D. Experimental study of pressure fluctuation in a gas-solid cyclone separator. Powder Technol. 2016, 299, 217–225. [Google Scholar] [CrossRef]
- Jia, M.D.; Wang, D.; Yan, C.Y.; Song, J.F.; Han, Q.; Chen, F.Y.; Wei, Y.D. Analysis of the pressure fluctuation in the flow field of a large-scale cyclone separator. Powder Technol. 2019, 343, 49–57. [Google Scholar] [CrossRef]
- Gao, Z.W.; Wang, J.; Wang, J.Y.; Mao, Y.; Wei, Y.D. Analysis of the effect of vortex on the flow field of a cylindrical cyclone separator. Sep. Purif. Technol. 2019, 211, 438–447. [Google Scholar] [CrossRef]
- Guo, M.; Yang, L.; Son, H.; Le, D.K.; Manickam, S.; Sun, X.; Yoon, J.Y. An overview of novel geometrical modifications and optimizations of gas-particle cyclone separators. Sep. Purif. Technol. 2024, 329, 125136. [Google Scholar] [CrossRef]
- Gopalakrishnan, B.; Saravana Kumar, G.; Prakash, K.A. Parametric analysis and optimization of gas-particle flow through axial cyclone separator: A numerical study. Adv. Powder Technol. 2023, 34, 103959. [Google Scholar] [CrossRef]
- Vivek, R.; Venkatesh, S.; Manoj, V.; Kumar, M.; Mohanasundaram. A brief review on improving materials particulates using cyclone separator by geometrical and turbulence factors. Mater. Today Proc. 2022, 69, 1076–1079. [Google Scholar] [CrossRef]
- Dong, S.J.; Jiang, Y.C.; Jin, R.Z.; Dong, K.J.; Wang, B. Numerical study of vortex eccentricity in gas cyclone. Appl. Math. Model. 2020, 80, 683–701. [Google Scholar] [CrossRef]
- Wang, B.; Xu, D.L.; Chu, K.W.; Yu, A.B. Numerical study of gas–solid flow in a cyclone separator. Appl. Math. Model. 2006, 30, 1326–1342. [Google Scholar] [CrossRef]
- Gronald, G.; Derksen, J.J. Simulating turbulent swirling flow in a gas cyclone: A comparison of various modeling approaches. Powder Technol. 2011, 205, 160–171. [Google Scholar] [CrossRef]
- Derksen, J.J. Simulations of confined turbulent vortex flow. Comput. Fluids 2005, 34, 301–318. [Google Scholar] [CrossRef]
- Derksen, J.J.; Akker, H.E.A.V.D. Simulation of vortex core precession in a reverse-flow cyclone. AIChE J. 2000, 46, 1317–1331. [Google Scholar] [CrossRef]
- Brar, L.S.; Elsayed, K. Analysis and optimization of multi-inlet gas cyclones using large eddy simulation and artificial neural network. Powder Technol. 2017, 311, 465–483. [Google Scholar] [CrossRef]
- Shalaby, H.; Pachdler, K.; Wozniak, K.; Wozniak, G. Characterizing effects of the shape of screw conveyors in gas-solid fluidized beds using advanced numerical models. Int. J. Numer. Meth. Fluids 2015, 48, 1175–1197. [Google Scholar] [CrossRef]
- Shastri, R.; Singh Brar, L.; Elsayed, K. Multi-objective optimization of cyclone separators using mathematical modelling and large-eddy simulation for a fixed total height condition. Sep. Purif. Technol. 2022, 291, 120968. [Google Scholar] [CrossRef]
- Cortes, C.; Gil, A. Modeling the gas and particle flow inside cyclone separators. Prog. Energy Combust. Sci. 2007, 33, 409–452. [Google Scholar] [CrossRef]
- Bumrungthaichaichan, E. How can the appropriate near-wall grid size for gas cyclone CFD simulation be estimated? Powder Technol. 2022, 396, 327–344. [Google Scholar] [CrossRef]
- Bumrungthaichaichan, E. A note of caution on numerical scheme selection: Evidence from cyclone separator CFD simulations with appropriate near-wall grid sizes. Powder Technol. 2003, 427, 118713. [Google Scholar] [CrossRef]
- Shukla, S.K.; Shukla, P.; Ghosh, P. The effect of modeling of velocity fluctuations on prediction of collection efficiency of cyclone separators. Appl. Math. Model. 2013, 37, 5774–5789. [Google Scholar] [CrossRef]
- Wang, B.; Yu, A.B. Computational investigation of the mechanisms of particle separation and “Fish-hook” phenomenon in hydrocyclones. AIChE J. 2010, 56, 1703–1715. [Google Scholar] [CrossRef]
Disclaimer/Publisher’s Note: The statements, opinions and data contained in all publications are solely those of the individual author(s) and contributor(s) and not of MDPI and/or the editor(s). MDPI and/or the editor(s) disclaim responsibility for any injury to people or property resulting from any ideas, methods, instructions or products referred to in the content. |
© 2024 by the authors. Licensee MDPI, Basel, Switzerland. This article is an open access article distributed under the terms and conditions of the Creative Commons Attribution (CC BY) license (https://creativecommons.org/licenses/by/4.0/).
















