Removal of Cefuroxime from Soils Amended with Pine Bark, Mussel Shell and Oak Ash
Abstract
1. Introduction
2. Materials and Methods
2.1. Soils and Bioadsorbents
2.2. Chemicals and Reagents
2.3. Adsorption and Desorption Experiments
2.4. Modeling and Statistics
3. Results and Discussion
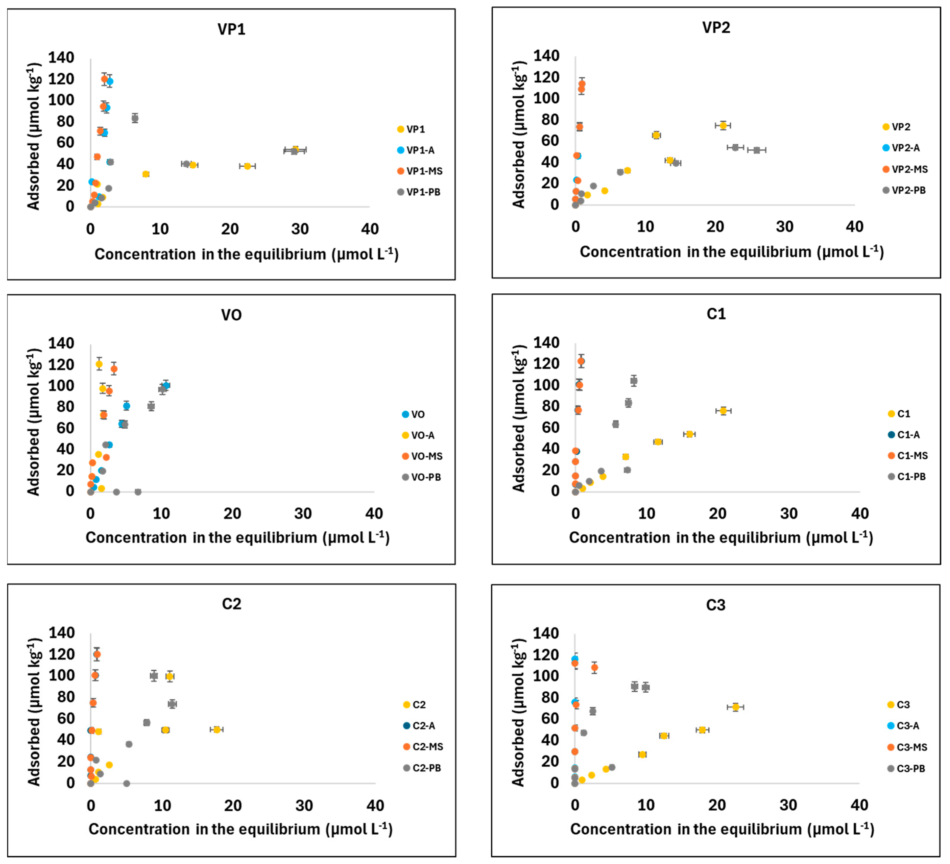
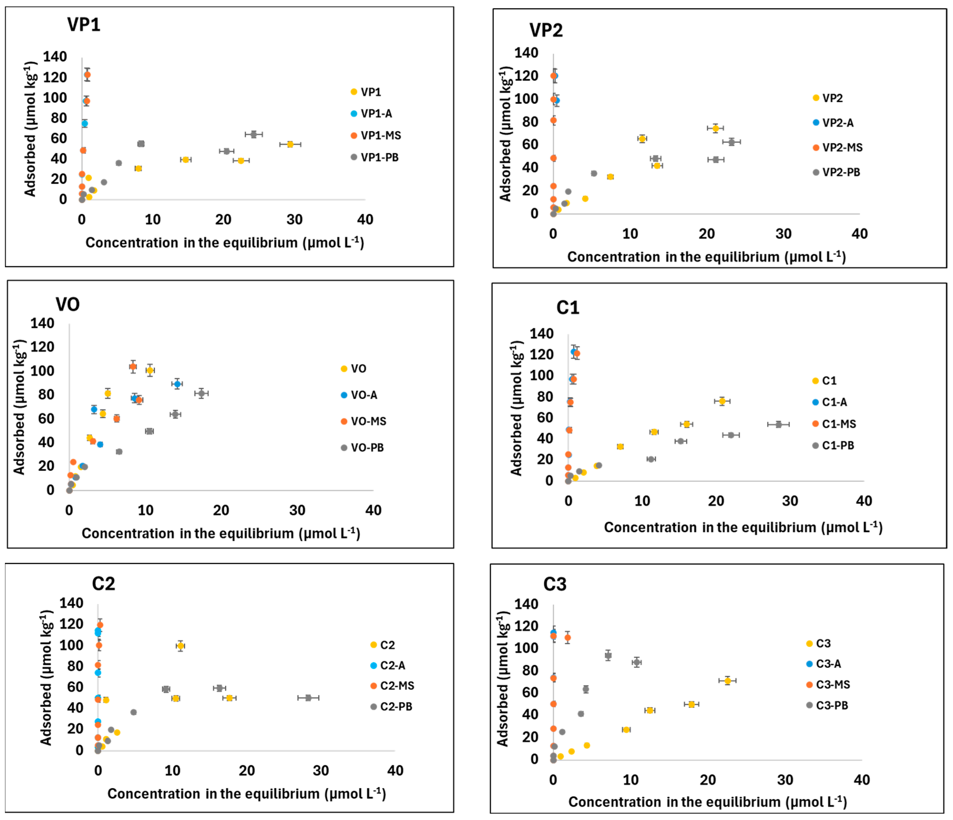
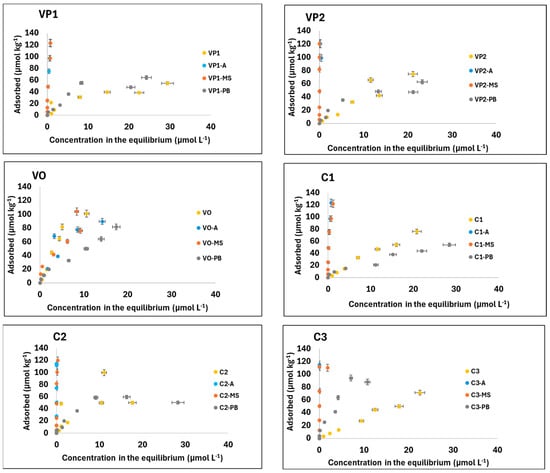
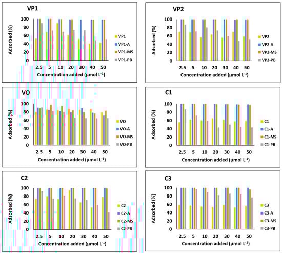
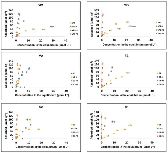
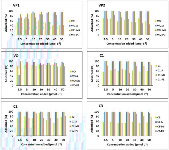
3.1. CFX Adsorption
3.2. Adsorption Isotherms for Soils and Mixtures of Soil and Bioadsorbents
3.3. Comparison with Previously Studied Bioadsorbents
3.4. Desorption
4. Conclusions
Supplementary Materials
Author Contributions
Funding
Data Availability Statement
Conflicts of Interest
References
- Phoon, B.L.; Ong, C.C.; Shuaib, M.; Saheed, M.; Show, P.; Chang, J.; Ling, T.C.; Lam, S.S.; Juan, J.C. Conventional and emerging technologies for removal of antibiotics from wastewater. J. Hazard. Mater. 2020, 400, 122961–122988. [Google Scholar] [CrossRef]
- Gothwal, R.; Shashidhar, T. Antibiotic pollution in the environment: A review. Clean Soil Air Water 2015, 43, 479–489. [Google Scholar] [CrossRef]
- Yang, Q.; Gao, Y.; Ke, J.; Show, P.L.; Ge, Y.; Liu, Y.; Guo, R.; Chen, J. Antibiotics: An overview on the environmental occurrence, toxicity, degradation, and removal methods. Bioengineered 2021, 12, 7376–7416. [Google Scholar] [CrossRef]
- Kümmerer, K. The presence of pharmaceuticals in the environment due to human use-present knowledge and future challenges. J. Environ. Menage. 2009, 90, 2354–2366. [Google Scholar] [CrossRef] [PubMed]
- Löffler, P.; Escher, B.I.; Baduel, C.; Virta, M.P.; Lai, F.Y. Antimicrobial transformation products in the aquatic environment: Global occurrence, ecotoxicological risks, and potential of antibiotic resistance. Environ. Sci. Tech. 2023, 57, 9474–9494. [Google Scholar] [CrossRef]
- Jelic, A.; Rodriguez-Mozaz, S.; Barceló, O.; Gutierrez, O. Impact of in-sewer transformation on 43 pharmaceuticals in a pressurized sewer under anaerobic conditions. Water Res. 2015, 68, 98–108. [Google Scholar] [CrossRef]
- Quaik, S.; Embrandiri, A.; Ravindran, B.; Hossain, K.; Abdullah Al-Dhabi, N.; Valan Arasu, M.; Ignacimuthu, S.; Ismail, N. Veterinary antibiotics in animal manure and manure laden soil: Scenario and challenges in Asian countries. J. King Saud Univ. Sci. 2020, 32, 1300–1305. [Google Scholar] [CrossRef]
- Foroughi, M.; Khiadani, M.; Kakhki, S.; Kholghi, V.; Naderi, K.; Yektay, S. Effect of ozonation-based disinfection methods on the removal of antibiotic resistant bacteria and resistance genes (ARB/ARGs) in water and wastewater treatment: A systematic review. Sci. Total Environ. 2022, 811, 151404–151426. [Google Scholar] [CrossRef]
- Makowska, N.; Koczura, R.; Mokracka, J. Class 1 integrase, sulfonamide and tetracycline resistance genes in wastewater treatment plant and surface water. Chemosphere 2016, 144, 1665–1673. [Google Scholar] [CrossRef]
- Karkman, A.; Do, T.T.; Walsh, F.; Virta, M.P.J. Antibiotic-resistance genes in waste water. Trends Microbiol. 2018, 26, 220–228. [Google Scholar] [CrossRef]
- Larsson, D.G.J.; Flach, C.F.; Laxminarayan, R. Sewage surveillance of antibiotic resistance holds both opportunities and challenges. Nat. Rev. Microbiol. 2023, 21, 213–214. [Google Scholar] [CrossRef] [PubMed]
- Rawson, T.M.; Ming, D.; Ahmad, R.; Moore, L.S.P.; Holmes, A.H. Antimicrobial use, drug-resistant infections and COVID-19. Nat. Rev. Microbiol. 2020, 18, 409–410. [Google Scholar] [CrossRef] [PubMed]
- Hsu, J. How COVID-19 is accelerating the threat of antimicrobial resistance. BMJ 2020, 369, 1983–1984. [Google Scholar] [CrossRef] [PubMed]
- Abegglen, C.; Joss, A.; McArdell, C.S.; Fink, G.; Schlüsener, M.P.; Ternes, T.A.; Siegrist, H. The fate of selected micropollutants in a single-house MBR. Water Res. 2009, 43, 2036–2046. [Google Scholar] [CrossRef] [PubMed]
- Massé, D.I.; Saady, N.M.C.; Gilbert, Y. Potential of biological processes to eliminate antibiotics in livestock manure: An overview. Animals 2014, 4, 146–163. [Google Scholar] [CrossRef] [PubMed]
- Moles, S.; Mosteo, R.; Gómez, J.; Szpunar, J.; Gozzo, S.; Castillo, J.R.; Ormad, M.P. Towards the removal of antibiotics detected in wastewaters in the POCTEFA territory: Occurrence and TiO2 photocatalytic pilot-ccale plant performance. Water 2020, 12, 1453. [Google Scholar] [CrossRef]
- Solís, R.R.; Chávez, A.M.; Monago-Maraña, O.; Muñoz de la Peña, A.; Beltrán, F.J. Photo-assisted ozonation of cefuroxime with solar radiation in a CPC pilot plant. Kinetic parameters determination. Sep. Purif. Technol. 2021, 266, 118514. [Google Scholar] [CrossRef]
- Oǧuz, M.; Mihçiokur, H. Environmental risk assessment of selected pharmaceuticals in Turkey. Environ. Toxicol. Pharmacol. 2014, 38, 79–83. [Google Scholar] [CrossRef] [PubMed]
- Yu, X.; Tang, X.; Zuo, J.; Zhang, M.; Chen, L.; Li, Z. Distribution and persistence of cephalosporins in cephalosporin producing wastewater using SPE and UPLC–MS/MS method. Sci. Total Environ. 2016, 569–570, 23–30. [Google Scholar] [CrossRef]
- Rossmann, J.; Schubert, S.; Gurke, R.; Oertel, R.; Kirch, W. Simultaneous determination of most prescribed antibiotics in multiple urban wastewater by SPE-LC–MS/MS. J. Chromatogr. B. 2014, 969, 162–170. [Google Scholar] [CrossRef]
- Kinney, C.A.; Furlong, E.T.; Werner, S.L.; Cahill, J.D. Presence and distribution of wastewater-derived pharmaceuticals in soil irrigated with reclaimed water. Environ. Toxicol. 2009, 25, 317–326. [Google Scholar] [CrossRef] [PubMed]
- Styszko, K.; Durak, J.; Kończak, B.; Głodniok, M.; Borgulat, A. The impact of sewage sludge processing on the safety of its use. Sci. Rep. 2022, 12, 12227. [Google Scholar] [CrossRef] [PubMed]
- Cerqueira, F.; Christou, A.; Fatta-Kassinos, D.; Vila-Costa, M.; Bayona, J.M.; Piña, B. Effects of prescription antibiotics on soil- and root-associated microbiomes and resistomes in an agricultural context. J. Hazard. Mater. 2020, 400, 123208–123219. [Google Scholar] [CrossRef]
- Hamdi, H.; Hechmi, S.; Khelil, M.N.; Zoghlami, I.R.; Benzarti, S.; Mokni-Tlili, S.; Hassen, A.; Jedidi, N. Repetitive land application of urban sewage sludge: Effect of amendment rates and soil texture on fertility and degradation parameters. Catena 2019, 172, 11–20. [Google Scholar] [CrossRef]
- Urra, J.; Alkorta, I.; Mijangos, I.; Epelde, L.; Garbisu, C. Application of sewage sludge to agricultural soil increases the abundance of antibiotic resistance genes without altering the composition of prokaryotic communities. Sci. Total Environ. 2019, 647, 1410–1420. [Google Scholar] [CrossRef] [PubMed]
- Kelessidis, A.; Stasinakis, A.S. Comparative study of the methods used for treatment and final disposal of sewage sludge in European countries. Waste Manag. 2012, 32, 1186–1195. [Google Scholar] [CrossRef] [PubMed]
- Malmborg, J.; Magnér, J. Pharmaceutical residues in sewage sludge: Effect of sanitization and anaerobic digestion. J. Environ. Manag. 2015, 153, 1–10. [Google Scholar] [CrossRef]
- Ezzariai, A.; Hafidi, M.; Khadra, A.; Aemig, Q.; Fels, L.E.; Barret, M.; Merlina, G.; Patureau, D.; Pinelli, E. Human and veterinary antibiotics during composting of sludge or manure: Global perspectives on persistence, degradation, and resistance genes. J. Hazard. Mater. 2018, 359, 465–481. [Google Scholar] [CrossRef]
- Buta, M.; Hubeny, J.; Zieliński, W.; Harnisz, M.; Korzeniewska, E. Sewage sludge in agriculture—The effects of selected chemical pollutants and emerging genetic resistance determinants on the quality of soil and crops—A review. Ecotoxicol. Environ. Saf. 2021, 214, 112070. [Google Scholar] [CrossRef]
- Roig, N.; Sierra, J.; Martí, E.; Nadal, M.; Schuhmacher, M.; Domingo, J.L. Long-term amendment of Spanish soils with sewage sludge: Effects on soil functioning. Agr. Ecosyst. Environ. 2012, 158, 41–48. [Google Scholar] [CrossRef]
- Petrie, B.; Barden, R.; Kasprzyk-Hordern, B. A review on emerging contaminants in wastewaters and the environment: Current knowledge, understudied areas and recommendations for future monitoring. Water Res. 2014, 72, 3–27. [Google Scholar] [CrossRef] [PubMed]
- Fijalkowski, K.; Rorat, A.; Grobelak, A.; Kacprzak, M.J. The presence of contaminations in sewage sludge—The current situation. J. Environ. Manag. 2017, 203, 1126–1136. [Google Scholar] [CrossRef] [PubMed]
- Ma, L.; Li, B.; Jiang, X.T.; Wang, Y.L.; Xia, Y.; Li, A.D.; Zhang, T. Catalogue of antibiotic resistome and host-tracking in drinking water deciphered by a large scale survey. Microbiome 2017, 5, 154–165. [Google Scholar] [CrossRef] [PubMed]
- Szekeres, E.; Chiriac, C.M.; Baricz, A.; Szőke-Nagy, T.; Lung, I.; Soran, M.L.; Rudi, K.; Dragos, N.; Coman, C. Investigating antibiotics, antibiotic resistance genes, and microbial contaminants in groundwater in relation to the proximity of urban areas. Environ. Pollut. 2018, 236, 734–744. [Google Scholar] [CrossRef] [PubMed]
- Shi, J.; Dong, Y.; Shi, Y.; Yin, T.; He, W.; An, T.; Tang, Y.; Hou, X.; Chong, S.; Chen, D.; et al. Groundwater antibiotics and microplastics in a drinking-water source area, northern China: Occurrence, spatial distribution, risk assessment, and correlation. Environ. Res. 2022, 210, 112855. [Google Scholar] [CrossRef] [PubMed]
- Vermillion Maier, M.L.; Tjeerdema, R.S. Azithromycin sorption and biodegradation in a simulated California river system. Chemosphere 2018, 190, 471–480. [Google Scholar] [CrossRef] [PubMed]
- Zheng, S.; Wang, Y.; Chen, C.; Zhou, X.; Liu, Y.; Yang, J.; Geng, Q.; Chen, G.; Ding, Y.; Yang, F. Current Progress in Natural Degradation and Enhanced Removal Techniques of Antibiotics in the Environment: A Review. Int. J. Environ. Res. Public Health 2022, 19, 10919. [Google Scholar] [CrossRef] [PubMed]
- Pan, M.; Chu, L.M. Fate of antibiotics in soil and their uptake by edible crops. Sci. Total Environ. 2017, 599–600, 500–512. [Google Scholar] [CrossRef] [PubMed]
- Rietra, R.P.J.J.; Berendsen, B.J.A.; Mi-Gegotek, Y.; Römkens, P.F.A.M.; Pustjens, A.M. Prediction of the mobility and persistence of eight antibiotics based on soil characteristics. Heliyon 2024, 10, e23718. [Google Scholar] [CrossRef]
- Yang, L.; Wu, L.; Liu, W.; Huang, Y.; Luo, Y.; Christie, P. Dissipation of antibiotics in three different agricultural soils after repeated application of biosolids. Environ. Sci. Pollut. Res. 2018, 25, 104–114. [Google Scholar] [CrossRef]
- Conde-Cid, M.; Fernández-Calviño, D.; Nóvoa-Muñoz, J.C.; Arias-Estévez, M.; Díaz-Raviña, M.; Núñez-Delgado, A.; Fernández-Sanjurjo, M.J.; Álvarez-Rodríguez, E. Degradation of sulfadiazine, sulfachloropyridazine and sulfamethazine in aqueous media. J. Environ. Manag. 2018, 228, 239–248. [Google Scholar] [CrossRef]
- Rodríguez-López, L.; Cela-Dablanca, R.; Núñez-Delgado, A.; Álvarez-Rodríguez, E.; Fernández-Calviño, D.; Arias-Estévez, M. Photodegradation of Ciprofloxacin, Clarithromycin and Trimethoprim: Influence of pH and Humic Acids. Molecules 2021, 26, 3080. [Google Scholar] [CrossRef] [PubMed]
- Jiang, M.; Wang, L.; Ji, R. Biotic and abiotic degradation of four cephalosporin antibiotics in a lake surface water and sediment. Chemosphere 2010, 80, 1399–1405. [Google Scholar] [CrossRef] [PubMed]
- Cheng, N.; Wang, B.; Wu, P.; Lee, X.; Chen, M.; Gao, B. Adsorption of emerging contaminants from water and wastewater by modified biochar: A review. Environ. Pollut. 2021, 273, 116448–116461. [Google Scholar] [CrossRef]
- Aksu, Z.; Tunç, Ö. Application of biosorption for penicillin G removal: Comparison with activated carbon. Process Biochem. 2005, 40, 831–847. [Google Scholar] [CrossRef]
- Acevedo-García, V.; Rosales, E.; Puga, A.; Pazos, M.; Sanromán, M.A. Synthesis and use of efficient adsorbents under the principles of circular economy: Waste valorisation and electroadvanced oxidation process regeneration. Sep. Purif. Technol. 2020, 242, 116796. [Google Scholar] [CrossRef]
- Schmidtová, Z.; Kodešová, R.; Grabicová, K.; Kočárek, M.; Fér, M.; Švecová, H.; Klement, A.; Nikodem, A.; Grabic, R. Competitive and synergic sorption of carbamazepine, citalopram, clindamycin, fexofenadine, irbesartan and sulfamethoxazole in seven soils. J. Contam. Hydrol. 2020, 234, 103680–103692. [Google Scholar] [CrossRef] [PubMed]
- Jiang, C.; Cai, H.; Chen, L.; Chen, L.; Cai, T. Effect of forestry-waste biochars on adsorption of Pb(II) and antibiotic florfenicol in red soil. Environ. Sci. Pollut. Res. 2017, 24, 3861–3871. [Google Scholar] [CrossRef]
- Nkoh, J.N.; Oderinde, O.; Etafo, N.O.; Kifle, G.A.; Okeke, E.S.; Ejeromedoghene, O.; Mgbechidinma, C.L.; Oke, E.A.; Raheem, S.A.; Bakare, O.C.; et al. Recent perspective of antibiotics remediation: A review of the principles, mechanisms, and chemistry controlling remediation from aqueous media. Sci. Total Environ. 2023, 881, 163469. [Google Scholar] [CrossRef]
- Juela, D. Promising adsorptive materials derived from agricultural and industrial wastes for antibiotic removal: A comprehensive review. Sep. Purif. Technol. 2022, 284. [Google Scholar] [CrossRef]
- Ahmed, M.; Mavukkandy, M.O.; Giwa, A.; Elektorowicz, M.; Katsou, E.; Khelifi, O.; Naddeo, V.; Hasan, S.W. Recent developments in hazardous pollutants removal from wastewater and water reuse within a circular economy. NPJ Clean Water 2022, 5, 12. [Google Scholar] [CrossRef]
- Conde-Cid, M.; Fernández-Calviño, D.; Fernández-Sanjurjo, M.J.; Núñez-Delgado, A.; Álvarez-Rodríguez, E.; Arias-Estévez, M. Effects of pine bark amendment on the transport of sulfonamide antibiotics in soils. Chemosphere 2020, 248, 126041. [Google Scholar] [CrossRef]
- Míguez-González, A.; Cela-Dablanca, R.; Barreiro, A.; Rodríguez-López, L.; Rodríguez-Seijo, A.; Arias-Estévez, M.; Núñez-Delgado, A.; Fernández-Sanjurjo, M.J.; Castillo-Ramos, V.; Álvarez-Rodríguez, E. Adsorption of antibiotics on bio-adsorbents derived from the forestry and agro-food industries. Environ. Res. 2023, 233, 116360. [Google Scholar] [CrossRef]
- Cela-Dablanca, R.; Nebot, C.; Rodríguez-López, L.; Fernández-Calviño, D.; Arias-Estévez, M.; Núñez-Delgado, A.; Álvarez-Rodríguez, E.; Fernández-Sanjurjo, M.J. Retention of the Antibiotic Cefuroxime onto Agricultural and Forest Soils. Appl. Sci. 2021, 11, 4663. [Google Scholar] [CrossRef]
- Guitián, F.; Carballas, T. Técnicas de Análise de Solos (Soil Analysis Techniques); Editorial Pico Sacro: Santiago de Compostela, Spain, 1976. [Google Scholar]
- Olsen, S.R.; Sommers, L.E. Phosphorus. In Methods of Soil Analysis: Part 2 Chemical and Microbiological Properties; Page, A.L., Miller, R.H., Keeney, D.R., Eds.; SSSA, Inc.: Madinson, WI, USA, 1982. [Google Scholar]
- Ayawei, N.; Ebelegi, A.N.; Wankasi, D. Modelling and Interpretation of Adsorption Isotherms. J. Chem. 2017, 2017, 11–23. [Google Scholar] [CrossRef]
- Núñez-Delgado, A. Research on environmental aspects of retention/release of pollutants in soils and sorbents. What should be next? Environ. Res. 2024, 251, 118593. [Google Scholar] [CrossRef]
- Núñez-Delgado, A. Avoiding basic mistakes when programming the use of artificial intelligence in soil and environmental science research. Sci. Total Environ. 2024, 934, 173310. [Google Scholar] [CrossRef] [PubMed]
- Cela-Dablanca, R.; Nebot, C.; Rodríguez-López, L.; Fernández-Calviño, D.; Arias-Estévez, M.; Núñez-Delgado, A.; Fernández-Sanjurjo, M.J.; Álvarez-Rodríguez, E. Efficacy of Different Waste and By-Products from Forest and Food Industries in the Removal/Retention of the Antibiotic Cefuroxime. Processes 2021, 9, 1151. [Google Scholar] [CrossRef]
- Pavlović, D.M.; Čop, K.T.; Barbir, V.; Gotovuša, M.; Lukač, I.; Lozančić, A.; Runje, M. Sorption of cefdinir, memantine, praziquantel and trimethoprim in sediment and soil samples. Environ. Sci. Pollut. Res. 2022, 29, 66841–66857. [Google Scholar] [CrossRef]
- El-Shaboury, S.R.; Saleh, G.A.; Mohmed, F.A.; Rageh, A.H. Analysis of cephalosporin antibiotics. J. Pharmaceut. Biomed. Anal. 2007, 45, 1–19. [Google Scholar] [CrossRef]
- Lin, C.E.; Chen, H.W.; Lin, E.C.; Lin, K.S.; Huang, H.C. Optimization of separation and migration behavior of cephalosporins in capillary zone electrophoresis. J. Chromotogr. A 2000, 879, 197–210. [Google Scholar] [CrossRef]
- Ribeiro, A.R.; Schmidt, T.C. Determination of acid dissociation constants (pKa) of cephalosporin antibiotics: Computational and experimental approaches. Chemosphere 2017, 169, 524–533. [Google Scholar] [CrossRef]
- Legnoverde, M.S.; Simonetti, S.; Basaldella, E.I. Influence of pH on cephalexin adsorption onto SBA-15 mesoporous silica: Theoretical and experimental study. Appl. Surf. Sci. 2014, 300, 37–42. [Google Scholar] [CrossRef]
- Peng, X.; Hu, F.; Lam, F.L.; Wang, Y.; Liu, Z.; Dai, H. Adsorption behavior and mechanisms of ciprofloxacin from aqueous solution by ordered mesoporous carbon and bamboo-based carbon. J. Colloid Interface Sci. 2015, 460, 349–360. [Google Scholar] [CrossRef] [PubMed]
- Imanipoor, J.; Mohammadi, M. Porous Aluminum-Based Metal–Organic Framework–Aminoclay Nanocomposite: Sustainable Synthesis and Ultrahigh Sorption of Cephalosporin Antibiotics. Langmuir 2022, 38, 5323–5954. [Google Scholar] [CrossRef] [PubMed]
- Cela-Dablanca, R.; Barreiro, A.; Rodríguez-López, L.; Santás-Miguel, V.; Arias-Estévez, M.; Fernández-Sanjurjo, M.J.; Álvarez-Rdoríguez, E.; Núñez-Delgado, A. Amoxicillin Retention/Release in Agricultural Soils Amended with Different Bio-Adsorbent Materials. Materials 2022, 15, 3200. [Google Scholar] [CrossRef] [PubMed]
- Proctor, A.; Toro-Vazquez, J.F. The Freundlich isotherm in studying adsorption in oil processing. JAOCS 1996, 73, 1627–1633. [Google Scholar] [CrossRef]
- Tamer, A.; Elbana, H.; Selim, M.; Akrami, N.; Newman, A.; Shaheen, S.M.; Rinklebe, J. Freundlich sorption parameters for cadmium, copper, nickel, lead, and zinc for different soils: Influence of kinetics. Geoderma 2018, 324, 80–88. [Google Scholar] [CrossRef]
- Foo, K.Y.; Hameed, B.H. Insights into the modeling of adsorption isotherm systems. Chem. Eng. J. 2010, 156, 2–10. [Google Scholar] [CrossRef]
- Jafari, M.; Aghamiri, S.F.; Khaghanic, G. Batch Adsorption of Cephalosporins Antibiotics from Aqueous Solution by Means of Multi-Walled Carbon Nanotubes. World Appl. Sci. J. 2011, 14, 1642–1650. [Google Scholar]
- Behnajady, M.A.; Bimeghdar, S. Synthesis of mesoporous NiO nanoparticles and their application in the adsorption of Cr (VI). Chem. Eng. J. 2014, 239, 105–113. [Google Scholar] [CrossRef]
- Awwad, M.; Al-Rimawi, F.; Dajani, K.J.; Khamis, M.; Nir, S.; Karaman, R. Removal of amoxicillin and cefuroxime axetil by advanced membranes technology, activated carbon and micelle-clay complex. Environ Technol. 2015, 36, 2069. [Google Scholar] [CrossRef] [PubMed]
- Ma, X.; Duan, D.; Chen, J.; Xie, B. Structure and Adsorption Performance of Cationic Entermorpha prolifera Polysaccharide-Based Hydrogel for Typical Pollutants: Methylene Blue, Cefuroxime, and Cr (VI). Gels 2022, 8, 546. [Google Scholar] [CrossRef] [PubMed]
- Acelas, N.; Lopera, S.M.; Porras, J.; Torres-Palma, R.A. Evaluating the Removal of the Antibiotic Cephalexin from Aqueous Solutions Using an Adsorbent Obtained from Palm Oil Fiber. Molecules 2021, 26, 3340. [Google Scholar] [CrossRef]
- Samarghandi, M.R.; Al-Musawi, T.J.; Mohseni-Bandpi, A.; Zarrabi, M. Adsorption of cephalexin from aqueous solution using natural zeolite and zeolite coated with manganese oxide nanoparticles. J. Mol. Liq. 2015, 211, 431–441. [Google Scholar] [CrossRef]




| Parameter | Unit | Pine Bark | Oak Ash | Mussel Shell |
|---|---|---|---|---|
| C | % | 48.70 | 13.23 | 11.43 |
| N | % | 0.08 | 0.22 | 0.21 |
| C/N | 608.75 | 60.14 | 55.65 | |
| pHwater | 3.99 | 11.31 | 9.39 | |
| pHKCl | 3.42 | 13.48 | 9.04 | |
| Cae | cmolc kg−1 | 5.38 | 95.0 | 24.75 |
| Mge | cmolc kg−1 | 2.70 | 3.26 | 0.72 |
| Nae | cmolc kg−1 | 0.46 | 12.17 | 4.37 |
| Ke | cmolc kg−1 | 4.60 | 250.65 | 0.38 |
| Ale | cmolc kg−1 | 1.78 | 0.07 | 0.03 |
| eCEC | cmolc kg−1 | 14.92 | 361.15 | 30.25 |
| Sat Al | % | 11.93 | 0.02 | 0.10 |
| Available P | mg kg−1 | 70.45 | 462.83 | 54.17 |
| NaT | mg kg−1 | 68.92 | 2950 | 5174.00 |
| MgT | mg/kg | 473.55 | 26,171 | 980.66 |
| AlT | mg kg−1 | 561.50 | 14,966 | 433.24 |
| KT | mg kg−1 | 737.84 | 99,515 | 202.07 |
| CaT | mg kg−1 | 2318.81 | 136,044 | 280,168 |
| CrT | mg kg−1 | 1.88 | 36.28 | 4.51 |
| MnT | mg kg−1 | 30.19 | 10554 | 33.75 |
| FeT | mg kg−1 | 169.78 | 12,081 | 3535 |
| CoT | mg kg−1 | 0.20 | 17.25 | 1.02 |
| NiT | mg kg−1 | 1.86 | 69.25 | 8.16 |
| CuT | mg kg−1 | <LD | 146.33 | 6.72 |
| ZnT | mg kg−1 | 6.98 | 853.00 | 7.66 |
| AsT | mg kg−1 | <LD | 8.36 | 1.12 |
| CdT | mg kg−1 | 0.13 | 19.93 | 0.07 |
| Alo | mg kg−1 | 315.0 | 8323 | 178.33 |
| Feo | mg kg−1 | 74.0 | 4233 | 171.0 |
| Freundlich | Langmuir | Linear Model | |||||||||||
|---|---|---|---|---|---|---|---|---|---|---|---|---|---|
| Sample | KF | Error | n | Error | R² | KL | Error | qm | Error | R² | Kd | Error | R² |
| VP1 | 10.877 | 3.319 | 0.458 | 0.104 | 0.895 | 0.15 | 0.095 | 58.473 | 11.744 | 0.876 | 2.018 | 0.266 | 0.693 |
| VP1-A | 22.781 | 17.403 | 1.345 | 0.826 | 0.661 | - | - | - | - | - | 30.783 | 5.082 | 0.648 |
| VP1-MS | 41.676 | 3.52 | 1.483 | 0.142 | 0.982 | - | - | - | - | - | 52.343 | 3.516 | 0.932 |
| VP1-PB | 22.04 | 10.863 | 0.308 | 0.195 | 0.49 | - | - | 65.554 | 20.877 | 0.608 | - | - | - |
| VP2 | 6.365 | 3.11 | 0.815 | 0.18 | 0.907 | - | - | 225.213 | 188.987 | 0.912 | 3.838 | 0.323 | 0.892 |
| VP2-A | 120.162 | 2.58 | 0.909 | 0.048 | 0.996 | 0.129 | 0.118 | 1053.162 | 875.508 | 0.995 | 122.871 | 2.444 | 0.994 |
| VP2-MS | 122.858 | 12.836 | 0.959 | 0.235 | 0.916 | - | - | - | - | - | 124.267 | 9.223 | 0.916 |
| VP2-PB | 10.765 | 1.548 | 0.499 | 0.049 | 0.98 | 0.13 | 0.03 | 67.645 | 5.521 | 0.983 | 2.345 | 0.241 | 0.811 |
| C1 | 5.135 | 0.958 | 0.881 | 0.068 | 0.988 | 0.013 | 0.008 | 341.167 | 174.058 | 0.989 | 3.699 | 0.122 | 0.983 |
| C1-A | 137.408 | 7.386 | 0.52 | 0.054 | 0.979 | 2.742 | 0.896 | 174.487 | 24.936 | 0.973 | 169.606 | 18.516 | 0.824 |
| C1-MS | 122.905 | 14.431 | 0.329 | 0.126 | 0.904 | - | - | 211.46 | 172.105 | 0.848 | 169.582 | 18.416 | 0.826 |
| C1-PB | - | - | - | - | - | - | - | - | - | - | 9.249 | 1.523 | 0.671 |
| VO | 21.681 | 4.085 | 0.685 | 0.096 | 0.948 | 0.113 | 0.037 | 193.42 | 37.656 | 0.975 | 11.48 | 1.085 | 0.863 |
| VO-A | 52.829 | 16.977 | - | - | 0.359 | - | - | - | - | - | 43.309 | 11.013 | 0.314 |
| VO-MS | 33.059 | 15.12 | 0.979 | 0.456 | 0.823 | - | - | - | - | - | 32.377 | 3.568 | 0.823 |
| VO-PB | - | - | 1.285 | 0.754 | 0.495 | - | - | - | - | - | 7.981 | 1.72 | 0.487 |
| C2 | 22.027 | 11.843 | 0.410 | 0.225 | 0.57 | - | - | 80.688 | 28.959 | 0.6 | 4.735 | 1.169 | 0.328 |
| C2-A | 132.409 | 31.22 | 0.511 | 0.408 | 0.77 | - | - | - | - | - | 161.564 | 22 | 0.727 |
| C2-MS | 131.114 | 11.877 | 0.490 | 0.104 | 0.94 | 3.548 | 1.866 | 153.98 | 29.786 | 0.94 | 160.503 | 18.222 | 0.807 |
| C2-PB | - | - | 1.324 | 0.65 | 0.671 | - | - | - | - | - | 7.276 | 1.218 | 0.655 |
| C3 | 3.219 | 0.817 | 0.985 | 0.088 | 0.985 | - | - | - | - | - | 3.084 | 0.095 | 0.985 |
| C3-A | - | - | - | - | - | - | - | - | - | - | - | - | - |
| C3-MS | - | - | - | - | - | - | - | - | - | - | - | - | - |
| C3-PB | 37.349 | 18.209 | 0.330 | 0.258 | 0.661 | - | - | 83.349 | 29.002 | 0.624 | 9.619 | 1.828 | 0.517 |
| Freundlich | Langmuir | Linear Model | |||||||||||
|---|---|---|---|---|---|---|---|---|---|---|---|---|---|
| KF | Error | n | Error | R² | KL | Error | qm | Error | R² | Kd | Error | R² | |
| VP1 | 10.877 | 3.319 | 0.458 | 0.104 | 0.895 | 0.150 | 0.095 | 58.473 | 11.744 | 0.876 | 2.018 | 0.266 | 0.693 |
| VP1-A | 148.757 | 10.363 | 0.714 | 0.094 | 0.979 | 0.848 | 0.567 | 308.951 | 140.343 | 0.972 | 174.349 | 9.055 | 0.958 |
| VP1-MS | 129.954 | 8.905 | 0.592 | 0.102 | 0.973 | 1.635 | 1.073 | 200.034 | 63.88 | 0.961 | 149.227 | 11.307 | 0.933 |
| VP1-PB | 14.658 | 4.505 | 0.455 | 0.112 | 0.879 | 0.157 | 0.071 | 76.091 | 12.693 | 0.918 | 2.922 | 0.463 | 0.606 |
| VP2 | 6.365 | 3.11 | 0.815 | 0.18 | 0.907 | - | - | - | - | - | 3.838 | 0.323 | 0.892 |
| VP2-A | - | - | - | - | - | - | - | - | - | - | - | - | - |
| VP2-MS | - | - | - | - | - | - | - | - | - | - | - | - | - |
| VP2-PB | 13.248 | 2.902 | 0.473 | 0.078 | 0.947 | 0.169 | 0.056 | 70.367 | 7.659 | 0.962 | 2.79 | 0.334 | 0.754 |
| C1 | 5.133 | 0.958 | 0.881 | 0.068 | 0.988 | 0.013 | 0.008 | 341.167 | 174.058 | 0.989 | 3.699 | 0.122 | 0.983 |
| C1-A | 140.678 | 12.98 | 0.511 | 0.091 | 0.951 | 3.499 | 1.444 | 161.637 | 27.525 | 0.949 | 183.897 | 20.641 | 0.814 |
| C1-MS | 112.159 | 8.731 | 0.414 | 0.107 | 0.935 | 2.905 | 1.403 | 151.631 | 26.71 | 0.935 | 116.45 | 15.809 | 0.737 |
| C1-PB | 5.254 | 1.399 | 0.691 | 0.088 | 0.972 | 0.023 | 0.015 | 134.903 | 61.572 | 0.961 | 2.036 | 0.121 | 0.937 |
| VO | 21.681 | 4.085 | 0.685 | 0.096 | 0.948 | 0.113 | 0.037 | 193.42 | 37.656 | 0.975 | 11.48 | 1.085 | 0.863 |
| VO-A | 22.164 | 5.979 | 0.550 | 0.123 | 0.887 | 0.169 | 0.089 | 128.494 | 30.869 | 0.909 | 7.728 | 1.082 | 0.71 |
| VO-MS | 23.636 | 6.952 | 0.591 | 0.147 | 0.918 | - | - | 162.823 | 89.866 | 0.9 | 10.285 | 0.928 | 0.872 |
| VO-PB | 8.756 | 1.668 | 0.764 | 0.073 | 0.986 | 0.018 | 0.016 | 326.384 | 235.677 | 0.976 | 4.728 | 0.196 | 0.971 |
| C2 | 22.027 | 11.843 | 0.41 | 0.225 | 0.57 | - | - | 80.688 | 28.959 | 0.6 | 4.735 | 1.169 | 0.328 |
| C2-A | - | - | - | - | - | - | - | - | - | - | - | - | - |
| C2-MS | 53.205 | 27.298 | - | - | 0.402 | - | - | - | - | - | 571.086 | 153.561 | 0.229 |
| C2-PB | 18.948 | 5.349 | 0.361 | 0.104 | 0.84 | 0.261 | 0.107 | 67.821 | 8.438 | 0.93 | 2.675 | 0.593 | 0.304 |
| C3 | 3.219 | 0.817 | 0.985 | 0.088 | 0.985 | - | - | - | - | - | 3.084 | 0.095 | 0.985 |
| C3-A | - | - | - | - | - | - | - | - | - | - | - | - | - |
| C3-MS | - | - | - | - | - | - | - | - | - | - | - | - | - |
| C3-PB | 26.541 | 5.886 | 0.544 | 0.112 | 0.94 | 0.158 | 0.085 | 150.68 | 40.312 | 0.944 | 10.352 | 1.104 | 0.824 |
| Bioadsorbent | Antibiotic | Initial Concentration | Adsorption (mg g−1) | Reference |
|---|---|---|---|---|
| Activated carbon | Cefuroxime | 20 mg L−1 | 26.31 | Awwad et al., 2015 [74] |
| Micelle-clay complex | Cefuroxime | 20 ppm | 31.25 | Awwad et al., 2015 [74] |
| Entermorpha prolifera polysaccharide-based hydrogel | Cefuroxime | 50 mg L−1 | 5 | Ma et al., 2022 [75] |
| Entermorpha prolifera polysaccharide-based hydrogel | Cefuroxime | 400 mg L−1 | 25–30 | Ma et al., 2022 [75] |
| Fiber residues of palm oil | Cephalexin | 20 mg L−1 | 57.47 | Acelas et al., 2021 [76] |
| Natural zeolite | Cephalexin | 10 mg L−1 | 16.1 | Samarghandi, 2015 [77] |
| MnO zeolite | Cephalexin | 10 mg L−1 | 24.5 | Samarghandi, 2015 [77] |
| Pine bark | Cefuroxime | 21 mg L−1 | 0.037 | This study |
| Mussel shell | Cefuroxime | 21 mg L−1 | 0.052 | This study |
| Oak ash | Cefuroxime | 21 mg L−1 | 0.052 | This study |
Disclaimer/Publisher’s Note: The statements, opinions and data contained in all publications are solely those of the individual author(s) and contributor(s) and not of MDPI and/or the editor(s). MDPI and/or the editor(s) disclaim responsibility for any injury to people or property resulting from any ideas, methods, instructions or products referred to in the content. |
© 2024 by the authors. Licensee MDPI, Basel, Switzerland. This article is an open access article distributed under the terms and conditions of the Creative Commons Attribution (CC BY) license (https://creativecommons.org/licenses/by/4.0/).
Share and Cite
Cela-Dablanca, R.; Míguez-González, A.; Rodríguez-López, L.; Barreiro, A.; Arias-Estévez, M.; Fernández-Sanjurjo, M.J.; Álvarez-Rodríguez, E.; Núñez-Delgado, A. Removal of Cefuroxime from Soils Amended with Pine Bark, Mussel Shell and Oak Ash. Processes 2024, 12, 1335. https://doi.org/10.3390/pr12071335
Cela-Dablanca R, Míguez-González A, Rodríguez-López L, Barreiro A, Arias-Estévez M, Fernández-Sanjurjo MJ, Álvarez-Rodríguez E, Núñez-Delgado A. Removal of Cefuroxime from Soils Amended with Pine Bark, Mussel Shell and Oak Ash. Processes. 2024; 12(7):1335. https://doi.org/10.3390/pr12071335
Chicago/Turabian StyleCela-Dablanca, Raquel, Ainoa Míguez-González, Lucía Rodríguez-López, Ana Barreiro, Manuel Arias-Estévez, María J. Fernández-Sanjurjo, Esperanza Álvarez-Rodríguez, and Avelino Núñez-Delgado. 2024. "Removal of Cefuroxime from Soils Amended with Pine Bark, Mussel Shell and Oak Ash" Processes 12, no. 7: 1335. https://doi.org/10.3390/pr12071335
APA StyleCela-Dablanca, R., Míguez-González, A., Rodríguez-López, L., Barreiro, A., Arias-Estévez, M., Fernández-Sanjurjo, M. J., Álvarez-Rodríguez, E., & Núñez-Delgado, A. (2024). Removal of Cefuroxime from Soils Amended with Pine Bark, Mussel Shell and Oak Ash. Processes, 12(7), 1335. https://doi.org/10.3390/pr12071335

