A Physics-Based Tweedie Exponential Dispersion Process Model for Metal Fatigue Crack Propagation and Prognostics
Abstract
1. Introduction
- (1)
- A physics-based model effectively integrating the Paris Law with the TEDP model is developed, which enhances the adaptability and accuracy of the model in engineering applications by introducing various physical properties and degradation uncertainties.
- (2)
- A novel parameter estimation method is introduced, increasing the mathematical traceability of the model and ensuring robustness in application to diverse types of degradation data.
- (3)
- We derive an analytic lifetime distribution, which offers a comprehensive depiction of degradation uncertainty, providing a more nuanced approach to lifetime estimation compared to point estimates.
2. Foundations
2.1. Tweedie Exponential-Dispersion Distribution
- (1)
- ;
- (2)
- has steady and independent increments;
- (3)
- The increments of , denoted as , obey exponential dispersion distribution, i.e., . Its probability density can be expressed as
2.2. Paris Law of Crack Propagation
3. The Physics-Based TEDP Model for Crack Growth
3.1. The Physics-Based TEDP Model Based on Paris Law
- (1)
- ;
- (2)
- has steady and independent increments;
- (3)
- The increment of cycle number follows the TED distribution.
3.2. The PDF Based on Saddle-Joint Approximation
3.3. Maximum Likelihood Estimation
4. Reliability Analysis
5. Case Study
5.1. Model Verification and Parameter Estimation
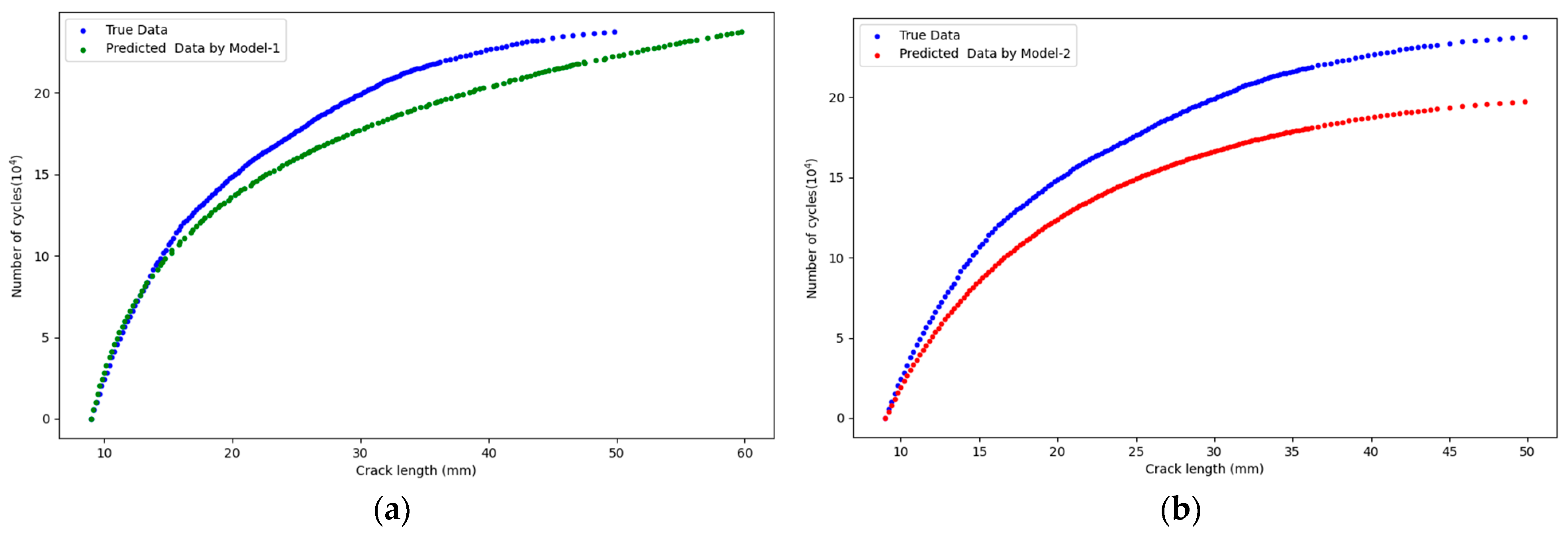
5.2. Efficiency Comparison of Different Models
5.3. Discussion
6. Conclusions
- (1)
- Enhanced flexibility and adaptability. Adjusting the parameters of the TEDP model through the Paris Law can diversify the flexibility and adaptability of the proposed model, which is of great significance in reflecting the actual crack propagation process given its nonlinear and random characteristics. Both the physical and data-based information types relating to fatigue crack propagation are fully utilized.
- (2)
- Mathematical transparency and traceability. The model is further strengthened by integrating the MLE estimation of saddle-point approximation techniques. These methods together endow the physics-based TEDP model with extraordinary mathematical transparency and traceability. The effectiveness of the framework is verified by case study.
- (3)
- Quantitative analysis of lifetime and reliability. The analytic expressions of the distributions of lifetime and product reliability are derived, which can not only provide predictions of fatigue lifetime, but also quantify the uncertainty of crack propagation.
Author Contributions
Funding
Data Availability Statement
Acknowledgments
Conflicts of Interest
Appendix A
- (1)
- is 1 at t = 0. This condition is the basic requirement of the characteristic function (that is, the characteristic function is 1 at the origin).
- (2)
- is an analytic function on the complex plane. This condition guarantees the existence and uniqueness of the characteristic function.
- (1)
- .
- (2)
- has steady and independent increments.
- (3)
- Each increment obeys the Tweedie exponential distribution, as in Equation (1).
Appendix B
References
- Wang, R.; Xu, J.; Zhang, W.; Gao, J.; Li, Y.; Chen, F. Reliability analysis of complex electromechanical systems: State of the art, challenges, and prospects. Qual. Reliab. Eng. Int. 2022, 38, 3935–3969. [Google Scholar] [CrossRef]
- Campbell, F. Elements of Metallurgy and Engineering Alloys; ASM International: Almere, The Netherlands, 2008. [Google Scholar]
- Ellis, B.; Heyns, P.S.; Schmidt, S. A hybrid framework for remaining useful life estimation of turbomachine rotor blades. Mech. Syst. Signal Process. 2022, 170, 108805. [Google Scholar] [CrossRef]
- Khan, A.; Azad, M.M.; Sohail, M.; Kim, H.S. A Review of Physics-based Models in Prognostics and Health Management of Laminated Composite Structures. Int. J. Precis. Eng. Manuf. Technol. 2023, 10, 1615–1635. [Google Scholar] [CrossRef]
- Pimenov, D.Y.; da Silva, L.R.; Ercetin, A.; Der, O.; Mikolajczyk, T.; Giasin, K. State-of-the-art review of applications of image processing techniques for tool condition monitoring on conventional machining processes. Int. J. Adv. Manuf. Technol. 2024, 130, 57–85. [Google Scholar] [CrossRef]
- Serin, G.; Sener, B.; Ozbayoglu, A.M.; Unver, H.O. Review of tool condition monitoring in machining and opportunities for deep learning. Int. J. Adv. Manuf. Technol. 2020, 109, 953–974. [Google Scholar] [CrossRef]
- Pugno, N.; Ciavarella, M.; Cornetti, P.; Carpinteri, A. A generalized Paris’ law for fatigue crack growth. J. Mech. Phys. Solids 2006, 54, 1333–1349. [Google Scholar] [CrossRef]
- Baral, T.; Afshari, S.S.; Liang, X. Residual life prediction of aluminum alloy plates under cyclic loading using an integrated prognosis method. Trans. Can. Soc. Mech. Eng. 2023, 47, 467–474. [Google Scholar] [CrossRef]
- Yang, L.; Zhang, J.; Guo, Y.; Wang, P. A Bayesian-based Reliability Estimation Approach for Corrosion Fatigue Crack Growth Utilizing the Random Walk. Qual. Reliab. Eng. Int. 2016, 32, 2519–2535. [Google Scholar] [CrossRef]
- Nejad, R.M.; Liu, Z.; Ma, W.; Berto, F. Fatigue reliability assessment of a pearlitic Grade 900A rail steel subjected to multiple cracks. Eng. Fail. Anal. 2021, 128, 105625. [Google Scholar] [CrossRef]
- Kuncham, E.; Sen, S.; Kumar, P.; Pathak, H. An online model-based fatigue life prediction approach using extended Kalman filter. Theor. Appl. Fract. Mech. 2021, 117, 103143. [Google Scholar] [CrossRef]
- Gao, Y.; Li, L.; Zhang, Y. Modeling Crack Propagation in Bituminous Binders under a Rotational Shear Fatigue Load using Pseudo J-Integral Paris’ Law. Transp. Res. Rec. J. Transp. Res. Board 2020, 2674, 94–103. [Google Scholar] [CrossRef]
- An, D.; Kim, N.H.; Choi, J.-H. Practical options for selecting data-driven or physics-based prognostics algorithms with reviews. Reliab. Eng. Syst. Saf. 2015, 133, 223–236. [Google Scholar] [CrossRef]
- Wang, Y.; Huang, Y.; Liao, W. Degradation analysis on trend gamma process. Qual. Reliab. Eng. Int. 2022, 38, 941–956. [Google Scholar] [CrossRef]
- Meeker, W.; Escobar, L.; Lu, C. Accelerated degradation tests: Modeling and analysis. Technometrics 1998, 40, 89–99. [Google Scholar] [CrossRef]
- Yuan, X.-X. Pandey A nonlinear mixed-effects model for degradation data obtained from in-service inspections. Reliab. Eng. Syst. Saf. 2009, 94, 509–519. [Google Scholar] [CrossRef]
- Lawless, J.; Crowder, M. Covariates and random effects in a gamma process model with application to degradation and failure. Lifetime Data Anal. 2004, 10, 213–227. [Google Scholar] [CrossRef] [PubMed]
- Ye, Z.-S.; Xie, M.; Tang, L.-C.; Chen, N. Semiparametric Estimation of Gamma Processes for Deteriorating Products. Technometrics 2014, 56, 504–513. [Google Scholar] [CrossRef]
- Peng, W.; Li, Y.-F.; Yang, Y.-J.; Zhu, S.-P.; Huang, H.-Z. Bivariate analysis of incomplete degradation observations based on inverse Gaussian processes and copulas. IEEE Trans. Reliab. 2016, 65, 624–639. [Google Scholar] [CrossRef]
- Chen, L.; Huang, T.; Zhou, H. Stochastic Modeling of Metal Fatigue Crack Growth Using Proportional Paris Law and Inverse Gaussian Process. Eng. Mech. 2021, 38, 238–247. [Google Scholar]
- Wang, X. Wiener processes with random effects for degradation data. J. Multivar. Anal. 2010, 101, 340–351. [Google Scholar] [CrossRef]
- Peng, C.-Y. Inverse Gaussian processes with random effects and explanatory variables for degradation data. Technometrics 2015, 57, 100–111. [Google Scholar] [CrossRef]
- Tweedie, M. An index which distinguishes between some important exponential families. In Proceedings of the Indian Statistical Institute Golden Jubilee International Conference, Indian Statistical Institute, Calcutta, India, 17–20 December 1984; pp. 579–604. [Google Scholar]
- Sen, A.; Jorgensen, B. The Theory of Dispersion Models. Technometrics 1999, 41, 177. [Google Scholar] [CrossRef]
- Yan, W.; Zhang, S.; Liu, W.; Yu, Y. Objective Bayesian Estimation for Tweedie Exponential Dispersion Process. Mathematics 2021, 9, 2740. [Google Scholar] [CrossRef]
- Tseng, S.; Lee, I. Optimum Allocation Rule for Accelerated Degradation Tests with a Class of Exponential-Dispersion Degradation Models. Technometrics 2016, 58, 244–254. [Google Scholar] [CrossRef]
- Hong, L.; Ye, Z. When is acceleration unnecessary in a degradation test? Stat. Sin. 2017, 27, 1461–1483. [Google Scholar]
- Duan, F.; Wang, G. Exponential-dispersion degradation process models with random effects and covariates. IEEE Trans. Reliab. 2018, 67, 1128–1142. [Google Scholar] [CrossRef]
- Chen, Z.; Pan, E.; Xia, T.; Li, Y. Optimal degradation-based burn-in policy using Tweedie exponential-dispersion process model with measurement errors. Reliab. Eng. Syst. Saf. 2019, 195, 106748. [Google Scholar] [CrossRef]
- Chen, Z.; Xia, T.; Li, Y.; Pan, E. Tweedie exponential dispersion processes for degradation modeling, prognostic, and accelerated degradation test planning. IEEE Trans. Reliab. 2019, 69, 887–902. [Google Scholar] [CrossRef]
- Chen, Z.; Xia, T.; Li, Y.; Pan, E. Random-effect models for degradation analysis based on nonlinear Tweedie exponential-dispersion processes. IEEE Trans. Reliab. 2021, 71, 47–62. [Google Scholar] [CrossRef]
- Duan, F.; Wang, G. Generalized exponential-dispersion process model for degradation analysis under nonlinear condition. Qual. Reliab. Eng. Int. 2021, 38, 957–970. [Google Scholar] [CrossRef]
- Yan, W.; Riahi, H.; Benzarti, K.; Chlela, R.; Curtil, L.; Bigaud, D. Durability and reliability estimation of flax fiber reinforced composites using tweedie exponential dispersion degradation process. Math. Probl. Eng. 2021, 2021, 6629637. [Google Scholar] [CrossRef]
- Zhou, S.; Xu, A. Exponential dispersion process for degradation analysis. IEEE Trans. Reliab. 2019, 68, 398–409. [Google Scholar] [CrossRef]
- Ding, Y.; Zhu, R.; Peng, W.; Xie, M. Degradation analysis with nonlinear exponential-dispersion process: Bayesian offline and online perspectives. Qual. Reliab. Eng. Int. 2022, 38, 3844–3866. [Google Scholar] [CrossRef]
- Yan, B.; Ma, X.; Huang, G.; Zhao, Y. Two-stage physics-based Wiener process models for online RUL prediction in field vibration data. Mech. Syst. Signal Process. 2020, 152, 107378. [Google Scholar] [CrossRef]
- Jorgensen, B. Exponential Dispersion Models. J. R. Stat. Soc. Ser. B Stat. Methodol. 1987, 49, 127–145. [Google Scholar]
- Paris, P.; Erdogan, F. A Critical Analysis of Crack Propagation Laws. J. Basic Eng. 1963, 85, 528–533. [Google Scholar] [CrossRef]
- Cavallini, M. A statistical analysis of fatigue crack growth in a 2091 Al Cu Li alloy. Int. J. Fatigue 1995, 17, 135–139. [Google Scholar] [CrossRef]
- Bergner, F.; Zouhar, G. A new approach to the correlation between the coefficient and the exponent in the power law equation of fatigue crack growth. Int. J. Fatigue 2000, 22, 229–239. [Google Scholar] [CrossRef]
- Guida, M.; Penta, F. A gamma process model for the analysis of fatigue crack growth data. Eng. Fract. Mech. 2015, 142, 21–49. [Google Scholar] [CrossRef]
- Virkler, D.A.; Hillberry, B.M.; Goel, P.K. The statistical nature of fatigue crack propagation. J. Eng. Mater. Technol. 1979, 101, 148–153. [Google Scholar] [CrossRef]
- Birnbaum, Z.; Saunders, S. A New Family of Life Distributions. J. Appl. Probab. 1969, 6, 319–327. [Google Scholar] [CrossRef]
- Ditlevsen, O.; Olesen, R. Statistical analysis of the virkler data on fatigue crack growth. Eng. Fract. Mech. 1986, 25, 177–195. [Google Scholar] [CrossRef]










| The Distribution Form | ρ | The Distribution Form | ρ |
|---|---|---|---|
| Extremely stable | Gamma | ||
| Gaussian | Positive stable | ||
| Poisson | Inverse Gaussian | ||
| Compound Poisson | Positive stable |
| ρ | |
| ρ = 0 | |
| ρ = 1 | |
| ρ = 2 | |
| Step 1 | Set the initial value and the range of . |
| Step 2 | Set the iterative step size h. |
| Step 3 | Maximize the corresponding profile likelihood function. |
| Step 4 | Repeat Step 3, and get a likelihood function set |
| Step 5 | Select the largest value to obtain the MLE, |
| Loading Mode | R | |
|---|---|---|
| Compound Poisson | 0.2 | 24.14 Mpa |
| η | λ | ρ | q | ||||
|---|---|---|---|---|---|---|---|
| ε | m | C | d | 33.228 | 2.418 | 11.697 | 0.203 |
| 0.837 | 2.881 | 7.863 × 10−5 | 74.234 | ||||
| 1.2873 | |||||||
| Model | Estimates | lnθ | AIC | ||
|---|---|---|---|---|---|
| η | λ | ρ | |||
| Physics-based TEDP | 1.287 | 33.228 | 2.418 | 14,760.407 | −29024.8 |
| Physics-based WP | 1.287 | 20.039 | 0 | 12,712.825 | −25413.6 |
| Physics-based GP | 1.287 | 32.222 | 2 | 14,691.802 | −28996.6 |
| Physics-based IGP | 1.287 | 33.607 | 3 | 14,614.402 | −28357.3 |
| Model | Estimates of Parameters | RMSE | R2 |
|---|---|---|---|
| The proposed model | η = 1.287, λ = 33.228 ρ = 2.418, C = 7.863 × 10−5 m = 2.881 | 0.8919 | 0.9757 |
| Model-1 | η = 0.140, σB2 = 2.057 × 10−18 μa = −3.65 × 10−20, σα2 = 1.877 | - | 0.7319 |
| Model-2 | C = 8.03 × 10−5 m = 2.872 | 5.1338 | - |
Disclaimer/Publisher’s Note: The statements, opinions and data contained in all publications are solely those of the individual author(s) and contributor(s) and not of MDPI and/or the editor(s). MDPI and/or the editor(s) disclaim responsibility for any injury to people or property resulting from any ideas, methods, instructions or products referred to in the content. |
© 2024 by the authors. Licensee MDPI, Basel, Switzerland. This article is an open access article distributed under the terms and conditions of the Creative Commons Attribution (CC BY) license (https://creativecommons.org/licenses/by/4.0/).
Share and Cite
Yang, L.; Wang, Z.; Chen, Z.; Pan, E. A Physics-Based Tweedie Exponential Dispersion Process Model for Metal Fatigue Crack Propagation and Prognostics. Processes 2024, 12, 849. https://doi.org/10.3390/pr12050849
Yang L, Wang Z, Chen Z, Pan E. A Physics-Based Tweedie Exponential Dispersion Process Model for Metal Fatigue Crack Propagation and Prognostics. Processes. 2024; 12(5):849. https://doi.org/10.3390/pr12050849
Chicago/Turabian StyleYang, Lin, Zirong Wang, Zhen Chen, and Ershun Pan. 2024. "A Physics-Based Tweedie Exponential Dispersion Process Model for Metal Fatigue Crack Propagation and Prognostics" Processes 12, no. 5: 849. https://doi.org/10.3390/pr12050849
APA StyleYang, L., Wang, Z., Chen, Z., & Pan, E. (2024). A Physics-Based Tweedie Exponential Dispersion Process Model for Metal Fatigue Crack Propagation and Prognostics. Processes, 12(5), 849. https://doi.org/10.3390/pr12050849

