Study on the Fixation of Mulberry Leaf Tea in a Multiport Microwave System
Abstract
1. Introduction
2. Materials and Methods
2.1. Model Assumptions
- (1).
- The initial temperature of mulberry leaves is 20 °C and is uniformly distributed. Additionally, the temperature conduction during the continuous microwave mulberry leaf tea fixation process is considered isotropic, and the air temperature within the microwave fixation machine cavity is maintained at 20 °C.
- (2).
- During the fixation process of mulberry leaves, there is no additional heat transfer material other than the mulberry leaf itself, and the shape of the mulberry leaf does not change.
- (3).
- The metal waveguide and cavity wall of a continuous microwave fixer are assumed to be ideal electrical conductors.
2.2. Geometric Modeling
2.3. Governing Equation
2.4. Mulberry Leaf Dielectric Properties
2.5. Material Parameters
2.6. Experimental Systems Design
2.7. Results and Discussion
2.7.1. Effects on Electromagnetic Fields of Different Port Layouts
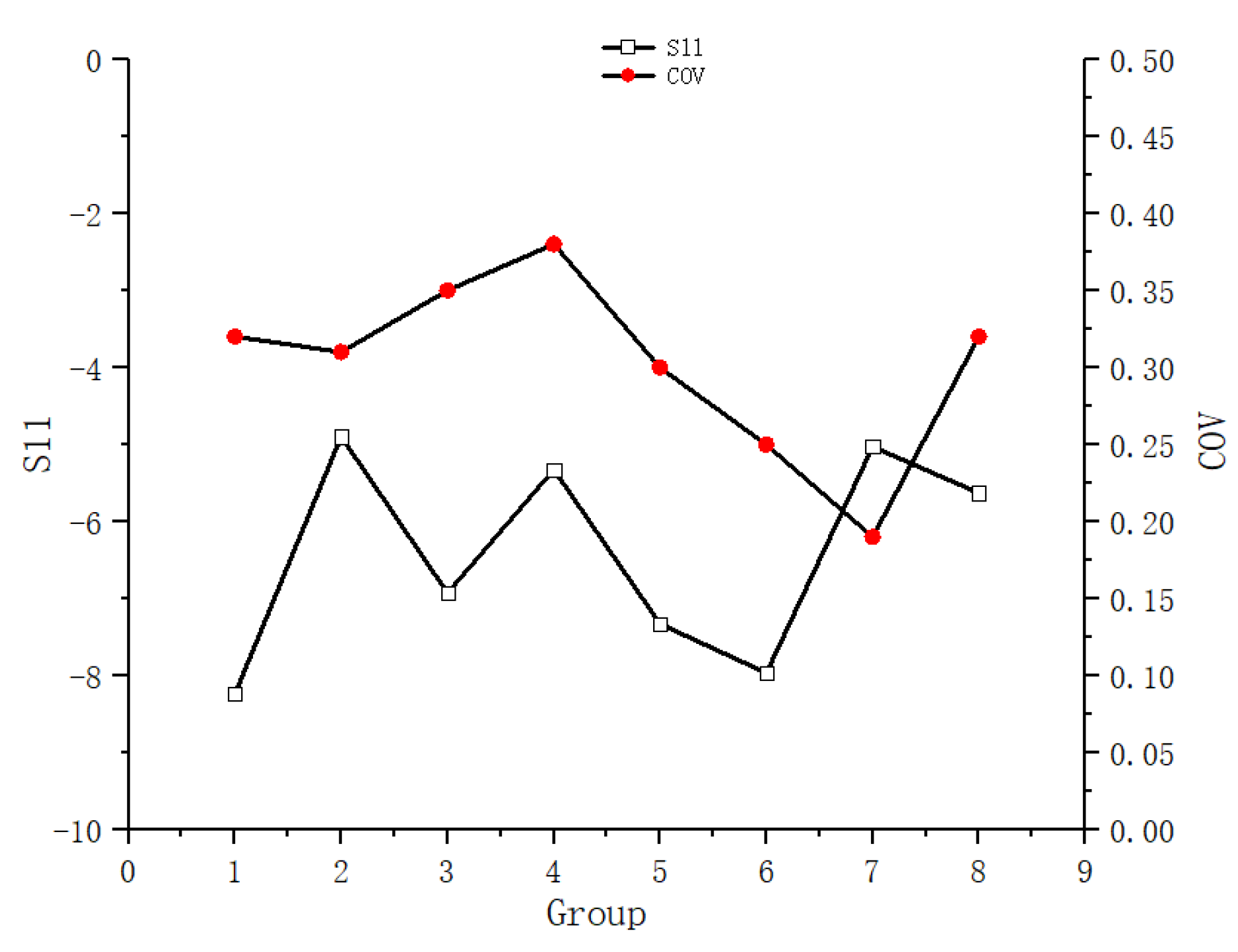
2.7.2. Effect of Port Position on the Uniformity of Mulberry Leaf Greening
2.7.3. Effect of Thickness on the Uniformity of Fixation of Mulberry Leaves
2.7.4. Fixed Experimental Results
3. Conclusions
Author Contributions
Funding
Data Availability Statement
Conflicts of Interest
References
- Sarkhel, S.; Manvi, D.; Ramachandra, C.T. Nutrition importance and health benefits of mulberry leaf extract: A review. J. Pharmacogn. Phytochem. 2020, 9, 689–695. [Google Scholar] [CrossRef]
- Srivastava, S.; Kapoor, R.; Thathola, A.; Srivastava, R.P. Nutritional quality of leaves of some genotypes of mulberry (Morus alba). Int. J. Food Sci. Nutr. 2006, 57, 305–313. [Google Scholar] [CrossRef] [PubMed]
- Kadam, R.A.; Dhumal, N.D.; Khyade, V.B. The Mulberry, Morus alba (L.): The medicinal herbal source for human health. Int. J. Curr. Microbiol. Appl. Sci. 2019, 8, 2941–2964. [Google Scholar] [CrossRef]
- Hazra, A.; Dasgupta, N.; Sengupta, C. Tea: A worthwhile, popular beverage crop since time immemorial. In Agronomic Crops: Volume 1: Production Technologies; Springer: Berlin/Heidelberg, Germany, 2019; pp. 507–531. Available online: https://link.springer.com/chapter/10.1007/978-981-32-9151-5_22 (accessed on 10 March 2024).
- Panyatip, P.; Padumanonda, T.; Yongram, C. Impact of tea processing on tryptophan, melatonin, phenolic and flavonoid contents in mulberry (Morus alba L.) leaves: Quantitative analysis by LC-MS/MS. Molecules 2022, 27, 4979. [Google Scholar] [CrossRef] [PubMed]
- Iqbal, A.; Murtaza, A.; Hu, W.; Ahmad, I.; Ahmed, A.; Xu, X. Activation and inactivation mechanisms of polyphenol oxidase during thermal and non-thermal methods of food processing. Food Bioprod. Process. 2019, 117, 170–182. [Google Scholar] [CrossRef]
- Xiang, R.; Cheng, J.; Zhu, M.; Liu, X. Effect of mulberry (Morus alba) polyphenols as antioxidant on physiochemical properties, oxidation and bio-safety in Cantonese sausages. LWT 2019, 116, 108504. [Google Scholar] [CrossRef]
- Ma, G.; Chai, X.; Hou, G.; Zhao, F.; Meng, Q. Phytochemistry, bioactivities and future prospects of mulberry leaves: A review. Food Chem. 2022, 372, 131335. [Google Scholar] [CrossRef] [PubMed]
- Feng, H.; Yin, Y.; Tang, J. Microwave Drying of Food and Agricultural Materials: Basics and Heat and Mass Transfer Modeling. Food Eng. Rev. 2012, 4, 89–106. [Google Scholar] [CrossRef]
- Rattanadecho, P.; Makul, N. Microwave-assisted drying: A review of the state-of-the-art. Dry. Technol. 2016, 34, 1–38. [Google Scholar] [CrossRef]
- Sharma, G.K.; Semwal, A.D.; Yadav, D.K. Infrared and Microwave Processing of Food. Food Sci. 2013, 239–256. [Google Scholar]
- Bai, H.; Jiang, W.; Yan, R.; Wang, F.; Jiao, L.; Dan, L.; Jia, P.; Xie, Y.; Wang, S. Comparing the effects of three processing methods on the efficacy of mulberry leaf tea: Analysis of bioactive compounds, bioavailability and bioactivity. Food Chem. 2023, 405, 134900. [Google Scholar] [CrossRef] [PubMed]
- Polaert, I.; Felix, M.C.; Fornasero, M.; Marcotte, S.; Buvat, J.; Estel, L. A greener process for isosorbide production: Kinetic study of the catalytic dehydration of pure sorbitol under microwave. Chem. Eng. J. 2013, 222, 228–239. [Google Scholar] [CrossRef]
- Feng, H.; Tang, J.; Cavalieri, R.P. Dielectric properties of dehydrated apples as affected by moisture and temperature. Trans. ASAE 2002, 45, 129. [Google Scholar] [CrossRef]
- Joardder, M.U.H.; Kumar, C.; Karim, M. A Food structure: Its formation and relationships with other properties. Crit. Rev. Food Sci. Nutr. 2017, 57, 1190–1205. [Google Scholar] [CrossRef] [PubMed]
- Shen, L.; Zhu, Y.; Liu, C.; Wang, L.; Liu, H.; Kamruzzaman, M.; Liu, C.; Zhang, Y.; Zheng, X. Modelling of moving drying process and analysis of drying characteristics for germinated brown rice under continuous microwave drying. Biosyst. Eng. 2020, 195, 64–88. [Google Scholar] [CrossRef]
- Siraorarnroj, S.; Kaewtrakulchai, N.; Fuji, M.; Eiad-ua, A. High performance nanoporous carbon from mulberry leaves (Morus alba L.) residues via microwave treatment assisted hydrothermal-carbonization for methyl orange adsorption: Kinetic, equilibrium and thermodynamic studies. Materialia 2022, 21, 101288. [Google Scholar] [CrossRef]
- Babu, A.K.; Kumaresan, G.; Raj, V.A.A.; Velraj, R. Review of leaf drying: Mechanism and influencing parameters, drying methods, nutrient preservation, and mathematical models. Renew. Sustain. Energy Rev. 2018, 90, 536–556. [Google Scholar] [CrossRef]
- Liu, C.; Xue, H.; Shen, L.; Liu, C.; Zheng, X.; Shi, J.; Xue, S. Improvement of anthocyanins rate of blueberry powder under variable power of microwave extraction. Sep. Purif. Technol. 2019, 226, 286–298. [Google Scholar] [CrossRef]
- Glay, D.; Lasri, T.; Mamouri, A. Nondestructive permittivity profile retrieval of non-planar objects by free space microwave techniques. Subsurf. Sens. Technol. Appl. 2001, 2, 391–409. [Google Scholar] [CrossRef]
- Jeon, S.; Kim, J.; Yang, D. Design of large-scale microwave cavity for uniform and efficient plastic heating. Polymers 2022, 14, 541. [Google Scholar] [CrossRef] [PubMed]
- Yi, Q.; Lan, J.; Ye, J.; Zhu, H.; Yang, Y.; Wu, Y.; Huang, K. A simulation method of coupled model for a microwave heating process with multiple moving elements. Chem. Eng. Sci. 2021, 231, 116339. [Google Scholar] [CrossRef]















| Parametric | Value | Unit |
|---|---|---|
| Microwave frequency | 2.45 | Ghz |
| Output power | 6 | KW |
| Temperature | 293.15 | T0 (K) |
| Density | 538.36 | kg/m3 |
| Water content of fresh leaves | 0.75 | 1 |
| Relative permeability | 1 | 1 |
| Porosity | 0.46 | 1 |
| Figure Sequence | a | b | c | d |
|---|---|---|---|---|
| Average electric field strength (V/m) | 10,602.31 | 9059.02 | 9797.04 | 10,721.25 |
| COV | 0.37 | 0.45 | 0.36 | 0.35 |
| Ports | 1 | 2 | 3 | 4 | 5 | 6 | |
|---|---|---|---|---|---|---|---|
| Group | |||||||
| 1 | −0.38 m | 0 m | 0 m | −0.38 m | −0.38 m | −0.38 m | |
| 2 | −0.33 m | 0.03 m | 0.03 m | −0.33 m | −0.28 m | −0.28 m | |
| 3 | −0.28 m | 0.08 m | 0.08 m | −0.28 m | −0.18 m | −0.18 m | |
| 4 | −0.23 m | 0.13 m | 0.13 m | −0.23 m | −0.08 m | −0.08 m | |
| 5 | −0.18 m | 0.18 m | 0.18 m | −0.18 m | 0.02 m | 0.02 m | |
| 6 | −0.13 m | 0.23 m | 0.23 m | −0.13 m | 0.12 m | 0.12 m | |
| 7 | −0.08 m | 0.28 m | 0.28 m | −0.08 m | 0.22 m | 0.22 m | |
| 8 | −0.03 m | 0.33 m | 0.33 m | −0.03 m | 0.32 m | 0.32 m | |
| Thicknesses (m) | 0.01 | 0.015 | 0.02 | 0.025 | 0.03 |
|---|---|---|---|---|---|
| Average temperature of the body (°C) | 236.49 | 252.02 | 210.77 | 186.98 | 183.99 |
| COV | 0.12 | 0.074 | 0.08 | 0.040 | 0.048 |
| Group | Speed (m/s) | Thicknesses (m) | Fixed Water Loss Rate (%) |
|---|---|---|---|
| 1 | 0.01 | 0.005 | 52.62 |
| 2 | 0.01 | 0.01 | 31.86 |
| 3 | 0.01 | 0.015 | 37.76 |
| 4 | 0.01 | 0.02 | 32.64 |
| 5 | 0.01 | 0.025 | 34.97 |
| 6 | 0.01 | 0.03 | 34.10 |
| 7 | 0.02 | 0.005 | 28.54 |
| 8 | 0.02 | 0.01 | 27.53 |
| 9 | 0.02 | 0.015 | 36.70 |
| 10 | 0.02 | 0.02 | 17.57 |
| 11 | 0.02 | 0.025 | 24.38 |
| 12 | 0.02 | 0.03 | 29.37 |
| 13 | 0.04 | 0.005 | 14.74 |
| 14 | 0.04 | 0.01 | 15.96 |
| 15 | 0.04 | 0.015 | 23.19 |
| 16 | 0.04 | 0.02 | 26.00 |
| 17 | 0.04 | 0.025 | 17.54 |
| 18 | 0.04 | 0.03 | 25.17 |
Disclaimer/Publisher’s Note: The statements, opinions and data contained in all publications are solely those of the individual author(s) and contributor(s) and not of MDPI and/or the editor(s). MDPI and/or the editor(s) disclaim responsibility for any injury to people or property resulting from any ideas, methods, instructions or products referred to in the content. |
© 2024 by the authors. Licensee MDPI, Basel, Switzerland. This article is an open access article distributed under the terms and conditions of the Creative Commons Attribution (CC BY) license (https://creativecommons.org/licenses/by/4.0/).
Share and Cite
He, T.; Li, F.; Hou, D.; Wang, L.; Gou, D.; Hong, T.; Tang, Z. Study on the Fixation of Mulberry Leaf Tea in a Multiport Microwave System. Processes 2024, 12, 701. https://doi.org/10.3390/pr12040701
He T, Li F, Hou D, Wang L, Gou D, Hong T, Tang Z. Study on the Fixation of Mulberry Leaf Tea in a Multiport Microwave System. Processes. 2024; 12(4):701. https://doi.org/10.3390/pr12040701
Chicago/Turabian StyleHe, Tao, Fengxiu Li, Desheng Hou, Lin Wang, Dezhi Gou, Tao Hong, and Zhengming Tang. 2024. "Study on the Fixation of Mulberry Leaf Tea in a Multiport Microwave System" Processes 12, no. 4: 701. https://doi.org/10.3390/pr12040701
APA StyleHe, T., Li, F., Hou, D., Wang, L., Gou, D., Hong, T., & Tang, Z. (2024). Study on the Fixation of Mulberry Leaf Tea in a Multiport Microwave System. Processes, 12(4), 701. https://doi.org/10.3390/pr12040701

