Abstract
Texture is an important indication of the quality of food products, and the analysis of texture involves the measurement of their response when subjected to mechanical forces, such as cutting, scissoring, chewing, and compression or stretching. There is a close correlation between the texture of agri-food products and their mechanical properties. In this study, the textural characteristics of red radish roots were analyzed under different storage conditions using a penetration test. The physical parameters analyzed are the skin strength and elasticity, breaking point, ripening and softening profile, and flesh firmness. The results of the breaking point after the products’ storage at room temperature (tested after one, two, and three days, respectively) are: 184.96 N, 151.29 N, and 154.42 N, respectively; for radishes stored at a temperature of 2.8 °C, the breaking point is: 132.12 N, 109.76 N, and 141.16 N, respectively. The lowest value of firmness is recorded for the radishes tested fresh at 78.98 N, and the highest value of firmness is for the sample of specimens kept at laboratory temperature, that is, 103.96 N. The epidermal elasticity also undergoes significant changes during the experiment, starting from an epidermal elasticity of 2.14 mm (fresh sample) to a value of 4.15 mm (for the sample stored at laboratory temperature for three days). The experimental determinations indicated that the highest value of the penetration force of 184.1 N was obtained for the product stored at room temperature, and the lowest value of 109.76 N was obtained for the product stored at 2.8 °C.
1. Introduction
Texture has been defined as the mechanical, geometric, superficial, and corporal attributes of a product perceptible through the kinetic and somesthetic receptors and (if applicable) visual and auditory receptors from first bite to swallowing [1]. Consequently, the texture of agri-food can be seen as the manifestation of agri-material rheological properties [1,2,3,4,5,6,7]. Texture analysis involves measuring the rheological response when materials are subjected to mechanical forces such as: mechanical harvesting, cutting, shearing, chewing, compression, or stretching [1,3,5,8,9]. The study of agri-food texture is important to determine the resistance of a product to mechanical stress (mechanical harvesting of fruit and vegetables), to determine the deformation resistance of products subjected to processing, transport, and storage, and to ascertain the mechanic behavior of an agri-food product on consumption [4]. To evaluate the texture of agri-food materials, objective destructive methods are used (three-point bending test, single-end bending test, compression and puncture test, rebound test after applying tension, Warner–Bratzler shear test, etc.), as well as non-destructive methods (ultrasound, spectroscopy, optical techniques, etc.) [2,10,11,12] (Table 1). Force/deformation methods, developed based on the engineering theory of materials, measure well-defined mechanical properties of food products and can be fundamental, empirical, or imitative [1,2,3,13,14,15,16].
Table 1.
Texture determination methods.
Solid materials, such as an apple or carrot, show the highest correlation between sensory firmness and the instrumental method of analysis, the penetration test. The structural and texture characteristics of materials depend on the integrity of the cellular wall [11,28,29]. One study demonstrated the variation in carrot texture depending on the processing conditions, measuring the tear point for each given condition [11].
Another characteristic of the texture, which defines the appreciation of an agricultural product, in our case, red radishes, is the crunchiness of the product [13,28,29,30]. The crunchy characteristic and acoustic pressure values strictly depend on the propagation of the tear toward adjacent cells, where pressure exercised by the exterior cell wall causes a definitive tear [28,30,31].
The physical characteristics of root vegetables can also be ascertained by measuring the compression force and extrusion. Anđelko [32] determined the hardness and firmness of carrot root texture, when the carrot was fresh and during hydrothermal treatment [4,30]. The structure and texture characteristics of agri-food materials depend on the integrity of the cell wall components [10,11]. There are several reasons for measuring the physical characteristics of food: designing engineering processes, ascertaining structure and texture, ascertaining shearing/cutting energy consumption, ascertaining mechanical behavior at harvest, etc.
Other studies demonstrate the importance of the post-harvest mechanical properties of agri-food materials for the design and adoption of various handling, packaging, transport, and storage systems [6,30]. Physical properties, such as: peel strength, breaking strength, cutting energy consumption, pulp firmness, and post-harvest hardness of oranges were determined under different storage conditions, from their behavior in the ambient environment to refrigerated storage conditions [6,9,27,30,33,34,35].
As the plant materials mature, they undergo structural changes and texture (increases in size, core hardness, and peel strength) [10,12,30,36,37,38,39]. Some agri-food products change their quality slowly, and the time of harvest has a weak effect on textural properties, such as carrots, onions, cabbage, and turnips. On the other hand, other plants go through rapid texture changes and rapid physiological changes after harvesting, such as green beans and sweet corn, which have raw seeds. Fruit ripeness is also an extremely important stage in the harvesting process and can be classified into two groups: fruits with low rigidity, which soften immediately after harvesting (strawberries, cherries, peaches, apricots, blackberries, etc.) and fruits with a weakly moderate rigidity, which does not decrease immediately after harvesting (apples, quinces, etc.). Choosing the optimal harvest time for these plant materials is paramount for the entire production process [6,12].
In this article, the authors aimed to determine the value of the penetration force for red radish under different storage conditions. Given the small number of studies available, this study was carried out to determine the physical characteristics of this product. The paper aims to determine the physical characteristics of red radish roots, which can be quantified by texture analysis (breaking point, sample firmness, pile elasticity, mechanical work required to puncture the sample, as well as stiffness), in order to understand and optimize different industrial processes.
2. Materials and Methods
The test used in this paper was the penetration test, which measures the force required for a probe to penetrate a food sample to a pre-set depth. The penetration test, involving both compression and shearing of a sample, is an empirical textural analysis technique that somewhat mimics biting into a food product [3,10,11]. The physical parameters analyzed by the penetration test, through which the texture of the red radish roots can be characterized, are the evaluation of the strength and elasticity of the epidermis, the breaking point and resilience, the ripening and softening profile and the firmness of the flesh [40,41,42]. A penetration test destructively measures firmness by recording the force required for a cylindrical probe, a Magness–Taylor penetration probe, or a ball probe to penetrate the flesh of the vegetable up to a chosen distance and is frequently used for firmness testing of a wide variety of food products and more [43,44,45,46,47].
The penetration test to identify the texture parameters was made using the texture analysis equipment TA.Xplus Texture Analyzer from Stable Micro Systems (Godalming, UK) (Figure 1), as well as Texture Exponent 32 software for result interpretation. The penetration test was performed at a speed of 1.5 mm/s with the help of a steel cylinder (P/2) of 2 mm in diameter, and the penetration depth was 5 mm. Each sample was tested at four diametrically opposed points.
Figure 1.
Penetration test of red radish root using a cylindrical probe (P/2).
The force/time and force/distance penetration curves were used to calculate the textural parameters such as the breaking point, sample firmness, skin elasticity, mechanical work necessary to puncture the sample, and stiffness.
As previously stated, the product tested was the red radish, and 28 radishes were used in the experimental determinations, which were previously weighed and divided into 7 samples of 4 pieces. The samples used were not processed before analysis. In order not to alter the mechanical characteristics and humidity, the product was removed from the greenhouse, and the solid impurities were mechanically removed (using a soft bristle brush in order not to damage the outer surface of the samples). Texture analysis of each sample was performed under three different storage conditions, as follows: tested fresh, under environmental conditions (tested after one, two, and three days of storage), and under refrigerated conditions, kept at a temperature of 2.8 °C (tested after one, two, and three days). Differences in the radish mass for the three storage conditions and time intervals are presented in Table 2.
Table 2.
Mass determination and conditions for measuring the texture of red root radishes.
In addition to the parameters generated by the texture analyzer, moisture and dry matter were also determined for the product under study, using the KERN MLB 50-3N thermobalance with a measurement accuracy of 0.01%, standard drying program, and maximum temperature of 160 °C. Only a maximum of 15 g extracted from a single sample was used for moisture determination, after which it was subjected to the penetration test. It was considered that the sample should include components from the entire structure of the red radish. To make the moisture determination process more efficient, the sample was sectioned into small pieces.
3. Results
An important role in the textural analysis of agri-food products is played by the moisture of the materials as well as the dry matter [6,33,34,35]. Therefore, the moisture and dry matter content of radishes was determined for each sample under the conditions listed above, and the values obtained are presented in Table 3.
Table 3.
Mass determination and conditions.
Due to the large number of graphs resulting from the experimental determinations (112 graphical representations), only one set of graphical representations corresponding to a single sample from each sample has been included in the paper (Figure 2).

Figure 2.
Penetration force/distance curves for each condition for testing the radish root: (a) fresh; (b) RA1CR—radishes after one day in the cold room; (c) RA2CR—radishes after two days in the cold room; (d) RA3CR—radishes after three days in the cold room; (e) RA1RT—radishes after one day at room temperature; (f) RA2RT—radishes after two days at room temperature; (g) RA3RT—radishes after three days at room temperature.
Analyzing the curves obtained from the experimental determinations, the following conclusions can be drawn:
- -
- Making a comparison with the graphs in the specialized literature [1,30,33], it can be observed that those obtained for red radishes are not very different; the shape of the diagrams is characterized by the product;
- -
- The storage method of the product influences the value of the penetration force; for a fresh product, the lowest value of the parameter studied was obtained as 106.1 N. The highest values were obtained for products stored at room temperature, with values of over 184 N (for all three storage periods);
- -
- The variation over time in the penetration force for the three types of product storage (fresh product, product stored at room temperature, and product stored at 2.8 °C) differs distinctly as follows:
- In the case of the fresh product, it is found that for the first two tests after the probe breaks the protective membrane of the product (product skin), the penetration force decreases; then, after a displacement of about 3 mm in the product pulp, the penetration force value increases to values higher than the membrane breaking value. For tests 3 and 4, it is found that after penetration of the probe into the product pulp, the penetration force does not exceed the breaking force of the product membrane. Once the penetration distance of 3 mm is exceeded, the penetration force value reaches the value of 57.6–78.6 N. The difference between the penetration force value of the product membrane and the final value (after penetration of the probe into the product 5 mm) is between 42.5 and 48.4 N.
- In the case of a product kept at a temperature of 2.8 °C, for a period of 24 h, the variation in the penetration force is approximately similar to that of the fresh product. For the product kept for more than one day, the variation curve of the penetration force is wavier, even reaching a jagged appearance in the case of test 1 for the product kept for 3 days at 2.8 °C. The difference between the value of the penetration force of the product membrane and the final value for the product kept for one day is on average 66.17 N; for products kept for 2 and 3 days at 2.8 °C, the difference decreases by 33–35%;
- For the product kept at room temperature, the shape of the diagrams obtained from the experimental determinations is different from the other two sets of experiments. In this set of experiments, it is found that product penetration occurs after a probe displacement of more than 2 mm (for products kept at room temperature for one day) or even more (for products kept at room temperature for more than one day).
Such determinations aim at highlighting the fact that the way products are stored directly influences the physical properties of the products, that is, the processing properties.
The Texture Exponent 32 software was used to identify the values of the following parameters: the breaking/bioyield point, specimen/flash firmness, mechanical work required to pierce the specimen (until the breaking point was reached), skin elasticity, mechanical work required after the breaking point, specimen stiffness, and total mechanical work. Due to the large number of values obtained from the experimental determinations, as specified above, and analyzing the 112 diagrams resulting from the experimental determinations, Table 4 shows the average values of these parameters for each set of experimental determinations and the standard deviation (SD) for each parameter presented.
Table 4.
The average value of the parameters measured by the puncture/penetration test on the radish root.
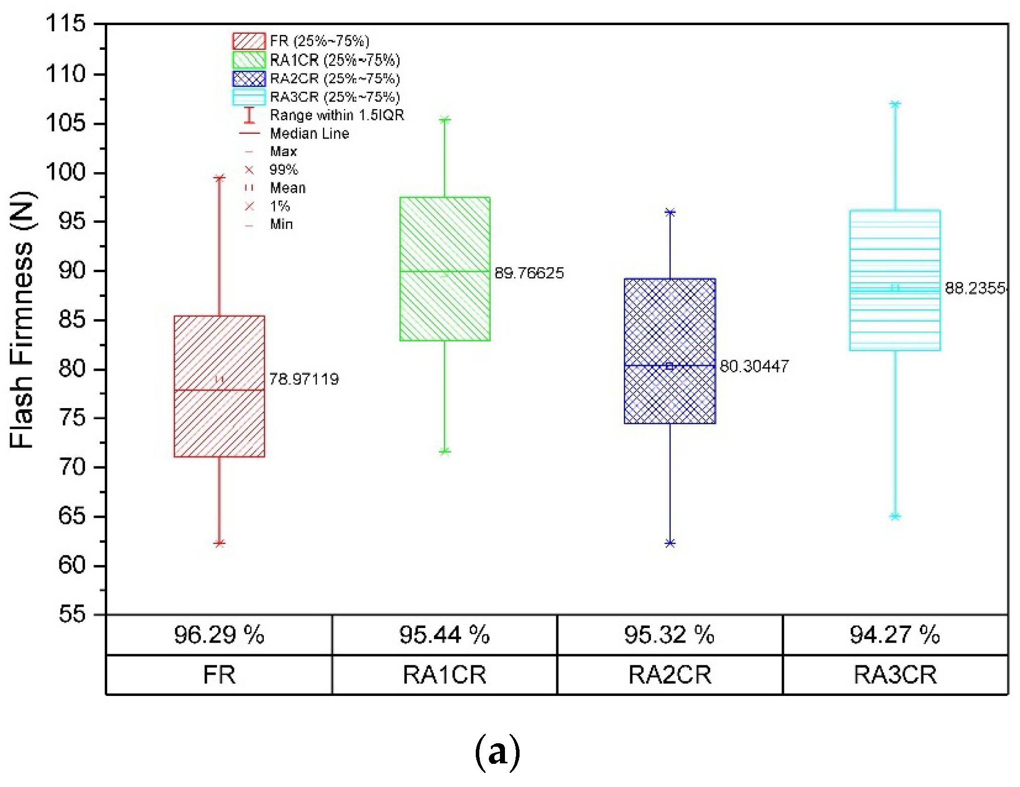
In Figure 3 and Figure 4, the results obtained from the determinations of the firmness and breaking point of radishes, corresponding to the moisture content of the radishes and the difference in mass, are shown statistically.

Figure 3.
A statistical representation of flash firmness of radish root for four samples with different moisture contents: (a) products kept at a temperature of 2.8 °C; (b) products kept at room temperature.
Figure 4.
Statistical representation of bioyield point for radish root corresponding to samples with four specific mass differences: (a) products kept at a temperature of 2.8 °C; (b) products kept at room temperature.
The following conclusions can be drawn after analyzing the graphical representation in Figure 3:
- The lowest product firmness value is obtained for fresh products;
- Both for products stored at 2.8 °C and for those stored at room temperature, it is found that their firmness value is higher than that of fresh products with an average of about 9% and 30.9%, respectively.
- Regardless of how the product is stored, it is found that the firmness has a decreasing trend.
An analysis of the graphical representations in Figure 4 shows:
- Compared to the two ways of storing the product, the amount of force required to pierce the product is on average 16.5% less than products stored at 2.8 °C and on average 46.6% less than those stored at a room temperature;
- Comparing the two storage methods shows that the amount of force required to pierce the product is 25.78% lower for the product stored at 2.8 °C than for the product stored at room temperature.
In order to identify the correlations between the parameters used and those obtained from the experimental determinations, a hierarchical cluster (used to build a hierarchical tree; the results obtained are presented in the form of a dendrogram diagram) analysis was carried out (Figure 5), and it was found that regardless of the way the products are stored, the firmness and the force required to pierce the product are closely related. This is evidenced by the fact that the two parameters are part of the same cluster.
Figure 5.
Cluster analysis: (a) product stored at 2.8 °C; (b) product stored at room temperature.
The same conclusion can be drawn from the graphical representation using main component analysis (used to reduce the number of variables in regression and clustering, give the linear combination of the variables and gives a maximized variance) (Figure 6).
Figure 6.
Analysis of main components: (a) product stored at 2.8 °C; (b) product stored at a room temperature.
4. Conclusions
The most commonly used methods for the determination of the textural properties of vegetables are those that apply high deformation forces, and they are a destructive texture analysis method. However, due to the nature of these tests, they do not provide an understanding of the microstructure of radishes and the force deformation mechanisms and collapse on a cellular level.
The storage conditions recorded different values for each red radish sample, subjected to the experiment (Table 2), such as:
- -
- The largest mass difference between the tested product and the fresh product is found for products stored at room temperature and is 19.13 g;
- -
- The smallest mass difference between the tested product and the fresh product is found for products stored at 2.8 °C and is 1.33 g.
In order to carry out the puncture test, the authors initially sought to determine certain physical characteristics of the product (these are presented in Table 3), which are intended to validate the data presented in Table 2.
From the analysis of the obtained results, it can be observed that during the penetration of the sample, a series of deformations appear (Figure 2a–f). From the analysis of these representations, the following conclusions can be drawn:
- -
- Both for the fresh products and for those stored at a temperature of 2.8 °C, the force diagram shows a number of ripples. These undulations are accentuated for samples kept in the cold room and less accentuated for the produce kept at room temperature. It is assumed that the undulations are generated by the resistance to aging given by the firmness of cells containing a large amount of water;
- -
- For products stored at room temperature, it is noted that they have increased elasticity, which is evidenced by the distance travelled by the probe to penetrate the pericarp (which reaches more than 4 mm);
- -
- Regardless of how the product is stored, it is found that all the diagrams obtained describe, for the first part, the elastic and plastic deformation of the epidermis and its subsequent penetration. It is found that after the penetration of the probe into the product, due to the deformation of the cells and the water content, the product resists randomly.
It was observed that the penetration force varies inversely with the moisture and mass content of the radishes, with higher values of the penetration force being measured for the radishes with a lower moisture and mass content (Figure 3 and Figure 4).
The crunchiness of radishes increased with the storage period, from 78.97 N to 103.96 N for the product stored at room temperature. For products stored at a temperature of 2.8 °C, the difference between the penetration force for the fresh product and the product stored at different time intervals is a maximum of 11 N.
It can also be stated that the elasticity of the epidermis is strongly dependent on the storage conditions, registering higher values for radishes stored at room temperature (Table 3), namely 103.96 N.
Since it was not possible to carry out mathematical modelling between the input and output parameters, corresponding to the study carried out, we resorted to the identification of correlations based on statistical analysis. Following the statistical analysis carried out within this framework, it was found, using two methods of analysis (hierarchical cluster analysis and main component analysis), that there is a strong correlation between the product firmness and the bioyield point. This is specific to the penetration test with a steel cylinder (P/2) of 2 mm in diameter and a penetration depth of 5 mm; therefore, in the future it is necessary to continue the research using other penetration devices for agri-food products and to identify the main factors influencing this process.
With regard to the ways to further develop this research, given the use of plant materials (fruits and vegetables) in the food industry, it is necessary to further study the changes that may occur at the cellular level under different conditions of storage and preservation of these plant materials. The theoretical studies and experimental results presented in this paper can constitute a useful and at the same time indispensable material in approaching other similar topics in the field, for the optimization of the entire technological process of the production, transport, and storage of agri-food materials of vegetable origin.
Author Contributions
Conceptualization, M.L., V.N., E.M. and M.P.-L.; methodology, M.P.-L. and E.M.; software, M.P.-L. and E.M.; validation, V.N., E.M. and M.P.-L.; formal analysis, M.L.; investigation, M.L.; resources, V.N.; data curation, M.L. and E.M.; writing—original draft preparation, M.L.; writing—review and editing, C.T., D.C. and D.-I.R.; visualization, E.M. and M.P.-L.; supervision, V.N.; project administration, M.L. All authors have read and agreed to the published version of the manuscript.
Funding
This research received no external funding.
Data Availability Statement
The data presented in this study are available on request from the corresponding author.
Conflicts of Interest
The authors declare no conflicts of interest.
References
- Bajkin, A.; Ponjičan, O.; Babić, M.; Radomirović, D.; Dedović, N.; Radojčin, M. Determination of physical characteristics of root vegetables with puncture. J. Process. Energy Agric. 2011, 15, 130–133. [Google Scholar]
- Stanley, D.V. Physical Properties of Foods: Novel Measurement Techniques and Applications; Arana, I., Ed.; CRC Press: Boca Raton, FL, USA, 2012; pp. 220–258. [Google Scholar]
- Sozer, N.; Cicerelli, L.; Heiniö, R.L.; Poutanen, K. Effect of wheat bran addition on starch digestibility, physico-mechanical and sensory properties of biscuits. J. Cereal Sci. 2014, 60, 105–113. [Google Scholar] [CrossRef]
- Eyarkai Nambi, V.; Thangavel, K.; Ambika Rajeswari, K.; Manickavasagan, A.; Geetha, V. Texture and rheological changes of Indian mango cultivars during ripening. Postharvest Biol. Technol. 2016, 117, 152–160. [Google Scholar] [CrossRef]
- Bontas, O.; Nedeff, V.; Mosnegutu, E.F.; Panainte, M.; Irimia, O. Behaviour of solid particles on a flat oscillating surface. Environ. Eng. Manag. J. 2013, 12, 17–22. [Google Scholar] [CrossRef]
- Radu-Rusu, R.M.; Raţu, R.; Sorocopud, O. Effects of bromelain enzymatic proteolisis on some rheological and technological properties of beef. Sci. Pap.-Anim. Sci. Ser. Lucr. Ştiinţifice-Ser. Zooteh. 2017, 68, 77–82. [Google Scholar]
- Pereira, T.; Barroso, S.; Gil, M.M. Food texture design by 3D Printing: A review. Foods 2021, 10, 320. [Google Scholar] [CrossRef] [PubMed]
- Mosnegutu, E.; Tomozei, C.; Panainte-Lehadus, M.; Chitimus, D.; Irimia, O. Geometric calculation of the influence of an oscillating sieve’s actuation mechanism position on its motion. Processes 2022, 10, 1760. [Google Scholar] [CrossRef]
- Neder-Suárez, D.; Lardizábal-Gutiérrez, D.; Meléndez-Pizarro, C.O.; Tabio-García, D.; Zazueta-Morales, J.d.J.; Rodríguez-Roque, M.J.; Hernández-Ochoa, L.R.; Delgado-Nieblas, C.I.; Quintero-Ramos, A. Effect in physical, thermo-mechanical properties, and in vitro starch digestibility of extruded and microwave-expanded snacks—Mixture of blue corn, black bean, and chard: An optimization study. Starch-Stärke 2023, 75, 2200158. [Google Scholar] [CrossRef]
- De Cindio, B.; Baldino, N.; Gabriele, D.; Lupi, F.R. Rheological properties of food materials. In Encyclopedia of Food and Health; Caballero, B., Finglas, P.M., Toldrá, F., Eds.; Academic Press: Oxford, UK, 2016; pp. 610–617. [Google Scholar]
- Shiu, J.W.; Slaughter, D.C.; Boyden, L.E.; Barrett, D.M. Effect of the shear-to-compressive force ratio in puncture tests quantifying watermelon mechanical properties. J. Food Eng. 2015, 150, 125–131. [Google Scholar] [CrossRef]
- Chen, L.; Opara, U.L. Texture measurement approaches in fresh and processed foods—A review. Food Res. Int. 2013, 51, 823–835. [Google Scholar] [CrossRef]
- Lozano, L.; Iglesias, I.; Puy, J.; Echeverria, G. Performance of an expert sensory panel and instrumental measures for assessing eating fruit quality attributes in a pear breeding programme. Foods 2023, 12, 1426. [Google Scholar] [CrossRef] [PubMed]
- Panainte-Lehadus, M.; Mosnegutu, E.; Barsan, N.; Andrioai, G.; Tomozei, C.; Irimia, O. Mathematical perspectives in the variable texture products cutting process. Processes 2022, 10, 1603. [Google Scholar] [CrossRef]
- van Gerwen, D.J.; Dankelman, J.; van den Dobbelsteen, J.J. Measurement and stochastic modeling of kidney puncture forces. Ann. Biomed. Eng. 2014, 42, 685–695. [Google Scholar] [CrossRef] [PubMed]
- Zulkifli, N.; Hashim, N.; Harith, H.H.; Mohamad Shukery, M.F.; Onwude, D.I.; Sairi, M. Finite element modelling for predicting the puncture responses in papayas. Foods 2021, 10, 442. [Google Scholar] [CrossRef]
- Aly, M.M.A.; Seleem, H.A. Gluten-free flat bread and biscuits production by cassava, extruded soy protein and pumpkin powder. Food Nutr. Sci. 2015, 6, 660–674. [Google Scholar] [CrossRef]
- Jahanbakhshi, A.; Yeganeh, R.; Shahgoli, G. Determination of mechanical properties of banana fruit under quasi-static loading in pressure, bending, and shearing tests. Int. J. Fruit Sci. 2019, 20, 314–322. [Google Scholar] [CrossRef]
- Triki, E.; Gauvin, C. Analytical and experimental investigation of puncture-cut resistance of soft membranes. Mech. Soft Mater. 2019, 1, 6. [Google Scholar] [CrossRef]
- Bayati, M.R.; Rajabipour, A.; Mobli, H.; Eyvani, A.; Badii, F. Storability evaluation of Golab apple with acoustic and penetration methods. J. Agric. Mach. 2016, 6, 188–200. [Google Scholar]
- Novaković, S.; Tomasevic, I. A comparison between Warner-Bratzler shear force measurement and texture profile analysis of meat and meat products: A review. IOP Conf. Ser. Earth Environ. Sci. 2017, 85, 012063. [Google Scholar] [CrossRef]
- Subedi, P.P.; Walsh, K.B. Non-invasive techniques for measurement of fresh fruit firmness. Postharvest Biol. Technol. 2009, 51, 297–304. [Google Scholar] [CrossRef]
- Sakata, O.; Satake, T.; Suzuki, Y. Texture analysis based on ultrasound elastography for food design. Int. J. Affect. Eng. 2019, 18, 1–7. [Google Scholar] [CrossRef]
- Xu, G.; Kang, J.X.; You, W.J.; Li, R.Y.; Zheng, H.J.; Lv, L.S.; Zhang, Q.T. Pea protein isolates affected by ultrasound and NaCl used for dysphagia’s texture-modified food: Rheological, gel, and structural properties. Food Hydrocoll. 2023, 139, 108566. [Google Scholar] [CrossRef]
- Aslam, R.; Alam, M.S.; Kaur, J.; Panayampadan, A.S.; Dar, O.I.; Kothakota, A.; Pandiselvam, R. Understanding the effects of ultrasound processng on texture and rheological properties of food. J. Texture Stud. 2022, 53, 775–799. [Google Scholar] [CrossRef]
- Uggeri, A.; Vigna, B. Use of optical brighteners in applied hydrogeology. Tracer Hydrol. 1997, 97, 91–98. [Google Scholar]
- Ding, C.; Wang, D.; Feng, Z.; Li, W.; Cui, D. Integration of vibration and optical techniques for watermelon firmness assessment. Comput. Electron. Agric. 2021, 187, 106307. [Google Scholar] [CrossRef]
- Costa, F.; Cappellin, L.; Longhi, S.; Guerra, W.; Magnago, P.; Porro, D.; Soukoulis, C.; Salvi, S.; Velasco, R.; Biasioli, F.; et al. Assessment of apple (Malus × domestica Borkh.) fruit texture by a combined acoustic-mechanical profiling strategy. Postharvest Biol. Technol. 2011, 61, 21–28. [Google Scholar] [CrossRef]
- Ebadi, M.; Soltani, F.; Mostofi, Y.; Arjmandi, M. Fresh-Cut Quality of Watermelon during Storage at Different Temperatures. In Proceedings of the VII International Postharvest Symposium, Kuala Lumpur, Malaysia, 25–29 June 2013; pp. 497–502. [Google Scholar]
- Mazidi, M.; Sadrnia, H.; Khojastehpour, M. Evaluation of orange mechanical damage during packaging by study of changes in firmness. Int. Food Res. J. 2016, 23, 899–903. [Google Scholar]
- Pissard, A.; Marques, E.J.N.; Dardenne, P.; Lateur, M.; Pasquini, C.; Pimentel, M.F.; Fernández Pierna, J.A.; Baeten, V. Evaluation of a handheld ultra-compact NIR spectrometer for rapid and non-destructive determination of apple fruit quality. Postharvest Biol. Technol. 2021, 172, 111375. [Google Scholar] [CrossRef]
- Anđelko, B.; Ponjičan, O.; Babic, M.; Radomirovic, D.; Dedovic, N.; Radojcin, M. Interaction between carrot root dimensions and puncture force. J. Process. Energy Agric. 2011, 15, 59–62. [Google Scholar]
- Adrian, R.; Daniela, R. Instrumental texture analysis—An objective method to evaluate fresh vegetables quality. Prog. Cryog. Isot. Sep. 2013, 16, 1855. [Google Scholar]
- Kim, E.; Corrigan, V.; Wilson, A.; Waters, I.A.N.; Hedderley, D.; Morgenstern, M. Fundamental fracture properties associated with sensory hardness of brittle solid foods. J. Texture Stud. 2012, 43, 49–62. [Google Scholar] [CrossRef]
- Zheng, Y.; Cao, Y.; Yang, J.; Xie, L. Enhancing model robustness through different optimization methods and 1-D CNN to eliminate the variations in size and detection position for apple SSC determination. Postharvest Biol. Technol. 2023, 205, 112513. [Google Scholar] [CrossRef]
- Zdunek, A.; Cybulska, J.; Konopacka, D.; Rutkowski, K. New contact acoustic emission detector for texture evaluation of apples. J. Food Eng. 2010, 99, 83–91. [Google Scholar] [CrossRef]
- Ting, Z.; Xiaoming, M.; Zhihua, Z.; Jinge, Z.; Jie, W. Evaluation of crispness fusing features extracted from jagged curves of mechanical-acoustic signals of Korla pears. Trans. Chin. Soc. Agric. Eng. 2022, 38, 305–312. [Google Scholar] [CrossRef]
- Taniwaki, M.; Kohyama, K. Mechanical and acoustic evaluation of potato chip crispness using a versatile texture analyzer. J. Food Eng. 2012, 112, 268–273. [Google Scholar] [CrossRef]
- Tian, S.; Wang, J.; Xu, H. Firmness measurement of kiwifruit using a self-designed device based on acoustic vibration technology. Postharvest Biol. Technol. 2022, 187, 111851. [Google Scholar] [CrossRef]
- Wang, W.; Jia, R.; Hui, Y.; Zhang, F.; Zhang, L.; Liu, Y.; Song, Y.; Wang, B. Utilization of two plant polysaccharides to improve fresh goat milk cheese: Texture, rheological properties, and microstructure characterization. J. Dairy Sci. 2023, 106, 3900–3917. [Google Scholar] [CrossRef]
- Tian, X.; Li, J.; Wang, Q.; Fan, S.; Huang, W.; Zhao, C. A multi-region combined model for non-destructive prediction of soluble solids content in apple, based on brightness grade segmentation of hyperspectral imaging. Biosyst. Eng. 2019, 183, 110–120. [Google Scholar] [CrossRef]
- Barrett, D.M.; Beaulieu, J.C.; Shewfelt, R. Color, flavor, texture, and nutritional quality of fresh-cut fruits and vegetables: Desirable levels, instrumental and sensory measurement, and the effects of processing. Crit. Rev. Food Sci. Nutr. 2010, 50, 369–389. [Google Scholar] [CrossRef] [PubMed]
- Li, Z.; Wang, Y. A multiscale finite element model for mechanical response of tomato fruits. Postharvest Biol. Technol. 2016, 121, 19–26. [Google Scholar] [CrossRef]
- de Moraes, J.O.; Andreani, P.; Murta, B.H.P.; Link, J.V.; Tribuzi, G.; Laurindo, J.B.; Paul, S.; Carciofi, B.A.M. Mechanical-acoustical measurements to assess the crispness of dehydrated bananas at different water activities. LWT 2022, 154, 112822. [Google Scholar] [CrossRef]
- Toldrá, F.; Nollet Leo, M.L. Handbook of Dairy Foods Analysis; CRC Press: Boca Raton, FL, USA, 2021. [Google Scholar]
- Foegeding, E.A.; Daubert, C.R.; Drake, M.; Essick, G.; Trulsson, M.; Vinyard, C.J.; van de Velde, F. A comprehensive approach to understanding textural properties of semi- and soft-solid foods. J. Texture Stud. 2011, 42, 103–129. [Google Scholar] [CrossRef]
- Alvarez, M.D.; Velarde, C.; Barrios, L.; Herranz, B. Understanding the crispy–crunchy texture of raw red pepper and its change with storage time. J. Texture Stud. 2020, 51, 120–133. [Google Scholar] [CrossRef] [PubMed]
Disclaimer/Publisher’s Note: The statements, opinions and data contained in all publications are solely those of the individual author(s) and contributor(s) and not of MDPI and/or the editor(s). MDPI and/or the editor(s) disclaim responsibility for any injury to people or property resulting from any ideas, methods, instructions or products referred to in the content. |
© 2024 by the authors. Licensee MDPI, Basel, Switzerland. This article is an open access article distributed under the terms and conditions of the Creative Commons Attribution (CC BY) license (https://creativecommons.org/licenses/by/4.0/).







