Temperature Effect of Cocoa (Theobroma cacao L.) Drying on Energy Consumption, Bioactive Composition and Vibrational Changes
Abstract
1. Introduction
2. Materials and Methods
2.1. Cocoa Material
2.2. Drying Experiments and Sample Conditioning
2.3. Energy Parameters
2.4. Preparation of Extracts
2.5. Determination of Total Phenolics
2.6. Determination of Total Flavonoids
2.7. Determination of Antioxidant Activity
2.8. Characterization by Vibrational Analysis
3. Results and Discussion
3.1. Drying Curves and Rates
3.2. Energy Consumption and Energy Efficiency
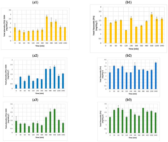
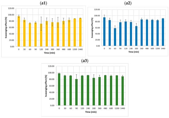
3.3. Bioactive Compounds and Antioxidant Activity
3.4. FT-IR Spectra
3.5. Multivariate Analysis
4. Conclusions
Supplementary Materials
Author Contributions
Funding
Data Availability Statement
Conflicts of Interest
References
- Oracz, J.; Nebesny, E.; Zyzelewicz, D.; Budryn, G.; Luzak, B. Bioavailability and metabolism of selected cocoa bioactive compounds: A comprehensive review. Crit. Rev. Food Sci. Nutr. 2020, 60, 1947–1985. [Google Scholar] [CrossRef] [PubMed]
 - Dubón, A. Protocolo para el Beneficiado y Calidad del Cacao, 1st ed.; Centro de Comunicación Agrícola de la Fundación Hondureña de Investigación Agrícola: La Lima, Cortés, Honduras, 2016; pp. 13–17. [Google Scholar]
 - Rashid, M.T.; Ma, H.; Jatoi, M.A.; Wali, A.; El-Mesery, H.S.; Ali, Z.; Sarpong, F. Effect of infrared drying with multifrequency ultrasound pretreatments on the stability of phytochemical properties, antioxidant potential, and textural quality of dried sweet potatoes. J. Food Biochem. 2019, 43, e12809. [Google Scholar] [CrossRef] [PubMed]
 - Motevali, A.; Minaei, S.; Banakar, A.; Ghobadian, B.; Khoshtaghaza, M.H. Comparison of energy parameters in various dryers. Energy Convers. Manag. 2016, 87, 711–725. [Google Scholar] [CrossRef]
 - Abbaspour-Gilandeh, Y.; Kaveh, M.; Fatemi, H.; Khalife, E. Effect of Pretreatments on Convective and Infrared Drying Kinetics, Energy Consumption and Quality of Terebinth. Appl. Sci. 2021, 11, 7672. [Google Scholar] [CrossRef]
 - Teymori-Omran, M.; Askari Asli-Ardeh, E.; Taghinezhad, E.; Motevali, A.; Szumny, A.; Nowacka, M. Enhancing Energy Efficiency and Retention of Bioactive Compounds in Apple Drying: Comparative Analysis of Combined Hot Air–Infrared Drying Strategies. Appl. Sci. 2023, 13, 7612. [Google Scholar] [CrossRef]
 - Simo-Tagne, M.; Tamkam Etala, H.D.; Tagne Tagne, A.C.; El Marouani, M. Energy, environmental and economic analyses of an indirect cocoa bean solar dryer: A comparison between natural and forced convections. Renew. Energy 2022, 187, 1154–1172. [Google Scholar] [CrossRef]
 - Vásquez-Uribe, J.F.; Vásquez-Alzate, J.S.; Urrego-Pabón, J.A.; Pérez-Bayer, J.F.; Chica-Arrieta, E.L. Energy and economic characterization of the traditional drying of cocoa beans in greenhouses. Rev. Facultad Ing. Univ. Antioquia 2024, 113, 114–124. [Google Scholar] [CrossRef]
 - Cienfuegos-Jovellanos, E. Estudio del Contenido de Compuestos Bioactivos del Cacao y su Aplicación en la Obtención de un Ingrediente Rico en (Poli)fenoles para el Diseño de un Chocolate Enriquecido. Ph.D. Thesis, Universidad de Murcia, Murcia, Spain, 2016. [Google Scholar]
 - Roura, E.; Andrés-Lacueva, C.; Estruch, R.; Mata-Bilbao, M.L.; Izquierdo-Pulido, M.; Waterhouse, A.L.; Lamuela-Raventós, R.M. Milk does not affect the bioavailability of cocoa powder flavonoid in healthy human. Ann. Nutr. Metab. 2007, 51, 493–498. [Google Scholar] [CrossRef] [PubMed]
 - Pallares-Pallares, A.; Estupiñán-A, M.R.; Perea-Villamil, J.A.; López-Giraldo, L.J. Impact of fermentation and drying in polyphenol content and antioxidant capacity of cocoa variety CCN-51. ION 2016, 29, 7–21. [Google Scholar] [CrossRef]
 - Othman, A.; Ismail, A.; Abdul Ghani, N.; Adenan, I. Antioxidant capacity and phenolic content of cocoa beans. Food Chem. 2007, 100, 1523–1530. [Google Scholar] [CrossRef]
 - Hu, Y.; Pan, Z.J.; Liao, W.; Li, J.; Gruget, P.; Kitts, D.D.; Lu, X. Determination of antioxidant capacity and phenolic content of chocolate by attenuated total reflectance-Fourier transformed-infrared spectroscopy. Food Chem. 2016, 202, 254–261. [Google Scholar] [CrossRef]
 - Deus, V.L.; Barros de Cerqueira e Silva, M.; Maciel, L.F.; Rodrigues Miranda, L.C.; Hiroo Ka, E.Y.; Soares, S.E.; Ferreira, E.d.S.; Bispo, E.d.S. Influence of drying methods on cocoa (Theobroma cacao L.): Antioxidant activity and presence of ochratoxin A. Food Sci. Technol. 2018, 38, 278–285. [Google Scholar] [CrossRef]
 - Castañeda-Pérez, E.; Osorio-Revilla, G.I.; Gallardo-Velázquez, T.; Proal-Nájera, J.B. Use of FTIR-HART coupled to multivariate analysis to monitor the degradation of bioactive compounds during drying of red pepper. Rev. Mex. De Ing. Química 2012, 12, 193–204. [Google Scholar]
 - Kyi, T.M.; Daud, W.R.W.; Mohamad, A.B.; Samsudin, M.W.; Kadhum, A.A.H.; Talib, M.Z.M. The kinetics of polyphenol degradation during the drying of Malaysian cocoa beans. Int. J. Food Sci. Technol. 2005, 40, 323–331. [Google Scholar] [CrossRef]
 - Teh, Q.; Tan, G.; Loo, S.; Azhar, F.; Menon, A.; Hii, C. The Drying Kinetics and Polyphenol Degradation of Cocoa Beans. Food Process Eng. 2015, 39, 484–491. [Google Scholar] [CrossRef]
 - Santhanam Menon, A.; Hii, C.L.; Law, C.L.; Shariff, S.; Djaeni, M. Effects of drying on the production of polyphenol-rich cocoa beans. Dry. Technol. 2017, 35, 1799–1806. [Google Scholar] [CrossRef]
 - Alean, J.; Chejne, F.; Rojano, B. Degradation of polyphenols during the cocoa drying process. J. Food Eng. 2016, 189, 99–105. [Google Scholar] [CrossRef]
 - Amir, M.R.; Anjum, F.M.; Khan, M.I.; Khan, M.R.; Pasha, I.; Nadeem, M. Application of Fourier transform infrared (FTIR) spectroscopy for the identification of wheat varieties. J. Food Sci. Technol. 2016, 50, 1018–1023. [Google Scholar] [CrossRef]
 - Prado-Martínez, M.; Anzaldo-Hernández, J.; Becerra-Aguilar, B.; Palacios-Juárez, H.; Vargas-Radillo, J.J.; Rentería-Urquiza, M. Caracterización de hojas de mazorca de maíz y de bagazo de caña para la elaboración de una pulpa celulósica mixta. Madera Bosques 2012, 18, 37–51. [Google Scholar] [CrossRef][Green Version]
 - Barrios-Rodríguez, Y.; Collazos-Escobar, G.A.; Gutiérrez-Guzmán, N. ATR-FTIR for characterizing and differentiating dried and ground coffee cherry pulp of different varieties (Coffea Arabica L.). Eng. Agrícola 2021, 41, 70–77. [Google Scholar] [CrossRef]
 - Zara, J.; Yegres, F.; Vargas, N.; Morales, S.; Cubillan, L.; Márquez-Riquel, M. Empleo de la Espectroscopia Infrarroja (FT-IR-ATR) como herramienta para la Caracterización del bagazo de caña proveniente de la Sierra Falconiana. Rev. Quim. 2017, 16, 17–24. [Google Scholar]
 - Socaciu, M.I.; Fogarasi, M.; Semeniuc, C.A.; Socaci, S.A.; Rotar, M.A.; Mureşan, V.; Pop, O.L.; Vodnar, D.C. Formulation and Characterization of Antimicrobial Edible Films Based on Whey Protein Isolate and Tarragon Essential Oil. Polymers 2020, 12, 1748. [Google Scholar] [CrossRef]
 - Veselá, A.; Barros, A.S.; Synytsya, A.; Delgadillo, I.; Copíková, J.; Coimbra, M.A. Infrared spectroscopy and outer product analysis for quantification of fat, nitrogen, and moisture of cocoa powder. Anal. Chim. Acta 2007, 601, 77–86. [Google Scholar] [CrossRef]
 - Teye, E.; Huang, X.; Dai, H.; Chen, Q. Rapid differentiation of Ghana cocoa beans by FT-NIR spectroscopy coupled with multivariate classification. Spectrochim. Acta Part A Mol. Biomol. Spectrosc. 2013, 114, 183–189. [Google Scholar] [CrossRef] [PubMed]
 - Páramo, D.; García-Alamilla, P.; Salgado-Cervantes, M.A.; Robles-Olvera, V.J.; Rodríguez-Jimenes, G.C.; García-Alvarado, M.A. Mass transfer of water and volatile fatty acids in cocoa beans during drying. J. Food Eng. 2010, 99, 276–283. [Google Scholar] [CrossRef]
 - Abhay, S.M.; Hii, C.L.; Law, C.L.; Suzannah, S.; Djaeni, M. Effect of hot-air drying temperature on the polyphenol content and the sensory properties of cocoa beans. Int. Food Res. J. 2016, 23, 1479–1484. [Google Scholar]
 - AOAC. AOAC: Official Methods of Analysis; Association Official Analytical Chemists: Washington, DC, USA, 1980. [Google Scholar]
 - Onwude, D.I.; Hanshim, N.; Janius, R.B.; Nawi, N.M.; Abdan, K. Modeling the Thin Layer Drying of Fruits and Vegetables: A Review. Compr. Rev. Food Sci. Food Saf. 2016, 15, 299–618. [Google Scholar] [CrossRef]
 - Kaveh, M.; Abbaspour-Gilandeh, Y.; Nowacka, M. Comparison of different drying techniques and their carbon emissions in green peas. Chem. Eng. Process. Process Intensif. 2021, 160, 108–274. [Google Scholar] [CrossRef]
 - Ghanbarian, D.; Torki-Harchegani, M.; Sadeghi, M.; Pirbalouti, A.G. Ultrasonically improved convective drying of peppermint leaves: Influence on the process time and energetic indices. Renew. Energy 2020, 153, 67–73. [Google Scholar] [CrossRef]
 - Cengel, Y.A.; Boles, M.A. Termodinámica, 6th ed; Mc Graw Hill: New York, NY, USA, 2009; pp. 907–956. [Google Scholar]
 - Jia, Z.; Tang, M.; Wu, J. The determination of flavonoid contents in mulberry and their scavenging effects on superoxide radicals. Food Chem. 1999, 64, 555–559. [Google Scholar] [CrossRef]
 - Shimada, K.; Fujikawa, K.; Yahara, K.; Nakamura, T. Antioxidative Properties of Xanthan on the Autoxidation of Soybean Oil in Cyclodextrin Emulsion. Agric. Food Chem. 1992, 40, 945–948. [Google Scholar] [CrossRef]
 - Meza-Márquez, O.G.; Gallardo-Velázquez, T.; Osorio-Revilla, G. Application of mid infrared spectroscopy with multivariate analysis and soft independent modeling of class analogies (SIMCA) for the detection of adulterant in minced beef. Meat Sci. 2010, 86, 511–519. [Google Scholar] [CrossRef] [PubMed]
 - Darvishi, H.; Zarein, M.; Farhudi, Z. Energetic and exergetic performance analysis and modeling of drying kinetics of kiwi slices. J. Food Sci. Technol. 2016, 53, 2317–2333. [Google Scholar] [CrossRef] [PubMed]
 - Dina, S.F.; Ambarita, H.; Napitupulu, F.H.; Kawai, H. Study on effectiveness of continuous solar dryer integrated with desiccant thermal storage for drying cocoa beans. Case Stud. Therm. Eng. 2015, 5, 32–40. [Google Scholar] [CrossRef]
 - Taghinezhad, E.; Kaveh, M.; Szumny, A. Thermodynamic and Quality Performance Studies for Drying Kiwi in Hybrid Hot Air-Infrared Drying with Ultrasound Pretreatment. Appl. Sci. 2021, 11, 1297. [Google Scholar] [CrossRef]
 - Souza Leão Macedo, A.; de Souza Rocha, F.; da Silva Riberio, M.; Soares, S.E.; da Silva Bispo, E. Characterization of polyphenol oxidase in two cocoa (Theobroma cacao L.). Ciência Tecnol. Aliment. 2016, 36, 56–63. [Google Scholar] [CrossRef]
 - Fang, Y.; Li, R.; Chu, Z.; Zhu, K.; Gu, F.; Zhang, Y. Chemical and flavor profile changes of cocoa beans (Theobroma cacao L.) during primary fermentation. Food Sci. Nutr. 2020, 8, 4121–4133. [Google Scholar] [CrossRef]
 - Avendaño-Arrazate, C.H.; Campos-Rojas, E.; López-Palestina, C.U.; Martínez-Bolaños, M.; Caballero-Pérez, J.F.; Báez-Alonso, M.; Ariza-Flores, R.; Cadena-Iñiguez, J. Antioxidant activity in genotypes of Theobroma spp. (Malvaceae) in Mexico. Biol. Trop. 2021, 69, 507–523. [Google Scholar] [CrossRef]
 - Delgado-Ospina, J.; Di Mattia, C.D.; Paparella, A.; Mastrocola, D.; Martuscelli, M.; Chaves-Lopez, C. Effect of Fermentation, Drying and Roasting on Biogenic Amines and Other Biocompounds in Colombian Criollo Cocoa Beans and Shells. Foods 2020, 9, 520. [Google Scholar] [CrossRef]
 - Domínguez-Pérez, L.A.; Beltrán-Barrientos, L.M.; González-Córdova, A.F.; Hernández-Mendoza, A.; Vallejo-Cordoba, B. Artisanal cocoa bean fermentation: From cocoa bean proteins to bioactive peptides with potential health benefits. J. Funct. Foods 2020, 73, 104134. [Google Scholar] [CrossRef]
 - Kacuráková, M.; Capek, P.; Sasinková, V.; Wellner, N.; Ebringerová, A. FT-IR study of plant cell wall model compounds: Pectic polysaccharides and hemicelluloses. Carbohydr. Polym. 2000, 43, 195–203. [Google Scholar] [CrossRef]
 - Rucker, R. Chocolate: History, Culture, and Heritage, 1st ed.; John Wiley & Sons, Inc.: Hoboken, NJ, USA, 2009; pp. 943–946. [Google Scholar]
 - Ng, S.; Lasekan, O.; Muhammad, K.; Sulaiman, R.; Hussain, N. Effect of roasting conditions on color development and Fourier transform infrared spectroscopy (FTIR-ATR) analysis of Malaysian-grown tropical almond nuts (Terminalia catappa L.). Chem. Cent. J. 2014, 8, 55. [Google Scholar] [CrossRef] [PubMed]
 - Guillén, M.D.; Cabo, N. Usefulness of the Frequency Data of the Fourier Transform Infrared Spectra to Evaluate the Degree of Oxidation of Edible Oils. Agric. Food Chem. 1999, 47, 709–719. [Google Scholar] [CrossRef] [PubMed]
 - Movasaghi, Z.; Rehman, S.; Rehman, I. Fourier Transform Infrared (FTIR) Spectroscopy of Biological Tissues. Appl. Spectrosc. Rev. 2008, 43, 134–179. [Google Scholar] [CrossRef]
 - Lozada-García, M.C.; Soria-Arteche, O.; Jaramillo-Ortega, Y.L. Espectroscopia de Infrarrojo, Conceptos y Problemas, 1st ed.; Universidad Autόnoma Metropolitana-Xochimilco: Ciudad de Mexico, Mexico, 2013; pp. 73–79. [Google Scholar]
 







| Temperature (°C) | Moisture (%) | Energy Consumption (Wh) | SEC (kJ/kg) | ηe (%) | 
|---|---|---|---|---|
| 50 | 8.90 | 3471.50 | 24,469.51 | 9.73 | 
| 60 | 6.54 | 3388.30 | 23,218.35 | 10.15 | 
| 70 | 5.02 | 2791.00 | 18,947.30 | 12.31 | 
Disclaimer/Publisher’s Note: The statements, opinions and data contained in all publications are solely those of the individual author(s) and contributor(s) and not of MDPI and/or the editor(s). MDPI and/or the editor(s) disclaim responsibility for any injury to people or property resulting from any ideas, methods, instructions or products referred to in the content.  | 
© 2024 by the authors. Licensee MDPI, Basel, Switzerland. This article is an open access article distributed under the terms and conditions of the Creative Commons Attribution (CC BY) license (https://creativecommons.org/licenses/by/4.0/).
Share and Cite
Jiménez-Rodríguez, D.J.; García-Alamilla, P.; Márquez-Rocha, F.J.; Vázquez-Medina, R.; Carrera-Lanestosa, A.; González-Alejo, F.A.; Sánchez-Ramos, C.A.; Ruiz-Santiago, F.L. Temperature Effect of Cocoa (Theobroma cacao L.) Drying on Energy Consumption, Bioactive Composition and Vibrational Changes. Processes 2024, 12, 2523. https://doi.org/10.3390/pr12112523
Jiménez-Rodríguez DJ, García-Alamilla P, Márquez-Rocha FJ, Vázquez-Medina R, Carrera-Lanestosa A, González-Alejo FA, Sánchez-Ramos CA, Ruiz-Santiago FL. Temperature Effect of Cocoa (Theobroma cacao L.) Drying on Energy Consumption, Bioactive Composition and Vibrational Changes. Processes. 2024; 12(11):2523. https://doi.org/10.3390/pr12112523
Chicago/Turabian StyleJiménez-Rodríguez, David J., Pedro García-Alamilla, Facundo J. Márquez-Rocha, Rubén Vázquez-Medina, Areli Carrera-Lanestosa, Fanny A. González-Alejo, Carlos A. Sánchez-Ramos, and Franco L. Ruiz-Santiago. 2024. "Temperature Effect of Cocoa (Theobroma cacao L.) Drying on Energy Consumption, Bioactive Composition and Vibrational Changes" Processes 12, no. 11: 2523. https://doi.org/10.3390/pr12112523
APA StyleJiménez-Rodríguez, D. J., García-Alamilla, P., Márquez-Rocha, F. J., Vázquez-Medina, R., Carrera-Lanestosa, A., González-Alejo, F. A., Sánchez-Ramos, C. A., & Ruiz-Santiago, F. L. (2024). Temperature Effect of Cocoa (Theobroma cacao L.) Drying on Energy Consumption, Bioactive Composition and Vibrational Changes. Processes, 12(11), 2523. https://doi.org/10.3390/pr12112523
        
