You are currently viewing a new version of our website. To view the old version click .
Processes
  • Review
  • Open Access

8 October 2024

Sustainable Drilling Fluids: A Review of Nano-Additives for Improved Performance and Reduced Environmental Impact

,
,
,
,
,
,
,
and
1
Petroleum Engineering Department, College of Engineering, University of Kerbala, Karbala 56001, Iraq
2
Department of Mechanical Engineering, College of Engineering, University of Baghdad, Baghdad 10071, Iraq
3
Institute of Technology, Middle Technical University, Baghdad 32001, Iraq
4
Technical Institute of Baquba, Middle Technical University, Baquba 32001, Iraq
This article belongs to the Special Issue Advances in Renewable and Sustainable Engineering from the 5th International Conference on Sustainable Engineering Techniques

Abstract

The implication of nano-additives in drilling fluids introduces a promising avenue for enhancing sustainability in the oil and gas industry. By upgrading the properties of drilling fluids, nano-additives can contribute to mitigating the drilling costs, improving wellbore stability, and minimizing the environmental impact. For example, the use of nano-additives can diminish the amount of drilling fluid required, thus reducing the volume of waste generated. Also, nano-additives can enhance the efficacy of drilling operations, leading to reduced energy consumption and greenhouse gas emissions. This review researches the potential of nano-additives in enhancing sustainable drilling practices, emphasizing the environmental advantages and economic advantages associated with their usage. Specifically, this comprehensive review will elucidate the most recent developments in drilling fluids by evaluating the impact of nano-additives. Referring to the conclusions, adding nanoparticles to drilling fluids significantly improves their characteristics. At 0.2 parts per billion (ppb), for example, the yield stress increases by 36% and the plastic viscosity increases by 17%. In addition, the inclusion of nanoparticles at a concentration of 0.6 ppb led to a significant decrease of 60% in the loss of filtrate. The measured enhancements highlight the capacity of nano-additives to augment the properties of drilling fluid, necessitating additional investigation into their prospective applications for enhancing competitiveness in the gas and oil industry. This study methodically examines the effects of these breakthroughs on scientific, commercial, and industrial sectors. It intends to provide an inclusive understanding of the possible advantages of nano-additives in drilling operations.

1. Introduction

Addressing the possible risks associated with manufactured nanoparticles in drilling fluids (DFs) is necessary considering their widespread application across various industrial domains. Users who are exposed to this technology may have concerns about their health, safety, and the potential negative effects on the environment. Over the last 20 years, nanotechnology has also garnered great attention from the gas and oil sectors throughout the world. One potential use of nanotechnology in the gas and oil sector is the production of drilling muds containing microscopic solid particles. Minimal amounts of these particles have been shown to alleviate a number of issues, involving but not confined to increasing cutting transport, decreasing the force of friction between borehole wells and drill pipes and filtration of DF, altering rock wettability, preventing corrosion, and reinforcing borehole walls created through incompetent rocks sinking [1,2].
Nano-additives have demonstrated favorable outcomes in enhancing the characteristics of drilling fluids, namely in various sectors, such as gas and oil, cosmetics, electronics, biomedicine, and agriculture. Transferring drilling cuttings from the well’s bottom to the surface for disposal is a primary use of drilling fluids. To show whether the hole is being cleaned effectively, other terms, like cutting transport efficiency and hole cleaning efficiency, are used interchangeably. The density of the drilling fluid, rate of penetration, cutting density, hole size, cutting size, flow rate, pipe rotation, cutting shape, and other characteristics may all impact the cutting transport efficiency [3,4,5].
DF should have three characteristics: (1) it should be easy to use, (2) economical, and (3) safe for the environment. DF serves multiple purposes, including cleaning the well by lifting cuttings from the bottom to the surface, preventing caving by supporting the formation, maintaining well tightness, lubricating and cooling the tool, transferring hydraulic power to move the drill bit, and revealing details about the drilled formation’s characteristics through the process of lifting cuttings from the surface to the bottom [6].
At each step of the drilling process, one of three primary kinds of DFs—synthetic mud, water-based mud, or oil-based mud, is accessible and employed. Drilling operations often use water-based mud due to its lack of the other two types’ downsides, which include increased expense, environmental impact, disposal issues, and health and safety concerns [7]. The main ingredients of water-based mud are water and other additions, such as bentonite (montmorillonite clay). Pump ability and cutting carrying capacity are both improved by their high thinning viscosities and rheological characteristics [8]. Heats greater than 250 degrees Fahrenheit may affect montmorillonite clay [9]. The instability of shale, damage to the formation, poor mud cake properties, and high loss of fluid are some of the few drawbacks of using water-based drilling fluid [10]. As such, a process known as “filtration” occurs, which is the increased loss of fluid from the DF into the formation. In this regard, a reduction in overall capacity would be the result of the deposition of solids from the DF as a result of the pressure change between the wellbore pressure and formation pressure [11].
To enhance the filtration and rheological features of water-based DFs, a number of polymeric additives have been utilized, such as polyanionic cellulose (PAC) [12,13], hydroxyethyl cellulose (HEC) [14,15], carboxymethyl cellulose [16,17], acrylamide–styrene copolymer (SBASC) [18], partially hydrolyzed polyacrylamide (PHPA) [19], polyethylene glycol [20], low- and high-density polyethylene [21], etc. Consequently, the DF contains a diversity of nanoparticles to enhance its performance [22,23,24].
Vryzas and Kelessidis (2017) [25] provided a comprehensive review of the state of the art on the incorporation of nanoparticles into drilling fluids with the purpose of improving their rheological and filtration properties, in addition to enhancing the shale stability and strengthening the wellbore. This review discussed and critically evaluated a number of aspects, including the kind, size, and nanoparticle form, the volumetric concentration, the inclusion of various surfactants, and the introduction of an outer magnetic field. Referring to the findings of many investigations, nanoparticles (NPs) exhibited significant potential as an addition to drilling fluid for stern drilling.
Current innovations in the use and synthesis of NPs in DF systems were provided by Cheraghian (2021) [26]. NPs were analyzed for their functions in regulating fluid loss, thermal properties, filtration characteristics, and mud cake thickness. The related literature showed that there are two main reasons to embrace nanomaterials in drilling fluid: to augment the fluid’s thermal properties and to augment its mechanical–physical characteristics. In terms of thermal characteristics and HPHT settings, the results established that carbon NPs and metal NPs are appropriate conductors. The analytical results showed that NPs might be a greener choice than other materials for drilling fluid base applications.
Tahr et al. (2023) [27] inspected the investigations’ results and any gains made by utilizing the new materials in drilling fluids. A detailed review and comparison of current developments in drilling fluids was delivered by the researchers, who also sought appropriate groundbreaking materials that would increase the gas and oil industry’s competitiveness. As biodegradable materials, the filtration and rheological capabilities were indicated to be significantly improved by the powders of rice husk and pomegranate peel. Titanium oxide and nano-clay also significantly altered the drilling fluid’s characteristics. Therefore, these qualities may be enhanced, and the wellbore stability may be provided by combining these two unique materials—titanium and pomegranate peel.
In their assessment of nanotechnology’s role in drilling engineering, Martin et al. (2023) [28] focused attention on drilling fluids and the ecological issues surrounding their post-use disposal. The nanotechnology difficulties in the gas and oil industry, the price of NP mud fluids, and the destiny and behavior of nanoparticles were detailed by researchers, who also highlighted the hazards of nanotechnology’s toxicity to people, ecosystems, and the environment. Since this field is still in the early stages of industrial-scale development, more data about the dangers of nanomaterials to the human body are required. The results demonstrated that these substances might induce long-term disorders that would show up in the body years after they infiltrate human organs. In addition to their great penetration into human skin and propensity to induce new illnesses, these particles may readily disperse throughout the environment and persist in soil, water, and the air for long periods.
It is still necessary to critically evaluate the thermal properties and interpretation characteristics of these modified drilling fluids, in addition to assessing their feasibility and practicality for real-world applications, even though there have been several review studies on the application of nano-additives to enhance DF properties. Continuing from this introduction and the review studies that came before it, this study will examine the most current research published between 2019 and 2024 to evaluate the progress made in using nano-additives to promote the characteristics of DFs. Thus, it is reasonable to assume that this study will provide state-of-the-art information on drilling fluids that use nano-additive technology. More sustainable and environmentally friendly energy solutions may be possible as a result of this review, which summarizes recent research that intended to enhance the characteristics of drilling fluids. Interestingly, this review aims to consolidate diverse findings, identify knowledge gaps, and offer new insights into the application of nano-additives for enhancing drilling fluid properties. The significance of this review lies in its capacity to highlight specific counted enhancements in rheological features, such as enlarged plastic viscosity and yield stress, while also underlining the potential advantages of nano-additives for augmenting competitiveness in the gas and oil sector and improving environmental sustainability. By bridging the gap between research outcomes and practical applications, this review offers a unique viewpoint on the utilization of nano-additives in drilling fluids, pointing out to advance their implementation in the industry.

2. Nano-Additives for Improving Drilling Fluid Properties

Nowadays, NPs have their features enhanced using nanotechnology. This is attributed to the fact that the size and shape of nanomaterials, which are impacted by their interaction with mud components, affect their ability to improve fluid performance [29,30,31,32]. Drilling fluid has many uses, including stabilizing the wellbore, decreasing formation damage, and avoiding drill cuttings. Any of these tasks can be achieved by adding nanomaterials to drilling fluids [33]. Using NPs with uncommon properties, including a large surface area and strong thermal conductivity, may lessen drilling fluid difficulties. Using NPs in drilling fluids has several key advantages, including reducing mud cake and fluid loss, improving heat transmission, lubrication, and rheological characteristics, like viscosity, and eliminating hazardous compounds [26]. Multiple researchers have investigated the potential of NPs as an addition to DF.

2.1. Impact of Nanoparticles on Rheological Characteristics

Hajiabadi et al. (2019) [34] observed the rheological behaviors of inverted oil emulsions (W/O), a drilling fluid often used in the gas and oil sector, with a focus on the integration of carbon-based nanomaterials. Famous rheological models, like the model of Carreau, were developed to create and evaluate W/O fluid samples using a diversity of modified multi-walled carbon nanotube (MWCNT) additions over a temperature range. The conclusions established that the nanomaterial additions expressively boost the crucial rheological characteristics and that the behaviors of the DF samples match Carreau’s model well. The differential pressure profiles obtained by injecting the prepared DFs and then damaging the core are presented in Figure 1. The base fluid exhibits a smooth trend, whereas the NDF-3 and NDF-1 samples have a sharp one. Injecting around five pore volumes of the base fluid resulted in 87 psi on the gage, but testing with nanofluids was halted after just one pore volume injection due to an abrupt and significant increase in pressure over the apparatus safety boundary.
Figure 1. Differential pressure against pore volume injected via core samples (NDF-1, NDF-2, and NDF-3, with 2, 4, and 6 g of 500 mg dispersed POCNT in 80 mL of deionized water) [34] (Reproduced with permission from Journal of Petroleum Science and Engineering by Elsevier, Amsterdam, The Netherlands, 2024; Order Number: 586027021288.5).

2.2. Impact of Nanoparticles on Hole Cleaning

Traditional water-based drilling fluids typically consist of a base fluid, additives, and weighting materials to achieve desired properties, such as density and viscosity. These fluids are frequently utilized in drilling operations due to their cost-efficiency and compatibility with a wide range of geological formations. There are a number of successful implementations of nano-additives in drilling fluids in real-world drilling operations. For instance, oil and gas companies used a nano-clay additive in a deep-water drilling operation. The nano-clay has expressively enhanced the rheological properties of the drilling fluid and thermal stability, while decreasing the torque and drag and enhancing hole cleaning efficiency [35]. Nanoparticles increase the ability of colloids to interact with cuttings, resulting in more efficient cuttings transport compared to conventional water-based drilling fluids. Furthermore, the use of nano-diamonds can enhance the lubricity of the drilling fluid, reducing friction and wear on the drill bit [36]. The utilization of nanosilica additive in a high-temperature drilling operation can enhance the thermal stability of the drilling fluid, with permitting to withstand temperatures up to 250 °C. This in turn has enabled researchers to drill deeper wells and access new geothermal resources [37]. The researchers intend to introduce a full description of the advantages and performance enhancements offered by nano-enhanced DFs in a comparison against the regular formulations by highlighting these differences.
The efficiency of drilling fluids containing nano-silica in cleaning holes during directional drilling operations was considered by Boyou et al. (2019) [38]. To mimic drilling conditions in a wellbore, a system of flow loops with variable rotational speeds (0 and 150 rpm) was suggested. The cuttings removal execution of nano-enhanced DFs was compared against the traditional water-based DFs. In every experiment, the addition of silica nanoparticles improved the efficiency of cuttings transport. The results showed that several nano-enhanced water-based DFs improved cuttings’ transit efficiency by 30.8% to 44% due to increased colloidal interactions with cuttings caused by nano-silica in the mud. The use of nano-silica in water-based DFs has shown potential for extended-reach drilling operations, as it improved the hole cleaning process. Figure 2 shows a comparison of the CTEs at crucial angles as a function of pipe rotation. The results demonstrate that the CTEs were improved by 18.4% and 25.4%, respectively, when the pipe was rotated with DFs containing the optimal densities and concentrations of nano-silica of 12 and 9 ppg, respectively.
Figure 2. Mud with optimal nano-silica content and pipe rotation of 150 rpm improves CTE for cuttings sizes 1.40–1.69 mm in (a), 1.70–1.99 mm in (b), 2.00–2.79 mm in (c), and 2.80–4.00 mm in (d) at critical angles [38] (Reproduced with permission from Journal of Petroleum Science and Engineering by Elsevier, Amsterdam, The Netherlands, 2024; Order Number: 586027057598.9).

2.3. Impact of Nanoparticles on Filtration

The findings of drilling fluid filtration via a porous media with varying permeabilities, including silicon oxide nanoparticles, were given by Minakov et al. (2019) [39]. The examined fluid samples were first modeled after a water-based clay suspension. A dispersed phase made of aluminum nitride (AlN) particles was used. The microparticle size ranged from 1 to 10 μm, and their concentration ranged from 0.5 to 4.00 wt.%. The size of the SiO2 nanoparticles ranged from 5 to 100 nm, and their concentration was adjusted between 0.25 and 4.00 wt.%. Findings indicate that nanoparticle size, concentration, substance, microparticle size and concentration, and ceramic filter pore diameters all have a role in the filtering of DFs, including nanoparticles. Adding nanoparticles to a micro-suspension drastically decreases its filtering capacity and changes the shape and cake thickness of those forms on the filter’s surface. In addition to the the size and concentration of the nanoparticles, the DF’s microparticle characteristics and the rock’s pore size are the other factors that determine the additive’s beneficial impact on filtration losses. The filtering loss is shown depending on the microparticle average size to filter average pore size ratio. Figure 3 shows that the least loss of filtration, in the nanoparticle’s absence, corresponds to a ratio of 0.36 between the diameters of the particles and the pores.
Figure 3. Loss of filtration for DF containing SiO2 nanoparticles 5 nm in size at 2 wt.% depends on the ratio of the AlN microparticle size at 2 wt.% to the filter’s average pore size, determined by mercury [39] (Reproduced with permission from Journal of Natural Gas Science and Engineering by Elsevier, Amsterdam, The Netherlands, 2024; Order Number: 586027090281.7).
While higher concentrations of nano-additives can indeed improve filtration loss control up to a certain point, excessive concentrations may lead to diminishing returns or even counterproductive effects. This phenomenon is likely due to such factors as the agglomeration of nanoparticles, increased viscosity of the drilling fluid, and potential interactions between the nano-additives and other components of the fluid. The particle size of nano-additives also plays a crucial role in their effectiveness. Smaller particles are generally more effective in bridging pores and reducing filtration due to their increased surface area and better penetration into the porous formation. However, the optimal particle size may vary depending on the specific type of nano-additive and the nature of the formation being drilled.
The critical concentration at which the benefits of nano-additives plateau or diminish can vary significantly depending on the specific type of nano-additive being used. The critical concentration for nano-additives will depend on such factors as their particle size, surface chemistry, and interactions with other components of the drilling fluid. It is essential to conduct thorough testing and optimization to determine the optimal concentration for a specific nano-additive and drilling application.

2.4. Impact of Nanoparticles on Rheology

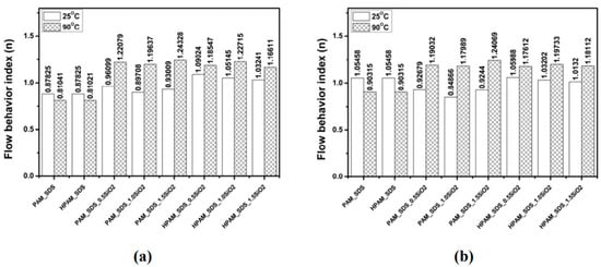
Polyacrylamide (PAM), sodium dodecyl sulfate (SDS), and different quantities of silicon dioxide, an anionic nanoparticle, were studied in a complicated aqueous solution by Inturi et al. (2019) [40]. The impacts of various concentrations of silica NPs on the fluid’s rheological characteristics are investigated at a known concentration of surfactant and polymer. We studied both hydrated and unhydrated polyacrylamide solutions at a temperature close to 90 °C to determine the impact of the polymer’s thermal stability. When NPs are added to a fluid at low velocity, the viscosity of the fluid is found to be two orders of quantity lower. Nevertheless, because of the intricate structure, including the particle, surfactant and polymer, the fluid exhibited shear-thickening characteristics. The interaction of ionic charges, which causes complex structures to develop in hydrated polymers, has a significant impact on the fluid’s viscosity. Figure 4 shows how the complex structure of the SP slug, including silica NPs, changes the flow behavioral characteristics.
Figure 4. (a) Flow index of behavior values at (a) 25 °C and (b) 90 °C [40] (Reproduced with permission from Materials Today: Proceedings by Elsevier, Amsterdam, The Netherlands, 2024; Order Number: 586027114868.6).

2.5. Impact of Nanoparticle Type on Viscosity

The effect of the particle size of glass spheres and polymers, barite, and calcite on the apparent viscosity of suspensions was studied by Nascimento et al. (2019) [41]. Xanthan gum (XG) and carboxymethyl cellulose (CMC) were dissolved in water and applied as viscosifying agents. The zeta potential, microstructure, and rheological properties of the suspensions were investigated. The shear stress values were greater in the suspensions containing small material particles. With CMC polymer, the viscosity was enhanced more markedly than with XG, and the solid effect took a back seat to the polymer chain feature.
In contrast to calcite suspensions, which exposed a larger electrostatic interaction with polymers, glass and barite sphere suspensions had larger zeta potentials and lower shear stress values. The ANOVA analysis was used to conduct statistical tests, and the results were assured within a 95% confidence level. Referring to the statistical tests, the shear stress values were expressively impacted by the polymer, the distribution of the particle sizes, and the chemical features of the solids.

2.6. Impact of Copper Oxide/Polyacrylamide Nanocomposite on Thermal Properties

The experimental results of using a copper oxide/polyacrylamide nanocomposite as an addition to water-based DF were delivered by Saboori et al. (2019) [42]. The solution polymerization method was used to generate the nanocomposite, which was then reflected by dynamic light scattering, Fourier transform infrared spectroscopy, and field emission scanning electron microscopy. The rheological, filtration, and thermal conductivity improvements for both salty and deionized water were calculated using developed methods after adding the synthesized nanocomposite to water-based DF at variable concentrations. DF viscosity was found to have significantly improved. Both the amount of fluid filtration (fluid loss) and the filter cake thickness were decreased. Filter cakes enhanced with nanocomposite addition are smoother and less porous. In terms of filtration and rheological characteristics, the nanocomposite addition performed better in deionized water-based DF; however, in salty water, it enhanced thermal conductivity more than in the deionized base DF. Compared to the water-based DF without nanocomposite, the filter cake thickness decreases by 3.7 to 69.14%, and fluid loss decreases by 2.4 to 63.27% as the nanocomposite concentrations increase, as shown in Figure 5 and Figure 6, respectively. The enhanced performance of the nanocomposite in deionized water-based DF can be attributed to the absence of ions and impurities that may interfere with the interactions between the nanoparticles and the fluid components.
Figure 5. Nanocomposite and filter cake thickness [42] (Reproduced with permission from Powder Technology by Elsevier, Amsterdam, The Netherlands, 2024; Order Number: 586034077227.8).
Figure 6. Nanocomposite concentration and fluid loss [42] (Reproduced with permission from Powder Technology by Elsevier, Amsterdam, The Netherlands, 2024; Order Number: 586034077227.8).
In contrast, in salty water, the presence of ions can lead to changes in the colloidal stability of the nanocomposite, affecting its rheological and filtration properties. However, the enhanced thermal conductivity in salty water may be due to the interactions between the nanoparticles and the salt ions, leading to improved heat transfer properties. By elucidating these scientific mechanisms, the authors aim to provide a deeper understanding of how the composition of the fluid medium influences the performance of nanocomposite additives in drilling fluids.

2.7. Impact of BiFeO3 Nanoparticles on Various Properties

Along with polymeric additives, such as bentonite, Perween et al. (2019) [43] created a BiFeO3 (BFO) NP using non-aqueous wet chemical procedures. The nanoparticle was then used as an addition for water-based mud. The mud’s qualities were enhanced because BFO nanoparticles were compatible with clay. When nanoparticles interacted with clay and polymers, the fluid loss of apparent viscosity, API, yield point, and plastic viscosity improved. There was a 35% reduction in API filtrate loss at 20 °C prior to hot rolling and a 25% increase in AV, PV, and YP when the nanoparticle concentration was increased from 0% to 0.30 w/v%. Unlike mud devoid of nanoparticles, these characteristics were preserved even after being hot-rolled at 110 °C. The drilling fluid was made more thermally stable by adding nanoparticles and bentonite platelets.

2.8. Impact of CuO and ZnO Nanoparticles on Filtration and Rheology

At 25 °C, 50 °C, and 80 °C, as well as at 100 °C and 500 psi, Dejtaradon et al. (2019) [44] investigated the impacts of varying concentrations of CuO and ZnO NP additions on the filtration and rheological characteristics of a water-based DF. Nanofluids containing CuO and ZnO nanoparticles with concentrations ranging from 0.1 to 1 wt.% were created and then added as additives (1 vol.%) to water-based base DFs that had already been prepared. Both nanoparticle-based DFs outperformed the base fluid in terms of rheological parameters; however, ZnO performed better in general than CuO. DFs containing NP were indicated to be more stable when heated to greater temperatures. Filtration investigations achieved at high temperature and pressure (100 °C and 500 psi) and elaborated that 0.8 wt.% CuO NPs can reduce the filtration loss by 30.2%. However, 0.8 wt.% ZnO nanoparticles can reduce the filtration loss by 18.6%. The thickness of the mud cake was similarly reduced while using the CuO (27.6% reduction) and ZnO (24.6% reduction) NP fluids as compared to the base fluid. These conclusions showed that nanoparticles of zinc oxide and copper oxide can enhance the features of drilling fluids that include water and have the possibility to be employed as an addition for high-efficiency filtration loss.

2.9. Impact of Biopolymer/Nanoparticle Combination on Rheology, Filtration, and Lubrication

An innovative drilling fluid with enhanced rheological, filtration, and lubricating capacities was presented by Al-Yasiri et al. (2019) [45] using a biopolymer/nanoparticle combination to improve the interpretation of a water-based mud (WBM) formulation. Due to the complementary features of nanoparticles and the polymer, the xanthan gum–SiO2 combination has the potential to solve operational problems in drilling operations. The innovative nanofluids were studied using thermal–gravimetric analysis, FTIR, X-ray diffraction, and SEM. The adapted drilling fluids improved upon the usual WBM formulations in many areas, comprising bit lubrication, filtrate loss, hole cleaning, and yield point. Current drilling fluids may be substantially enhanced with the help of nanoparticles if they are designed correctly. Figure 7 shows that the filtrate volume is reduced by both xanthan gum and the use of SiO2 NPs, although the latter has a smaller percentage reduction than the former.
Figure 7. Sample drilling fluid filtrates [45] (Reproduced with permission from Journal of Petroleum Science and Engineering by Elsevier, Amsterdam, The Netherlands, 2024; Order Number: 586034129294.7).
The impact of laponite NPs on the DF’s thermal stability was investigated by Huang et al. (2019) [46]. Radical polymerization of diallyl dimethylammonium chloride, 2-acrylamido-2-methylpropane sulfonic acid, and acrylamide monomers was used to create a terpolymer (AAD) first. At high temperatures, the onset viscosities and decomposition temperature of the AAD terpolymer were both enhanced by the inclusion of laponite nanoparticles, as shown by high-temperature, high-pressure (HTHP) rheology and thermogravimetric analysis (TGA), respectively. The next step was to mix AAD and laponite with water to create drilling fluids, which were then aged at various temperatures. This is because the ADD terpolymer’s functional groups interact strongly with laponite, which causes the DFs containing laponite to have a much greater viscosity than those without laponite.

3. Optimizing Drilling Fluids with Nanomaterials

The oil and gas industry constantly pushes the boundaries of wellbore exploration, encountering increasingly complex and demanding environments. Traditional drilling fluids often have a specific barrier to meet the challenges commensurate with these severe circumstances, leading to problems, like wellbore instability, formation damage, and compromised wellbore integrity. Accordingly, nanotechnology emerges as a game-changer, offering a radical method to optimize drilling fluids.
Concerns have been expressed over the possible long-term environmental hazards associated with the usage of nanoparticle additions in drilling fluids. The hazards encompass certain factors, such as persistence, bioaccumulation, toxicity, and interactions with other pollutants. The precise characteristics of the nanoparticle, the methods by which it is released, and the surrounding environmental circumstances can impact the magnitude of these hazards.
A lifecycle assessment (LCA) is a thorough methodology used to systematically examine the environmental consequences of items and activities over their whole lifespan. The assessment of environmental concerns associated with nanoparticle additions in drilling fluids may be conducted by taking into account several aspects, including raw material extraction, nanoparticle production, drilling fluid formulation, drilling operations, and waste management. A comprehensive lifecycle assessment (LCA) enables the identification of significant environmental hotspots and the formulation of risk mitigation strategies.
Via nanoparticle integration, i.e., the integration of materials with at least one dimension in the nanometer range (billionths of a meter) into drilling fluids, the researchers revealed a new level of control and performance. These tiny particles have exceptional structures due to their high surface area and interaction with other molecules. When intentionally added to drilling fluids, they can significantly enhance many crucial features. For instance, nanoparticles can improve the rheology (flow behavior) of drilling fluids, leading to better wellbore cleaning and hole stability. In this aspect, nanoparticles can act as nano-lubricants, which enable researchers to reduce the friction between the drilling fluid and the wellbore walls. Indeed, the addition of nanoparticles can upgrade the fluid’s viscosity and shear thinning characteristics, which enables researchers to improve the flow behavior and hole cleaning efficiency. Accordingly, this lessens the torque and drag on the drill string, which can lead to faster drilling rates and lower energy consumption. Also, they can act as well-organized filtration control agents, diminishing fluid loss into the formation and stopping formation damage. Specifically, the nanoparticles can act as bridge agents while plugging formation pores and mitigating fluid invasion. Furthermore, specific nanoparticles offer directed functionalities, such as shale inhibition, thermal stability improvement, and even wellbore clean-up capabilities. For instance, specific types of nanoparticles can interact with clay particles in shale formations, which in turn inhibit them from swelling and dispersing. As research in this field continues to progress, the potential of nanomaterials to revolutionize drilling fluids and unlock new prospects in wellbore exploration is enormous.

3.1. Modified Nanomaterials for Enhanced Drilling Fluid Performance

Multiwall carbon nanotubes (MWCNTs) were modified to increase their salt tolerance and thermal stability by Ma et al. (2020) [47]. An anionic polymer was functionalized onto MWCNTs utilizing the surface-initiated atom transfer radical polymerization (SI-ATRP) method. Two composites, namely MWCNTs-g-SPMA-2 and MWCNTs-g-SPMA-1, were generated by amending the monomer-to-initiator ratio. After 60 days of room temperature storage, both were systematically mixed with standard API brine and saturated brine (2 wt.% CaCl2 + 8 wt.% NaCl). The modified MWCNTs also remained stable in a slightly alkaline environment and after 24 h at 170 °C. Referring to the following experiments, water-based drilling fluids using MWCNTs-g-SPMA-2 as a nano-plugging additive demonstrated greater plugging performance. To attain a plugging efficiency of 50.96%, a small quantity of 0.3 wt.% MWCNTs-g-SPMA-2 was added.
Zhong et al. (2020) [48] evaluated modified nanoparticles using FTIR, distribution of particle size, TGA, TEM, and zeta potential. The modified nanoparticles were positively charged and dispersed better in water than clean nano-silica particles. The modified nanoparticle’s shale stabilizing performance was assessed using linear swelling and shale cutting hot-rolling dispersion as pressure transmission and spontaneous imbibition tests, and chemical inhibitive tests as physical plugging tests. The modified nanoparticles demonstrated physical plugging and chemical inhibition, whereas nano-silica revealed very minimal physical plugging. The grafted hyperbranched polymer significantly adsorbed onto the clay surface via hydrogen bonding and electrostatic contact, inhibiting shale swelling and hydration. The negative charge of nano-silica particles in the dispersion kept its zeta potential constant regardless of concentration, as seen in Figure 8.
Figure 8. HPEI and nanoparticles affect sample dispersions’ zeta potential [48] (Reproduced with permission from Journal of Natural Gas Science and Engineering by Elsevier, Amsterdam, The Netherlands, 2024; Order Number: 586035001894.6).
To enhance the plugging effectiveness of oil-based DF (OBDF) in shale formations, Li et al. (2020) [49] employed the continuous emulsion polymerization process to create a styrene–butadiene resin/nano-SiO2 (SBR/SiO2) composite. This composite was then used as a plugging agent for OBDF. Thermal stability, Fourier transform infrared spectroscopy, and SEM were used to characterize SBR/SiO2. Inferred from the data, the SBR/SiO2 structure seems to be as expected. The findings showed that SBR/SiO2 may be distributed in both mineral oil and water at the same time, which is not the case for most conventional OBDF plugging agents. Because OBDF is an emulsion of water and oil, the plugging agents work best when distributed in two continuous stages. The findings show that SBR/SiO2 may penetrate shale formation nanopores, reducing fluid invasion and enhancing wellbore stability. Figure 9 shows that the downstream pressure of 1#OBDF reached 12 MPa in 2.5 h, verifying that 1#OBDF cannot fill shale pores in the presence of plugging agents. These conventional plugging agents typically display imperfect compatibility with both mineral oil and water, leading to challenges in accomplishing uniform distribution and operative plugging in OBDF systems. On the other hand, the results pointed out that the SBR/SiO2 composite can exhibit superior properties that permit it to be distributed in both mineral oil and water phases concurrently. This dual-phase compatibility of SBR/SiO2 improves its efficiency as a plugging agent in OBDF by guaranteeing uniform distribution and upgraded plugging efficiency across both phases. By expanding on these conventional observations with OBDF plugging agents, the researchers intend to underscore the groundbreaking nature of the SBR/SiO2 composite and its potential to reduce the limitations associated with traditional plugging agents in OBDF systems.
Figure 9. Time-dependent downstream pressure fluctuations of 1#OBDF with various plugging agents [49] (Reproduced with permission from Colloids and Surfaces A: Physicochemical and Engineering Aspects by Elsevier, Amsterdam, The Netherlands, 2024; Order Number: 586035022417.6).

3.2. Shale, Sustainability, and Thermal Stability

As a multi-purpose ingredient in oil-based DFs (OBMs), Jiang et al. (2020) [50] developed the super-amphiphobic nanofluid (SAN). The investigation was achieved to characterize the features of SAN and observe its impact on OBMs. The results showed that SAN may form a micro-nano structure due to its spherical shape and around 100 nm diameter. Super-amphiphobic shale surface wettability, reduced filtration volume of OBMs, decreased spontaneous imbibition, and maintained shale core compressive strength are all conceivable results of SAN’s unique particle surface structure and functional groups (perfluorooctyl). It was formerly believed that OBMs equipped with SAN may be used for the drilling of unconventional gas and oil reservoir wells, thanks to their high degree of stability and the fact that they would allow less liquid to permeate the pores of shale. This improved the emulsion’s stability while keeping the wellbore intact. Figure 10 displays the results, showing that SAN with super-amphiphobic and nano-diameter particle properties could successfully block liquid from entering the shale core.
Figure 10. The impact of additives on capillary (a) liquid level inside the capillary and (b) capillary extra pressure [50] (Reproduced with permission from Colloids and Surfaces A: Physicochemical and Engineering Aspects by Elsevier, Amsterdam, The Netherlands, 2024; Order Number: 586035052693.6).
Moraveji et al. (2020) [51] developed a sustainable glycol-based DF to replace oil-based ones. First, rice husks are used to make amorphous silica nanoparticles (12, 22, and 54 nm). Water-dispersed nanoparticles are added to glycol-based mud as a liquid addition. Finally, silica NP’s effects on glycol drilling fluid rheology, filtration, and shale stability are examined. Silica nanoparticles increase glycol drilling fluid rheology. This improvement depends on nanoparticle quantity and size. Silica nanoparticles reduce fluid loss and improve drilling fluid thermal stability. Silica nanoparticles may also seal Gurpi shale nanoscale pores, boosting cutting recovery and lowering glycol drilling fluid penetration. Figure 11 compares nano-based drilling fluid invasion mitigation factors. The base glycol DF’s downstream pressure equals the upstream pressure after the test.
Figure 11. A comparison of nano-based drilling fluids shows that fluid invasion decreases [51] (Reproduced with permission from International Communications in Heat and Mass Transfer by Elsevier, Amsterdam, The Netherlands, 2024; Order Number: 586035077878.2).
Beg et al. (2020) [11] examined how TiO2 nanoparticles affected drilling fluid thermal stability in two polyanionic cellulose and hydroxyethyl cellulose mud systems. In a roller oven, drilling fluids were rolled at 110 °C at 30 rpm for 16 h to mimic the environment of the wellbore. In DFP3, hot rolling decreased AV at 25 °C by ~34% without nanoparticles and by ~15% with them. The percentage drop in AV at 25 °C owing to aging was ~24% for DFH3 and ~16% for DFHN (1.0 w/v% HEC and 0.5 w/v% TiO2). Nanoparticles made drilling fluids thermally resistant in rheology and filtration. In Figure 12, TiO2 nanoparticles strengthened the thermal stability of API FL, which did not rise dramatically owing to hot rolling, unlike the mud samples without nanoparticles.
Figure 12. API filtrate loss of TiO2 nanoparticle-based drilling mixtures before and after 110 °C and 100 psi hot rolling [11] (Reproduced with permission from Upstream Oil and Gas Technology by Elsevier, Amsterdam, The Netherlands, 2024; Order Number: 586035101908.8).

3.3. Formation Protection and Enhanced Efficiency

Hajiabadi et al. (2020) [52] modified nanosilica particles with 3-glycidoxypropyl-triethoxy silane (GPTS) and mixed GPTS and propyl silane to change their hydrophilicity. Researchers showed that surface modification of NPs may improve rheology and reduce formation damage depending on the functionalized group and NP size. Due to weak particle aggregation, surface changes were effective below 1 wt.% NPs. Plastic viscosity decreased with rising temperature due to continuous phase viscosity decrease. The yield stress exhibited greater variation with temperature due to the increased temperature sensitivity of interactions between drilling fluid components. Chemically modified NPs have caused a sharp increase in pressure, possibly due to the formation of an external impermeable barrier or internal core damage, such as a filter cake on the core face, as shown in Figure 13. The base drilling fluid has only a slight pressure increase (around 456 psi).
Figure 13. Coreflood experiments: differential pressures vs. pore volume injected via core samples [52] (Reproduced with permission from Journal of Petroleum Science and Engineering by Elsevier, Amsterdam, The Netherlands, 2024; Order Number: 586035124004.2).
Gudarzifar et al. (2020) [53] synthesized GONP, PAM, and GO/PAM nanocomposites with varying GONP loading (0.5, 1, 1.5, and 2 wt.% in proportional with monomer weight) as drilling-fluid additives using solution polymerization in aqueous systems. Researchers examined the effects of adding GONPs, PAM, and GO/PAM nanocomposites to water-based DF (WBDF) on the rheological properties before and after hot rolling, as well as filtration properties at low and high temperature and pressure (HPHT and LPLT), pH and mud weight, and thermal conductivity compared to WBDF. Figure 14 shows that WBDF with the GONP/PAM nanocomposite has better thermal conductivity than pure PAM.
Figure 14. Additive concentration affects thermal conductivity enhancement [53] (Reproduced with permission from Powder Technology by Elsevier, Amsterdam, The Netherlands, 2024; Order Number: 586035146305.2).
At 30, 60, and 80 °C, Medhi et al. (2020) [54] studied and measured the performance improvement of NDDF with the addition of zirconium oxide (ZrO2) NPs. The influence of ZrO2 NPs on NDDF characteristics has been studied at various concentrations (0.5, 0.8, and 1 wt.%). The results of the viscoelastic measures and steady-state rotational tests showed that the thermal stability of the solution improved with 1 wt.% ZrO2 NP NDDF, particularly with regard to elasticity and viscosity, and with very little filtrate loss. The inclusion of ZrO2 NPs also improved the capacity to restore structural strength. The rheological data were used to signify and enhance the Herschel–Bulkley (HB) parameters, which were then used in the CFD study. The maximum cutting carrying capacity was found to be with 1 wt.% ZrO2 NP NDDF, as depicted by the CFD simulation findings when contrasted with 0 wt.% (the base), 0.5 wt.%, and 0.8 wt.% ZrO2 NP NDDF. Figure 15 elucidates that at 689 kPa (100 psi) and 1378 kPa (200 psi) differential pressure, the fluid loss volume is lowest for 1 wt.% ZrO2 NP NDDF.
Figure 15. Various ZrO2 NP NDDF filter loss volumes vs. time: NDDF is the ZrO2 NP-free base. 0.5 wt.% ZrO2 NP NDDF, etc. [54] (Reproduced with permission from Journal of Petroleum Science and Engineering by Elsevier, Amsterdam, The Netherlands, 2024; Order Number: 586036018772.6).

3.4. Formation Damage Assessment

Plugging the nano-sized holes, constraining water incursion into shale, and avoiding shale clay minerals from swelling were all attained by the application of graphene oxide (GO) by Wang et al. (2020) [55]. The graphene oxide (GO) was treated and studied using imaging microscopy, X-ray diffraction (XRD), and FTIR. To systematically weigh the protection of GO sheets on shale, a battery of tests, including uniaxial compressive strength, linear swelling, imbibition, and filtration, were accomplished. At the same time, the GO was compared to nano-silica and other extensively used shale inhibitors. While compared to the generally used inhibitors, GO presented better performance in preventing swelling of clay minerals, sealing holes of nano- and micron sizes, restraining water invasion into the interior of the shale core, and maintaining shale strength.
In addition to water-based DF, Kamali et al. (2021) [56] presented the impacts of Fe3O4-carboxymethyl cellulose (CMC) nanocomposite on filtration and rheological properties. The characterization of the nanocomposite was carried out using energy dispersive X-ray, SEM, FTIR, X-ray diffraction, and the co-precipitation method of synthesis. The filtration and rheological characteristics of the deionized and salty water-containing drilling fluids were then tested after adding nanocomposite at varying ratios. There was a notable reduction in filtering volume and cake thickness, as well as a significant improvement in viscosity, when 57% of a 1:3 Fe3O4-CMC nanocomposite ratio was added to basic DF. As shown in Figure 16, the use of Fe3O4-CMC NC as a rheology modifier has clear advantages over using pure CMC, as the thickness of filter cake decreases to 64% in its presence compared to a 48% increase in the presence of pure CMC (Figure 16a).
Figure 16. Mud cake thickness of (a) pure CMC, (b) 1:6, (c) 1:4, and (d) 1:3 Fe3O4-CMC ratio NC [56] (Reproduced with permission from Journal of Petroleum Science and Engineering by Elsevier, Amsterdam, The Netherlands, 2024; Order Number: 586036042011.8).
Because of the differences in their specifications, Hassanzadeh et al. (2021) [57] investigated how alpha and gamma alumina nanoparticles affected the stability of shale and clay. Analysis of recovered shale samples using SEM, XRD, EDAX, and AFM revealed that the mean size of the alpha alumina NPs covering the shale surface and its pores ranges from 25 to 35 nm, while the mean size of the gamma alumina NPs ranges from 20 to 30 nm. Furthermore, compared to the nano-gamma nano-sample, the shale sample retrieved by nano-alpha shows a higher percentage of remaining porosity. In addition, the EDAX findings show that the recovered shale is coated with an appropriate nano-gamma alumina. This study used five different kinds of drilling fluid in an experiment that did not include the inhibitor salt potassium chloride. It follows that the optimal sample is the water-based DF with a nano-gamma alumina content of less than 1%wt. Shale and other ion-containing formations are often more stable when alumina nanoparticles are present.
Graphene oxide (GO) shows greater performance in terms of formation damage evaluation by effectively avoiding the swelling of clay minerals through its high surface area and adsorption capacity, which allow it to cooperate with clay surfaces and constrain water uptake. Moreover, GO’s two-dimensional structure qualifies it to seal nano- and micron-sized holes in shale formations more excellently than traditional inhibitors, thus reducing fluid invasion into the shale core. Also, the robust interfacial interactions between GO and shale surfaces donate to the retention of shale strength by creating a protective barrier that boosts mechanical stability. By illuminating these mechanisms, the researchers intend to offer a comprehensive description of how GO outperforms traditional inhibitors in modifying formation damage and refining shale integrity. Hajiabadi et al. (2021) [58] studied the impact of three distinct GO-based nanomaterials on the following invert emulsion drilling fluids: GO, Cu(II) salen, and Cu(II) salen@GO. A series of core flooding tests, computed tomography studies, electrical conductivity measurements, and wettability-based investigations were utilized to evaluate the corresponding formation damage on a subset of carbonate samples. While the Casson model provided the closest match to the data, it was obvious that the nano-additives used had no effect on diminishing the penetration depth. There was an obvious drop in the contact angle of over 20% in carbonate samples and 35% in sandstone samples treated with Cu(II) salen@GO additives, indicating that these additives can fix the wettability alteration problems. Adding Cu(II) salen and Cu(II) salen@GO to drilling fluid samples also improved their electrical conductivity by about 33%.

3.5. Sustainable and Targeted

When discussing the possibility of exploring the reservoirs in the Upper Assam Basins, Dutta and Das (2021) [59] focused on two angles: the NP’s high cost and improving the characteristics of the DF. Iron oxide NPs were synthesized via a chemical reduction process using a UV spectrophotometer and a particle size analyzer. The filtration and rheological characteristics of the NDF were studied by adding iron oxide NPs at concentrations ranging from 5 wt.% to 40 wt.%. This study details the development of a smart DF that uses NPs exclusively in place of other commercial additives. Due to real-time feasibility and economic considerations, NDF has not been used in the reservoirs of the Upper Assam Basins so far. Along with revealing the several reasons why NDF is compatible with these reservoirs, the study also brings attention to the practical constraints that were experienced while the mud was being prepared and used in the field. According to the research, a modest quantity of iron oxide NPs significantly improved the NDF’s rheology. The viscosifying properties of iron oxide NPs efficiently addressed differential sticking, poor ROP, and high ECD.
To combat the exorbitant costs associated with nanomaterial supplementation, Mirzaasadi et al. (2021) [60] developed a straightforward technique for synthesizing nanoparticles from rice husks (RHs), a byproduct of the agricultural sector. Nanoparticles of amorphous silica oxide (SiO2) were, therefore, produced in two ways: first, by avoiding chemical materials altogether (NPS), and second, by subjecting the material to a chemical treatment (NPT). The researchers utilized X-ray fluorescence (XRF) and field emission scanning electron microscopy (FESEM) to describe the nanoparticles. The results indicated purity levels of 94.5% for NPS and 97.4% for NPT. Under two different settings, the water-based DF was used with three different concentrations of synthesized nano-silica: 3, 5, and 7% w/v. Hot rolling (BHR) was the first test, and it was achieved at room temperature. Second, at simulated downhole temperatures of 121.11 and 148.88 °C, the after hot rolling (AHR) test was carried out. Following the outcomes, samples with a 3% concentration of NPT had better rheological characteristics than those with a 3% concentration of NPS. Drilling fluid polymers were also protected against heat breakdown by NPT nanoparticles.
Zhong et al. (2021) [61] identified the possibility of using starch nanospheres (SNSs). Methylene-bis-acrylamide (MBA) and soluble starch were crosslinked using an inverse emulsion polymerization procedure to produce SNSs. In order to determine how SNSs affected the rheological and filtration characteristics of a DF that included bentonite, the experiment followed API guidelines. Drilling fluids based on bentonite showed little effect from SNSs on their rheological characteristics. The filtration control of SNSs remained constant and effective even after thermal aging at 150 °C. When compared to modified starch filtration reducers that are already in use, they showed improved performance after aging, as well as reduced viscosity and filtration loss. Because bentonite becomes dehydrated at high temperatures, the AV values tend to go down as the temperature goes up. Figure 17 shows that the AV rose significantly from 3 mPa·s to 14 mPa·s, 22 mPa·s, and 9.5 mPa·s, respectively, when standard modified starch polymers, like HPS, CMS, and CHS, were included.
Figure 17. Various modified starch filtration reducers affect base mud rheology [61] (Reproduced with permission from Journal of Molecular Liquids by Elsevier, Amsterdam, The Netherlands, 2024; Order Number: 586036080421.4).
The initial costs associated with integrating nanoparticle additions into drilling fluids vary considerably. These costs encompass procurement, formulation, and storage and handling expenses. The procurement costs can be affected by variables, such as the level of purity, the dimensions, and the production technique of the nanoparticles. Costs associated with formulation may include specialist equipment, chemicals, and procedures. To avoid contamination and guarantee safety, storage and handling expenses may require the use of specialist equipment and protocols.
The utilization of nanoparticle additions in drilling fluids is associated with a range of long-term cost reductions. These benefits include decreased drilling expenses, increased operational effectiveness, and greater adherence to environmental regulations. The use of nanoparticle additives has the potential to mitigate filtration loss, improve wellbore stability, and accelerate drilling speeds. Moreover, they may assist in minimizing drilling problems, reducing unproductive time, and curtailing waste production. The aforementioned advantages can lead to substantial financial savings and enhanced ecological performance.
To suppress shale formation in water-based DFs (WBDF), Shen et al. (2021) [62] created carboxylate cellulose nanocrystals (C-CNC). Immersion studies, a shale recovery test, and linear swelling measurements were used to investigate the inhibitive properties of C-CNC. According to the findings of the inhibition study, 1% C-CNC had an expansion of 1.41 mm, and 3% C-CNC may recover shale at a rate of 78.8%. In comparison to polyether, polyester amine, and potassium chloride, C-CNC has superior inhibitory characteristics (PEA). The research on the process showed that these nanoparticles may inhibit the hydration of clay by forming a core–shell structure with it via electrostatic contact. Furthermore, C-CNC could significantly reduce the drilling fluid’s filtrate volume, but KCl and PEA negatively affected the fluid’s characteristics. According to Figure 18, the stability of Na-bt was average, and its zeta potential in DI water was −38.5 mV. The zeta potential decreased to −15.4 mV, −21.7 mV, and 23.6 mV, respectively, with the addition of 5.0% KCl, 2.0% PA, and 2.0% PEA, as shown in Figure 18.
Figure 18. Na-bt dispersion zeta potential with various inhibitor doses [62] (Reproduced with permission from Colloids and Surfaces A: Physicochemical and Engineering Aspects by Elsevier, Amsterdam, The Netherlands, 2024; Order Number: 586036130436.5).
The impacts of zinc oxide NPs (ZnO NPs) on the NDDF were studied and quantified in a thorough rheological, computational fluid dynamics (CFD), and fluid-loss investigation by Medhi et al. (2021) [63]. In addition to enhancing the thixotropic and gel-forming capabilities, these NPs induce a viscoelastic solid characteristic. Adding 0.8 and 1 wt.% ZnO NP restores about 80% of the viscous structure in 180 s, while the basic NDDF only manages 44%. The working temperature of NDDF may be increased to 100 °C by adding 1 wt.% ZnO NP. In addition, adding 1 wt.% ZnO NP to NDDF decreases fluid loss by 49%. At high temperatures (80 °C), CFD simulations reveal that ZnO NP NDDFs with a concentration of 1 wt.% reduce cutting retention by 29.13%, demonstrating outstanding cutting carrying capacity. The results of the CFD pressure drop calculations are shown in Figure 19. Pressure drop magnitudes are shown to decrease with increasing temperature.
Figure 19. Pressure decrease in base and ZnO NP NDDF from CFD simulations [63] (Reproduced with permission from Journal of Natural Gas Science and Engineering by Elsevier, Amsterdam, The Netherlands, 2024; Order Number: 586037000871.7).
To lessen formation damage in horizontal wellbores, Shojaei and Ghazanfari (2022) [64] used a mix of experimental and computational methods to apply drilling fluids with nano-enhancements. To reduce formation damage caused by mud circulation, the experimental section suggests a method for finding the optimal composition of water-based samples that have been augmented with NPs of hydrophilic/hydrophobic silica and lipophilic clay. With a reported permeability of 68.4% for water-saturated porous media and 51.1% for oil-saturated porous media, samples containing 0.2 wt.% hydrophobic nano-silica demonstrated the highest functioning, according to the results. The results revealed that samples of nano-enhanced drilling fluid produced mud cakes with thinner layers and lower permeability values in much less time.

3.6. Clean-Up, Emulsions, and Water-Based Optimization

Bio-nano well clean-up fluid (BNWC) was developed by Mohammadi et al. (2022) [65] to improve the removal of WBM filter cakes. This unique formulation included a selective nanoparticle and an enzyme immobilized in potassium chloride brine. Various bulk studies show the optimized enzyme, concentration of nanoparticles, and base fluid brine; they include a precipitation test, an iodine test, and a viscosity measurement. At a differential pressure of 100 psi and a temperature of 200 °F, BNWC in potassium chloride brine demonstrated a filtering rate for HPHT that was 90% higher than that of the traditional enzyme in the same brine. The carbonate rock’s wettability was proven to have changed to water-wet by measuring the contact angle, and the IFT measurements showed the increased oil mobility potential. Lastly, core flooding experiments conducted under reservoir circumstances demonstrated a damage-induced increase in the injection rate of 300% and an improvement in core permeability of 50%.
Arain et al. (2022) [66] created a hybrid nano-based inversion emulsion DF using boron nitride nanomaterials and graphene nanoplatelets to enhance the performance of oil-based DF. Along with that, we look at its viscoelastic properties and electrical stability. The shape and purity of nanoparticles are examined by characterization. There is an improvement in the rheological features and the filtration qualities of the created hybrid nano-DF. Plastic viscosity is improved by 17%, and yield point is improved by 36% using NPs at a concentration of 0.2 ppb. At 0.6 ppb, filtrate loss is reduced by a maximum of 60%.
Additionally, the viscoelastic characteristics were improved, and the nanomaterials increased the linear viscoelastic range. Moreover, variations in temperature (25–125 °C) and shear rate (0.1–1200 s−1) were used to examine the flow behavior and rheological modeling. Based on the data, it seems that the hybrid nano-DF follows the Herschel–Bulkley model of non-Newtonian shear-thinning.
To find the optimal nanoparticle composition for minimal fluid loss, Dora et al. (2022) [67] studied the impacts of graphene NPs as an addition to water-based mud. An investigation of the effects of the friction factor was conducted as part of the experimental study on filtration loss from water-based mud that included graphite NPs. Nanoparticles with sizes ranging from 30 to 80 nm were introduced to fluids at concentrations ranging from 1 to 5 lb/bbl. Different compositions of nanoparticles were found to cause variations in fluid loss volume and friction coefficient. Using a basic fluid with graphite nanoparticles significantly reduced fluid loss by up to 3.5 cc, or 22%, according to the data obtained from the filter press equipment. This observation was conducted for a duration of thirty minutes.
In an experimental investigation, Mikhienkova et al. (2022) [1] examined how the characteristics of oil-based DF were affected by the addition of silicon oxide NPs at different concentrations. Drilling emulsions were tested with nanoparticle concentrations ranging from 0.25 to 2 wt.%. The typical size of the nanoparticles was 80 nm. Drilling fluids based on oil were examined for the effects of nano-sized particles on their rheological and viscosity characteristics, filtration and antifriction capabilities, and colloidal stability. It has been shown that incorporating NPs into DFS significantly improves their characteristics; a change in all parameters was seen at a very low concentration of nanoparticles.
Under high temperature and high pressure (HTHP) drilling settings, Razali et al. (2022) [68] studied the effects of carbon nanomaterial shape and graphitization on EBDF’s rheology, filtering, and emulsion stability. Carbon nanotubes in cotton, graphene oxide, commercial and in-house graphene nanoplatelets, graphene nano-powder, and other carbon nanomaterials were studied. The findings demonstrated that the graphitization and shape of carbon nanomaterials influenced the EBDF behavior. Due to its huge size, low graphitic defect count, and very hydrophobic surface, graphene nano-powder was better than the other materials tested. This permitted it to augment the HTHP filtering capabilities and the stability of EBDF emulsions. Drilling fluid’s emulsifier films are better protected from heat deterioration by graphene nano-powder sheets, thanks to their hydrophobic surface. Using 0.007 wt.% of a graphene concentration, the filtration experiments indicated that the filter cake thickness and filtrate reduced by 25% and 20%, respectively, due to graphene nano-powder.
An effort was undertaken by Mansoor et al. (2022) [69] to examine the impact on WBM properties of a nanofluid that was generated by dispersing copper oxide (CuO) NPs in a chia seed solution. Hence, a two-step technique is used to synthesis three samples of chia seed-based nanofluids, with the concentration of CuO NP ranging from 0.2 wt.% to 0.6 wt.%. A mixture of the produced nanofluids and water-based drilling mud is called nanofluid-enhanced water-based drilling mud or NFWBM. According to the results, the thermal stability of the WBM was significantly improved, with a viscosity reduction of approximately 61.7% at 90 °C. However, at lower temperatures, the viscosity recovered to a significant extent of approximately 14% for chia-based WBMs enhanced with 0.4 wt.% CuO nanofluid and 19% for chia-based WBMs enhanced with 0.6 wt.% CuO nanofluid. Prior to hot rolling, the API fluid loss was found to decrease from 7.2 mL to 6.8 mL, 6 mL, and 4.8 mL, respectively. In contrast, for chia-based 0.2 wt.%, 0.4 wt.%, and 0.6 wt.% CuO nanofluid enhanced water-based drilling muds (NFWBMs), the same parameter decreased from 12.4 mL to 11.4 mL, 10.2 mL, and 9.4 mL, respectively.

3.7. Taming the Heat

The findings of a comprehensive investigation into the effect of different nano-additives on the temperature dependence of the rheological behavior and viscosity of water-based DFs were reported by Minakov et al. (2023) [70]. The researchers tested nano-additives with varying concentrations, average sizes, and compositions. Drilling fluids with common ingredients were considered, such as gammaxene-based polymer solutions and water suspensions of different clay solutions. As for nano-additives, concentrations ranging from 0.25 to 3 wt.% of hydrophilic silicon and aluminum oxide nanoparticles were utilized. Nanoparticle sizes ranged between 10 to 151 nm on average. In the drilling process, fluid temperatures ranged between 25 to 80 °C. It has been indicated that drilling fluids with nanoparticles added undergo a temperature-dependent alteration in their rheological features. The consistency index and yield stress of DFs containing nanoparticles increase with increasing temperature; however, the behavior index falls.
Poly (NVP-TAAC-AMPS) (NTA) and a temperature-sensitive polymer-based nano-SiO2 composite (SNAS) were both provided by Lai et al. (2023) [71]. One way to manipulate SNAS’s lower critical solution temperature (LCST) is to change the monomer ratio. To influence the rheology of the drilling fluid, SNAS uses temperature-sensitive nanocomposites. Analytical approaches were utilized to inspect the impacts of NTA and SNAS on shale stability. These approaches included measuring shale wettability, shale cuttings recovery, fluid loss via microporous membranes, pressure transmission rate, linear swelling, strength, pore volume, and specific surface area, among others. With the shift from hydrophilicity to hydrophobicity in SNAS, the wetting angle of shale changes, and the plugging effect of SNAS is enhanced when the temperature exceeds the LCST value. When compared to using a single SNAS, the composite system’s ability to create a hydrophobic zone and a tight plugging layer made it ideal for improving shale plugging performance. SNAS performs well in water-based DFs with respect to shear-thinning and thixotropy.
Research by Lysakova et al. (2023) [72] compared the impact of carbon nanotubes with different wall thicknesses on the primary performance metrics of drilling emulsions made with mineral oil. There has never been a first-of-its-kind comprehensive analysis of hydrocarbon-based solutions. The weight concentration of nanotubes with one wall ranged from 0.01% to 0.10%, whereas that of nanotubes with multiple walls ranged from 0.1% to 0.5%. We prepared and formulated stable drilling emulsions using additions of multi-walled and single-walled nanotubes. DFs based on hydrocarbons have had their rheology, filtration, clay inhibition kinetics, antifriction, and colloidal stability examined in relation to nanotube additions. Researchers have shown that drilling fluids’ primary performance characteristics may be fine-tuned with the addition of even trace amounts of carbon nanotubes. Therefore, by incorporating a mere 0.025 wt.% of single-walled nanotubes into the drilling fluid, many properties are enhanced: the effective viscosity rises by about 45%, the yield stress increases by 1.7 times, the colloidal stability increases by 36%, filtration loss is reduced by 55%, and the friction factor is reduced by 20%.

3.8. Micro Marvels: Polymeric and Nanoengineered Solutions for Next-Gen Drilling Fluids

By synthesizing modified polystyrene micro-nanospheres (MPS) and altering the hydrophobicity of the shale surface, Zhang et al. (2023) [73] were able to stabilize the wellbore. We tested the MPS’s inhibition and plugging capabilities by expanding linearly, recovering shale, and plugging a microporous polytetrafluoroethylene (PTFE) membrane. The findings demonstrated that MPS had excellent thermal stability, a spherical shape, and a particle size range ranging from 91 to 712 nm. When compared to KCl, polyamines, and SiO2, the MPS showed superior inhibition and were highly compatible with drilling fluids. A 3wt.% MPS aqueous solution filtered using a PTFE microporous filter membrane lost just 42 mm of active pharmaceutical ingredient (API) in a comparison against 260 mm in a solution without MPS. After plugging, the PTFE microporous membrane’s pore size was condensed. The SEM outcomes further indicated that MPS can seal the tiny holes and augment the mud cake quality. Wellbore stability might be boosted with the use of MPS.
Using a traditional emulsion polymerization practice (the one-pot method), Yang et al. (2023) [74] manufactured a polymer nanolatex (SBAA) from acrylamide, butyl acrylate, styrene, and 2-acrylamide-2-methylpropanesulfonic acid. Electron microscopy, transmission electron microscopy, and particle size distribution (PSD) investigations ascertained that SBAA is a nanoparticle with a core–shell structure and a size of around 150 nm. According to the TGA findings, the breakdown temperature of SBAA was 296 °C. This research uses transmission electron microscopy (TEM) and ultraviolet light (UV–Vis) practices to first observe the unusual self-assembly behavior of nanolatex particles. The SBAA’s capacity to decrease filter loss and plug micropores in water-based drilling fluids was further measured using filtration and permeability plugging tests. The outcomes established that compared to basic bentonite fluid, SBAA reduced medium-pressure filtration loss by around 33%. Furthermore, the rate of reduction enlarged to about 41% after aging at 200 °C.
An NWBDF was developed by Lin et al. (2023) [75] with the use of nano-copper oxide (CuO) and MWCNTs as modification materials. A rotating rheometer and viscometer were utilized to investigate the rheological features and how they are impacted by the concentration and temperature of the NPs. Two NPs were studied for their effects on filtration characteristics via the use of SEM, a low-temperature filtration and a low-pressure system, and other tools. The most obvious effect on the NWBDFs is seen at a concentration of 0.05 w/v% MWCNTs, which increases the gel structure’s resilience against temperature and decreases the filtering rate. In addition, a DLVO-based theoretical model is created to predict the plastic viscosity (PV) and yield point (YP) relative to temperature, taking into account the effect of the NPs. According to Figure 20, the minimal filtration was realized with a concentration of 0.1 w/v% for the CuO NPs and 0.05 w/v% for the MWCNTs.
Figure 20. API filtration as a function of NPs concentration [75].
Wang et al. (2023) [76] achieved excellent suspension stability by using ultrafine barite. More crucially, a core–shell fluid loss reducer FATG that is resistant to heat and salt has been developed by altering zwitterionic polymers on the surface of nanosilica. This fluid loss reducer is then applied to WBDF, an ultra-fine clay-free water-based DF. The findings indicate that FATG-containing clay-free drilling fluid may decrease filtration loss to 8.2 mL and AV to 22 mPa·s. Even though FATG lowers viscosity, it forms a thick mud cake, which decreases filter loss. The permeability recovery assessment and linear expansion test were conducted. Bentonite has a hydration expansion inhibition rate of 72.5% and a permeability recovery rate of 77.9%; thus, it can handle the long-term fluid circulation work required for drilling.
To enhance the inhibitive, fluid loss, and rheological properties of water-based DF, Bardhan et al. (2024) [77] presented the innovative use of mesoporous nano-silica (MNS). The sol–gel method was used to manufacture MNS using cetyltrimethylammonium bromide (CTAB) to create the pores. The developed MNS has a hydrodynamic particle size of 134.47 nm and a steady zeta potential of −32.2 meV. The pore volume was 0.3415 cm3/g, and the specific surface area was determined to be 626 m2/g using the Brunauer–Emmett–Teller (BET) analyzer. In order to determine how thermal aging affects the drilling fluid’s characteristics, samples were heated to 180 °C and then rolled under 100 psi pressure for 16 h. In addition to imparting certain inhibitive features and significantly lowering fluid loss, the experimental results show that MNS may significantly enhance the thermal properties of water-based DFs while preserving their rheological properties.
The application of wheat grain as a nano-biodegradable additive in WBDFs was examined by Ali et al. (2024) [78], with a focus on various particle sizes of wheat powder, from nano to course. XRF, FTIR, TGA, DLS, TEM, and SEM were used to characterize the nano-biopolymers (WNBPs) that were created by breaking them down into nano-sized structures using the ball mailing technique. From the API SPEC 13A standard, carboxymethyl starch (CMS), wheat powder (WP) at 75–600 µm, and nano-biopolymer (WNBPs), several DFs were created, including the reference, nano-biodegradable, modified, and biodegradable ones. Research shows that nano-biodegradable materials have a pH over 10, which protects drill pipes and other equipment from corrosion. The fluid loss was reduced from 19.5 to 14 mL when 2 wt.% WNBPs were added to the reference DF. However, the filtration rate was lowered to 11.5 mL because of the higher influence of fine WPs on the filtration characteristics.
Hydrophilic (phi-SiO2) and hydrophobic (pho-SiO2) nano-SiO2 samples were used as fluid loss reducers and rheological modifiers in water-based DFs by Li et al. (2024) [79]. Findings showed that this nano-SiO2 exhibited a range of effects on WBDFs, some of which were negative. Both phi-SiO2 and pho-SiO2 thickened and increased shear force at ambient temperature and 150 °C. As the concentration of these two nano-SiO2 increased, the yield point and viscosity of four WBDFs were improved; however, the degree of improvement for pho-SiO2 was larger than that of phi-SiO2. At the same time, phi-SiO2 did not reduce fluid loss of WBDFs, but it has shown high compatibility with CMC and KHm and may be used to reduce fluid loss up to 150 °C. Concentration and additive type were additional factors influencing pho-SiO2’s filtering control efficacy in WBDFs. The addition of pho-SiO2 reduced the fluid loss volume of WBDFs by improving viscosity, increasing shear force, stabilizing the colloidal structure, and forming a hydrophobic barrier.
Table 1 demonstrates a summary of the associated studies that investigated the applications of mano-additives for improving drilling fluid properties, providing the most important findings of each study.
Table 1. A summary of research on the applications of nano-additives for improving drilling fluid properties.
Table 2 introduces a summary of the relevant information on nano-additives used to improve drilling fluid performance.
Table 2. Associated information of nano-additives used in drilling fluids.

4. Critical Issues and Recommendations for Future Research

The present study assessed the impact of adding nanoparticles to improve the properties of drilling fluids. The specific benefits include reduced fluid loss, increased shear force, greater thermal stability, and a smaller filtrate volume, as well as improved viscosity. Nanoparticle production often comes with a hefty price tag. Also, since they tend to aggregate, they might block the system and produce sedimentation. As a result, certain parts would be damaged, and performance would be diminished. When subjected to extreme heat, nanofluids may not retain their stability. That is why it is crucial to fully grasp these issues in order to obtain the optimal design parameters for enhanced drilling fluids’ characteristics. Listed below are some of these restrictions:
  • Reducing their environmental presence necessitates stringent controls over the production and disposal of materials used in drilling fluids, as well as the prevention of contamination.
  • Many nano-additives are still in the early phases of manufacture and marketing. Their limited supply may prevent them from being widely used in the drilling sector.
  • The effectiveness of the drilling fluid is condensed, and problems with pumping and mixing are possible because nanoparticles tend to cluster or clump together.
  • Drilling fluids are only one example of how regulatory frameworks for nanomaterials are persistently changing. Doubt and a halt to the industry’s acceptance and development of nano-additives may result from this.
  • Nano-additives are problematic and costly to generate and incorporate into drilling fluids. When compared against more traditional additives, this has the potential to significantly raise the total cost of drilling operations.
  • Using nano-additives in drilling fluids has not been well examined for its potential long-term impacts on the environment and human health. Further investigations are required to make sure they can be used responsibly.
Nano-additives in drilling fluids have definite restrictions, but continuous research and development are desirable to develop them and make them more useful and sustainable. Nano-additives may yet prove to be a priceless resource for improving drilling efficiency and wellbore stability as technology advances and information gaps are filled. Accordingly, new ideas, and public education will be essential to resolve the complications above and restrictions. To fight these weaknesses and make them a more environmentally friendly and practical option, nanofluids can be added to drilling fluids to improve their qualities. To advance these systems and open the door to further research, the following bullets can be considered:
  • In addition to stabilizing wellbore formations, nano-clay can enhance the filtration control and viscosity of DFs.
  • Wellbore features and drilling problems will determine which nano-additives are most suitable for use in drilling fluids.
  • The potential health and environmental concerns of nano-additives in the long run have not been fully resolved. Before applying nano-additives in drilling fluids, it is vital to methodically evaluate these possible dangers.
  • In some nations, rules concerning the use of nano-additives in drilling fluids are still being determined. Prior to employing nano-additives, it is essential to be familiar with these limitations.
  • Cellulose nano-fibers can improve the filtration control and rheological features of drilling fluids. In addition to stabilizing the wellbore, they can reduce fluid loss.

5. Conclusions

After reviewing the data in Table 1 and analyzing each study, the following recommendations emerge. To rephrase, the review identifies the following gaps in the literature about the application of nano-additives to boost the characteristics of DFs and proposes the following solutions:
  • The fluid loss was reduced from 19.5 to 14 mL when 2 wt.% WNBPs were added to the reference DF. However, the filtration rate was lowered to 11.5 mL because of the higher influence of fine WPs on the filtration characteristics.
  • By preserving rheological qualities, significantly lowering fluid loss, and imparting certain inhibitive properties, MNS may greatly boost the thermal properties of water-based DFs.
  • To reduce the filtration rate and increase the gel structure’s resilience against temperature, MWCNTs at a concentration of 0.05 w/v% have the most noticeable effect on the NWBDFs.
  • MPS exhibited excellent thermal stability and a spherical shape with a particle size ranging from 91 to 712 nm. When compared to KCl, polyamines, and SiO2, the MPS showed superior inhibition and were highly compatible with drilling fluids.
  • A mere 0.025 wt.% of single-walled nanotubes boost the drilling fluid’s effective viscosity by about 45%, increase the yield stress by 1.7 times, reduce the filtration loss by 55%, decrease the friction factor by 20%, and increase colloidal stability by 36%. Simultaneously, this addition reduces the fluid’s loss by 55%.
  • Depending on the temperature, the rheological characteristics of DFs that have nanoparticles added to them alter significantly. The consistency index and yield stress of DFs containing NPS were seen to rise as the temperature rose.
  • Adding nanoparticles to drilling fluids changes their qualities for the better; all metrics change, even at a very low concentration of nanoparticles.
  • When compared to NPS, samples with a 3% concentration of NPT exhibited an improvement in all rheological characteristics. Drilling fluid polymers were also protected against heat breakdown by NPT nanoparticles.
  • Adding GO- and Cu(II) salen@GO to carbonate and sandstone samples, respectively, reduced the contact angle by around 20% and 35%.
  • Plastic viscosity is improved by 17%, and yield point is improved by 36% using nanomaterials at a concentration of 0.2 ppb. At 0.6 ppb, filtrate loss is reduced by a maximum of 60%.
  • Silica nanoparticles, carbon nanotubes, and metal oxides are among the nano-additives that have shown improvements in yield stress, plastic viscosity, and loss of filtrate.
  • The optimal sample was determined to be the water-based DF that included nano-gamma alumina at a concentration of less than 1wt.%. Shale and other ion-containing formations are made more stable by the addition of alumina nanoparticles.
  • Adding nanoparticles to a micro-suspension drastically decreases its filtering capacity and changes the thickness and shape of the cake that forms on the filter’s surface.

Author Contributions

Conceptualization, M.S.A. and F.L.R.; formal analysis, M.S.A., M.T.J., F.L.R., H.T., M.K.R., M.A.A.-O., Q.R.A.-A., H.I.M. and I.E.S.; investigation, F.L.R., M.K.R., Q.R.A.-A., H.I.M. and I.E.S.; resources, M.S.A., M.T.J., F.L.R., H.T., M.K.R., M.A.A.-O., Q.R.A.-A., H.I.M. and I.E.S.; writing—original draft preparation, M.S.A., F.L.R. and M.A.A.-O.; writing—review and editing, M.A.A.-O.; visualization, H.I.M. and I.E.S.; supervision, F.L.R., H.T. and M.A.A.-O. All authors have read and agreed to the published version of the manuscript.

Funding

This research received no external funding.

Data Availability Statement

Data are contained within the article.

Conflicts of Interest

The authors declare no conflicts of interest.

Abbreviations

AFMAtomic force microscopy
AHRAfter hot rolling
APIAmerican Petroleum Institute
AVApparent viscosity
BHRBefore hot rolling
BNWCBio-nano well clean-up fluid
CFDComputational fluid dynamics
CMCCarboxymethyl cellulose
CTECoefficient of thermal expansion
DFDrilling fluid
ECBEquivalent circulating density
EDAXEnergy dispersive X-ray analysis
FESEMField emission scanning electron microscope
FTIRFourier transform infrared spectrum
GOGraphene oxide
GONPGraphene oxide nano sheet
HBHerschel–Bulkley
HECHydroxyethylcellulose
HSEHealth, safety, and environmental
HTHPHigh temperature, high pressure
LPLTLow pressure–low temperature
MBAMethylene-bis-acrylamide
MWCNTMulti-walled carbon nanotube
NDDFNon-damaging drilling fluid
NDFNano-based drilling fluid
NFWBMNanofluid enhanced water-based drilling mud
NPsNanoparticles
NWBDFsNano-water-based drilling fluids
OBDFOil-based drilling fluid
PAMPolyacrylamide
PHPAPartially hydrolyzed polyacrylamide
POCNTPEGylated oxidized carbon nanotube
PVPlastic viscosity
ROPRate of penetration
SANSuper-amphiphobic nanofluid
SBASCSynthetic-based acrylamide–styrene copolymer
SDSSodium dodecyl sulfate
SEMScanning electron microscope
SNSsStarch nanospheres
TEMTransmission electron microscope
TGAThermogravimetric analysis
WBMWater-based mud
XGXanthan gum
XRDX-ray diffraction
YPYield point

References

  1. Mikhienkova, E.I.; Lysakov, S.V.; Neverov, A.L.; Zhigarev, V.A.; Minakov, A.V.; Rudyak, V.Y. Experimental Study on the Influence of Nanoparticles on Oil-Based Drilling Fluid Properties. J. Pet. Sci. Eng. 2022, 208, 109452. [Google Scholar] [CrossRef]
  2. Minakov, A.V.; Zhigarev, V.A.; Mikhienkova, E.I.; Neverov, A.L.; Buryukin, F.A.; Guzei, D.V. The Effect of Nanoparticles Additives in the Drilling Fluid on Pressure Loss and Cutting Transport Efficiency in the Vertical Boreholes. J. Pet. Sci. Eng. 2018, 171, 1149–1158. [Google Scholar] [CrossRef]
  3. Parizad, A.; Shahbazi, K.; Tanha, A.A. Enhancement of Polymeric Water-Based Drilling Fluid Properties Using Nanoparticles. J. Pet. Sci. Eng. 2018, 170, 813–828. [Google Scholar] [CrossRef]
  4. Alsaba, M.T.; Al Dushaishi, M.F.; Abbas, A.K. Application of Nano Water-Based Drilling Fluid in Improving Hole Cleaning. SN Appl. Sci. 2020, 2, 1–7. [Google Scholar] [CrossRef]
  5. Abd Kati, F. The effects of TiO2 Nanoparticles on Flexural Strength of Self-Polymerized Resins: In Vitro Study. J. Tech. 2022, 4, 45–49. [Google Scholar] [CrossRef]
  6. Dahwal, S.H.; Al-Ziyadi, H. Nanomaterials-Assisted Drilling Fluids for Application in Oil Fields—Challenges and Prospects. Int. J. Emerg. Technol. Innov. Res. 2023, 10, 567–582. [Google Scholar]
  7. Abramov, A. Optimization of Well Pad Design and Drilling–Well Clustering. Pet. Explor. Dev. 2019, 46, 614–620. [Google Scholar] [CrossRef]
  8. Adah, E.; Joubert, A.; Boudhan, R.; Henry, M.; Durécu, S.; Le Coq, L. Spray Scrubber for Nanoparticle Removal from Incineration Fumes from the Incineration of Waste Containing Nanomaterials: Theoretical and Experimental Investigations. Aerosol Sci. Technol. 2021, 56, 75–91. [Google Scholar] [CrossRef]
  9. Ahasan, M.H.; Alahi Alvi, M.F.; Ahmed, N.; Alam, M.S. An Investigation of the Effects of Synthesized Zinc Oxide Nanoparticles on the Properties of Water-Based Drilling Fluid. Pet. Res. 2022, 7, 131–137. [Google Scholar] [CrossRef]
  10. Li, Q.; Li, Y.; Cheng, Y.; Li, Q.; Wang, F.; Wei, J.; Liu, Y.; Zhang, C.; Song, B.; Yan, C.; et al. Numerical simulation of fracture reorientation during hydraulic fracturing in perforated horizontal well in shale reservoirs. Energy Sources Part A Recovery Util. Environ. Effects 2018, 40, 1807–1813. [Google Scholar] [CrossRef]
  11. Beg, M.; Kumar, P.; Choudhary, P.; Sharma, S. Effect of High Temperature Ageing on TiO2 Nanoparticles Enhanced Drilling Fluids: A Rheological and Filtration Study. Upstream Oil Gas. Technol. 2020, 5, 100019. [Google Scholar] [CrossRef]
  12. Kafashi, S.; Rasaei, M.; Karimi, G. Effects of Sugarcane and Polyanionic Cellulose on Rheological Properties of Drilling Mud: An Experimental Approach. Egypt. J. Pet. 2017, 26, 371–374. [Google Scholar] [CrossRef]
  13. Villada, Y.; Gallardo, F.; Erdmann, E.; Casis, N.; Olivares, L.; Estenoz, D. Functional Characterization on Colloidal Suspensions Containing Xanthan Gum (XGD) and Polyanionic Cellulose (PAC) Used in Drilling Fluids for a Shale Formation. Appl. Clay Sci. 2017, 149, 59–66. [Google Scholar] [CrossRef]
  14. Chaouf, S.; El Barkany, S.; Jilal, I.; El Ouardi, Y.; Abou-salama, M.; Loutou, M.; El-Houssaine, A.; El-Ouarghi, H.; El Idrissi, A.; Amhamdi, H. Anionic Reverse Microemulsion Grafting of Acrylamide (AM) on HydroxyEthylCellulose (HEC): Synthesis, Characterization and Application as New Ecofriendly Low-Cost Flocculant. J. Water Process Eng. 2019, 31, 100807. [Google Scholar] [CrossRef]
  15. Su, X.; Lian, Z.; Yuan, Y. Study on the Effect of the Oil-Water Ratio on the Rheological Properties of Hydroxyethyl Cellulose (HEC). Geofluids 2019, 2019, 7405702. [Google Scholar] [CrossRef]
  16. Menezes, R.R.; Marques, L.N.; Campos, L.A.; Ferreira, H.S.; Santana, L.N.L.; Neves, G.A. Use of Statistical Design to Study the Influence of CMC on the Rheological Properties of Bentonite Dispersions for Water-Based Drilling Fluids. Appl. Clay Sci. 2010, 49, 13–20. [Google Scholar] [CrossRef]
  17. Zhang, L.; Sun, H.; Han, B.; Peng, L.; Ning, F.; Jiang, G.; Chehotkin, V.F. Effect of Shearing Actions on the Rheological Properties and Mesostructures of CMC, PVP and CMC + PVP Aqueous Solutions as Simple Water-Based Drilling Fluids for Gas Hydrate Drilling. J. Unconv. Oil Gas. Resour. 2016, 14, 86–98. [Google Scholar] [CrossRef]
  18. Davoodi, S.; Ramazani, S.A.A.; Soleimanian, A.; Fellah Jahromi, A. Application of a Novel Acrylamide Copolymer Containing Highly Hydrophobic Comonomer as Filtration Control and Rheology Modifier Additive in Water-Based Drilling Mud. J. Pet. Sci. Eng. 2019, 180, 747–755. [Google Scholar] [CrossRef]
  19. Jain, R.; Mahto, V. Evaluation of Polyacrylamide/Clay Composite as a Potential Drilling Fluid Additive in Inhibitive Water Based Drilling Fluid System. J. Pet. Sci. Eng. 2015, 133, 612–621. [Google Scholar] [CrossRef]
  20. Mech, D.; Sangwai, J.S. Effect of Molecular Weight of Polyethylene Glycol (PEG), a Hydrate Inhibitive Water-Based Drilling Fluid Additive, on the Formation and Dissociation Kinetics of Methane Hydrate. J. Nat. Gas. Sci. Eng. 2016, 35, 1441–1452. [Google Scholar] [CrossRef]
  21. Tan, T.Y.; Katende, A.; Sagala, F.; Mugisa, J. Experimental Investigation of Cuttings Lifting Efficiency Using Low and High Density Polyethylene Beads in Different Hole Angles. J. Mater. Sci. Appl. 2017, 3, 71–78. [Google Scholar]
  22. Zakaria, M.F.; Husein, M.; Hareland, G. Novel Nanoparticle-Based Drilling Fluid with Improved Characteristics. In Proceedings of the Society of Petroleum Engineers—SPE International Oilfield Nanotechnology Conference, Noordwijk, The Netherlands, 12–14 June 2012; pp. 232–237. [Google Scholar]
  23. Abbas, A.K.; Alsaba, M.T.; Al Dushaishi, M.F. Improving Hole Cleaning in Horizontal Wells by Using Nanocomposite Water-Based Mud. J. Pet. Sci. Eng. 2021, 203, 108619. [Google Scholar] [CrossRef]
  24. Akhtarmanesh, S.; Shahrabi, M.J.A.; Atashnezhad, A. Improvement of Wellbore Stability in Shale Using Nanoparticles. J. Pet. Sci. Eng. 2013, 112, 290–295. [Google Scholar] [CrossRef]
  25. Vryzas, Z.; Kelessidis, V.C. Nano-Based Drilling Fluids: A Review. Energy 2017, 10, 540. [Google Scholar] [CrossRef]
  26. Cheraghian, G. Nanoparticles in Drilling Fluid: A Review of the State-of-the-Art. J. Mater. Res. Technol. 2021, 13, 737–753. [Google Scholar] [CrossRef]
  27. Tahr, Z.; Ali, J.A.; Mohammed, A.S. Sustainable Aspects behind Nano-Biodegradable Drilling Fluids: A Critical Review. Geoenergy Sci. Eng. 2023, 222, 211443. [Google Scholar] [CrossRef]
  28. Martin, C.; Nourian, A.; Babaie, M.; Nasr, G.G. Environmental, Health and Safety Assessment of Nanoparticle Application in Drilling Mud—Review. Geoenergy Sci. Eng. 2023, 226, 211767. [Google Scholar] [CrossRef]
  29. Rashid, F.L.; Mohammed, H.I.; Dulaimi, A.; Al-Obaidi, M.A.; Talebizadehsardari, P.; Ahmad, S.; Ameen, A. Analysis of heat transfer in various cavity geometries with and without nano-enhanced phase change material: A review. Energy Rep. 2023, 10, 3757–3779. [Google Scholar] [CrossRef]
  30. Hussein, A.K.; Rashid, F.L.; Rasul, M.K.; Basem, A.; Younis, O.; Homod, R.Z.; Attia, M.E.H.; Al-Obaidi, M.A.; Hamida, M.B.B.; Ali, B.; et al. A review of the application of hybrid nanofluids in solar still energy systems and guidelines for future prospects. Sol. Energy 2024, 272, 112485. [Google Scholar] [CrossRef]
  31. Rashid, F.L.; Hashim, A.; Dulaimi, A.; Hadi, A.; Ibrahim, H.; Al-Obaidi, M.A.; Ameen, A. Enhancement of Polyacrylic Acid/Silicon Carbide Nanocomposites’ Optical Properties for Potential Application in Renewable Energy. J. Compos. Sci. 2024, 8, 123. [Google Scholar] [CrossRef]
  32. Rajab, M.A.; Yahiya, M.M.; Hameed, N.A.; Al-Obaidi, M.A.; Al-Arkawazi, R.R. Wear resistance of fiber-reinforced nanoparticle hybrid mixture. Int. J. Nanoelectron. Mater. (IJNeaM) 2024, 17, 6–11. [Google Scholar]
  33. Srivastava, V.; Beg, M.; Sharma, S.; Choubey, A.K. Application of Manganese Oxide Nanoparticles Synthesized via Green Route for Improved Performance of Water-Based Drilling Fluids. Appl. Nanosci. 2021, 11, 2247–2260. [Google Scholar] [CrossRef]
  34. Hajiabadi, S.H.; Aghaei, H.; Kalateh-Aghamohammadi, M.; Sanati, A.; Kazemi-Beydokhti, A.; Esmaeilzadeh, F. A Comprehensive Empirical, Analytical and Tomographic Investigation on Rheology and Formation Damage Behavior of a Novel Nano-Modified Invert Emulsion Drilling Fluid. J. Pet. Sci. Eng. 2019, 181, 106257. [Google Scholar] [CrossRef]
  35. Al-Shargabi, M.; Davoodi, S.; Wood, D.A.; Al-Musai, A.; Rukavishnikov, V.S.; Minaev, K.M. Nanoparticle applications as beneficial oil and gas drilling fluid additives: A review. J. Mol. Liq. 2022, 352, 118725. [Google Scholar] [CrossRef]
  36. Suryam, L.V.; Pradeep, A.V.; Prasad, S.S.; Kumari, P.P. Functioning mechanism of nanomaterials and significance on machinability: A review. Mater. Today Proc. 2019, 19, 560–563. [Google Scholar] [CrossRef]
  37. Martin, C.; Babaie, M.; Nourian, A.; Nasr, G.G. Designing Smart drilling fluids using modified nano silica to improve drilling operations in Geothermal wells. Geothermics 2023, 107, 102600. [Google Scholar] [CrossRef]
  38. Boyou, N.V.; Ismail, I.; Wan Sulaiman, W.R.; Sharifi Haddad, A.; Husein, N.; Hui, H.T.; Nadaraja, K. Experimental Investigation of Hole Cleaning in Directional Drilling by Using Nano-Enhanced Water-Based Drilling Fluids. J. Pet. Sci. Eng. 2019, 176, 220–231. [Google Scholar] [CrossRef]
  39. Minakov, A.V.; Mikhienkova, E.I.; Voronenkova, Y.O.; Neverov, A.L.; Zeer, G.M.; Zharkov, S.M. Systematic Experimental Investigation of Filtration Losses of Drilling Fluids Containing Silicon Oxide Nanoparticles. J. Nat. Gas. Sci. Eng. 2019, 71, 102984. [Google Scholar] [CrossRef]
  40. Inturi, S.K.; Dash, G.R.; Kodavaty, J. Role of Silica Nano Particles in Altering Rheological Properties of Drilling Fluid in Enhanced Oil Recovery. Mater. Today Proc. 2019, 17, 354–361. [Google Scholar] [CrossRef]
  41. Nascimento, D.R.; Oliveira, B.R.; Saide, V.G.P.; Magalhães, S.C.; Scheid, C.M.; Calçada, L.A. Effects of Particle-Size Distribution and Solid Additives in the Apparent Viscosity of Drilling Fluids. J. Pet. Sci. Eng. 2019, 182, 106275. [Google Scholar] [CrossRef]
  42. Saboori, R.; Sabbaghi, S.; Kalantariasl, A. Improvement of Rheological, Filtration and Thermal Conductivity of Bentonite Drilling Fluid Using Copper Oxide/Polyacrylamide Nanocomposite. Powder Technol. 2019, 353, 257–266. [Google Scholar] [CrossRef]
  43. Perween, S.; Thakur, N.K.; Beg, M.; Sharma, S.; Ranjan, A. Enhancing the Properties of Water Based Drilling Fluid Using Bismuth Ferrite Nanoparticles. Colloids Surf. A Physicochem. Eng. Asp. 2019, 561, 165–177. [Google Scholar] [CrossRef]
  44. Dejtaradon, P.; Hamidi, H.; Chuks, M.H.; Wilkinson, D.; Rafati, R. Impact of ZnO and CuO Nanoparticles on the Rheological and Filtration Properties of Water-Based Drilling Fluid. Colloids Surf. A Physicochem. Eng. Asp. 2019, 570, 354–367. [Google Scholar] [CrossRef]
  45. Al-Yasiri, M.; Awad, A.; Pervaiz, S.; Wen, D. Influence of Silica Nanoparticles on the Functionality of Water-Based Drilling Fluids. J. Pet. Sci. Eng. 2019, 179, 504–512. [Google Scholar] [CrossRef]
  46. Huang, X.; Lv, K.; Sun, J.; Lu, Z.; Bai, Y.; Shen, H.; Wang, J. Enhancement of Thermal Stability of Drilling Fluid Using Laponite Nanoparticles under Extreme Temperature Conditions. Mater. Lett. 2019, 248, 146–149. [Google Scholar] [CrossRef]
  47. Ma, L.; Luo, P.; He, Y.; Zhang, L.; Fan, Y.; Jiang, Z. Improving the Stability of Multi-Walled Carbon Nano-Tubes in Extremely Environments: Applications as Nano-Plugging Additives in Drilling Fluids. J. Nat. Gas. Sci. Eng. 2020, 74, 103082. [Google Scholar] [CrossRef]
  48. Zhong, H.; Gao, X.; Zhang, X.; Qiu, Z.; Zhao, C.; Zhang, X.; Jin, J. Improving the Shale Stability with Nano-Silica Grafted with Hyperbranched Polyethyleneimine in Water-Based Drilling Fluid. J. Nat. Gas. Sci. Eng. 2020, 83, 103624. [Google Scholar] [CrossRef]
  49. Li, W.; Jiang, G.; Ni, X.; Li, Y.; Wang, X.; Luo, X. Styrene Butadiene Resin/Nano-SiO2 Composite as a Water-and-Oil-Dispersible Plugging Agent for Oil-Based Drilling Fluid. Colloids Surf. A Physicochem. Eng. Asp. 2020, 606, 125245. [Google Scholar] [CrossRef]
  50. Jiang, G.; Ni, X.; Yang, L.; Li, W.; Li, Y.; Deng, Z. Synthesis of Superamphiphobic Nanofluid as a Multi-Functional Additive in Oil-Based Drilling Fluid, Especially the Stabilization Performance on the Water/Oil Interface. Colloids Surf. A Physicochem. Eng. Asp. 2020, 588, 124385. [Google Scholar] [CrossRef]
  51. Moraveji, M.K.; Ghaffarkhah, A.; Agin, F.; Talebkeikhah, M.; Jahanshahi, A.; Kalantar, A.; Amirhosseini, S.F.; Karimifard, M.; Mortazavipour, S.I.; Sehat, A.A.; et al. Application of Amorphous Silica Nanoparticles in Improving the Rheological Properties, Filtration and Shale Stability of Glycol-Based Drilling Fluids. Int. Commun. Heat Mass Transf. 2020, 115, 104625. [Google Scholar] [CrossRef]
  52. Hajiabadi, S.H.; Bedrikovetsky, P.; Mahani, H.; Khoshsima, A.; Aghaei, H.; Kalateh-Aghamohammadi, M.; Habibi, S. Effects of Surface Modified Nanosilica on Drilling Fluid and Formation Damage. J. Pet. Sci. Eng. 2020, 194, 107559. [Google Scholar] [CrossRef]
  53. Gudarzifar, H.; Sabbaghi, S.; Rezvani, A.; Saboori, R. Experimental Investigation of Rheological & Filtration Properties and Thermal Conductivity of Water-Based Drilling Fluid Enhanced. Powder Technol. 2020, 368, 323–341. [Google Scholar]
  54. Medhi, S.; Chowdhury, S.; Kumar, A.; Gupta, D.K.; Aswal, Z.; Sangwai, J.S. Zirconium Oxide Nanoparticle as an Effective Additive for Non-Damaging Drilling Fluid: A Study through Rheology and Computational Fluid Dynamics Investigation. J. Pet. Sci. Eng. 2020, 187, 106826. [Google Scholar] [CrossRef]
  55. Wang, K.; Jiang, G.; Li, X.; Luckham, P.F. Study of Graphene Oxide to Stabilize Shale in Water-Based Drilling Fluids. Colloids Surf. A Physicochem. Eng. Asp. 2020, 606, 125457. [Google Scholar] [CrossRef]
  56. Kamali, F.; Saboori, R.; Sabbaghi, S. Fe3O4-CMC Nanocomposite Performance Evaluation as Rheology Modifier and Fluid Loss Control Characteristic Additives in Water-Based Drilling Fluid. J. Pet. Sci. Eng. 2021, 205, 108912. [Google Scholar] [CrossRef]
  57. Hassanzadeh, A.; Alihosseini, A.; Monajjemi, M.; Nazari-Sarem, M. Nano-Alumina Based (Alpha and Gamma) Drilling Fluid System to Stabilize High Reactive Shales. Petroleum 2021, 7, 142–151. [Google Scholar] [CrossRef]
  58. Hajiabadi, S.H.; Aghaei, H.; Ghabdian, M.; Kalateh-Aghamohammadi, M.; Esmaeilnezhad, E.; Choi, H.J. On the Attributes of Invert-Emulsion Drilling Fluids Modified with Graphene Oxide/Inorganic Complexes. J. Ind. Eng. Chem. 2021, 93, 290–301. [Google Scholar] [CrossRef]
  59. Dutta, D.; Das, B.M. Development of Smart Bentonite Drilling Fluid Introducing Iron Oxide Nanoparticles Compatible to the Reservoirs of Upper Assam. Upstream Oil Gas. Technol. 2021, 7, 100058. [Google Scholar] [CrossRef]
  60. Mirzaasadi, M.; Zarei, V.; Elveny, M.; Alizadeh, S.M.; Alizadeh, V.; Khan, A. Improving the Rheological Properties and Thermal Stability of Water-Based Drilling Fluid Using Biogenic Silica Nanoparticles. Energy Rep. 2021, 7, 6162–6171. [Google Scholar] [CrossRef]
  61. Zhong, H.; Kong, X.; Chen, S.; Grady, B.P.; Qiu, Z. Preparation, Characterization and Filtration Control Properties of Crosslinked Starch Nanospheres in Water-Based Drilling Fluids. J. Mol. Liq. 2021, 325, 115221. [Google Scholar] [CrossRef]
  62. Shen, X.; Jiang, G.; Li, X.; He, Y.; Yang, L.; Cui, K.; Li, W. Application of Carboxylated Cellulose Nanocrystals as Eco-Friendly Shale Inhibitors in Water-Based Drilling Fluids. Colloids Surf. A Physicochem. Eng. Asp. 2021, 627, 127182. [Google Scholar] [CrossRef]
  63. Medhi, S.; Gupta, D.K.; Sangwai, J.S. Impact of Zinc Oxide Nanoparticles on the Rheological and Fluid-Loss Properties, and the Hydraulic Performance of Non-Damaging Drilling Fluid. J. Nat. Gas. Sci. Eng. 2021, 88, 103834. [Google Scholar] [CrossRef]
  64. Shojaei, N.; Ghazanfari, M.H. Reduction of Formation Damage in Horizontal Wellbores by Application of Nano-Enhanced Drilling Fluids: Experimental and Modeling Study. J. Pet. Sci. Eng. 2022, 210, 110075. [Google Scholar] [CrossRef]
  65. Mohammadi, M.K.; Riahi, S.; Boek, E.S. Developing Novel Bio-Nano Catalyst Well Clean up Fluid to Remove Formation Damage Induced by Polymeric Water-Based Drilling Fluids. J. Pet. Sci. Eng. 2022, 210, 109809. [Google Scholar] [CrossRef]
  66. Arain, A.H.; Ridha, S.; Mohyaldinn, M.E.; Suppiah, R.R. Improving the Performance of Invert Emulsion Drilling Fluid Using Boron Nitride and Graphene Nanoplatelets for Drilling of Unconventional High-Temperature Shale Formations. J. Mol. Liq. 2022, 363, 119806. [Google Scholar] [CrossRef]
  67. Dora, T.K.; Vamsi Krishna, K.; Ismail Iqbal, M.; Ranjan, A. An Experimental Analysis on Nanoparticles Role in Drilling Fluids. Mater. Today Proc. 2022, 68, 717–721. [Google Scholar] [CrossRef]
  68. Razali, S.Z.; Yunus, R.; Kania, D.; Rashid, S.A.; Ngee, L.H.; Abdulkareem-Alsultan, G.; Jan, B.M. Effects of Morphology and Graphitization of Carbon Nanomaterials on the Rheology, Emulsion Stability, and Filtration Control Ability of Drilling Fluids. J. Mater. Res. Technol. 2022, 21, 2891–2905. [Google Scholar] [CrossRef]
  69. Mansoor, H.H.A.; Devarapu, S.R.; Samuel, R.; Sangwai, J.S.; Ponmani, S. Investigation of Chia Based Copper Oxide Nanofluid for Water Based Drilling Fluid: An Experimental Approach. J. Nat. Gas Sci. Eng. 2022, 107, 104775. [Google Scholar] [CrossRef]
  70. Minakov, A.V.; Pryazhnikov, M.I.; Mikhienkova, E.I.; Voronenkova, Y.O. Systematic Experimental Study of the Temperature Dependence of Viscosity and Rheological Behavior of Water-Based Drilling Fluids with Nano-Additives. Petroleum 2023, 9, 534–544. [Google Scholar] [CrossRef]
  71. Lai, N.; Fan, W.; Zhang, X.; Liu, L.; Zhou, X.; Chen, S. Temperature-Sensitive Polymer Based Nano-SiO2 Composite Multi-Component Synergistic Improvement of Shale Stability in Water-Based Drilling Fluids. Geoenergy Sci. Eng. 2023, 224, 211498. [Google Scholar] [CrossRef]
  72. Lysakova, E.; Skorobogatova, A.; Neverov, A.; Pryazhnikov, M.; Zhigarev, V.; Voronin, A.; Shabanova, K.; Minakov, A. Comparative Analysis of the Effect of Single-Walled and Multi-Walled Carbon Nanotube Additives on the Properties of Hydrocarbon-Based Drilling Fluids. Colloids Surf. A Physicochem. Eng. Asp. 2023, 678, 132434. [Google Scholar] [CrossRef]
  73. Zhang, C.; Sun, J.; Huang, X.; Zhang, Y.; Zong, J.; Lv, K.; Dai, J. Use of Modified Polystyrene Micro-Nano Spheres to Improve the Inhibition and Plugging Performance of Water-Based Drilling Fluids. Colloids Surf. A Physicochem. Eng. Asp. 2023, 668, 131409. [Google Scholar] [CrossRef]
  74. Yang, J.; Jiang, G.; Wang, G.; Yang, L.; He, Y.; Dong, T.; Yuan, X. Performance Evaluation of Polymer Nanolatex Particles as Fluid Loss Control Additive in Water-Based Drilling Fluids. Geoenergy Sci. Eng. 2023, 223, 211462. [Google Scholar] [CrossRef]
  75. Lin, Y.; Tian, Q.; Lin, P.; Tan, X.; Qin, H.; Chen, J. Effect of Nanoparticles on Rheological Properties of Water-Based Drilling Fluid. Nanomaterials 2023, 13, 2092. [Google Scholar] [CrossRef] [PubMed]
  76. Wang, G.; Li, W.; Qiu, S.; Liu, J.; Ou, Z.; Li, X.; Ji, F.; Zhang, L.; Liu, S.; Yang, L.; et al. Application of a Core-Shell Structure Nano Filtration Control Additive in Salt-Resistant Clay-Free Water-Based Drilling Fluid. Polymers 2023, 15, 4331. [Google Scholar] [CrossRef]
  77. Bardhan, A.; Vats, S.; Prajapati, D.K.; Halari, D.; Sharma, S.; Saxena, A. Utilization of Mesoporous Nano-Silica as High-Temperature Water-Based Drilling Fluids Additive: Insights into the Fluid Loss Reduction and Shale Stabilization Potential. Geoenergy Sci. Eng. 2024, 232, 212436. [Google Scholar] [CrossRef]
  78. Ali, J.A.; Abbas, D.Y.; Abdalqadir, M.; Nevecna, T.; Jaf, P.T.; Abdullah, A.D.; Rancová, A. Evaluation the Effect of Wheat Nano-Biopolymers on the Rheological and Filtration Properties of the Drilling Fluid: Towards Sustainable Drilling Process. Colloids Surf. A Physicochem. Eng. Asp. 2024, 683, 133001. [Google Scholar] [CrossRef]
  79. Li, X.; Wang, K.; Lu, Y.; Shen, X.; Zhang, H.; Peng, J.; Jiang, S.; Duan, M. Compatibility and Efficiency of Hydrophilic/Hydrophobic Nano Silica as Rheological Modifiers and Fluid Loss Reducers in Water-Based Drilling Fluids. Geoenergy Sci. Eng. 2024, 234, 212628. [Google Scholar] [CrossRef]
  80. Alihosseini, A.; Hassan Zadeh, A.; Monajjemi, M.; Nazary Sarem, M. Effectiveness of Alumina Nanoparticles in Improving the Rheological Properties of Water-Based Drilling Mud. Iran. J. Oil Gas Sci. Technol. 2021, 10, 12–27. [Google Scholar]
  81. Mohammadi, M.; Kouhi, M.; Sarrafi, A.; Schaffie, M. Studying rheological behavior of nanoclay as oil well drilling fluid. Res. Chem. Intermed. 2015, 41, 2823–2831. [Google Scholar] [CrossRef]
  82. Vipulanandan, C.; Mohammed, A.; Samuel, R.G. Fluid loss control in smart bentonite drilling mud modified with nanoclay and quantified with Vipulanandan fluid loss model. In Proceedings of the Offshore Technology Conference, Houston, TX, USA, 30 April–3 May 2018. [Google Scholar]
  83. Liu, C.; Li, M.; Mei, C.; Chen, W.; Han, J.; Yue, Y.; Ren, S.; French, A.D.; Aita, G.M.; Eggleston, G.; et al. Cellulose nanofibers from rapidly microwave-delignified energy cane bagasse and their application in drilling fluids as rheology and filtration modifiers. Ind. Crops Prod. 2020, 150, 112378. [Google Scholar] [CrossRef]
  84. Ismail, A.R.; Aftab, A.; Ibupoto, Z.H.; Zolkifile, N. The novel approach for the enhancement of rheological properties of water-based drilling fluids by using multi-walled carbon nanotube, nanosilica and glass beads. J. Pet. Sci. Eng. 2016, 139, 264–275. [Google Scholar] [CrossRef]
  85. da Luz, R.C.; Paixão, M.V.; Balaban, R.D. Nanosilica-chitosan hybrid materials: Preparation, characterization and application in aqueous drilling fluids. J. Mol. Liq. 2019, 279, 279–288. [Google Scholar] [CrossRef]
  86. Alvi, M.A.; Belayneh, M.; Bandyopadhyay, S.; Minde, M.W. Effect of iron oxide nanoparticles on the properties of water-based drilling fluids. Energies 2020, 13, 6718. [Google Scholar] [CrossRef]
  87. Ahmad, H.M.; Iqbal, T.; Kamal, M.S.; Al-Harthi, M.A. Influence of hydrophobically modified polymer and titania nanoparticles on shale hydration and swelling properties. Energy Fuels 2020, 34, 16456–16468. [Google Scholar] [CrossRef]
Disclaimer/Publisher’s Note: The statements, opinions and data contained in all publications are solely those of the individual author(s) and contributor(s) and not of MDPI and/or the editor(s). MDPI and/or the editor(s) disclaim responsibility for any injury to people or property resulting from any ideas, methods, instructions or products referred to in the content.

Article Metrics

Citations

Article Access Statistics

Multiple requests from the same IP address are counted as one view.