Abstract
This work used piperazine (PZ) as a base solvent, blended individually with five amines, which were monoethanolamine (MEA), secondary amines (DIPAs), tertiary amines (TEAs), stereo amines (AMPs), and diethylenetriamine (DETA), to prepare mixed solvents at the desired concentrations as the test solvents. A continuous bubble-column scrubber with one stage (1 s) was first used for the test. Six parameters were selected, including the type of mixed solvent (A), the ratio of mixed solvents (B), the solvent feed rate (C), the gas flow rate (D), the concentration of the mixed solvents (E), and the liquid temperature (F), each one having five levels. Using the Taguchi experimental design, only 25 runs were required. The outcome data, such as the absorption efficiency (EF), the absorption rate (RA), the overall mass-transfer coefficient (KGa), and the absorption factor (φ), could be determined under steady-state conditions. The optimal mixed solvents were found to be A1 (PZ + MEA) and A2 (PZ + DIPA). The parameter importance and optimal conditions for EF, RA, KGa, and ϕ were determined separately; the verification of all optimal conditions was successful. This analysis found that the importance of the parameters was D > C > A > E > B > F, and the gas flow rate (D) was the most important factor. Subsequently, multiple-stage scrubbers were used to capture CO2. Comparing 1 s and 3 s (three-stage scrubber), EF, RA, KGa, and φ increased by 33%, 29%, 22%, and 38%, respectively. The desorption tests for the four optimal scrubbed solutions, including multiple stages, showed that the heat of regeneration for the three scrubbers was 3.57–8.93 GJ/t, in the temperature range of 110–130 °C, while A2 was the best solvent. Finally, the heat regeneration mechanism was also discussed in this work.
1. Introduction
It has been internationally determined that the global average rise in temperature will not exceed 1.5 °C before 2050, compared to the levels before industrialization. However, the global surface temperature rose by nearly 1.1 °C between 2011 and 2020, accounting for 0.4 °C of the estimated 1.5 °C. The strategies for controlling CO2 emissions ahead of 2050 have shown that the total emissions should be lowered to a value of 14 Gt CO2 by 2050, which is a reduction of 42 Gt CO2 compared to the current values [1]. Therefore, many methods have been proposed, including carbon capture and storage (CCS), new energy sources, including nuclear energy, and fossil fuel avoidance; among these, CCSU (carbon capture, storage, and utilization) emerges as an important tool for CO2 reduction. This strategy has three components, including CCS, CCU, and biotechnology [2]. Amine absorption is the most widely used technique, whereby a dual-unit system combining the scrubber with the desorptor is selected, in a CO2 concentration range of 0–20%, below 10 atm [3]. This system absorbs CO2 whilst regenerating solvent [4,5,6,7]. The absorption of 1 ton of CO2 by this system was internationally estimated to cost USD 52–77 in 2009 [8], with current estimates reaching USD 190 [9]. For thermal power plants, as shown in Figure 1, this value accounts for more than 1/2 of the cost of the electricity. If the cost could be reduced to 35% of the electricity cost, this would be beneficial for the development of CCS. According to cost structure analyses, absorption operation and solvent desorption, compression, transportation, and storage account for 12%, 70%, 10%, and 8% of the cost, respectively. The literature indicates that this cost can be reduced via two methods, i.e., by improving the process [10,11] or selecting effective solvents [12,13]. Therefore, this paper first focuses on the selection of solvents and then tackles process improvement.
Figure 1.
CO2 capture using a double-unit process in a coal-fired plant. Red circle shows the removal of CO2 process.
A large amount of CO2 capture studies have been conducted in the past, focusing on solvents including amines [12,14,15,16,17], NaOH [18], K2CO3 [19], amino acid salt [20,21], and ionic liquids [6]. Amine solvents have been extensively studied, including single amines, such MEA, and mixed amines, mainly to explore the loading of CO2, the reaction rates, the mass transfer coefficient, and solvent regeneration. The uses of amines, from single amines to mixed solvents, are diverse [10,22,23,24,25,26,27,28,29,30].
Generally speaking, amines can be classified into primary, secondary, tertiary, stereo, and cyclic amine compounds. Table 1 [31,32,33,34,35,36] shows the properties of different amines. The cyclic amine PZ (piperazine) can effectively increase absorption rates and loading [27], because it has a high reaction rate constant (53,700 m3/s·kmol at 25 °C) and a low activation energy (33.6 kJ/mol) [6,37]. As a result, it can be used as an activator that is commonly added to MEA, DETA, DEA, MDEA, and AMP solutions to increase the CO2 absorption rate. For example, Mondal [38] found that the loading of DEA + PZ was better than DEA + AMP, MDEA + PZ, DEA + MDEA, and TIPA + PZ when the concentration was 2–3 M. Oyenekan and Rochelle [10] used 7 M MDEA + PZ solvent to conduct CO2 absorption and desorption tests, showing that this could save up to 22% of the energy compared to the baseline MEA. Zohi et al. [39] found that, when MDEA + PZ (5:1) was used, the absorption rate was doubled compared to the pure MDEA solvent. Moreover, Wu et al. [40] found that the efficiency of DETA + PZ was higher than that of MEA, saving 54.8% of energy. Li et al. [41] added PZ to NH3 to study the absorption of CO2 and found that the overall mass transfer coefficient increased with the PZ concentration. Some scholars conducted kinetic studies [31,37,42] beneficial to the widespread application of PZ. In addition to adding PZ to amines, some studies used PZ solvents for absorption and desorption tests [9].
Table 1.
Performance of different solvents.
A good scrubbing solvent should have a high absorption capacity, a low regeneration heat, a high mass transfer rate, a high reaction rate, a low degradation rate, and low volatility [13]. PZ has these properties. In addition, thin PZ has low viscosity, toxicity, and fouling, but its cost is high. During the PZ absorption process, carbamate is first formed, followed by dicarbamate. PZ has a cyclic diamine structure that may facilitate the rapid formation of carbamates when reacting with CO2. Theoretically, PZ can absorb two moles of CO2 for one mole of amines [24]. So, PZ can be mixed with other amines and an appropriate scrubber under different operating conditions. Additionally, the effects on the pH values of different mixed solvents need to be studied. Also requiring consideration is the fact that PZ is loaded at higher concentrations under cold environments. For larger-scale post-combustion capture, the economic characteristics and environmental issues of the entire process are primarily determined by the choice of solvent [23]. Due to the advantages and disadvantages of PZ, the use of low-concentration PZ-based mixed solvents was considered in this study. The total concentration was less than 3 M in this work, compared to 5–7 M for the test solvents in the literature [10,13,23,24,38,40].
In our laboratory, MEA was used as a matrix with various levels of amines and a continuous scrubber to determine the optimal solvent [30]. Using outcome data, EF, RA, KGa, and ϕ as the indicators, the results showed that MEA + PZ was the optimal solvent, followed by MEA and MEA + DIPA. Solvent regeneration showed that the ranking of the optimal solvents was MEA > (MEA + PZ) > (MEA+ DIPA). The regeneration heat load was 3.39–8.45 GJ/t-CO2, and the value reported in the relevant literature was 2–12 GJ/t-CO2 [30].
As discussed above, PZ can be used alone as an activator or as a mixed solvent, making its use as a matrix flexible. PZ has significant effects on CO2 loading (α), EF, RA, KGa, and ϕ, related to the absorption reaction. Its reaction kinetics correspond to the mode of zwitterions, similar to the primary amines and secondary amines [31,42]:
Equations (4) and (5) are the first-order and second-order reaction kinetics, respectively. The kinetic equation of the zwitterions in the quasi-steady state is as follows:
where are the alkaline components (PZ, PZCOO−, PZH+, H2O, OH−), which can remove protons. in Equation (6) determines the type I (Y << 1) or type II (Y >> 1) reaction mechanisms. However, past studies [37,42] have indicated that, as the deprotonation rate of PZ is very high, it is a type I mechanism, so Equation (6) is reduced to the following:
This is similar to the reactions of amines at all levels. Considering the mixed solvent created using PZ as the matrix and the reaction of carbonate Equations (1)–(3), the total equation is as follows:
This equation is also applicable to tertiary amine R1R2R3N, where and are the rate constants of Equations (1) and (2). According to Equation (8), the reaction rate is affected by temperature, (k2), [PZ], [R1R2NH], [H2O], [OH−], and [CO2], alongside various gas–liquid contact modes (scrubber).
Compared to other types of multiple-phase reactors, bubble columns are preferred for many applications. Due to their great heat and mass transfer properties, they allow for nearly isothermal operations, leading to selectivity improvements [43]. In addition, their ease of operation, internal components, simple structure, and low maintenance costs favor the making of bubble columns over fluidized beds, stirred tanks, and fixed-bed reactors [44]. Due to the complex interaction between the phases, bubble columns lead to back mixing and are hard to scale-up and design. To achieve this, the molecular size, using, for instance, different reactants, the bubble scale, such as KGa, and the reactor scale, including the diameter and length, need to be considered carefully. A bubble column with a multiphase reactor that can be used as a scrubber has varied applications in several fields, including in the chemical, petrochemical, biochemical, and metallurgical industry for gas–liquid and gas–liquid–solid contact or chemical reactions. In this study, a bubble-column scrubber is operated continuously, because its KGa and ϕ present advantages over those of packed towers and ultrahigh-speed rotating packed beds [18]. In this study, besides using a single-stage bubble column for mixed-solvent sorting, a multi-stage bubble column is tested to explore its impact on CO2 capture, so as to improve the process. Therefore, the use of bubble columns as scrubbers is not only aimed at CO2 capture but also at a lot of other applications.
This study is divided into two parts: the first part uses a single-stage bubble column to study the absorption of the mixed solvent with PZ as the matrix, using EF, RA, KGa, and φ as the indicators. The Taguchi method is adopted to determine the optimal mixed-solvent combination; the second part uses the solvent under optimal conditions to test a multi-stage bubble column, exploring the influence of the number of stages on various indicators. Subsequently, solvent regeneration tests are also performed for the scrubbed solutions, for both the one-stage and multi-stage column, under optimal conditions. The heating temperature is the range of 110–130 °C. The heat of vaporization, absorbed heat, and sensible heat are calculated based on the obtained data, and the heat load mechanism is further analyzed as a reference for preparing mixed solvents. According to the summary of these two parts, the optimal mixed solvent, made using PZ as the matrix, can be obtained from the one-stage absorption test, the mixed solvent with the optimal regeneration heat duty can be obtained from the second part of this study, and the optimal solvent can thus be determined. The framework of this study is shown in Figure 2, divided into phase I and phase II, to achieve the above goals. Phase I has six factors and five levels each. The solvents can be sorted rapidly using the Taguchi experimental design.
Figure 2.
Framework of this study.
2. KGa and RA Determination for Multiple-Stage Bubble-Column Scrubbers
A multiple-stage bubble-column scrubber is shown in Figure 3. In order to enhance the mixing effect, a co-current flow is utilized, as shown in the figure. We assume gas–liquid contact in one stage, remaining in equilibrium under isothermal conditions. Because of the gas–liquid contact with the co-current flow, the simulated flue gas, CO2(A) + N2(B), goes through the distributor, forming small bubbles and mixing with the solvent in the scrubber. The CO2 gas from the gas film side diffuses through the interface and then into the liquid film side, being absorbed by the solvent, as shown in Figure 3b. At the interface, the CO2 gas follows Henry’s law. Using a two-film model and a multiple-plug flow model in the column [30], the multiple-stage absorption rate and overall mass transfer coefficient in the scrubber can be determined as follows:
and
Figure 3.
Absorption of CO2 in a multiple-stage column and absorption mechanism. (a) Multiple-stage column; (b) Two-film model.
Additionally, the absorption efficient (EF) and scrubbing factor (φ) are shown below:
and
Here, Gi and Li are the gas molar flow rate and the liquid molar flow rate leaving at the ith plate, respectively, while yi and xi represent the gas and liquid molar fractions in the ith plate, respectively. In addition, Qg and VL are the volume flow rate of the gas phase and the liquid volume in the column, respectively. From the measured data, indicators can be calculated using Equations (9)–(12). The derivation present in Equations (9) and (10) is shown in Supplementary Materials S1.
3. Determination of Heat of Regeneration
If one assumes no heat loss during regeneration, the heat of regeneration includes three parts, i.e., the heat of adsorption (qads), the sensitive heat (qsen), and the heat of evaporation (qsol), as follows:
Using thermal data [45,46,47,48,49,50], the heat of regeneration, including the heat of absorption [45,48,49,50], the heat capacity [46], and the latent heat [51], can be determined. In Equation (12), Cp is the heat capacity of the scrubbed solutions, ΔHad is the heat of adsorption, ΔT is the temperature difference, msol is the mass of the regeneration solution at the start, is the mass loss of CO2 after stripping, ΔHvap is the heat of evaporation, and Δm1 is the scrubbed solution loss during regeneration.
4. Experimental Feature
4.1. Absorption Experimental Device and Procedure
Figure 4 shows the experimental device for CO2 absorption in the scrubber, including the bubble column, tubing pumps with a mass flow controller for the gas flow, a liquid flow meter, a pH meter, CO2 m, a gas-heating chamber, and a liquid-cooling system [30,52]. Before starting the experiment, the desired mixed-solvent concentration was prepared using distilled water. Next, the flow rates of CO2 (A) and N2 (B) were adjusted with a mass flow controller at 15% of the CO2 concentration, keeping the gas inlet temperature at 50 °C. The mixed solvent was put into the scrubber after the desired temperature and CO2 concentration had been reached, and the experiment started. During the operation, the pH of the solution, the liquid temperature, the gas inlet temperature, the gas outlet temperature, the pressure, and the CO2 concentration were recorded every 5 min. The liquid at the outlet was sampled for measuring the concentration of carbonate in the solution using the titration method. At the end of operation, the solvent input pump was shut, and the solution in the bubble column was withdrawn using a tubing pump to measure the volume of the liquid (VL). Using the measured values, including P, yAM+1, yA1, T, and VL, all the outcome data could be evaluated. The same procedure was applied for multiple-stage absorption. In order to compare the performance of different scrubbers, four optimal conditions, including EF, RA, KGa, and φ, obtained from the Taguchi analysis, were used for the 1 s, 2 s, and 3 s tests.
Figure 4.
Device for the CO2 absorption experiment. 1. CO2 gas tank; 2. N2 gas tank; 3. mass flow controller; 4. PC monitor; 5. PC; 6. pressure meter; 7. digital thermometer; 8. scrubber; 9. dryer; 10. CO2 m; 11. solvent tank; 12. pH meter; 13. receiver tank; 14. tubing tank; 15. heater; and 16. cooler.
4.2. Taguchi Experimental Design
Six factors, including A, B, C, D, E, and F, were selected, each having five levels. According to a traditional experimental design, 15,625 runs should have been tested, leading to a long experimentation time. Using the Taguchi design, the number of experiments could be largely reduced from 15,625 to 25 runs, reducing the experimental costs by up to 99.84%. Table 2 shows the factors and levels considered in this work. According to the Taguchi analysis, the optimal conditions and parameter importance could be determined from the outcome data, which could be estimated using the S/N ratio [21,52]:
Table 2.
Factors and levels considered in this work.
4.3. Regeneration Test
The regeneration apparatus in our work was the same as those used in a previous work [30]. This system included a ball-type condenser tube, a three-neck round flask, a heating system, and a cooling circulator, assembled as shown in Figure 2. The input cooling water temperature was set to 5 °C. Once the heating oil temperature reached the desired value (110, 120, or 130 °C) and the cooling circulator temperature was stable, the 50 g (0.05 kg) scrubbed solution was imported into the three-neck round flask, and the magnetic stirrer was switched on. The experimental time was set to sixty minutes, and the temperature change was recorded once every five minutes. When the experiment was finished, the heating controller and cooling circulator were turned off, the mass of the regenerated solution was measured, and the samples were taken for measuring CO2 loading by the titration method. The q in Equation (12) can be determined using the measured data. Thirty-six runs were carried out.
5. Results and Discussion
5.1. Absorption Data
The absorption data, including EF, RA, Ka, and ϕ, could be determined under steady-state conditions, as detailed in Section 2. The data from 25 runs are summarized in Table 3, with the following ranges: 84.21–100.00%, 5.11 × 10−4–20.20 × 10−4 mol/L·s, 0.36–1.59 s−1, and 0.0434–0.2829 mol-CO2/mol-solvent·L for EF, RA, KGa, and ϕ, respectively. The steady-state pH values ranged from 9.98 to 11.42, depending on the operating conditions. Additionally, the γ values ranged from 0.26 to 1.95 and α ranged from 0.24 to 0.73. All the data were evaluated to identify the optimal mixed solvent.
Table 3.
Absorption data for a single-stage scrubber.
5.2. Solvent Selection According to Absorption Data
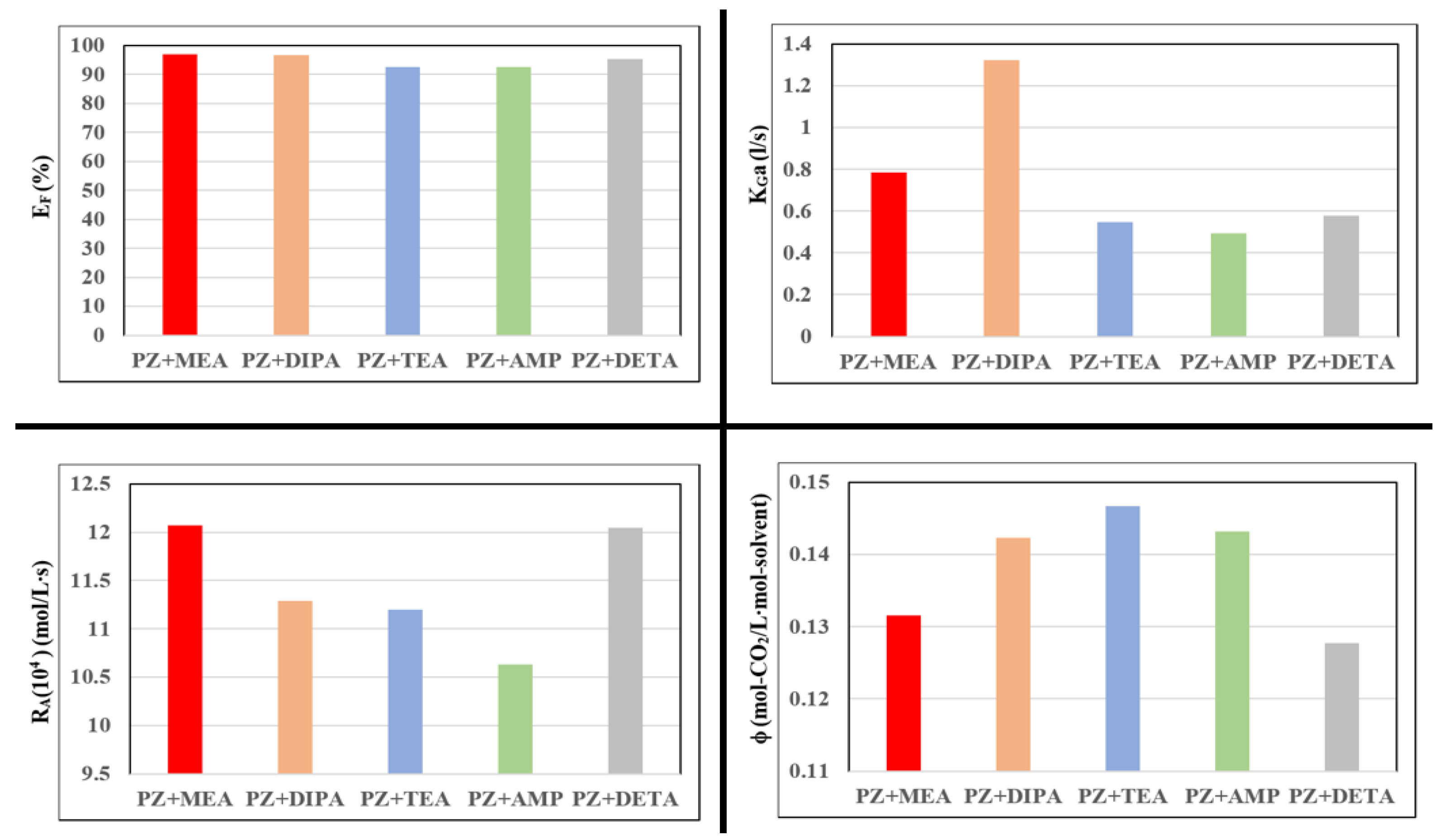
Table 3 presents five types of mixed solvents: A1, A2, A3, A4, and A5. Their indicators can be compared because all the groups were subjected to the same operating conditions. Table 4 and Figure 5 show the mean values for different mixed amines. It was found that, except for EF, which showed minimal differences, all the other indicators exhibited significant variations. Additionally, each mixed amine was assigned a quantitative score—5, 4, 3, 2, and 1—based on the magnitude values of the indicators, as shown in Table 4 by the bold numbers within brackets. The mean values were 4, 4, 2.75, 2, and 2.25 for A1, A2, A3, A4, and A5, respectively. The results indicated that A1 (PZ + MEA) and A2 (PZ + DIPA) were the most effective mixed solvents. However, the KGa for A2 was 1.47 times that of A1, indicating that a smaller scrubber size was required when using the A2 mixed solvent.
Table 4.
Mean indicators for different mixed solvents.
Figure 5.
Comparison of indicators for different amines.
5.3. Taguchi Analysis
The S/N (signal/noise) ratios for “the larger, the better” and “the smaller, the better” could be determined using Equations (14) and (15). Table 3 shows that the maximum EF is 100%, achieved with the A2 (PZ + DIPA) mixed solvent. Therefore, “the smaller, the better” was applied to EF, while “the larger, the better” was used for RA, KGa, and ϕ. The brackets in Table 5 highlight the maximum values for each factor. The “DELTA” value in this table indicates the difference between the maximum and minimum values of each factor, such as (A3-A1), giving 0.3968. The DELTA range was 0.1549–0.8058. For EF, the optimal conditions and parameter sequences were A3 B3 C2 D5 E1 F3 and D > E > C > A > F > B, respectively, as shown in Table 5. The other optimal conditions and parameter sequences are detailed in Table 6. With the exception of no. 26 (EF), the optimal conditions for no. 27–no. 29 showed that the mixed solvents A1 (no. 29) and A2 (no. 27 and no. 28) were similar to those in Section 5.2, indicating that A1 (PZ + MEA) and A2 (PZ + DIPA) were the best mixed solvents. Based on a point (0–5) analysis for six factors, as shown in Table 7, the importance of the parameters was ranked as D(4.5) > C(3.25) > A(3) > E(2.75) > B(1) > F(0.5), showing that the gas flow rate (D) was the most important factor identified in this study. However, the optimal conditions for nos. 26–29 need further verification.
Table 5.
S/N ratio for EF giving the optimal conditions and importance of the parameters.
Table 6.
Optimal conditions and sequence of parameters.
Table 7.
Factor importance analysis using a scoring analysis.
5.4. Verifications
To verify and compare the different columns, three types of bubble-column scrubbers were used for the tests, including one-stage (1 s), two-stage (2 s), and three-stage (3 s) bubble-column scrubbers. The operating procedure for the 2 s and 3 s scrubbers was similar to that used for 1 s. The verification results for the 1 s scrubbers, as indicated in Table 8 within the brackets, showed that EF (minimum), RA, KGa, and ϕ were 72.9%, 24.97 × 10−4 mol/s·L, 1.62 1/s, and 0.46 mol-CO2/L·mole-solvent, respectively. Compared to the data from the Taguchi experiments (nos. 1–25), all the data collected under optimal conditions were successfully verified, indicating that the Taguchi experimental design used in this study was reliable. Verifications using 2 s and 3 s, also listed in Table 8 within the red brackets, were successful. Figure 6 illustrates the normalized outcome data with 1 s as the reference. It can be observed that all the values improved with an increased number of stages, demonstrating that increasing the number of stages enhances the performance of CO2 absorption. Comparisons between the 1 s and 3 s scrubbers showed increases in the EF, RA, KGa, and ϕ by 33%, 29%, 22%, and 38%, respectively. These improvements were attributed to the increased gas–liquid contact area provided by the additional two perforated plates.
Table 8.
Verifications of optimal conditions for different scrubbers.
Figure 6.
A plot of normalized outcome data showing the effect of the number of stages.
5.5. Heat of Regeneration
Solvent regeneration tests were conducted for four optimal conditions, nos. 26–29 (1 s), with no. 26 (1 s) used as an example. The tested temperatures were set to 110, 120, and 130 °C. The changes in the regeneration solvent temperature are shown in Figure 7. The data indicate that the temperature of the original scrubbed solution increased rapidly for 20 min and then plateaued. Using Equation (12), qads, qsen, and qsol were determined based on the measured and thermal data. The calculated data for the 1 s test are presented in Table 9. The total heat of regeneration ranged from 3.78 to 8.89 GJ/t, close to the range of 3.39–8.45 GJ/t reported in previous studies [30] and within the range of 2 GJ/t and 12 GJ/t reported in the literature [53,54,55]. All the regeneration data are listed in Supplementary Materials S2.
Figure 7.
Regeneration temperature changes with time under different conditions.
Table 9.
Heat of regeneration for 1 s at different scrubber temperatures.
5.5.1. Regeneration Mechanism
The individual energy estimations (1 s) for qsen, qsol, and qads were 0.56–1.57 GJ/t, 2.0–6.13 GJ/t, and 1.22–1.73 GJ/t, respectively. The fractions (Fs) of the individual required energies ranged from 0.101 to 0.151, 0.529 to 0.721, and 0.137 to 0.342 for qsen, qsol, and qads, respectively. According to the 1 s solvent regeneration test, the heat regeneration sequence at three temperature averages was no. 26 (6.44) < no. 28 (6.48) < no. 29 (6.61) < no. 27 (6.69), with slightly differences among them. Moreover, the heat of regeneration of different scrubbers increased with an increase in the regeneration temperature, as shown in Figure 8, which was similar to that reported in the literature [21,22] when the loading was higher than 0.4. To explore the regeneration mechanism, Figure 9 plots the total heat of regeneration against the fractions of individual energies (Fs). The values ranges were 0.10–0.20 (Figure 9a), 0.40–0.70 (Figure 9b), and 0.20–0.40 (Figure 9c) for qsen, qsol, and qads, respectively. This shows that the fraction of qsol was the dominating factor compared to qsen and qsol. Additionally, the fraction of qsol increased with an increase in q, while the fraction of qads increased with a decrease in q.
Figure 8.
Heat of regeneration for different scrubbed solutions.
Figure 9.
Analysis of heat of regeneration. (a) Fraction of sensitive heat; (b) fraction of heat of evaporation; (c) fraction of heat of adsorption.
5.5.2. Selection of Solvent
Following the discussion in the previous section, there are two major ways to decrease q: selecting a solvent with a lower heat of absorption (such as no. 26) or using a higher-concentration solvent to reduce the heat of evaporation (such as 1.5 M for no. 27 and 2.5 M for no. 28), alongside those reported in the literature [14,16]. A2 and A3 were the selected solvents in this study. Additionally, a higher α, which is related to the pH, t, and Ct, can control the heat of regeneration. A regression analysis of α is required and can be expressed as follows:
The regression results for different mixed solvents are shown in Table 10. The R2 values for different mixed solvents are also presented in this table. The regressions are considered reliable because the R2 values exceed 0.6 in all cases. It can be observed that α increases when the conditions involve a lower pH, a lower t, or a higher Ct for most cases. Alternatively, the heat of regeneration (q) can be expressed in terms of the solution pH, the generation temperature (t), and the loading difference (Δα). The regression result for all regeneration data (36 data points) becomes as follows:
Table 10.
Parameters of the correlation equations in Equation (15).
The R square in our study was found to be 0.7814, and the deviation between the measured data and the calculated data is shown in Figure 10. The smaller deviation shows that the result was reliable. The regression results state that q attenuates when conditions involve a higher pH, a lower t, or a higher Δα.
Figure 10.
Plot of qcal versus qmea, showing the reliability of regression analysis.
6. Conclusions
A lab-scale continuous bubble-column scrubber for CO2 capture was effectively used to assess the performance of PZ-based mixed solvents from absorption and heat regeneration data. According to the Taguchi analysis, the parameters’ importance was ranked as D > C > A > E > B > F, indicating that the gas flow rate (D) was the most important factor, while the liquid flow rate (C) came second. The priority sequence of the mixed solvents was A1 = A2 > A3 > A5 > A4. The absorption efficiency could be controlled within values greater than 90% when γ was in the range of 0.27–1.87. The verification of 1 s demonstrated that all the data collected under optimal conditions were successfully verified, indicating the reliability of the Taguchi experimental design. Additionally, the verifications using 2 s and 3 s were also successful, indicating that all performance metrics improved with an increase in the number of stages. This suggests that CO2 capture performance can be enhanced by increasing the number of stages. The heat of regeneration for the three scrubbers ranged from 3.57 to 8.93 GJ/t, depending on the operating conditions. This shows that the fraction of qsol was the dominating factor, compared to qsen and qads. Additionally, α could be controlled by adjusting the pH, the t, and the Ct, while q could be reduced when conditions involved a higher pH, a lower t, or a higher Δ α. Based on our CO2 capture study and heat regeneration tests, A2 (PZ + DIPA) is the preferred choice. The optimal conditions were identified to be B = 25%, C = 350 mL/min, D = 12 L/min, E = 1.5–2.5 M, and F = 40 °C. Finally, the results showed that the Taguchi method is a quick screening method for obtaining the optimal mixed solvent. The above results regarding CO2 capture can also be used as a reference in several field, including in the chemical, petrochemical, biochemical, and metallurgical industry, for gas–liquid and gas–liquid–solid contact or chemical reactions.
Supplementary Materials
The following supporting information can be downloaded at: https://www.mdpi.com/article/10.3390/pr12102178/s1, Figure S1: A mutiple-tube mass balance model; Table S1: CO2 loading data before and after regenerations; Table S2: Heat of regeneration data obtained according to EF optimum condition; Table S3: Heat of regeneration data obtained according to RA optimum condition; Table S4: Heat of regeneration data obtained according to KGa optimum condition; Table S5: Heat of regeneration data obtained according to ϕ optimum condition.
Author Contributions
Methodology, P.-C.C.; software, J.-H.J. and Z.-Y.L.; validation, J.-H.J.; formal analysis, P.-C.C. and Z.-Y.L.; investigation, Z.-Y.L.; resources, J.-H.J. and Z.-Y.L.; data curation, J.-H.J.; writing—original draft, J.-H.J.; writing—review and editing, P.-C.C.; project administration, P.-C.C.; funding acquisition, P.-C.C. All authors have read and agreed to the published version of the manuscript.
Funding
This research was funded by Overseas Chinese Environmental Engineers & Scientists Association (AOI-3).
Data Availability Statement
The original contributions presented in the study are included in the article, further inquiries can be directed to the corresponding author.
Conflicts of Interest
The authors declare no conflicts of interest.
References
- Masson-Delmotte, V.; Zhai, P.; Pörtner, H.-O.; Roberts, D.; Skea, J.; Shukla, P.R.; Pirani, A.; Moufouma-Okia, W.; Péan, C.; Pidcock, R.; et al. (Eds.) Special Report on Global Warming of 1.5 °C (SR15); Intergovernmental Panel on Climate Change (IPCC): Geneva, Switzerland, 2018. [Google Scholar]
- Gabrielli, P.; Poluzzi, A.; Kramer, G.J.; Spiers, C.; Mazzotti, M.; Gazzani, M. Seasonal energy storage for zero-emissions multi-energy systems via underground hydrogen storage. Renew. Sustain. Energy Rev. 2020, 121, 109629. [Google Scholar] [CrossRef]
- Han, K.; Ahn, C.K.; Lee, M.S. Performance of an ammonia-based CO2 Capture pilot facility in iron and steel industry. Int. J. Greenh. Gas Control 2014, 27, 239–246. [Google Scholar] [CrossRef]
- Khan, U.; Ogbaga, C.C.; Omolabake Abiodun, K.O.; Adeleke, A.A.; Ikubanni, P.P.; Okoye, P.U.; Okolie, J.A. Assessing absorption-based CO2 capture: Research progress and techno-economic assessment overview. Carbon Capture Sci. Technol. 2023, 8, 100165. [Google Scholar] [CrossRef]
- Mangalapally, H.P.; Notz, R.; Hoch, S.; Asprion, N.; Sieder, G.; Garcia, H.; Hasse, H. Pilot plant experimental studies of post combustion CO2 capture by reactive absorption with MEA and new solvents. Energy Procedia 2009, 1, 963–970. [Google Scholar] [CrossRef]
- Yu, C.H.; Huang, C.H.; Tan, C.S. A Review of CO2 Capture by absorption and adsorption. Aerosol Air Qual. Res. 2012, 12, 745–769. [Google Scholar] [CrossRef]
- Oexmann, J.; Kather, A. Minimising the regeneration heat duty of post-combustion CO2 capture by wet chemical absorption: The misguided focus on low heat of absorption solvents. Inter. Greenh. Gas Control 2010, 4, 36–43. [Google Scholar] [CrossRef]
- Rochelle, G.T. Amine scrubbing for CO2 capture. Science 2009, 325, 1652–1654. [Google Scholar] [CrossRef]
- Babu, A.S.; Rochelle, G.T. Cost-effective stripper designs for CO2 capture on a 460 MW NGCC using piperazine. Carbon Capture Sci. Technol. 2024, 11, 100196. [Google Scholar] [CrossRef]
- Oyenekan, B.A.; Rochelle, G.A. Alternative stripper configurations for CO2 capture by aqueous solution amines. AIChE J. 2007, 53, 3144–3154. [Google Scholar] [CrossRef]
- Feron, P.H.M. The potential for improvement of the energy performance of pulverized coal fired power stations with post-combustion capture of carbon dioxide. Energy Procedia 2009, 1, 1067–1074. [Google Scholar] [CrossRef]
- Salazar, J.; Diwekar, U.; Joback, K.; Berger, A.H.; Bhown, A.S. Solvent selection for post-combustion CO2 capture. Energy Procedia 2013, 37, 257–264. [Google Scholar] [CrossRef][Green Version]
- Mathia, P.M.; Reddy, S.; Smith, A.; Afshar, K. Aguide to evaluate solvents and processes for post-combustion CO2 capture. Energy Procedia 2013, 37, 1863–1870. [Google Scholar] [CrossRef]
- Stec, M.; Tatarczuk, A.; Cław-Solny, L.W.; Krotki, A.; Spietz, T.; Wilk, A.; Spiewak, D. Demonstration of a post-combustion carbon capture pilot plant using amine-based solvents at the Łaziska Power Plant in Poland. Clean Techn Env. Policy 2016, 18, 151–160. [Google Scholar] [CrossRef]
- Kim, I.; Hoff, K.A.; Mejdell, T. Heat of absorption of CO2 with aqueous solutions of MEA: New experimental data. Energy Procedia 2014, 63, 1446–1455. [Google Scholar] [CrossRef]
- Hack, J.; Maeda, N.; Meier, D.M. Review on CO2 Capture Using Amine-Functionalized Materials. ACS Omega. 2022, 7, 39520–39530. [Google Scholar] [CrossRef]
- Lopez, A.B.; La Rubia, M.D.; Navaza, J.M.; Pacheco, R.; Gomez-Dıaz, D. Characterization of MIPA and DIPA aqueous solutions in relation to absorption, speciation and degradation. J. Ind. Eng. Chem. 2015, 21, 428–435. [Google Scholar] [CrossRef]
- Choi, B.K.; Kim, S.M.; Lee, J.S.; Park, Y.C.; Chun, D.H.; Shin, H.Y.; Sung, H.J.; Min, B.M.; Moon, J.H. Effect of blending ratio and temperature on CO2 solubility in blended aqueous solution of monoethanolamine and 2-amino-2-methyl-propanol: Experimental and modeling study using the electrolyte nonrandom two-liquid model. ACS Omega 2020, 5, 28738–28748. [Google Scholar] [CrossRef]
- Chen, P.C. Absorption of carbon dioxide in a bubble-column scrubber. In Greenhouse Gases—Capturing, Utilization and Reduction; InTech: Houston, TX, USA, 2012; Chapter 5; pp. 95–116. [Google Scholar] [CrossRef]
- Borhani, T.N.G.; Azarpour, A.; Akbari, V.; Alwi, S.R.W.; Manan, Z.A. CO2 capture with potassium carbonate solutions: A state-of-the-art review. Int. L J. Greenh. Gas Control 2015, 41, 142–162. [Google Scholar] [CrossRef]
- Kumar, P.S.; Hogendoorn, J.A.; Versteeg, G.F.; Feron, P.H.M. Kinetics of the reaction of CO2 with aqueous potassium salt of Taurine and Glycine. AIChE J. 2003, 49, 203–213. [Google Scholar] [CrossRef]
- Chen, P.C.; Lin, S.Z. Optimization in the absorption and desorption of CO2 using sodium glycinate solution. Appl. Sci. 2018, 8, 2041. [Google Scholar] [CrossRef]
- Aroonwilas, A.; Veawab, A. Integration of CO2 capture unit using blended MEA-AMP solution into coal-fired power plants. Energy Procedia 2009, 1, 4315–4321. [Google Scholar] [CrossRef]
- Dash, S.K.; Samanta, A.N.; Bandyopadhyay, S.S. Simulation and parametric study of post combustion CO2 capture process using (AMP+PZ) blended solvent. Int. J. Greenh. Gas Control 2014, 21, 130–139. [Google Scholar] [CrossRef]
- Artanto, Y.; Jansen, J.; Pearson, P.; Puxty, G.; Cottrell, A.; Meuleman, E.; Feron, P. Pilot-scale evaluation of AMP/PZ to capture CO2 from flue gas of Austrilain brown coal-fired power station. Inter. Greenh. Gas Control 2014, 20, 189–195. [Google Scholar] [CrossRef]
- Neveux, T.; Moullec, Y.L.; Corriou, J.P.; Favre, E. Energy performance of CO2 capture process: Interaction between process design and solvent. Chem. Eng. Trans. 2013, 35, 337–342. [Google Scholar] [CrossRef]
- Lai, Q.; Kong, L.; Gong, W.; Russell, A.G.; Fa, M. Low-energy-consumption and environmentally friendly CO2 capture via blending alcohols into amine solution. Appl. Energy 2019, 254, 113696. [Google Scholar] [CrossRef]
- Lin, P.H.; Wong, D.S.H. Carbon dioxide capture and regeneration with amine/alcohol/water blends. Inter. Greenh. Gas Control 2014, 26, 69–75. [Google Scholar] [CrossRef]
- Wu, S.H.; Caparanga, A.R.; Leron, R.B.; Li, M.H. Vapropressures of aqueous blend-amine solutions containing (TEA/AMP/MDEA)+(DEA/MEA/PZ) at temperatures (303.15–343.15)K. Exp. Therm. Fluid Sci. 2013, 48, 1–7. [Google Scholar] [CrossRef]
- Li, T.; Keener, T.C. A review: Desorption of CO2 from rich solutions in chemical absorption processes. Int. Greenh. Gas Control 2016, 51, 290–304. [Google Scholar] [CrossRef]
- Chen, P.C.; Jhuang, J.H.; Wu, T.W.; Yang, C.Y.; Wang, K.Y.; Chen, C.M. Capture of CO2 Using Mixed Amines and Solvent Regeneration in A Lab-scale Continuous Bubble-column Scrubber. Appl. Sci. 2023, 13, 7321. [Google Scholar] [CrossRef]
- Vaidya, P.D.; Kenig, E.Y. CO2-alkanomine reaction kinetics: A review of recent work. Chem. Eng. Technol. 2007, 30, 1467–1474. [Google Scholar] [CrossRef]
- Adeosun, A.; Hadri, N.E.; Goetheer, E.; Abu-Zahra, M.R.M. Absorption of CO2 by Amine Blends Solution: An Experimental Evaluation. Int. J. Eng. Sci. 2013, 3, 12–23. [Google Scholar] [CrossRef]
- Xiao, J.; Li, C.C.; Li, M.H. Kinetics of absorption of carbon dioxide into aqueous solutions of 2-amino-2-methyl-1-propanol+monoethanolamin. Chem. Eng. Sci. 2000, 55, 161–175. [Google Scholar] [CrossRef]
- Choi, W.J.; Seo, J.B.; Jang, S.Y.; Jung, J.H.; Oh, K.J. Removal characteristics of CO2 using aqueous MEA/AMP solutions in the absorption and regeneration process. J. Environ. Sci. 2009, 21, 907–913. [Google Scholar] [CrossRef]
- Van Wagener, D.H.; Rochelle, G.T. Stripper configurations for CO2 capture by aqueous monoethanolamine. Chem. Eng. Res. Des. 2011, 89, 1639–1646. [Google Scholar] [CrossRef]
- Mazari, S.A.; Ali, B.S.; Jan, B.M.; Saeed, I.M. Degradation study of piperazine, its blends and structural analogs for CO2 capture: A review. Inter. Greenh. Gas Control. 2014, 31, 214–228. [Google Scholar] [CrossRef]
- Bishnoi, S.; Rochelle, G.T. Absorption of carbon dioxide into aqueous piperazine: Reaction kinetics, mass transfer and solubility. Chem. Eng. Sci. 2000, 55, 5531–5543. [Google Scholar] [CrossRef]
- Mondal, M.K. Absorption of carbon dioxide into a mixed aqueous solution of diethanolamine and piperazine. IJCT 2010, 17, 431–435. [Google Scholar] [CrossRef]
- Zoghi, A.T.; Feyzi, F.; Zarrinpashneh, S. Experimental investigation on the effect of addition of amine activators to aqueous solutions of N-methyldiethanolamine on the rate of carbon dioxide absorption. Inter. Greenh. Gas Control 2012, 7, 12–19. [Google Scholar] [CrossRef]
- Wu, T.W.; Hung, Y.T.; Chen, M.T.; Tan, C.S. CO2 capture from natural gas power plants by aqueous PZ/DETA in rotating packed bed. Sep. Purif. Technol. 2017, 186, 309–317. [Google Scholar] [CrossRef]
- Li, L.; Conway, W.; Puxty, G.; Burns, R.; Clifford, S. The effect of paerazinr (PZ) on CO2 absorption kinetics into aqueous ammonia solutions at 25 °C. Inter. Greenh. Gas Control 2015, 36, 135–143. [Google Scholar] [CrossRef]
- Derks, P.W.J.; Kleigeld, T.; Van Aken, C.; Hogendoorn, J.A.; Versteeg, G.F. Kinetics of absorption of carbon dioxide in aqueous 533 piperazine solutions. Chem. Eng. Sci. 2006, 61, 6837–6854. [Google Scholar] [CrossRef]
- Shetty, S.A.; Kan Tak, M.V.; Kelkar, B.G. Gas-phase backmixing in bubble-column reactors. AIChE J. 1992, 38, 1013–1026. [Google Scholar] [CrossRef]
- Youssef, A.A.; Al-Dahhan, M.H.; Dudukovic, M.P. Bubble columns with internals: A review. Inter. J. Chem. Reac. Eng. 2013, 11, 169–223. [Google Scholar] [CrossRef]
- Wanderley, R.R.; Ponce, G.J.C.; Knuutila, H.K. Solubility and heat of absorption of CO2 into diisopropylamine and N,N-diethylethanolamine mixed with organic solvents. Energy Fuels 2020, 34, 8552–8561. [Google Scholar] [CrossRef]
- Chiu, L.F.; Li, M.H. Heat capacity of alkanolamine aqueous solutions. J. Chem. Eng. Data 1999, 44, 1396–1401. [Google Scholar] [CrossRef]
- Eller, K.; Henkes, E. Ullman’s Encyclopedia of Industrial Chemistry, 7th ed.; John Wiley & Sons: Hoboken, NJ, USA, 2005. [Google Scholar]
- Elhajj, J.; Al-Hindi, M.; Azizi, F. A Review of the absorption and desorption processes of carbon dioxide in water systems. Ind. Eng. Chem. Res. 2014, 53, 2–22. [Google Scholar] [CrossRef]
- Ojala, M.S.; Serrano, N.F.; Uusi-Kyyny, P.; Alopaeus, V. Comparative study: Absorption enthalpy of carbon dioxide into aqueous diisopropanolamine and monoethanolamine solutions and densities of the carbonated amine solutions. Fluid Phase Equilibria 2014, 25, 85–95. [Google Scholar] [CrossRef]
- Kim, E.K.; Yun, S.H.; Xhoi, J.H.; Nam, S.C.; Park, S.Y.; Jeong, S.K.; Yoon, Y.I. Comparison of CO2 absorption characteristics of aqueous solutions of diamines: Absorption capacity, specific heat capacity, and heat of absorption. Energy Fuels 2015, 29, 2582–2590. [Google Scholar] [CrossRef]
- Mirzaei, S.; Shamiri, A.; Aroua, M.K. A review of different solvents, mass transfer, and hydrodynamics for postcombustion CO2 capture. Rev. Chem. Eng. 2015, 31, 521–561. [Google Scholar] [CrossRef]
- Chen, P.C.; Chou, P.H.; Lin, S.Z.; Chen, H.W. Capturing CO2 by using a microalgae culture recycle solution. Chem. Eng. Tech. 2017, 40, 2274–2282. [Google Scholar] [CrossRef]
- Zhang, X.; Fu, K.; Liang, Z.; Yang, Z.; Rongwong, W.; Na, Y. Experimental studies of regeneration heat duty for CO2 desorption from aqueous DETA solution in a randomly packed column. Energy Procedia 2014, 63, 1497–1503. [Google Scholar] [CrossRef]
- Mangalapally, H.P.; Hasse, H. Pilot plant experiments for post combustion carbon dioxide capture by reactive absorption with novel solvents. Energy Procedia 2011, 4, 1–8. [Google Scholar] [CrossRef]
Disclaimer/Publisher’s Note: The statements, opinions and data contained in all publications are solely those of the individual author(s) and contributor(s) and not of MDPI and/or the editor(s). MDPI and/or the editor(s) disclaim responsibility for any injury to people or property resulting from any ideas, methods, instructions or products referred to in the content. |
© 2024 by the authors. Licensee MDPI, Basel, Switzerland. This article is an open access article distributed under the terms and conditions of the Creative Commons Attribution (CC BY) license (https://creativecommons.org/licenses/by/4.0/).









