Next Article in Journal
Safety of Hydrogen Storage Technologies
Next Article in Special Issue
Simulation of PSDF (Photovoltaic, Storage, Direct Current and Flexibility) Energy System for Rural Buildings
Previous Article in Journal
Sustainable Drilling Fluids: A Review of Nano-Additives for Improved Performance and Reduced Environmental Impact
Previous Article in Special Issue
Particle Dynamics Study on Influencing Factors of Ice Slurry Flow Characteristics in District Cooling Systems
 
 
Font Type:
Arial Georgia Verdana
Font Size:
Aa Aa Aa
Line Spacing:
Column Width:
Background:
Article

Study on the Performance of a Novel Double-Section Full-Open Absorption Heat Pump for Flue Gas Waste Heat Recovery

1
Guoneng Sanhe Power Plant, Sanhe 065201, China
2
School of Energy and Power Engineering, Northeast Electric Power University, Jilin 132012, China
*
Author to whom correspondence should be addressed.
Processes 2024, 12(10), 2181; https://doi.org/10.3390/pr12102181
Submission received: 9 September 2024 / Revised: 4 October 2024 / Accepted: 4 October 2024 / Published: 8 October 2024
(This article belongs to the Special Issue Model Predictive Control of Heating and Cooling Systems)

Abstract

Open absorption heat pumps are considered one of the most promising methods for efficiently utilizing low-grade waste heat, reducing energy consumption, and lowering greenhouse gas emissions. However, traditional heat pumps have significant limitations in the range of flue gas temperatures they can recover, and their relatively low system performance further restricts practical applications. In this study, we propose a novel double-section full-open absorption heat pump driven by flue gas from the desulfurization tower. By designing the absorber with a double-layer structure, the system can recover more latent and sensible heat from the flue gas, significantly enhancing its thermal recovery capability. Additionally, replacing the traditional LiBr/H2O working pair with LiCl/H2O significantly reduces the risks of solution crystallization and equipment corrosion. Through comprehensive research, the strengths and weaknesses of the system were explored. The results indicate that this system effectively recovers flue gas waste heat within the temperature range of 30–70 °C. Specifically, at a flue gas temperature of 70 °C and a flow rate of 3 kg/s, the system achieves a COP of 1.838, along with a heating capacity of 158.83 kW and a ROI of 34.1%. These metrics demonstrate that the system not only delivers high performance but also exhibits excellent economic viability. Additionally, when the solution temperature is lowered to 10 °C, the system’s maximum COP reaches 1.96, reflecting a significant 30.67% improvement over traditional heat pumps. These findings highlight the system’s potential for application in coal-fired power plants, where varying levels of power output can benefit from enhanced thermal recovery and efficiency.

1. Introduction

With rapid economic development, the consumption of primary energy has sharply increased. The widespread use of fossil fuels has led to severe environmental pollution and the problem of global warming [1,2]. The latest estimates from the International Energy Agency (IEA) indicate that by 2030 global energy demand will increase to more than 50% of the current consumption level [3]. Additionally, about 50% of the current energy consumption is used in various industrial applications such as dehumidification, heating, air conditioning, and drying. Besides increasing energy consumption, the low utilization rate of industrial waste heat is also a significant factor. A large portion of primary energy sources, such as natural gas and coal, is often wasted in the form of exhaust gases [4,5]. Therefore, to achieve the national goals of “carbon neutrality and carbon peaking,” effectively recovering industrial waste heat has become a critical focus of current technological development [6,7]. Heat pumps have significant application potential in industrial settings, particularly open absorption heat pumps (OAHPs), which can greatly recover both latent and sensible heat from flue gases. By eliminating the thermal resistance of solid walls, OAHPs significantly improve the convective heat transfer coefficient [8].
However, the most widely studied single-effect OAHP currently performs well only within a relatively narrow temperature range of heat sources. This is due to a mismatch between the temperature and humidity ranges of flue gases and the operating conditions of OAHPs, leading to inefficient utilization of waste heat from flue gases over a broader temperature range. The existing OAHP systems lack sufficient adaptability to temperature variations and flexibility in energy efficiency [9,10]. Considering the complex humidity conditions of flue gases in practical applications, Ye et al. [11] proposed a novel multi-stage OAHP (VS-OAHP) system. This system can operate across a broader range of flue gas temperatures and humidity levels by adjusting the pressure of the low-pressure generator-absorber components. Theoretical studies show that the COP of the VS-OAHP is 5.9% to 28.2% higher than that of traditional OAHP systems. Furthermore, following desulphurization, the coal-fired flue gas contains a considerable quantity of moisture and heat. Zhang et al. [12] proposed an OAHP system incorporating flash evaporation technology with the objective of recovering this fully. Compared to traditional OAHP systems, the proposed system, which incorporates flash evaporation, improves the COP by 0.5–2.2%. After further optimization, the COP increased by up to 4.2%. Yang et al. [13] proposed a full-open absorption heat pump for flue gas waste heat recovery. This system can deeply dehumidify the flue gas and effectively recover its latent heat. The recovered heat is used for space heating, and by using direct contact heat transfer without a solid mass transfer interface, it significantly reduces the need for metal tubes or plates, thereby greatly reducing initial investment costs. Research shows that the system COP can reach a maximum of 1.621. Shahzad et al. [14] proposed a multifunctional hybrid system to address the issue of waste heat recovery from humid flue gases. The system employs a double-stage OAHP cycle driven by low-grade energy to recover latent heat from the moist flue gases and dehumidify the surrounding moist air for cooling. Results indicate that the hybrid system can achieve a COP, cooling capacity, and heating capacity of up to 1.73, 9.85 kW, and 280.1 kW, respectively. Although the above studies have significantly improved system performance, advancements in expanding the operational temperature and humidity ranges are limited. Therefore, the primary aim of this research is to focus on broadening the operational range to achieve comprehensive applications across multiple fields.
The working pair for most existing OAHP systems is LiBr/H2O. This fluid is widely used across various fields due to its numerous advantages, including enhancing system efficiency, reducing required operating pressure, offering greater chemical stability, and lowering system costs. However, this working pair also has several drawbacks. Due to the high freezing point of water, it cannot provide effective heating and cooling at lower operating temperatures and carries a risk of crystallization. Additionally, LiBr solutions are highly corrosive, which significantly increases the maintenance costs of the system [15,16]. Moreover, the system must maintain a vacuum condition, otherwise the performance of the absorption cycle will be significantly reduced. These limitations have led to a pressing need for alternative absorbents to expand the range of applications for the system. Reyes et al. [17] conducted detailed modeling of LiCl/H2O using a Fortran program. Compared to LiBr/H2O, LiCl/H2O is more readily available and environmentally friendly, making it a promising alternative. Additionally, LiCl/H2O systems demonstrate better performance and can operate at lower temperatures. Yang et al. [18] applied LiCl/H2O in absorption cycles, enabling the system to recover low-grade waste heat at temperatures as low as 40 °C. This resulted in a 99.6% increase in temperature lift, indicating that this working fluid can significantly minimize sensible heat loss.
Industrial flue gases generate substantial amounts of waste heat. Effectively recovering this heat contributes to a low-carbon lifestyle and benefits society. Extensive research indicates that, although traditional open absorption heat pumps can effectively recover heat from flue gases in gas boilers, their water recovery efficiency is only 60–78%, and the system performs well only when recovering high-temperature flue gases. When the flue gas temperature is between 45–50 °C, the water recovery efficiency of a traditional open absorption heat pump decreases by nearly 50%. This is primarily because excessively low flue gas temperatures reduce the concentration difference between the absorber and the generator, which impacts the system’s heat recovery capacity and subsequently diminishes overall performance. Therefore, to address these issues, this paper proposes a double-section full-open absorption heat pump system (DS-FOAHP). The system features a dual-layer design for the absorber, allowing for secondary heat recovery from flue gases. This not only enhances thermal recovery efficiency but also significantly improves water recovery efficiency. Furthermore, with two solution cycles in the upper and lower sections, the system can adjust the solution temperatures to overcome the performance reduction caused by mismatches between flue gas temperature and humidity ranges and the system’s operating conditions, thereby expanding its operational applicability. Moreover, since LiCl/H2O outperforms LiBr/H2O in various aspects, LiCl/H2O is used as the working pair for this system. This study conducts comprehensive performance analysis of the system, exploring the impact of initial conditions such as flue gas temperature, solution concentration, and heat source temperature on system performance. Additionally, a detailed analysis of economic viability and environmental benefits is provided to assess the system’s strengths and weaknesses in practical applications.

2. System Description

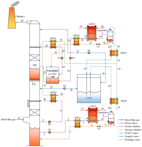
The operating principle of the double-section LiCl/H2O full-open absorption heat pump system is illustrated in Figure 1. The numbers in the figures represent the various state points during the system’s operation. The main equipment includes a double-layer absorber (ABS), solution heat exchangers (SHX1-SHX6), generators (GEN1 and GEN2), a circulating water tank, a condenser (CON), separator 1–2, solution pumps (P1–P6), throttle valves (V1–V2), and a chimney. The workflow is as follows: The flue gas from the desulfurization tower is introduced at the bottom of the ABS (state point 41), where a LiCl solution is sprayed from the top of the ABS downwards to absorb the moisture in the flue gas. Subsequently, the dry flue gas exits from the top of the ABS (state point 42) and is directed into the chimney for outdoor discharge. To fully absorb the moisture from the flue gas, the double-layer absorber requires cyclic spraying of the solution (state points 8–10, 19–21). The absorbed latent and sensible heat is transferred to the district heating return water through SHX2 and SHX3 (state points 30–32) to release the heat. After the LiCl solution has absorbed sufficient moisture, the resulting dilute solution (state point 1 and 12) is transferred to SHX1 and SHX4 via P1 and P4, where it exchanges heat with the concentrated solutions from separators 1 and 2 before being sent to GEN1 and GEN2 for the generation process with high-temperature steam. The resulting gas–liquid two-phase flow (state point 4 and 15) is then sent to separators 1 and 2 to separate the steam from the concentrated solution. One layer of concentrated solution (state point 5) is returned to the absorber after heat exchange and throttling, while the second layer of concentrated solution (state point 16) is sent to the circulating water tank after heat exchange and throttling. The steam separated in the separators (state point 22 and 24) is then condensed into saturated liquid water (state point 23 and 25) after heat exchange with district heating return water through SHX5 and SHX6, and is subsequently sent to CON. When cleaning is required for the double-layer absorber, the system operation is halted, P5 and P6 are activated for cleaning and, after cleaning is completed, the solution pumps are turned off.
The system has the following main advantages:
(1)
The use of a full-open absorption cycle system allows for direct contact in heat transfer and mass transfer across all components, including the generator, condenser, and absorber, without any solid interfaces. This improvement not only significantly reduces investment costs but also enhances the moisture absorption performance of the liquid desiccant, enabling deep dehumidification of the flue gas. This greatly increases the system’s heat recovery capacity, allowing it to recover heat from flue gases at lower temperatures.
(2)
Following treatment, the condensate water can be reused, thereby reducing the moisture content in the flue gas and mitigating the formation of “white smoke”. Additionally, the adoption of direct contact heat exchangers in place of wall-type heat exchangers resolves numerous issues associated with the latter in practical applications.
(3)
A dual-layer structure design is implemented for the absorber in the open absorption heat pump, where the generation and absorption processes in the upper and lower layers operate independently. This enables distributed independent adjustment of the solution temperature in the system, enhancing flexibility and expanding operational conditions.
(4)
Replacing LiBr/H2O with LiCl/H2O in the open absorption heat pump can significantly reduce the risk of equipment corrosion. Furthermore, the LiCl solution helps reduce the tendency of water vapor molecules in the solution stream to migrate back to the water stream during the absorption process. Therefore, LiCl/H2O can better facilitate the absorption process, increasing the heat absorbed while also expanding the range of flue gas temperatures that can be recovered.

3. Mathematical Models

3.1. Energic Model of the DS-FOAHP System

The double-section LiCl/H2O full-open absorption heat pump is a complex thermodynamic system in practical operation, subject to non-ideal factors such as pressure losses, pipeline heat losses, and environmental variations. Therefore, the following assumptions are made to simplify the thermodynamic analysis of the system:
(1)
The system operates in a steady state;
(2)
The heat losses along the pipelines and the pressure drop in the pipes are ignored;
(3)
The throttling process is considered an isenthalpy process, while the solution pump pressurization process is considered an isentropic process;
(4)
The solutions at the outlets of the absorber and separator are in a saturated state;
(5)
The effectiveness of SHX is 0.8.
Each component of this system is modeled and calculated based on the principles of mass and energy conservation. Additionally, the model ensures that all relevant components comply with the second law of thermodynamics, and the outputs include parameters for each state point. In this system, the mass, concentration, and energy balances for each component can be expressed as follows:
m ˙ i m ˙ o = 0
m ˙ i x i m ˙ o x o = 0
Q ˙ W ˙ = m ˙ o h o m ˙ i h i
where m ˙ is the mass flow rate, x represents the concentration of LiCl in the solution, h is the specific enthalpy, Q ˙ is the heat output/input, W ˙ is the power consumption of components. The above equations can be used to determine the characteristics of different points of state such as temperature, pressure, concentration and mass flow.
The power consumption of the solution pump can be calculated using the following formula:
W ˙ pump = m s P H P L v pump , in η pump = m s P H P L η pump ρ pump , in
where PH and PL represent the pressures on the high-pressure side and low-pressure side of the pump respectively, kPa; vpump,in and ρpump,in represent the specific volume (m3/kg) and density (kg/m3) of the solution at the inlet of the pump, respectively; ms represents the total mass flow rate of the solution, kg/s; ηpump is the efficiency of the solution pump and can be set to 1 [19].
Based on the working principles of this system provided earlier, a mathematical model for the double-layer absorber can be constructed. The coupled heat and mass transfer processes, as well as the energy and mass conservation in the counter-flow configuration of the absorber, can be expressed by the following equations:
m ˙ f d h f = d m ˙ s h s
d m ˙ s = m ˙ f d w f
d m s x = 0
where hf and hs represent the enthalpy of the flue gas and the solution, respectively, kJ/kg; m ˙ f are m ˙ s the mass flow rates of the flue gas and the solution, respectively, kg/s; wf denotes the humidity ratio of the flue gas, g/kg; x represents the concentration of the solution.
The heat and mass transfer equations of the system are expressed as follows [20]:
d h f d X = N T U m × L e H h f h e + r 1 L e 1 w f w e
d w f d X = N T U m H w f w e
L e = α α m c p , m
N T U m = α m A m f = α m a V m f
where r represents the latent heat of vaporization of water, kJ/kg; he represents the enthalpy of the flue gas after drying, kJ/kg; we represent the humidity ratio of the flue gas after drying, g/kg; H represents the height of the absorber tower, m; X represents the position along the solution flow path, m; Le represents the Lewis number; NTUm represents the number of mass transfer units. In this study, Le is set to 1 [21]; α represents the heat transfer coefficient between the flue gas and LiCl, kW/(m2·°C); cp,m represents the specific heat capacity of the flue gas, kJ/(kg·°C); a represents the specific area per unit volume of the absorber tower, m2/m3; αm represents the mass transfer coefficient between the flue gas and LiCl, kg/(m2·s); V represents the volume of the heat and mass transfer device, m3. Figure 2 illustrates the state of the LiCl solution on the flue gas psychrometric chart. From the figure, it can be seen that the iso-concentration lines of the LiCl solution nearly coincide with the lines of constant relative humidity of the flue gas. This indicates that the LiCl solution can absorb moisture to the maximum extent, which is more advantageous for recovering the latent heat from the flue gas.

3.2. Modeling of Economic Analysis

The economic analysis was conducted to estimate the capital investment and return on investment, with the cost balance rate also calculated.
The initial cost CInitial and operation cost COperation are calculated by:
C Initial = P DS - FOAHP Q d × 1000
C Operation = P coal M total + P electricity W total = 3600 P coal Q total η boiler H coal + P electricity W total
where PDS-FOAHP is the unit price of the system, which is 1.5 CNY/W (USD 0.24/W) under standard conditions for a normal heat pump. Qd is the design heating capacity of the DS-FOAHP, kW; Pcoal is the coal price, CNY 0.728/kg (USD 0.12/kg); Mtotal is the total consumed coal in an entire heating season, kg; Pelectricity is the electricity price, which can vary in different regions. In this study, the example of Beijing is used, CNY/(kW·h); Wtotal and Qtotal are the total electricity consumption and heat consumption in an entire heating season, kW·h; ηboiler is the boiler efficiency, which is set as 70% here; Hcoal is the lower heat value of coal, which is 29,271.2 kJ/kg according to the Annual Report on China Building Energy Efficiency.
The profit (Pr) of the system can be calculated as:
P r = Q CON + Q ABS × H P × 3600
The return on investment (ROI) for DS-FOAHP is calculated by subtracting both the ongoing and initial investment costs from the expected cash inflows over the lifetime of the BESS. The resulting value is then divided by the total investment.
ROI = P r C Initial + C Operation C Initial + C Operation

3.3. Performance Evaluation Indices

The coefficient of performance (COP) of the system is defined as follows:
C O P = Q SHX 2 + Q SHX 3 + Q SHX 5 + Q SHX 6 Q GEN 1 + Q GEN 2 + W pump
where QSHX2, QSHX3, QSHX5, and QSHX6 represent the heat output of solution heat exchangers 2, 3, 5, and 6, respectively, kW; QGEN1 and QGEN2 represent the heat input of generators 1 and 2, respectively, kW; Wpump denotes the power consumption of the solution pump, kW.
The calculations for the thermal recovery efficiency (ζ) and water recovery efficiency (φ) are as follows:
ζ = Q SHX 2 + Q SHX 3 m 41 ( h 41 h air )
φ = w 41 w 42 w 41
where m41 represents the flow rate of the flue gas, kg/s; h41 represents the enthalpy of the flue gas at the inlet of the absorber, kJ/kg; hair represents the enthalpy of the outdoor environment, kJ/kg; w41 and w42 represent the humidity ratio of the flue gas at the inlet and outlet of the absorber, respectively, g/kg.
The impact of variations in initial operating conditions on system performance is analyzed through simulation results. This study primarily uses COP, heating capacity, ζ, φ, supply water temperature, and the outlet humidity ratio of the flue gas as key evaluation metrics to assess the system’s performance.

3.4. Model Validation

Based on the above equations, MATLAB (2022a, MathWorks, Natick, MA, USA, 2022) software can be used to model the system, solving a series of algebraic equations to address various complex mathematical problems. MATLAB is an advanced mathematical software that offers a wide range of mathematical functions, supports matrix and array operations, and enables complex numerical computations and data analysis. Additionally, users can write and test algorithms within MATLAB, utilizing its built-in functions and toolboxes to quickly implement a variety of algorithms. The software utilizes code related to the properties of the LiCl–H2O mixture to obtain thermodynamic properties such as concentration and enthalpy of the LiCl solution and pure water at different state points. The calculation process is performed according to the flowchart in Figure 3. The model was validated using predefined initial operating conditions and system evaluation criteria. To ensure the accuracy of the simulation results, the performance test results of the open absorption heat pump system recorded by Folkedahl [22] were compared with the simulation results from this study, as shown in Table 1. The initial parameters used in the simulation are consistent with those recorded in the referenced literature. In order to enhance the reliability of the mathematical model for this system, multiple sets of experimental results were compared with simulation results, as shown in Figure 4. The results indicate that the simulation outcomes of this system closely align with the experimental conclusions, with a relative error of less than 5%. Given that the uncertainties in the capacity of heat and mass transfer equipment are significantly greater than the discrepancies in the thermodynamic model, these differences are acceptable. This confirms the feasibility of the thermodynamic model proposed in this study.

3.5. Case Study

In this section, a case study was conducted on the performance of the proposed system under design operating conditions using the developed mathematical model. The DS-FOAHP system aims to recover waste heat from flue gas, utilizing both latent and sensible heat to warm the return water in the heating network, thereby achieving efficient energy utilization. Since the heating method in this study is floor heating, the return water temperature in the heating network is set at 35 °C. According to the technical specifications for radiant floor heating, the supply water temperature should not exceed 70 °C, and the operating pressure of the low-temperature hot water radiant floor heating system should not exceed 0.8 MPa. Exceeding these limits could negatively impact human thermal comfort. According to the flue gas emission standards for power plants, the temperature of the flue gas at the outlet of the desulfurization tower typically ranges between 50–60 °C, with a humidity ratio of 120–145 g/kg. The technical parameters of the flue gas and the DS-FOAHP system are shown in Table 2 and Table 3, respectively.
From the table, it can be seen that the temperature of the high-temperature drive steam in the system can reach up to 150 °C. After heat exchange in the generator, the temperature decreases to 120 °C. The return water temperature of the district heating network is 35 °C. By recovering the latent and sensible heat from the flue gases, as well as the heat from the high-temperature steam, the supply water temperature for the district heating network can be set to 53 °C. Based on the given initial conditions, the system COP, thermal recovery efficiency, and water recovery efficiency during the heating season are calculated to be 1.67, 73.63%, and 92.45%, respectively. Compared to conventional flue gas waste heat recovery systems, these metrics represent improvements of 21.4%, 12.1%, and 10.5%, respectively. Therefore, this system not only enhances the heating capacity of the power plant and achieves deep recovery and utilization of flue gas waste heat, but also significantly improves energy efficiency, reduces environmental pollution, and delivers a comprehensive effect of energy conservation and emissions reduction. Additionally, the system takes advantage of the unique hygroscopic properties of LiCl solution to remove most of the moisture from the flue gases. As a result, the outlet flue gases are in an unsaturated state, thereby improving the conditions for flue gas emission.

4. Results and Discussion

In this section, the variations in different performance metrics of the double-section LiCl/H2O full-open absorption heat pump under various initial conditions are analyzed to evaluate the system’s strengths and weaknesses. First, the impact of different flue gas temperatures on system performance is investigated. Second, the effects of changes in LiCl solution concentration and temperature on various performance indicators are examined. Finally, the optimal operating conditions of the system are explored by adjusting the driving heat source temperature.

4.1. The Impact of Flue Gas Temperature (Tmgi) on System Performance

This section focuses on the variations in system COP, heat capacity, and recovery efficiency at different flue gas temperatures. Changes in COP and heat capacity are illustrated in Figure 5. As shown, with flue gas temperatures ranging from 30 °C to 70 °C, both COP and heat capacity initially increase rapidly with rising Tmgi, followed by a gradual slowdown in the rate of increase. This behavior occurs because an increase in Tmgi leads to a higher concentration difference in the solution cycle, which reduces the system’s circulation ratio and enables the absorber to release more absorbed heat. Consequently, the system’s COP and heat capacity initially experience rapid increases. However, there is an upper limit to the circulation ratio, and the concentration difference in the system cannot rise indefinitely, resulting in a gradual deceleration in the increase of both COP and heat capacity. Additionally, as indicated in Figure 5, both COP and heat capacity gradually increase with an increase in flue gas flow rate. This enhancement occurs because a higher flow rate improves the system’s heat recovery efficiency, leading to better overall performance. When the flue gas flow rate exceeds 3 kg/s, the system struggles to effectively recover latent heat due to the excessively high flow rate. Consequently, as shown in the figure, at a flue gas temperature of 70 °C and a flow rate of 3 kg/s, the system reaches its maximum COP and heat capacity values of 1.838 and 158.84 kW, respectively.
Figure 6 illustrates the impact of variations in Tmgi on the system’s thermal recovery efficiency and water recovery efficiency. As depicted, changes in flue gas temperature have a negligible effect on water recovery efficiency. This is largely attributable to the system’s dual-absorber structure, which facilitates multiple solution cycles, allowing for thorough absorption of moisture from the flue gas. Furthermore, the LiCl solution exiting the separator possesses a sufficiently high concentration, enhancing the efficiency of moisture absorption in the absorber. As a result, the water recovery efficiency remains relatively stable at approximately 93%. Additionally, Figure 6 shows that the system’s thermal recovery efficiency initially increases before declining with rising flue gas temperature. This trend occurs because an increase in flue gas temperature elevates the solution temperature exiting the absorber, leading to a significant rise in the heating capacity of SHX2 and SHX3. However, since the moisture absorption capacity of the concentrated solution is limited, the thermal output eventually stabilizes. Consequently, the increasing temperature of the flue gas inlet contributes to the observed trend of thermal recovery efficiency first rising and then declining. The system’s thermal recovery efficiency peaks at 87.227% when the flue gas temperature reaches 44°C. When the system operates with flue gas temperatures below 30 °C, the low temperature diminishes the concentration difference between the upper and lower solution cycles. This reduction inhibits the absorption process, decreases the system’s heat recovery capacity, and leads to a gradual decline in the released absorption heat, ultimately resulting in a decrease in the system’s COP and thermal recovery efficiency. Conversely, at flue gas temperatures exceeding 70 °C, the COP is higher. However, the thermal recovery efficiency gradually declines. This is primarily due to high-temperature flue gas increasing the solution temperature at the absorber outlet, thereby enhancing the heat released by the system. Nevertheless, once the flue gas temperature reaches a certain threshold while maintaining constant moisture recovery, the concentration difference in the solution will stabilize, leading to a steady thermal output from the system. If the flue gas temperature continues to rise beyond this point, it will result in a gradual decrease in the system’s heat recovery capacity.

4.2. The Impact of LiCl Solution Concentration (xsol) on System Performance

This subsection explores how variations in the concentration of LiCl solution at the separator outlet affect the system COP, heat output, supply water temperature (Tout), flue gas outlet humidity ratio, and recovery efficiencies. The effects of changes in xsol on COP, Tout, heating capacity, and flue gas outlet humidity ratio are shown in Figure 7. As shown in Figure 7a, both the system COP and Tout increase with rising concentration, then the rate of increase gradually slows and eventually levels off. The primary reason is similar to the explanation for Figure 7: as the concentration increases, the concentration difference between the inlet and outlet solutions in the absorber and generator is enhanced, which reduces the system’s circulation ratio and improves system performance. Additionally, this change allows SHX2, SHX3, SHX5, and SHX6 to release more heat. However, since the change in concentration difference eventually stabilizes, the COP and Tout initially increase and then gradually level off. When the LiCl solution concentration is 0.38, the maximum COP and Tout are 1.736 and 75.34 °C, respectively.
As shown in Figure 7b, the trend in heat output is similar to that of COP and Tout, while the flue gas outlet humidity ratio decreases sharply with increasing concentration. This is because, as the concentration rises, the LiCl solution in the absorber can recover more moisture, leading to a significant reduction in humidity ratio. Specifically, at a concentration of 0.38, the maximum heat output and the lowest flue gas outlet humidity ratio are 149.48 kW and 7.57 g/kg, respectively.
Figure 8 illustrates the impact of xsol on thermal recovery efficiency and water recovery efficiency. As shown in the figure, both ζ and φ exhibit a gradual increase with rising concentration. This trend is primarily due to the increased concentration significantly enhancing the solution’s ability to recover both sensible and latent heat from the flue gas, which leads to a gradual improvement in both recovery efficiencies. When the LiCl solution concentration fed into the absorber is 0.38, the maximum φ and ζ are 93.74% and 74%, respectively.

4.3. The Impact of LiCl Solution Temperature (Tsol) on System Performance

This section primarily examines how variations in the inlet solution temperature of the absorber affect system performance. Figure 9 illustrates the impact of Tsol on COP, φ, and ζ. The figure shows that, within the temperature range of 10 °C to 40 °C, the system COP, φ, and ζ all decrease as the solution temperature increases. This is because excessively high solution temperatures reduce the system’s ability to effectively recover residual heat and moisture from the flue gas. Consequently, the heat output of SHX2 and SHX3 decreases with rising solution temperature, which diminishes the absorber’s capacity to release absorbed heat, thereby lowering overall system performance. When the solution temperature is 10 °C, the system achieves maximum COP, φ, and ζ of 1.96, 97%, and 85%, respectively. Conversely, at higher temperatures, the system’s minimum COP, φ, and ζ are 1.36, 88%, and 64%, respectively.
Figure 10 illustrates the impact of variations in Tsol and Tmgi on COP, QABS, QCON, and QGEN. The flue gas temperatures depicted in the figure are 45 °C, 50 °C, 55 °C, and 60 °C. At a flue gas temperature of 45 °C, the system COP decreases gradually with the change in solution temperature. However, once the temperature drops below 16 °C, the system COP begins to decline sharply. When the flue gas temperature exceeds 45 °C, the rate of decline in system COP gradually slows. This is primarily because, as the flue gas temperature increases, the temperature difference in the system becomes significantly larger, enhancing the thermal recovery efficiency of the LiCl solution in the absorber. Consequently, the absorber can release more absorbed heat, which improves the system COP. Therefore, the range of flue gas temperatures in the desulfurization tower needs to be selected based on actual conditions.

4.4. The Effect of Heat Source Temperature (Th) on the System Performance

This section primarily investigates the impact of the steam heat source temperature (Th) during the driving generation process on the system’s performance. Figure 11a shows the impact of variations in Th on the system COP and Tout. As shown in the figure, COP increases sharply with the rise of Th initially, followed by a gradual leveling off, while Tout continues to rise. The primary reason for this trend is that, as Th increases, the concentration of the LiCl solution at the outlets of GEN1 and GEN2 also increases. This expands the concentration difference in the system, intensifying both the generation and absorption processes, which in turn enhances the system COP and Th. However, since the increase in concentration difference has an upper limit, the rate of COP improvement gradually stabilizes. Additionally, because the system’s absorber is divided into upper and lower layers, it can more effectively recover residual heat from the flue gas. This recovered heat compensates for the heat loss caused by the decrease in COP. Therefore, the heating temperature will continue to exhibit an upward trend. Figure 11b illustrates the impact of Th variations on heating capacity, φ, and ζ. As Th increases, all three parameters exhibit a gradual upward trend. The reason for this outcome is similar to that in Figure 11a: the rise in heat source temperature significantly enhances the absorption heat released in the absorber, thereby improving the overall system performance. In summary, based on the results from Figure 11, when Th is 200 °C, the system achieves its maximum COP, heating temperature, heating capacity, φ, and ζ, which are 1.79, 71.52 °C, 96.39 kW, 94.34%, and 81.32%, respectively. Under these operating conditions, the proposed system demonstrates strong performance.

4.5. Economic Analysis

The ROI of the system was calculated using the economic analysis method presented in Section 3. The variations in ROI of the proposed system under different flue gas temperatures and flow rates are shown in Figure 12. As seen in the figure, under a given flue gas flow rate, the system’s ROI increases initially with rising flue gas temperature and then gradually stabilizes. This is primarily because, as the temperature rises, the system’s capacity to recover flue gas heat also increases. This leads to a gradual increase in the solution concentration difference between the absorber and the generator, thereby enhancing the system’s heat recovery efficiency. These changes enable the system to release more heat in the same amount of time, ultimately improving the ROI. The figure also indicates that, as the flue gas flow rate increases, the system’s ROI gradually rises. This is primarily because an increase in flow rate enhances the system’s efficiency in recovering waste heat from the flue gas, enabling it to release more absorbed heat, which significantly boosts the ROI. Based on the observed changes in the graph, it can be concluded that, when the flue gas temperature is 70 °C and the flow rate is 3 kg/s, the system achieves a maximum ROI of 34.1%. Under these operating conditions, the system not only exhibits enhanced performance but also achieves a higher ROI.

5. Conclusions

This paper introduces a novel double-section LiCl/H2O full-open absorption heat pump, which is capable of recovering flue gases at lower temperatures and offers higher thermal recovery efficiency and water recovery efficiency. This system not only overcomes the limitations of traditional open absorption heat pumps regarding the range of flue gas temperatures, but also significantly enhances thermal recovery capabilities and reduces energy loss through the design of a double-section absorber. Furthermore, changing the working pair from LiBr/H2O to LiCl/H2O reduces the risk of solution crystallization and equipment corrosion.
The main conclusions are summarized as follows.
(1)
The system’s performance will gradually improve with increasing flue gas temperature and flow rate, ultimately stabilizing. At a flue gas temperature of 70 °C and a mass flow rate of 3 kg/s, the system achieves a maximum COP of 1.838 and a heating capacity of up to 158.84 kW. In comparison to traditional open absorption heat pumps, this system demonstrates improved performance. Furthermore, the water recovery efficiency remains stable at approximately 93%, while the thermal recovery efficiency can reach as high as 87.227%.
(2)
An increase in the concentration of the LiCl solution at the separator outlet can significantly enhance the system’s performance, resulting in improvements in the COP, heating capacity, and heating temperature. At a concentration of 0.38, the maximum COP reaches 1.736, while the heating temperature attains 75.34 °C. Additionally, the system achieves a peak heating capacity of 149.48 kW, with the lowest flue gas humidity ratio recorded at 7.57 g/kg. These findings indicate that optimizing the LiCl concentration not only improves thermal efficiency but also contributes to more effective heat recovery in the system.
(3)
Lowering the solution temperature at the absorber inlet can significantly enhance the system’s thermal recovery capacity and overall performance. At a solution temperature of 10 °C, the system achieves a maximum COP of 1.96, with a water recovery efficiency of 97% and a thermal recovery efficiency of 85%. Notably, this represents a 30.67% improvement in COP compared to a traditional open absorption heat pump. These results highlight the importance of optimizing the solution temperature, as it not only maximizes energy efficiency but also contributes to superior heat recovery capabilities in the system.
(4)
As the driving heat source temperature varies from 100 °C to 200 °C, the system performance shows a progressive improvement with increasing Th. Specifically, at Th = 200 °C, the system achieves a COP of 1.79, a heating temperature of 71.52 °C, and a heating capacity of 96.39 kW. This trend indicates that higher driving heat source temperatures significantly enhance the system’s thermal efficiency and capacity, underscoring the importance of optimizing operating conditions to maximize performance.
(5)
The return on investment of this system will gradually increase with higher flue gas temperatures and flow rates. When the flue gas temperature is 70 °C and the flow rate is 3 kg/s, the system can achieve a maximum ROI of 34.1%. The results indicate that, although both the initial and operational costs of this system are higher than those of traditional flue gas waste heat recovery systems, it still demonstrates favorable economic viability.

Author Contributions

Conceptualization, X.C. and W.S.; methodology, Z.W.; software, Z.W.; validation, Y.H.; investigation, X.C.; writing—original draft preparation, Y.H.; writing—review and editing, W.S.; supervision, W.S.; project administration, W.S.; funding acquisition, X.C. All authors have read and agreed to the published version of the manuscript.

Funding

This research was funded by the Projects of Science and Technology Development plan of Jilin Education, grant number “JJKH20240140KJ” and the Key Research and Development Program of Jilin City, grant number “20230103007”.

Data Availability Statement

Data are contained within the article.

Conflicts of Interest

Authors Xin Cai and Zhanbin Wang were employed by the company Guoneng Sanhe Power Plant. The remaining authors declare that the research was conducted in the absence of any commercial or financial relationships that could be construed as a potential conflict of interest. The [Guoneng Sanhe Power Plant in affiliation and funding] had no role in the design of the study; in the collection, analyses, or interpretation of data; in the writing of the manuscript, or in the decision to publish the results.

Nomenclature

Nomenclature:
OAHPsOpen absorption heat pumpsrLatent heat of vaporization of water (kJ/kg)
IEAInternational Energy AgencyHHeight of the absorber tower (m)
VS-OAHPMulti-stage open absorption heat pumpXPosition along the solution flow path (m)
DS-FOAHPDouble-section full-open absorption heat pumpLeLewis numbers
ABSAbsorberNTUNumber of mass transfer units
SHXSolution heat exchangerαHeat transfer coefficient between the flue gas and LiCl (kW/(m2·oC))
GENGeneratorcSpecific heat capacity of the flue gas (kJ/(kg·oC))
CONCondenseraSpecific area per unit volume of the absorber tower (m2/m3)
PSolution pumpVVolume of the heat and mass transfer device (m3)
VThrottle valveCCost (CNY/W)
COPCoefficient of performanceMMolecular weight (kg/kmol)
ROIReturn on investmentHPAverage of heat price in China (CNY/kWh)
wHumidity ratio (g/kg)
Symbols:
ζThermal recovery efficiencyφWater recovery efficiency
m ˙ Mass flow rate (kg/s)xMass fraction (concentration) (kg/kg)
Q ˙ Heat output/input (kW) W ˙ Power (kW)
hSpecific enthalpy (kJ/kg)ΣSum of
vSpecific volume (m3/kg)ηEfficiency (%)
ρDensity (kg/m3)TTemperature (oC)
PPressure (MPa)
Subscripts:
iIsentropic/InletoOutlet
pumpSolution pumpHHigh
LLowfFlue gas
solSolutionmgiMoist gas inlet
hHeat source

References

  1. Wu, Z.; Jiang, Y.; Wang, Y.; You, S.; Zhang, H.; Liu, S.; Fan, X.; Pu, J.; Wan, Z.; Sha, L.; et al. Investigating the performance of heat exchangers in ab-sorption heat pump systems using both numerical and experimental methods. Energy Convers. Manag. 2023, 278, 116744. [Google Scholar] [CrossRef]
  2. Su, W.; Han, Y.; Jin, X.; Liu, Z.; Zhang, X. Energy, economic, and environmental evaluation of a GAX-based cross-type absorption-resorption heat pump. Energy Convers. Manag. 2024, 300, 117952. [Google Scholar] [CrossRef]
  3. Seyitoglu, S.S.; Dincer, I.; Kilicarslan, A. Assessment of an IGCC based trigeneration system for power, hydrogen and synthesis fuel production. Int. J. Hydrogen Energy 2016, 41, 8168–8175. [Google Scholar] [CrossRef]
  4. Kashif Shahzad, M.; Ding, Y.; Li, Q.; Xuan, Y.; Gao, N.; Chen, G. Novel multifunctional open absorption heat pump system with compressed air dryer assisted preliminary flash regeneration-An industrial application. Appl. Therm. Eng. 2022, 211, 118526. [Google Scholar] [CrossRef]
  5. Shahzad, M.K.; Ding, Y.; Xuan, Y.; Gao, N.; Chen, G. Energy efficiency analysis of a multifunctional hybrid open absorption system for dehumidification, heating, and cooling: An industrial waste heat recovery application. Energy Convers. Manag. 2021, 243, 114356. [Google Scholar] [CrossRef]
  6. Wu, W.; Wang, B.; Shi, W.; Li, X. An overview of ammonia-based absorption chillers and heat pumps. Renew. Sustain. Energy Rev. 2014, 31, 681–707. [Google Scholar] [CrossRef]
  7. Su, W.; Li, J.; Lu, Z.; Jin, X.; Zhang, J.; Liu, Z.; Xiaosong, Z. Performance analysis and optimization of a solar assisted heat pump-driven vacuum membrane distillation system for liquid desiccant regeneration. Energy Convers. Manag. 2024, 301, 118047. [Google Scholar] [CrossRef]
  8. Su, W.; Han, Y.; Liu, Z.; Jin, X.; Liu, Z.; Yang, D.; Zhang, X. Absorption heat pumps for low-grade heat utilization: A com-prehensive review on working pairs, classification, system advances and applications. Energy Convers. Manag. 2024, 315, 118760. [Google Scholar] [CrossRef]
  9. Ye, B.; Ding, Y.; Wang, Z.; Chen, G. Experimental evaluation of a variable-stage open absorption heat pump system utilizing aqueous KCOOH solution as absorbent. Int. J. Refrig. 2023, 148, 83–95. [Google Scholar] [CrossRef]
  10. Xue, Y.; Zhao, B.; Wang, S.; Yin, P.; Wang, H. Performance analysis of an open absorption heat pump and thermal desalination system for heat and water recovery of coal-fired flue gas based on zero liquid discharge. Energy Convers. Manag. 2022, 273, 116379. [Google Scholar] [CrossRef]
  11. Ye, B.; Wang, Z.; Yan, X.; Chen, G. Performance analysis of a variable-stage open absorption heat pump combined with a membrane absorber. Energy Convers. Manag. 2019, 184, 290–300. [Google Scholar] [CrossRef]
  12. Zhang, H.; Dong, Y.; Lai, Y.; Zhang, X. Waste heat recovery from coal-fired boiler flue gas: Performance optimization of a new open absorption heat pump. Appl. Therm. Eng. 2021, 183, 116111. [Google Scholar] [CrossRef]
  13. Yang, B.; Jiang, Y.; Fu, L.; Zhang, S. Experimental and theoretical investigation of a novel full-open absorption heat pump applied to district heating by recovering waste heat of flue gas. Energy Build. 2018, 173, 45–57. [Google Scholar] [CrossRef]
  14. Kashif Shahzad, M.; Ding, Y.; Xuan, Y.; Gao, N.; Chen, G. Performance analysis of a novel double stage multifunctional open absorption heat pump system: An industrial moist flue gas heat recovery application. Energy Convers. Manag. 2022, 254, 115224. [Google Scholar] [CrossRef]
  15. Wu, W.; Zhang, H.; You, T.; Li, X. Performance comparison of absorption heating cycles using various low-GWP and natural refrigerants. Int. J. Refrig. 2017, 82, 56–70. [Google Scholar] [CrossRef]
  16. Yang, B.; Yuan, W.; Fu, L.; Zhang, S.; Wei, M.; Guo, D. Techno-economic study of full-open absorption heat pump applied to flue gas total heat recovery. Energy 2020, 190, 116429. [Google Scholar] [CrossRef]
  17. Rosa, M.B.R.; Víctor, M.A.G.; García-Gutiérrez, A. Performance modelling of single and double absorption heat transformers. Curr. Appl. Phys. 2010, 10, 244–248. [Google Scholar]
  18. Yang, M.; Low, E.; Law, C.L.; Chen, J.; Show, P.L.; Huang, S. Heat and mass transfer in a counter flow parallel plate membrane-based absorption heat pump (PMAHP). Int. J. Therm. Sci. 2022, 171, 107227. [Google Scholar] [CrossRef]
  19. Herold, K.E.; Radermacher, R.; Klein, S.A. Absorption Chillers and Heat Pumps, 2nd ed.; CRC Press: Boca Raton, FL, USA, 2016. [Google Scholar]
  20. Xie, Y.; Zhang, T.; Liu, X. Performance investigation of a counter-flow heat pump driven liquid desiccant dehumidification system. Energy 2016, 115, 446–457. [Google Scholar] [CrossRef]
  21. Liu, X.; Jiang, Y.; Xia, J.; Chang, X. Analytical solutions of coupled heat and mass transfer processes in liquid desiccant air dehumidifier/regenerator. Energy Convers. Manag. 2007, 48, 2221–2232. [Google Scholar] [CrossRef]
  22. Folkedahl, B.C.; Weber, G.F.; Collings, M.E. Water Extraction from Coal-Fired Power Plant Flue Gas; University of North Dakota: Grand Forks, ND, USA, 2006. [Google Scholar]
Figure 1. Schematic diagram of the double-section LiCl/H2O full-open absorption heat pump system.
Figure 1. Schematic diagram of the double-section LiCl/H2O full-open absorption heat pump system.
Processes 12 02181 g001
Figure 2. State of LiCl aqueous solution in a flue gas psychrometric chart.
Figure 2. State of LiCl aqueous solution in a flue gas psychrometric chart.
Processes 12 02181 g002
Figure 3. The computational flowchart of the DS-FOAHP.
Figure 3. The computational flowchart of the DS-FOAHP.
Processes 12 02181 g003
Figure 4. Comparison between simulation and experiment results.
Figure 4. Comparison between simulation and experiment results.
Processes 12 02181 g004
Figure 5. Effect of Tmgi on system performance. (a) COP; (b) heat capacity.
Figure 5. Effect of Tmgi on system performance. (a) COP; (b) heat capacity.
Processes 12 02181 g005
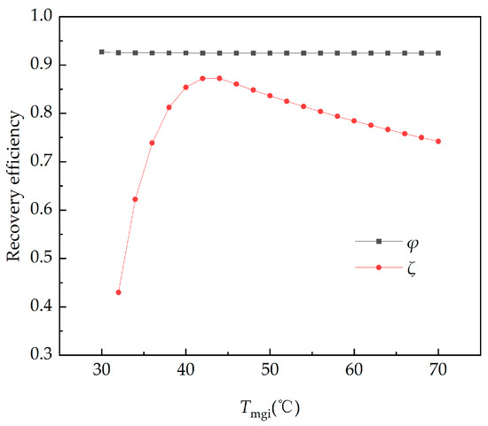
Figure 6. Effect of Tmgi on thermal recovery efficiency and water recovery efficiency.
Figure 6. Effect of Tmgi on thermal recovery efficiency and water recovery efficiency.
Processes 12 02181 g006
Figure 7. Effect of xsol on system performance. (a) COP and Tout; (b) humidity ratio and heating capacity.
Figure 7. Effect of xsol on system performance. (a) COP and Tout; (b) humidity ratio and heating capacity.
Processes 12 02181 g007
Figure 8. Effect of xsol on thermal recovery efficiency and water recovery efficiency.
Figure 8. Effect of xsol on thermal recovery efficiency and water recovery efficiency.
Processes 12 02181 g008
Figure 9. Effect of Tsol on system performance.
Figure 9. Effect of Tsol on system performance.
Processes 12 02181 g009
Figure 10. The Impact of Tsol and Tmgi on system performance. (a) Tmgi = 45 °C; (b) Tmgi = 50 °C; (c) Tmgi = 55 °C; (d) Tmgi = 60 °C.
Figure 10. The Impact of Tsol and Tmgi on system performance. (a) Tmgi = 45 °C; (b) Tmgi = 50 °C; (c) Tmgi = 55 °C; (d) Tmgi = 60 °C.
Processes 12 02181 g010aProcesses 12 02181 g010b
Figure 11. Effect of Th on system performance. (a) COP and Tout; (b) Heating capacity and recovery efficiency.
Figure 11. Effect of Th on system performance. (a) COP and Tout; (b) Heating capacity and recovery efficiency.
Processes 12 02181 g011
Figure 12. Effect of Tmgi and m41 on system performance.
Figure 12. Effect of Tmgi and m41 on system performance.
Processes 12 02181 g012
Table 1. Comparison of experimental and model results [22].
Table 1. Comparison of experimental and model results [22].
ParameterInlet ValueExperimental Outlet DataCalculated ResultsRelative Deviation
Flue gas temperature50 °C42.3 °C41.02 °C3.03%
Flue gas humidity ratio126 g/kg55.4 g/kg54.2 g/kg2.17%
Solution temperature of absorber30 °C42.3 °C40.8 °C3.55%
Solution concentration35%34.5%34.7%0.58%
Water supply and return temperature35 °C56.8 °C58.7 °C3.35%
Power consumption of pump-2.46 kW2.37 kW3.66%
Heat output-80.4 kW82.6 kW2.67%
COP-1.651.681.82%
Table 2. Technical parameters of flue gas from the desulfurization tower.
Table 2. Technical parameters of flue gas from the desulfurization tower.
ParametersUnitValues
Thermal loadkW40–100
Inlet temperatureoC50
Outlet temperatureoC40
Flue gas mass flow ratekg/s3
Pressure dropkPa0.5
Flue gas diameter (DN)mm400
Table 3. Technical parameters of the DS-FOAHP system.
Table 3. Technical parameters of the DS-FOAHP system.
ParametersUnitValues
Heat outputkW80
Return water temperature°C35
Supply water temperature°C45–53
Heating water mass flow ratekg/s1–3
Resistance lossMPa0.08
Heating water diameter (DN)mm450
Drive steam mass flow ratekg/s2.5
Steam pressure dropMPa0.05
Steam diameter (DN)mm400
Disclaimer/Publisher’s Note: The statements, opinions and data contained in all publications are solely those of the individual author(s) and contributor(s) and not of MDPI and/or the editor(s). MDPI and/or the editor(s) disclaim responsibility for any injury to people or property resulting from any ideas, methods, instructions or products referred to in the content.

Share and Cite

MDPI and ACS Style

Cai, X.; Wang, Z.; Han, Y.; Su, W. Study on the Performance of a Novel Double-Section Full-Open Absorption Heat Pump for Flue Gas Waste Heat Recovery. Processes 2024, 12, 2181. https://doi.org/10.3390/pr12102181

AMA Style

Cai X, Wang Z, Han Y, Su W. Study on the Performance of a Novel Double-Section Full-Open Absorption Heat Pump for Flue Gas Waste Heat Recovery. Processes. 2024; 12(10):2181. https://doi.org/10.3390/pr12102181

Chicago/Turabian Style

Cai, Xin, Zhanbin Wang, Yuhao Han, and Wei Su. 2024. "Study on the Performance of a Novel Double-Section Full-Open Absorption Heat Pump for Flue Gas Waste Heat Recovery" Processes 12, no. 10: 2181. https://doi.org/10.3390/pr12102181

APA Style

Cai, X., Wang, Z., Han, Y., & Su, W. (2024). Study on the Performance of a Novel Double-Section Full-Open Absorption Heat Pump for Flue Gas Waste Heat Recovery. Processes, 12(10), 2181. https://doi.org/10.3390/pr12102181

Note that from the first issue of 2016, this journal uses article numbers instead of page numbers. See further details here.

Article Metrics

Back to TopTop