Thermal Storage Performance of a Shell and Tube Phase Change Heat Storage Unit with Different Thermophysical Parameters of the Phase Change Material
Abstract
1. Introduction
2. Methodology
2.1. Geometric Description
2.2. Governing Equations
- The liquid PCM is a non-compressible fluid, and its flow is laminar flow;
- The thermal characteristics of the PCM are consistent, other than thermal conductivity, which varies with phase state and temperature;
- The Boussinesq approximation is employed to account for density fluctuations in the natural convection simulation of the PCM;
- Neglect the changes in volume of the PCM during phase change and the impact of viscous dissipation during flow;
- Neglect the thermal radiation during heat transfer.
2.3. Initial and Boundary Conditions
2.4. Computational Strategies
2.5. Model Validation
3. Results and Discussion
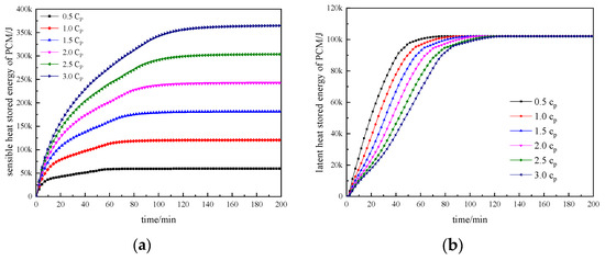
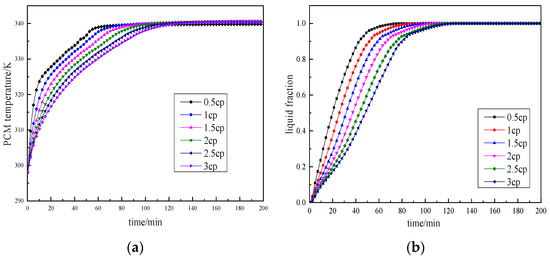
3.1. Effects of the Specific Heat Capacity of the PCM
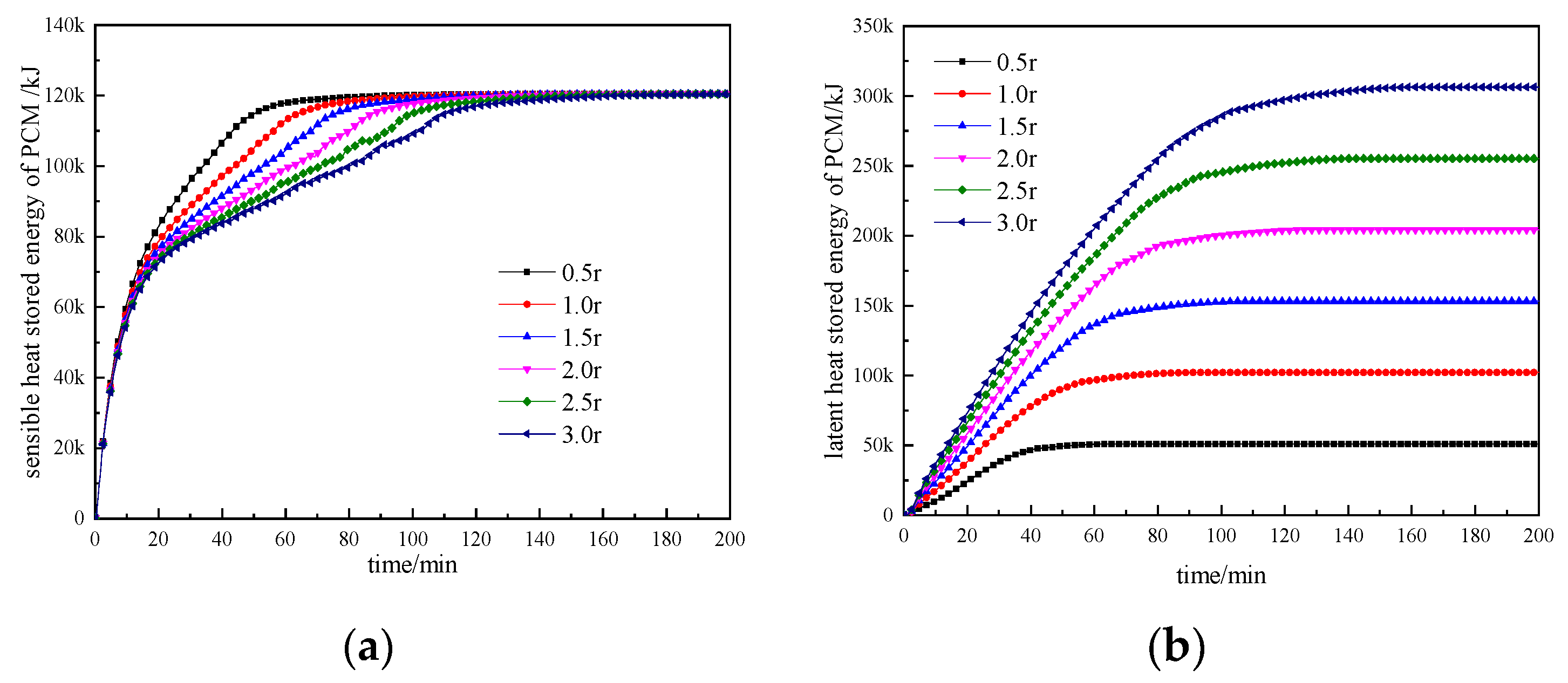
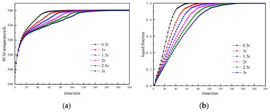
3.2. Effects of the Phase Change Latent Heat of the PCM
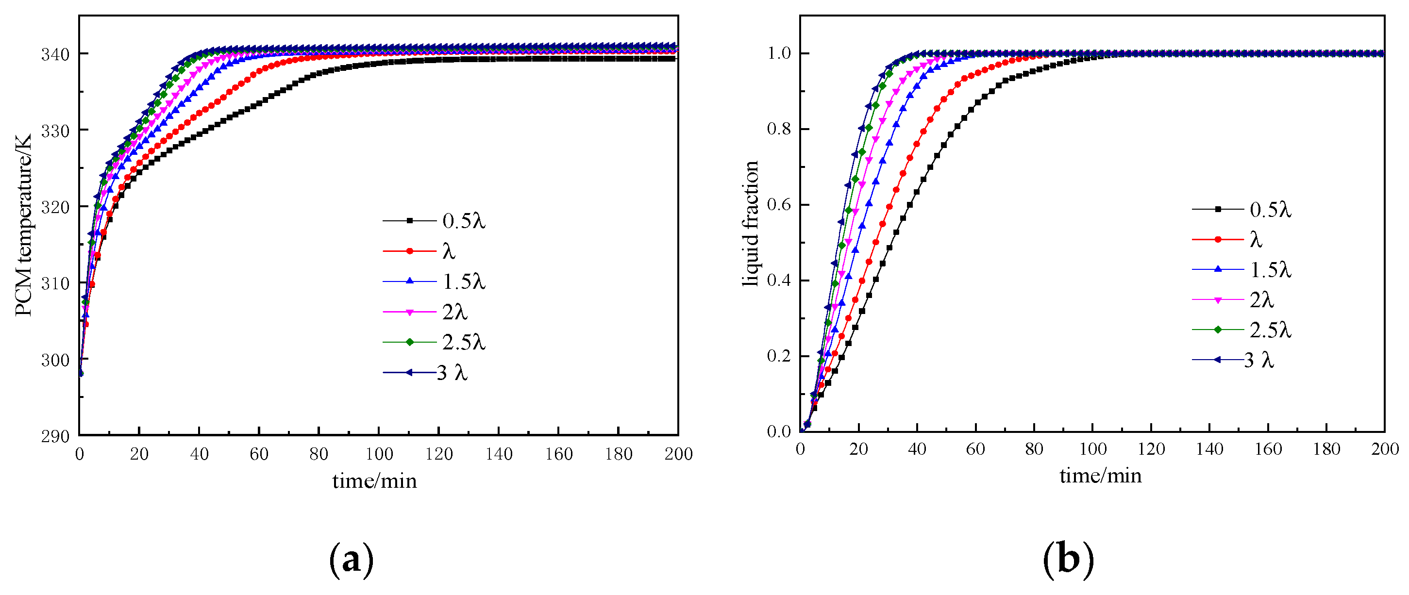
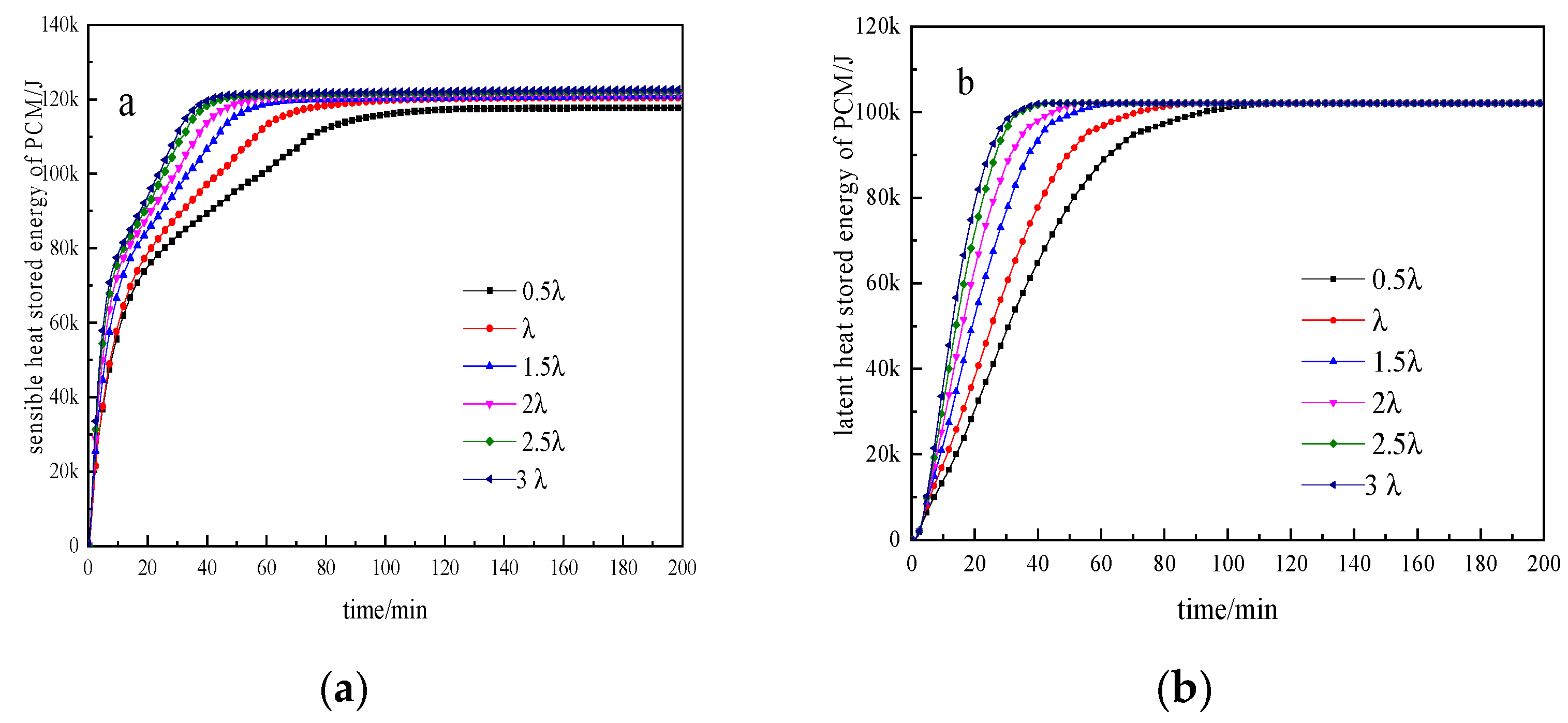
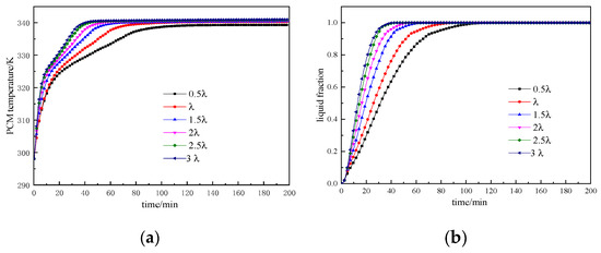
3.3. Effects of Thermal Conductivity of the PCM
3.4. Comprehensive Comparative Analysis of Influencing Factors
4. Conclusions
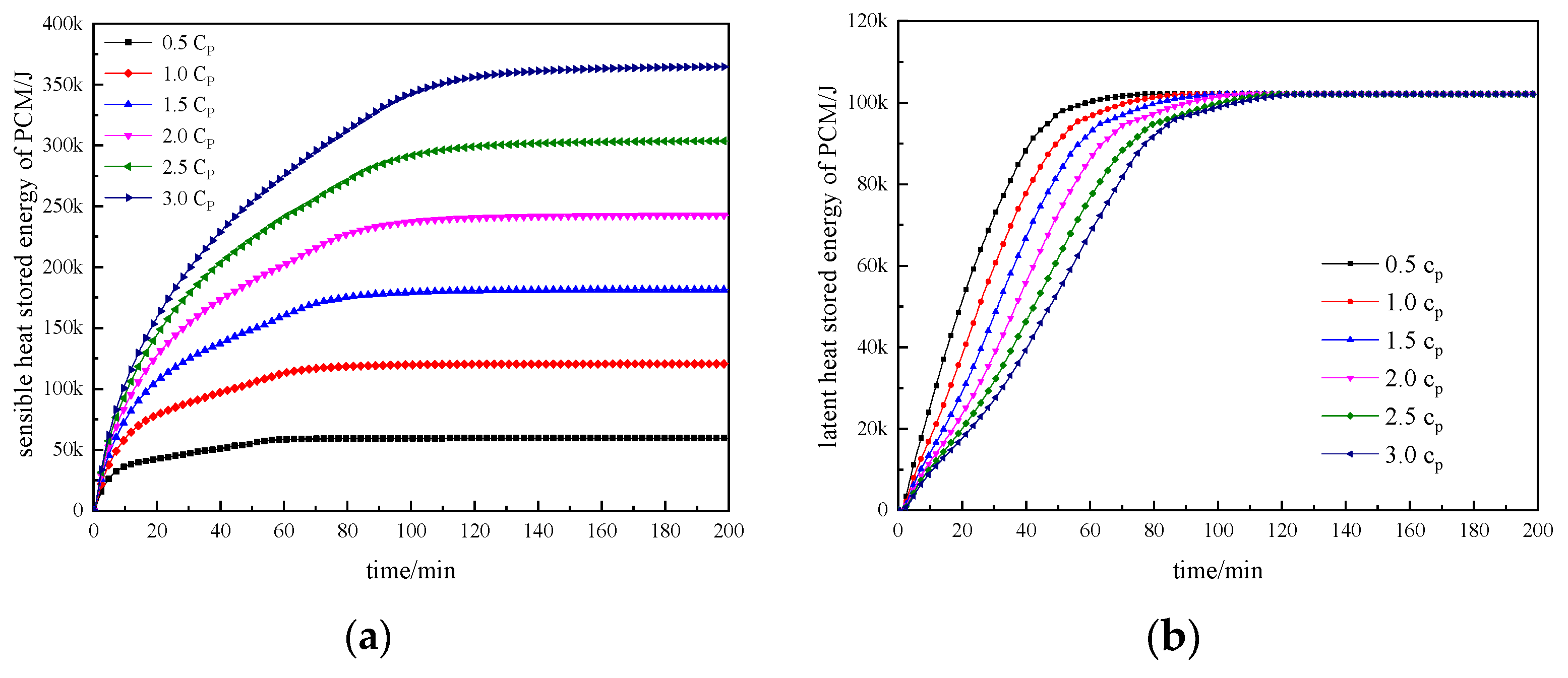
- Selecting a logical value for the specific heat capacity of the PCM proves to be a viable approach in enhancing the thermal storage capabilities of shell and tube phase change heat storage systems. As the specific heat capacity (cp) of the PCM increased, the total heat storage exhibited a linear increase. However, the rate of temperature increase and the PCM melting rate both experienced deceleration. Within the specified range of parameters, the average rate of heat storage rises alongside the increase in the cp of the PCM. Specifically, for every 50% rise in specific heat, the average heat storage rate expands by approximately 4%;
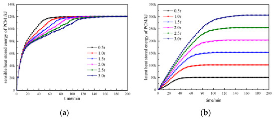
- The latent heat of the PCM is of great importance in improving the thermal storage efficiency of shell and tube phase change heat storage units. During the intermediate phase of the thermal storage process, the impact of changes in latent heat on the rate of temperature rise in the PCM is investigated. It is evident that an increase in latent heat leads to a decrease in the rate of temperature increase. However, the overall heat storage capacity exhibits a linear growth with the increase in latent heat. For each 50% increase in latent heat, the average heat storage rate increases by approximately 6%;
- The impact of thermal conductivity on the average thermal storage rate is more obvious. With each 50% increase in thermal conductivity, the average thermal storage rate increases by approximately 22%, especially when the thermal conductivity increases to 1.5 times the most significant, and the average thermal storage rate increases by nearly 50%. The total heat storage is minimally impacted by the thermal conductivity of the PCM.
Author Contributions
Funding
Data Availability Statement
Conflicts of Interest
References
- Chen, L.P.; Cai, L.; Li, G.H. Research progress and trend of heat storage technology. Chin. Sci. Bull. 2019, 33, 1505–1511. [Google Scholar]
- Mahdi, J.M.; Lohrasbi, S.; Nsofor, E.C. Hybrid heat transfer enhancement for latent-heat thermal energy storage systems: A review. Int. J. Heat Mass Transf. 2019, 137, 630–649. [Google Scholar] [CrossRef]
- Suresh, C.; Saini, R.P. An experimental study on the performance evaluation of a combined sensible-latent heat thermal energy storage. Int. J. Energy Res. 2021, 45, 5730–5746. [Google Scholar] [CrossRef]
- Suresh, C.; Saini, R.P. Thermal performance of sensible and latent heat thermal energy storage systems. Int. J. Energy Res. 2020, 44, 4743–4758. [Google Scholar] [CrossRef]
- Milian, Y.; Ushak, S.; Cabeza, L.; Grageda, M. Advances in the development of latent heat storage materials based on inorganic lithium salts. Sol. Energy Mater. Sol. Cells 2020, 208, 110344. [Google Scholar] [CrossRef]
- Li, Z.; Lu, Y.; Huang, R.; Chang, J.; Yu, X.; Jiang, R.; Yu, X.; Roskilly, A.P. Applications and technological challenges for heat recovery, storage and utilisation with latent thermal energy storage. Appl. Energy 2021, 283, 116277. [Google Scholar] [CrossRef]
- Cao, X.; Zhang, N.; Yuan, Y.; Luo, X. Thermal performance of triplex-tube latent heat storage exchanger: Simultaneous heat storage and hot water supply via condensation heat recovery. Renew. Energy 2020, 157, 616–625. [Google Scholar] [CrossRef]
- Zhao, Y.; Zhao, C.; Markides, C.; Wang, H.; Li, W. Medium- and high-temperature latent and thermochemical heat storage using metals and metallic compounds as heat storage media: A technical review. Appl. Energy 2020, 280, 115950. [Google Scholar] [CrossRef]
- Feng, P.; Zhao, B.; Wang, R. Thermophysical heat storage for cooling, heating, and power generation: A review. Appl. Therm. Eng. 2020, 166, 114728. [Google Scholar] [CrossRef]
- Kumar, N.; Gupta, S.K.; Sharma, V.K. Application of phase change material for thermal energy storage: An overview of recent advances. Mater. Today Proc. 2021, 44, 368–375. [Google Scholar] [CrossRef]
- Kumar, A.; Saha, S.K. Performance study of a novel funnel shaped shell and tube latent heat thermal energy storage system. Renew. Energy 2021, 165, 731–747. [Google Scholar] [CrossRef]
- Lin, W.Z.; Ling, Z.Y.; Fang, X.M. Research progress on heat transfer of phase change material heat storage technology. Chem. Ind. Eng. Prog. 2021, 40, 5166–5179. [Google Scholar]
- Gulfam, R.; Zhang, P.; Meng, Z. Advanced thermal systems driven by paraffin-based phase change materials—A review. Appl. Energy 2019, 238, 582–611. [Google Scholar] [CrossRef]
- Drissi, S.; Ling, T.-C.; Mo, K.H. Thermal efficiency and durability performances of paraffinic phase change materials with enhanced thermal conductivity—A review. Thermochim. Acta 2019, 673, 198–210. [Google Scholar] [CrossRef]
- Al-Yasiri, Q.; Szabó, M. Paraffin As a Phase Change Material to Improve Building Performance: An Overview of Applications and Thermal Conductivity Enhancement Techniques. Renew. Energy Environ. Sustain. 2021, 6, 38. [Google Scholar] [CrossRef]
- Leong, K.Y.; Abdul Rahman, M.R.; Gurunathan, B.A. Nano-enhanced phase change materials: A review of thermo-physical properties, applications and challenges. J. Energy Storage 2019, 21, 18–31. [Google Scholar] [CrossRef]
- Mohamed, N.H.; Soliman, F.S.; El Maghraby, H.; Moustfa, Y. Thermal conductivity enhancement of treated petroleum waxes, as phase change material, by α nano alumina: Energy storage. Renew. Sustain. Energy Rev. 2017, 70, 1052–1058. [Google Scholar] [CrossRef]
- Lin, S.C.; Al-Kayiem, H.H. Evaluation of copper nanoparticles—Paraffin wax compositions for solar thermal energy storage. Sol. Energy 2016, 132, 267–278. [Google Scholar] [CrossRef]
- Li, J.; Zhang, H. Thermal characteristics of power battery module with composite phase change material and external liquid cooling. Int. J. Heat Mass Transf. 2020, 156, 119820. [Google Scholar] [CrossRef]
- Zheng, H.; Wang, C.; Liu, Q.; Tian, Z.; Fan, X. Thermal performance of copper foam/paraffin composite phase change material. Energy Convers. Manag. 2018, 157, 372–381. [Google Scholar] [CrossRef]
- Li, T.; Wu, D.; He, F.; Wang, R. Experimental investigation on copper foam/hydrated salt composite phase change material for thermal energy storage. Int. J. Heat Mass Transf. 2017, 115 Pt A, 148–157. [Google Scholar] [CrossRef]
- Ashraf, M.J.; Ali, H.M.; Usman, H.; Arshad, A. Experimental passive electronics cooling: Parametric investigation of pin-fin geometries and efficient phase change materials. Int. J. Heat Mass Transf. 2017, 115 Pt B, 251–263. [Google Scholar] [CrossRef]
- Arshad, A.; Ali, H.M.; Ali, M.; Manzoor, S. Thermal performance of phase change material (PCM) based pin-finned heat sinks for electronics devices: Effect of pinthickness and PCM volume fraction. Appl. Therm. Eng. 2017, 112, 143–155. [Google Scholar] [CrossRef]
- Huang, X.; Yao, S. Solidification performance of new trapezoidal longitudinal fins in latent heat thermal energy storage. Case Stud. Therm. Eng. 2021, 26, 101110. [Google Scholar] [CrossRef]
- Borhani, S.; Hosseini, M.; Ranjbar, A.; Bahrampoury, R. Investigation of phase change in a spiral-fin heat exchanger. Appl. Math. Model. 2019, 67, 297–314. [Google Scholar] [CrossRef]
- Li, H.; Hu, C.; He, Y.; Tang, D.; Wang, K.; Huang, W. Effect of perforated fins on the heat-transfer performance of vertical shell-and-tube latent heat energy storage unit. J. Energy Storage 2021, 39, 102647. [Google Scholar] [CrossRef]
- Aly, K.A.; El-Lathy, A.R.; Fouad, M.A. Enhancement of solidification rate of latent heat thermal energy storage using corrugated fins. J. Energy Storage 2019, 24, 100785. [Google Scholar] [CrossRef]
- Mahdi, J.M.; Nsofor, E.C. Solidification enhancement of PCM in a triplex-tube thermal energy storage system with nanoparticles and fins. Appl. Energy 2018, 211, 975–986. [Google Scholar] [CrossRef]
- Kateshia, J.; Lakhera, V.J. Analysis of solar still integrated with phase change material and pin fins as absorbing material. J. Energy Storage 2021, 35, 102292. [Google Scholar] [CrossRef]
- Hosseinzadeh, K.; Alizadeh, M.; Ganji, D. Solidification process of hybrid nano-enhanced phase change material in a LHTESS with tree-like branching fin in the presence of thermal radiation. J. Mol. Liq. 2019, 275, 909–925. [Google Scholar] [CrossRef]
- Nemati, H.; Rahimzadeh, A.R.; Wang, C.-C. Heat transfer simulation of annular elliptical fin-and-tube heat exchanger by transition SST model. J. Cent. South Univ. 2020, 27, 2324–2337. [Google Scholar] [CrossRef]
- Wu, Y.; Li, D.; Yang, R.; Müslüm, A.; Liu, C. Enhancing heat transfer and energy storage performance of shell-and-tube latent heat thermal energy storage unit with unequal length fins. J. Therm. Sci. 2023, 32, 2018–2031. [Google Scholar] [CrossRef]
- Ji, H.; Sellan, D.P.; Pettes, M.T.; Kong, X.; Ji, J.; Shi, L.; Ruoff, R.S. Enhanced thermal conductivity of phase change materials with ultrathin-graphite foams for thermal energy storage. Energy Environ. Sci. 2014, 7, 1185–1192. [Google Scholar] [CrossRef]
- Daneshazarian, R.; Antoun, S.; Dworkin, S.B. Performance assessment of nano-enhanced phase change material for thermal storage. Int. J. Heat Mass Transf. 2021, 173, 121256. [Google Scholar] [CrossRef]
- Li, J.; Lu, W.; Zeng, Y.; Luo, Z. Simultaneous enhancement of latent heat and thermal conductivity of docosane-based phase change material in the presence of spongy graphene. Sol. Energy Mater. Sol. Cells 2014, 128, 48–51. [Google Scholar] [CrossRef]
- Longeon, M.; Soupart, A.; Fourmigué, J.-F.; Bruch, A.; Marty, P. Experimental and numerical study of annular PCM storage in the presence of natural convection. Appl. Energy 2013, 112, 175–184. [Google Scholar] [CrossRef]










| Material | Paraffin | Copper | Water | Perspex |
|---|---|---|---|---|
| Density (ρ)/(kg/m3) | 785 | 8978 | 998 | 800 |
| Specific heat (cp)/(J/(kg·K)) | 2850 | 381 | 4182 | 1900 |
| Thermal conductivity (λ)(W/(m·K)) | 0.2(s)/0.1(l) | 387.6 | 0.6 | 0.2 |
| Dynamic viscosity (μ)(Pa·s) | 3.65 × 10−3 | - | 1.003 × 10−3 | - |
| Latent heat (r)/(J/kg) | 102,100 | - | - | - |
| Solidus/Liquidus temperature (K) | 323/328 | - | - | - |
Disclaimer/Publisher’s Note: The statements, opinions and data contained in all publications are solely those of the individual author(s) and contributor(s) and not of MDPI and/or the editor(s). MDPI and/or the editor(s) disclaim responsibility for any injury to people or property resulting from any ideas, methods, instructions or products referred to in the content. |
© 2024 by the authors. Licensee MDPI, Basel, Switzerland. This article is an open access article distributed under the terms and conditions of the Creative Commons Attribution (CC BY) license (https://creativecommons.org/licenses/by/4.0/).
Share and Cite
Meng, F.; Che, C.; Wu, Y.; Wei, J.; Rong, J.; Yang, X.; Li, D.; Yang, R.; Wang, Z. Thermal Storage Performance of a Shell and Tube Phase Change Heat Storage Unit with Different Thermophysical Parameters of the Phase Change Material. Processes 2024, 12, 123. https://doi.org/10.3390/pr12010123
Meng F, Che C, Wu Y, Wei J, Rong J, Yang X, Li D, Yang R, Wang Z. Thermal Storage Performance of a Shell and Tube Phase Change Heat Storage Unit with Different Thermophysical Parameters of the Phase Change Material. Processes. 2024; 12(1):123. https://doi.org/10.3390/pr12010123
Chicago/Turabian StyleMeng, Fanbin, Chunying Che, Yangyang Wu, Jiachao Wei, Jiancheng Rong, Xinpeng Yang, Dong Li, Ruitong Yang, and Zhihua Wang. 2024. "Thermal Storage Performance of a Shell and Tube Phase Change Heat Storage Unit with Different Thermophysical Parameters of the Phase Change Material" Processes 12, no. 1: 123. https://doi.org/10.3390/pr12010123
APA StyleMeng, F., Che, C., Wu, Y., Wei, J., Rong, J., Yang, X., Li, D., Yang, R., & Wang, Z. (2024). Thermal Storage Performance of a Shell and Tube Phase Change Heat Storage Unit with Different Thermophysical Parameters of the Phase Change Material. Processes, 12(1), 123. https://doi.org/10.3390/pr12010123
