Characteristics and Stabilization Mechanism of Three-Phase Foam: Improving Heavy Oil Recovery via Steam Stimulation through Two-Dimensional Visual Model
Abstract
:1. Introduction
2. Experiments
2.1. Materials
2.2. Preparation of CGS Dispersion
2.3. Preparation and Characterization of Foams
2.3.1. Viscosity Testing of Dispersions
2.3.2. Optimizing the Foam System
2.3.3. Properties of Liquid Film
2.4. Sand Pack Experiments
2.5. Two-Dimensional Visualization Simulation Experiments
- (1)
- Fill the formulation of 4000 mD permeability quartz sand used in the sand filling tube experiment into the two-dimensional flat plate model. Verify the integrity of the unit, subsequently employing separate models for brine and crude oil saturation. The lower extremity of the flat plate features a horizontal well, establishing a linkage to an infinitely extensive reservoir maintained at a consistent pressure of 1 MPa. The production well connects to a back pressure valve, which is regulated to maintain a back pressure of 1.1 MPa. The apparatus temperature is stabilized at 80 °C.
- (2)
- Set up the experimental apparatus as illustrated in the diagram and execute a series of four steam-stimulation cycles. During each cycle, introduce 150 mL of steam through the production well at a rate of 10 mL/min, maintaining a steam temperature of 250 °C. The base water pressure is kept constant at 1 MPa. Allow for a 30-min soaking period. Following well opening, employ a steady-flow pump to administer 400 mL of liquid through the horizontal well at a rate of 10 mL/min, mimicking the recovery process. Repeat this procedure for a total of 4 cycles.
- (3)
- Implement two cycles of pure GD foam profile control. During each cycle, introduce 150 mL of steam followed by 150 mL of foam through the production well. Maintain a gas–liquid ratio of 2:1 and an injection rate of 10 mL/min to uphold a constant bottom water pressure of 1 MPa. Subsequently, cease the injection of bottom water at constant pressure, and introduce 550 mL of formation water through the horizontal well at a rate of 10 mL/min for displacement. Production takes place under a back pressure of 1 MPa at the wellhead of the production well. Proceed with two cycles of enhanced syntactic foam profile control. In each cycle, inject 150 mL of steam through the production well, followed by the injection of 150 mL of CGS foam at a gas–liquid ratio of 2:1, maintaining an injection rate of 10 mL/min and a constant bottom water pressure of 1 MPa to initiate well operations. Upon completion, discontinue the constant bottom water pressure, introduce 550 mL of simulated formation water through the horizontal well at a rate of 10 mL/min for displacement, and conduct production under a wellhead back pressure of 1 MPa.
3. Results and Discussion
3.1. Analysis of CGS Dispersion Properties
3.1.1. Dispersion Viscosity and Particle Size Distribution
3.1.2. Interfacial Dilational Viscoelasticity
3.2. Stability of Foam
3.3. Performance of Foam in Porous Media
3.3.1. Applicable Range of Permeability
3.3.2. Comparison of Sealing Ability
3.3.3. Temperature Resistance
3.4. Analysis of Production Parameters
3.5. Foam Enhances Formation Energy
3.6. Flow Characteristics
3.7. Changes in Temperature Field
4. Conclusions
- (1)
- The comparison between CGS foam and GD foam shows that the stability of foam is increased by six times by particles and the temperature resistance of the foam is also improved.
- (2)
- CGS foam is suitable for formations with a permeability of 3000 mD, and the plugging performance of CGS foam in sand-packed pipes is stronger than that of pure GD foam. CGS foam is easier to be injected into formation than graphite clay particles.
- (3)
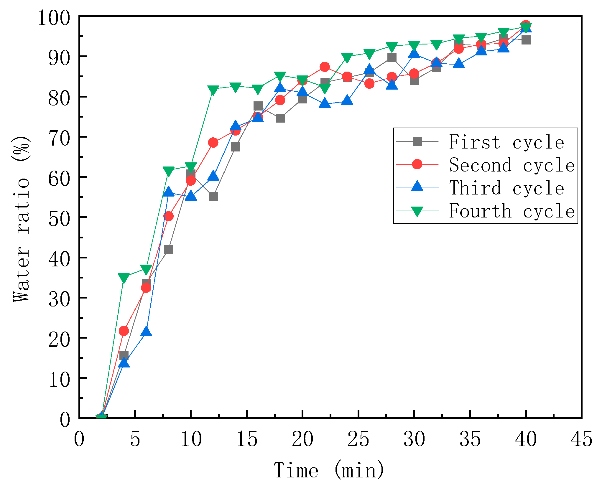
- The area swept by the injected steam mainly increased in the first four rounds during steam stimulation. After the injection of GD foam, the swept area of steam increased from 26.1% to 35.6%.
- (4)
- The particles in CGS foam can persist in the high-permeability channel in the formation. CGS foam is better than GD foam at changing the trend of crude oil production decline with the increase in huff and puff cycle.
Author Contributions
Funding
Data Availability Statement
Acknowledgments
Conflicts of Interest
References
- Wang, Z.J.; Li, S.Y.; Jin, Z.J.; Li, Z.M.; Liu, Q.Y.; Zhang, K.Q. Oil and gas pathway to net-zero: Review and outlook. Energy Strategy Rev. 2023, 45, 101048. [Google Scholar] [CrossRef]
- Akbilgic, O.; Zhu, D.; Gates, I.D.; Bergerson, J.A. Prediction of steam-assisted gravity drainage steam to oil ratio from reservoir characteristics. Energy 2015, 93, 1663–1670. [Google Scholar] [CrossRef]
- Baghernezhad, D.; Siavashi, M.; Nakhaee, A. Optimal scenario design of steam-assisted gravity drainage to enhance oil recovery with temperature and rate control. Energy 2019, 166, 610–623. [Google Scholar] [CrossRef]
- Mozaffari, S.; Nikookar, M.; Ehsani, M.R.; Sahranavard, L.; Roayaie, E.; Mohammadi, A.H. Numerical modeling of steam injection in heavy oil reservoirs. Fuel 2013, 112, 185–192. [Google Scholar] [CrossRef]
- Shafiei, A.; Dusseault, M.B.; Zendehboudi, S.; Chatzis, I. A new screening tool for evaluation of steamflooding performance in Naturally Fractured Carbonate Reservoirs. Fuel 2013, 108, 502–514. [Google Scholar] [CrossRef]
- Lu, T.; Ban, X.; Guo, E.; Li, Q.; Gu, Z.; Peng, D. Cyclic In-Situ Combustion Process for Improved Heavy Oil Recovery after Cyclic Steam Stimulation. SPE J. 2022, 27, 1447–1461. [Google Scholar] [CrossRef]
- Zhao, D.W.; Wang, J.; Gates, I.D. Thermal recovery strategies for thin heavy oil reservoirs. Fuel 2014, 117, 431–441. [Google Scholar] [CrossRef]
- Fan, H.J.; Fan, T.E.; Deng, J.H.; Zhang, L.J.; Zheng, W.; Chen, L.F.; Ge, Z.Z.; Xie, H.J.; Liang, X. The Influence of Interlayer on the Development of Steam Chamber in Steam Stimulation during Heavy Oil Recovery. Processes 2023, 11, 1742. [Google Scholar] [CrossRef]
- Yang, M.; Chai, M.J.; Yu, X.R.; Wang, S.; Feng, Q.H.; Chen, Z.X. Insights into in-situ upgrading of bitumen in the hybrid of steam and combustion process: From experimental analysis aspects. J. Pet. Sci. Eng. 2022, 217, 110894. [Google Scholar] [CrossRef]
- Aounallah, K. Efficient Simulation and Analysis of the Effects of Permeability on the In-Situ Combustion of Heavy Oils. In Proceedings of the SPE Annual Technical Conference and Exhibition, Calgary, AB, Canada, 30 September–2 October 2019. [Google Scholar]
- Bao, Y.; Wang, J.; Gates, I.D. On the physics of cyclic steam stimulation. Energy 2016, 115, 969–985. [Google Scholar] [CrossRef]
- Chen, H.; Chen, Z.; Wei, B.; Jiang, Q. A novel approach for quantitative characterization of aqueous in-situ foam dynamic structure based on fractal theory. Fuel 2023, 352, 129149. [Google Scholar] [CrossRef]
- Songliang, P.; Aiwu, Y.; Hua, J.; Shoujun, Z. Cyclic Preheating Test in SAGD Horizontal Wells of Liaohe Oilfield. In Proceedings of the International Oil and Gas Conference and Exhibition in China, Beijing, China, 8–10 June 2010. [Google Scholar]
- Srinivasareddy, D.; Kumar, G.S. A Numerical Study on Phase Behavior Effects in Enhanced Oil Recovery by In Situ Combustion. Pet. Sci. Technol. 2015, 33, 353–362. [Google Scholar] [CrossRef]
- Xianghong, W.; Anzhu, X.; Hailiang, F. An integrated evaluation on factors affecting the performance of superheated steam huff and puff in heavy oil reservoirs. Pet. Explor. Dev. Online 2010, 37, 608–613. [Google Scholar] [CrossRef]
- Xu, A.; Mu, L.; Fan, Z.; Wu, X.; Zhao, L.; Bo, B.; Xu, T. Mechanism of heavy oil recovery by cyclic superheated steam stimulation. J. Pet. Sci. Eng. 2013, 111, 197–207. [Google Scholar] [CrossRef]
- Babadagli, T.; Al-Bemani, A. Investigations on matrix recovery during steam injection into heavy-oil containing carbonate rocks. J. Pet. Sci. Eng. 2007, 58, 259–274. [Google Scholar] [CrossRef]
- Wang, Z.J.; Li, S.Y.; Li, Z.M. A novel strategy to reduce carbon emissions of heavy oil thermal recovery: Condensation heat transfer performance of flue gas-assisted steam flooding. Appl. Therm. Eng. 2022, 205, 638–651. [Google Scholar] [CrossRef]
- Tang, G.-Q.; Lowry, D.; Lee, V. Recovery Mechanism of Steam Injection in Carbonate Reservoir. In Proceedings of the SPE Western North American Region Meeting, Anchorage, AL, USA, 7–11 May 2011. [Google Scholar]
- Luo, E.; Fan, Z.; Hu, Y.; Zhao, L.; Bo, B.; Yu, W.; Liang, H.; Liu, M.; Liu, Y.; He, C.; et al. An efficient optimization framework of cyclic steam stimulation with experimental design in extra heavy oil reservoirs. Energy 2020, 192, 116601. [Google Scholar] [CrossRef]
- Qu, T.; Li, S. Technique of enhancing recovery of remaining oil in heavy oil reservoirs by horizontal wells. Pet. Explor. Dev. 2009, 36, 743–748. [Google Scholar]
- Pang, Z.X.; Liu, H.Q.; Zhu, L. A laboratory study of enhancing heavy oil recovery with steam flooding by adding nitrogen foams. J. Pet. Sci. Eng. 2015, 128, 184–193. [Google Scholar] [CrossRef]
- Sun, Q.; Li, Z.; Li, S.; Jiang, L.; Wang, J.; Wang, P. Utilization of Surfactant-Stabilized Foam for Enhanced Oil Recovery by Adding Nanoparticles. Energy Fuels 2014, 28, 2384–2394. [Google Scholar] [CrossRef]
- Sun, Q.; Li, Z.; Wang, J.; Li, S.; Li, B.; Jiang, L.; Wang, H.; Lü, Q.; Zhang, C.; Liu, W. Aqueous foam stabilized by partially hydrophobic nanoparticles in the presence of surfactant. Colloids Surf. A Physicochem. Eng. Asp. 2015, 471, 54–64. [Google Scholar] [CrossRef]
- Telmadarreie, A.; Trivedi, J.J. New Insight on Carbonate-Heavy-Oil Recovery: Pore-Scale Mechanisms of Post-Solvent Carbon Dioxide Foam/Polymer-Enhanced-Foam Flooding. SPE J. 2016, 21, 1655–1668. [Google Scholar] [CrossRef]
- Li, S.; Li, Z.; Lin, R. Mathematical models for foam-diverted acidizing and their applications. Pet. Sci. 2008, 5, 145–152. [Google Scholar] [CrossRef]
- Espinosa, D.; Caldelas, F.; Johnston, K.; Bryant, S.L.; Huh, C. Nanoparticle-Stabilized Supercritical CO2 Foams for Potential Mobility Control Applications. In Proceedings of the SPE Improved Oil Recovery Symposium, Tulsa, OK, USA, 24–28 April 2010. SPE–129925-MS. [Google Scholar]
- Ernsting, M.J.; Murakami, M.; Roy, A.; Li, S.-D. Factors controlling the pharmacokinetics, biodistribution and intratumoral penetration of nanoparticles. J. Control. Release 2013, 172, 782–794. [Google Scholar] [CrossRef] [PubMed]
- Binks, B.P.; Kirkland, M.; Rodrigues, J.A. Origin of stabilisation of aqueous foams in nanoparticle–surfactant mixtures. Soft Matter 2008, 4, 2373–2382. [Google Scholar] [CrossRef]
- Geng, P.; Zore, A.; Van de Mark, M.R. Thermodynamic Characterization of Free and Surface Water of Colloidal Unimolecular Polymer (CUP) Particles Utilizing DSC. Polymers 2020, 12, 1417. [Google Scholar] [CrossRef]
- Wang, X.; Zhong, J.; Wang, Y.; Yu, M. A study of the properties of carbon foam reinforced by clay. Carbon 2006, 44, 1560–1564. [Google Scholar] [CrossRef]
- Sani, A.M.; Mohanty, K.K. Incorporation of clay nano-particles in aqueous foams. Colloids Surf. A Physicochem. Eng. Asp. 2009, 340, 174–181. [Google Scholar] [CrossRef]
- Kozbial, A.; Zhou, F.; Li, Z.; Liu, H.; Li, L. Are Graphitic Surfaces Hydrophobic? Acc. Chem. Res. 2016, 49, 2765–2773. [Google Scholar] [CrossRef]
- Cao, X.; Li, Y.; Jiang, S.; Sun, H.; Cagna, A.; Dou, L. A study of dilational rheological properties of polymers at interfaces. J. Colloid Interface Sci. 2004, 270, 295–298. [Google Scholar] [CrossRef]
- Li, S.; Qiao, C.; Ji, G.; Wang, Q.; Tao, L. Experimental Study of Profile Control with Foam Stabilized by Clay Particle and Surfactant. Energies 2019, 12, 781. [Google Scholar] [CrossRef]
- Qin, Y.; Yang, D.; Guo, W.; Qiu, X. Investigation of grafted sulfonated alkali lignin polymer as dispersant in coal-water slurry. J. Ind. Eng. Chem. 2015, 27, 192–200. [Google Scholar] [CrossRef]
















| Sample No. | Permeability (mD) | Porosity (%) | Temperature (°C) | Injection Rate (mL/min) | Type of Foam |
|---|---|---|---|---|---|
| 1 | 571 | 32.3 | 50 | 2 | CGS Foam |
| 2 | 1156 | 33.2 | 50 | 2 | CGS Foam |
| 3 | 2097 | 34.7 | 50 | 2 | CGS Foam |
| 4 | 3442 | 35.1 | 50 | 2 | CGS Foam |
| 5 | 7381 | 36.2 | 50 | 2 | CGS Foam |
| 6 | 3684 | 35.6 | 50 | 2 | GD Foam |
| 7 | 3156 | 35.8 | 50 | 2 | 5 wt% CG |
| 8 | 3360 | 35.5 | 120 | 2 | CGS Foam |
| 9 | 3581 | 36.4 | 120 | 2 | GD Foam |
Disclaimer/Publisher’s Note: The statements, opinions and data contained in all publications are solely those of the individual author(s) and contributor(s) and not of MDPI and/or the editor(s). MDPI and/or the editor(s) disclaim responsibility for any injury to people or property resulting from any ideas, methods, instructions or products referred to in the content. |
© 2023 by the authors. Licensee MDPI, Basel, Switzerland. This article is an open access article distributed under the terms and conditions of the Creative Commons Attribution (CC BY) license (https://creativecommons.org/licenses/by/4.0/).
Share and Cite
Wu, M.; Lun, Z.; Tang, Y.; Dai, J.; Liu, M.; Wang, D.; Li, Z. Characteristics and Stabilization Mechanism of Three-Phase Foam: Improving Heavy Oil Recovery via Steam Stimulation through Two-Dimensional Visual Model. Processes 2023, 11, 2649. https://doi.org/10.3390/pr11092649
Wu M, Lun Z, Tang Y, Dai J, Liu M, Wang D, Li Z. Characteristics and Stabilization Mechanism of Three-Phase Foam: Improving Heavy Oil Recovery via Steam Stimulation through Two-Dimensional Visual Model. Processes. 2023; 11(9):2649. https://doi.org/10.3390/pr11092649
Chicago/Turabian StyleWu, Mingxuan, Zengmin Lun, Yongqiang Tang, Jinming Dai, Mingkai Liu, Deqiang Wang, and Zhaomin Li. 2023. "Characteristics and Stabilization Mechanism of Three-Phase Foam: Improving Heavy Oil Recovery via Steam Stimulation through Two-Dimensional Visual Model" Processes 11, no. 9: 2649. https://doi.org/10.3390/pr11092649
APA StyleWu, M., Lun, Z., Tang, Y., Dai, J., Liu, M., Wang, D., & Li, Z. (2023). Characteristics and Stabilization Mechanism of Three-Phase Foam: Improving Heavy Oil Recovery via Steam Stimulation through Two-Dimensional Visual Model. Processes, 11(9), 2649. https://doi.org/10.3390/pr11092649

