Finite-Element Analysis on Energy Dissipation and Sealability of Premium Connections under Dynamic Loads
Abstract
1. Introduction
2. Materials and Methods
2.1. Dynamic Model Establishment
- E—is the Elastic modulus of elastic rod, GPa;
- A—is the section area of the elastic rod, mm2;
- θ—is the taper of the sealing surface, °;
- k—is the shear layer stiffness in the stick region, MPa;
- L—is the horizontal length of the shear layer, mm;
- ln—is the length of the stick zone, mm;
- u—is the displacement of a point on the shear layer, mm;
- p(x)—is the non-uniform normal pressure distribution, N/mm;
- F—is the tangential load on the elastic rod, kN;
- μ—is the coefficient of friction
2.2. Verification of Dynamic Model
3. FEM of Premium Connection
3.1. FEM for Friction Contact
3.2. FEM for Vibration
3.3. Mesh Independent Verification
4. Result
4.1. Effect of Spherical Radius on Energy Dissipation
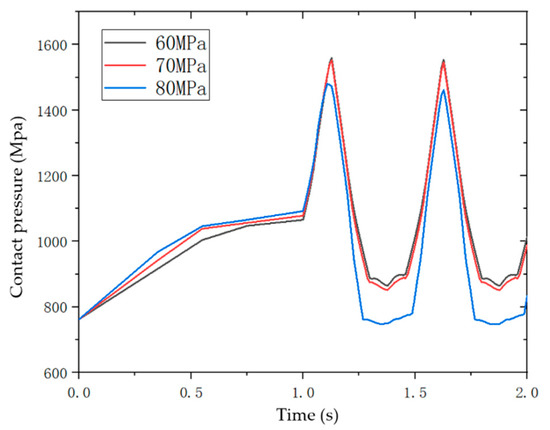
4.2. Effect of Internal Pressure on Energy Dissipation
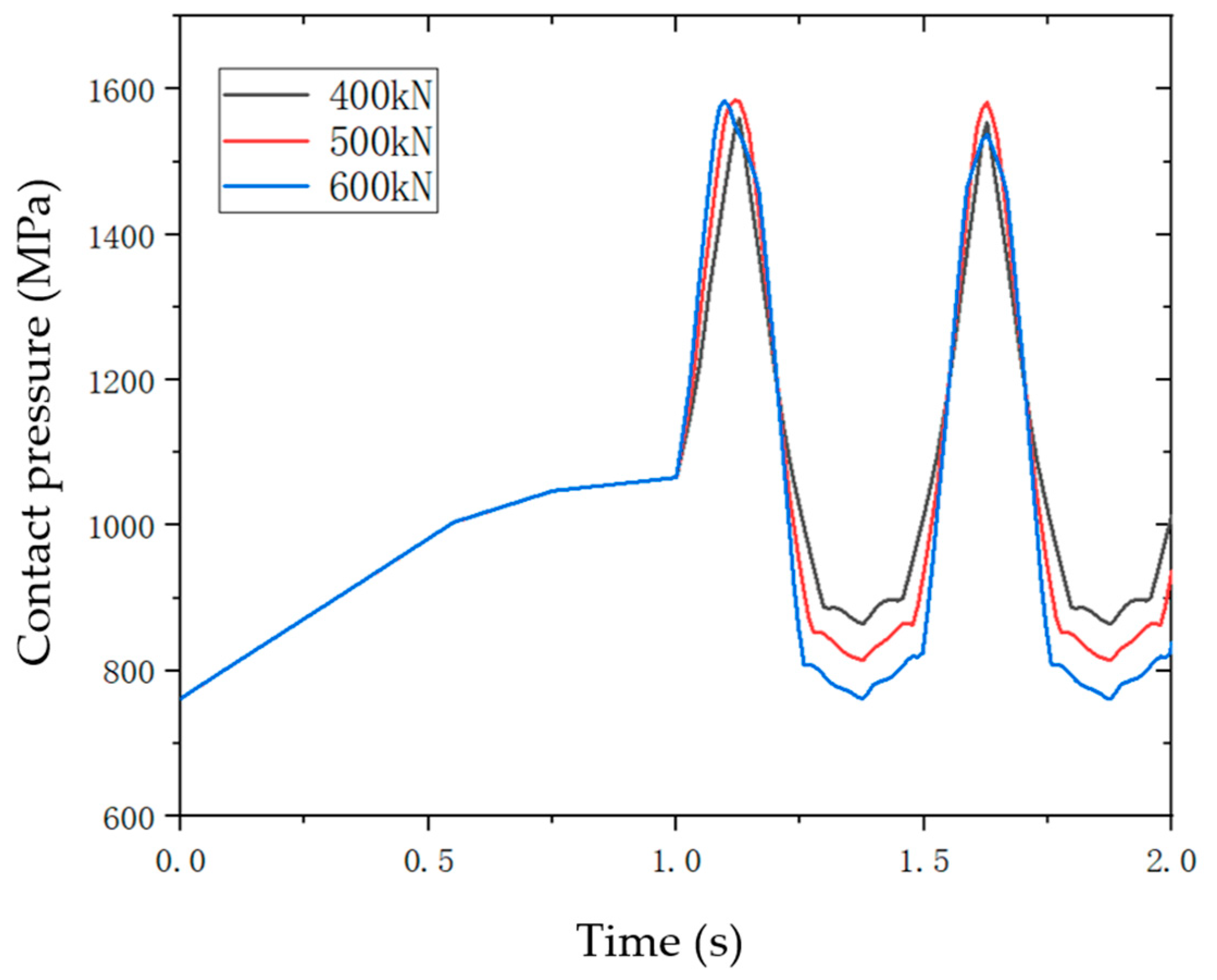
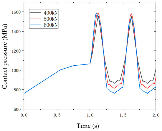
4.3. Effect of Axial Cyclic Load Amplitude on Energy Dissipation
4.4. The Influence of Modal Shapes on Energy Dissipation
5. Discussion
6. Conclusions
- (1)
- The force–displacement curve of the spherical-conical premium connection under dynamic load is similar to a parallelogram, and its energy dissipation is mainly caused by gross slip. The force–displacement curve under the modal vibration mode assumes a needle-like shape, and its energy dissipation is mainly caused by microslip. Compared with dynamic load, the energy dissipation value of the sealing surfaces under the first-order, the second-order modes is minimal. Therefore, the dynamic load impact on the sealing performance of the connection is greater than string vibration.
- (2)
- During the cyclic load, the spherical radius is positively correlated with energy dissipation but has little impact on the contact pressure of the sealing surfaces. Under the same axial cyclic load, it is impossible to analyze the influence of spherical radius on the sealing performance of connections by contact pressure, but the energy dissipation theory can effectively solve this problem.
- (3)
- Under different cyclic loads, the change amplitude of contact pressure is much smaller than that of energy dissipation. When analyzing the influence of cyclic load amplitude on the sealing performance of connections, the results tend to be conservative in terms of the contact pressure of sealing surfaces.
- (4)
- Under the combined action of internal pressure and axial cyclic load, it will cause plastic deformation accumulation on the thread and sealing surfaces. When the internal pressure and axial cyclic loads are 80 MPa, 400 kN, or 60 MPa, 500 kN, respectively, the thread with stress concentration is a potential danger point. At the same time, the energy dissipation significantly increases, leading to a decline in the sealing performance of the connection which has a risk of sealing failure.
Author Contributions
Funding
Institutional Review Board Statement
Informed Consent Statement
Data Availability Statement
Conflicts of Interest
Nomenclature
| E | Young’s modulus, Gpa |
| A | constant cross-section area of the elastic bar, mm2 |
| θ | the taper of the sealing surface, ° |
| k | the shear layer stiffness in the stick region, MPa |
| L | the horizontal length of the shear layer, mm |
| ln | the length of the stick zone, mm |
| u | the displacement of a point on the shear layer, mm |
| u′ | the velocity of a point on the shear layer, mm/s |
| u″ | the acceleration of a point on the shear layer, mm/s2 |
| p(x) | the non-uniform normal pressure distribution, N/mm |
| F | the tangential load on the elastic rod, kN |
| μ | the coefficient of friction |
| P0 | the maximum normal pressure, N/mm |
| kp | the slope of normal pressure |
| F0 | the starting force at unloading, N |
| FA | the force during unloading, N |
| u(L)0 | the initial displacement at unloading, mm |
| u(L)A | the displacement during unloading, mm |
| ΔEh | the microslip energy dissipation per cycle, J |
| un(x) | the critical displacement when the stick region is converted into slip region, mm |
References
- Matthews, C. Assessing tubular connection leakage integrity. World Oil 2002, 223, 82–84. [Google Scholar]
- Dou, Y.H.; Cao, Y.P.; Zhang, F.X.; Yang, X.T. Analysis of Influence to the Connect and Seal Ability of Tubing Connection of Inner Pressures. In Proceedings of the Advanced Materials Research, Xi’an, China, 7–8 January 2012; pp. 790–793. [Google Scholar]
- Bradley, A.; Nagasaku, S.; Verger, E. Premium connection design, testing, and installation for HPHT sour wells. In Proceedings of the SPE High Pressure/High Temperature Sour Well Design Applied Technology Workshop, The Woodlands, TX, USA, 17–19 May 2005. [Google Scholar]
- Xie, J. Numerical evaluation of tubular connections for HPHT applications. In Proceedings of the Baosteel Conference, Shanghai, China, 4–6 June 2013. [Google Scholar]
- Li, D.; Botto, D.; Li, R.; Xu, C.; Zhang, W. Experimental and theoretical studies on friction contact of bolted joint interfaces. Int. J. Mech. Sci. 2022, 236, 107773. [Google Scholar] [CrossRef]
- Xu, H.; Yang, B.; Zhang, Z.; Shi, T. Special considerations to calculate joint strength of premium connections. J. Pet. Sci. Eng. 2019, 182, 106295. [Google Scholar] [CrossRef]
- Xu, H.; Zhang, Z.; Xiang, S.; Yang, B.; Shi, T. Leakage Model of Tubing and Casing Premium Connection Based on Sinusoidal Contact Simulation between Rough Surfaces. Processes 2023, 11, 570. [Google Scholar] [CrossRef]
- Yang, B.; Xu, H.; Xiang, S.; Zhang, Z.; Su, K.; Yang, Y. Effects of Make-Up Torque on the Sealability of Sphere-Type Premium Connection for Tubing and Casing Strings. Processes 2023, 11, 256. [Google Scholar] [CrossRef]
- Nasraoui, M.T.; Chakhari, J.; Khalfi, B.; Nasri, M. Modeling and analysis of a bolted joint under tension and shear loads. Trans. Can. Soc. Mech. Eng. 2019, 43, 376–386. [Google Scholar] [CrossRef]
- Xu, H.; Yang, B. A Quantitative Model to Calculate Gas Sealing Capacity and Design Sealing Parameters for Premium Connection. Math. Probl. Eng. 2020, 2020, 9074381. [Google Scholar] [CrossRef]
- Zhiqian, X.; Xiangzhen, Y.; Xiujuan, Y.; Xiaokang, Y.; Mingda, W.; Xiaoyun, Z. Aplication of micro-leakage mechanism for evaluating the sealing performance of non-API casing connections. Acta Pet. Sin. 2014, 35, 963. [Google Scholar]
- Chen, W.; Di, Q.; Zhang, H.; Chen, F.; Wang, W. The sealing mechanism of tubing and casing premium threaded connections under complex loads. J. Pet. Sci. Eng. 2018, 171, 724–730. [Google Scholar] [CrossRef]
- Chen, S.-J.; An, Q.; Zhang, Y.; Gao, L.-X.; Li, Q. Loading analysis on the thread teeth in cylindrical pipe thread connection. J. Press. Vessel Technol. 2010, 132, 031202. [Google Scholar] [CrossRef]
- Wang, Y.; Fan, H.; Zhang, L.; Wei, F.; Feng, G.; Niu, M. Lateral Vibration and Stability of High Temperature and High Pressure Gas Well Test String. Pet. Mach. 2011, 39, 36–38. [Google Scholar]
- Liu, E.; Wang, X.; Zhao, W.; Su, Z.; Chen, Q. Analysis and research on pipeline vibration of a natural gas compressor station and vibration reduction measures. Energy Fuels 2020, 35, 479–492. [Google Scholar] [CrossRef]
- Luo, J.; Zhang, K.; Liu, J.; Mu, L.; Wang, F. The Study of Tubing Vibration Mechanism in High Pressure Gas Well. World J. Eng. Technol. 2021, 9, 128. [Google Scholar] [CrossRef]
- Segalman, D.J. A Four-Parameter Iwan Model for Lap-Type Joints. J. Appl. Mech. 2005, 72, 752–760. [Google Scholar] [CrossRef]
- Sun, D.; Liao, R. Investigation Into the Effect of Interface Characteristics on the Energy Dissipation of the Bolted Joints. J. Comput. Theor. Nanosci. 2015, 12, 2821–2829. [Google Scholar] [CrossRef]
- Wang, D.; Zhang, Z. A four-parameter model for nonlinear stiffness of a bolted joint with non-Gaussian surfaces. Acta Mech. 2020, 231, 1963–1976. [Google Scholar] [CrossRef]
- Segalman, D.J. Modelling joint friction in structural dynamics. Struct. Control Health Monit. 2006, 13, 430–453. [Google Scholar] [CrossRef]
- Tan, L.; Wang, C.; Liu, Y.; Sun, W.; Zhang, W. Study on hysteresis and threaded fitting behavior of bolted joint with non-parallel bearing surface. Mech. Syst. Signal Process. 2022, 168, 108655. [Google Scholar] [CrossRef]
- Oldfield, M.; Ouyang, H.; Mottershead, J.E. Simplified models of bolted joints under harmonic loading. Comput. Struct. 2005, 84, 25–33. [Google Scholar] [CrossRef]
- Iwan, W.D. On a Class of Models for the Yielding Behavior of Continuous and Composite Systems. J. Appl. Mech. 1967, 34, 612–617. [Google Scholar] [CrossRef]
- Wang, S.-A.; Zhu, M.; Xie, X.; Li, B.; Liang, T.-X.; Shao, Z.-Q.; Liu, Y.-L. Finite Element Analysis of Elastoplastic Elements in the Iwan Model of Bolted Joints. Materials 2022, 15, 5817. [Google Scholar] [CrossRef] [PubMed]
- Xueliang, Z.; Yumei, H.; Weiping, F.; Xiaoyue, W.; Yongchao, L. Research on the Normal Damping of Machine Joints. In Proceedings of the International Design Engineering Technical Conferences and Computers and Information in Engineering Conference, Atlanta, GA, USA, 13–16 September 1998. [Google Scholar]
- Fu, W.; Huang, Y.; Zhang, X.; Guo, Q. Experimental investigation of dynamic normal characteristics of machined joint surfaces. J. Vib. Acoust. 2000, 122, 393–398. [Google Scholar] [CrossRef]
- Yang, Y.; Zhan, Q.; Yihua, D.; Yinping, C. Analysis of Energy Dissipation on the Sealing Surface of Premium Connection Based on a Microslip Shear Layer Model. Energies 2022, 15, 8400. [Google Scholar]
- Yu, Y.; Qu, Z.; Cao, Y.; Dou, Y.; Li, J. Sealability Analyses of Premium Connections Characterized by a Surface Fractal Function. Appl. Sci. 2023, 13, 6467. [Google Scholar] [CrossRef]
- Menq, C.-H.; Griffin, J.; Bielak, J. The influence of microslip on vibratory response, part II: A comparison with experimental results. J. Sound Vib. 1986, 107, 295–307. [Google Scholar] [CrossRef]
- Menq, C.H.; Bielak, J.; Griffin, J.H. The influence of microslip on vibratory response, part I: A new microslip model. J. Sound Vib. 1986, 107, 279–293. [Google Scholar] [CrossRef]
- Zhang, X.; Huang, Y.; Wen, S. Fractal model of contact stiffness of joint surfaces. Trans. Chin. Soc. Agric. Mach. 2000, 31, 89–91. [Google Scholar]
- Izumi, S.; Yokoyama, T.; Iwasaki, A.; Sakai, S. Three-dimensional Finite Element Analysis on Tightening and Loosening Mechanism of Bolted Joint. Trans. Jpn. Soc. Mech. Eng. Ser. A 2005, 71, 204–212. [Google Scholar] [CrossRef]
- Guangjie, Y.; Zhenqiang, Y.; Qinghua, W.; Zhentong, T. Numerical and experimental distribution of temperature and stress fields in API round threaded connection. Eng. Fail. Anal. 2006, 13, 1275–1284. [Google Scholar] [CrossRef]
- Shen, X.P.; Shen, G.Y. Numerical Analysis on the Expanding Process of Expandable Casing and Contact Evaluation of Its Threaded Connection. In Proceedings of the Applied Mechanics and Materials, Hong Kong, China, 17–18 August 2013; pp. 632–638. [Google Scholar]
- Nagata, S.; Fujita, S.; Sawa, T. FEM Stress Analysis and Leakage Behavior of Pipe-Socket Threaded Joints Subjected to Bending Moment and Internal Pressure. In Proceedings of the ASME 2020 Pressure Vessels & Piping Conference, Virtual, Online, 3 August 2020. [Google Scholar]
- Song, Y.; McFarland, D.M.; Bergman, L.A.; Vakakis, A.F. Effect of pressure distribution on energy dissipation in a mechanical lap joint. AIAA J. 2005, 43, 420–425. [Google Scholar] [CrossRef]
- Murtagian, G.; Fanelli, V.; Villasante, J.; Johnson, D.; Ernst, H. Sealability of stationary metal-to-metal seals. J. Trib. 2004, 126, 591–596. [Google Scholar] [CrossRef]
- Ferjaoui, A.; Yue, T.; Wahab, M.A.; Hojjati-Talemi, R. Prediction of fretting fatigue crack initiation in double lap bolted joint using Continuum Damage Mechanics. Int. J. Fatigue 2015, 73, 66–76. [Google Scholar] [CrossRef]
- Dou, Y.; Li, Y.; Cao, Y.; Yu, Y.; Zhang, J.; Zhang, L. FE simulation of sealing ability for premium connection based on ISO 13679 CAL IV tests. Int. J. Struct. Integr. 2020, 12, 138–148. [Google Scholar] [CrossRef]
- Ilyushin, Y.V.; Novozhilov, I. Temperature field control of a metal oil-well tubing for producing of high-paraffin oil. In Proceedings of the 2020 XXIII International Conference on Soft Computing and Measurements (SCM), St. Petersburg, Russia, 27–29 May 2020; pp. 149–152. [Google Scholar]
- Martirosyan, A.V.; Kukharova, T.V.; Fedorov, M.S. Research of the Hydrogeological Objects’ Connection Peculiarities. In Proceedings of the 2021 IV International Conference on Control in Technical Systems (CTS), Saint Petersburg, Russia, 21–23 September 2021; pp. 34–38. [Google Scholar]































| Elastic Modulus (GPa) | Cross-Sectional Area of Elastic Rod A (mm2) | Shear Layer Stiffness k (GPa) | Sealing Surface Cone Angle θ (°) | Contact Length of Sealing Surface (mm) | Friction Coefficient (μ) | Normal Pressure (N/mm) |
|---|---|---|---|---|---|---|
| 210 | 200 | 10 | 13.6 | 2.67 | 0.1 | 3.1 × 104 |
| Elastic Modulus | Poisson’s Ratio | FrictionCoefficient | Maximum Yield Strength | Strength Limit |
|---|---|---|---|---|
| 210 GPa | 0.3 | 0.1 | 828 MPa | 835 MPa |
| Spherical Radius (mm) | Internal Pressure (MPa) | Cyclic Load Amplitude (kN) | |
|---|---|---|---|
| I | 10, 15, 20 | 60 | 400 |
| II | 15 | 60, 70, 80 | 400 |
| III | 15 | 60 | 400, 500, 600 |
| Spherical Radius (mm) | Gross Slip | Energy Dissipation | ||
|---|---|---|---|---|
| Value (mm) | Growth Rate (%) | Value (J) | Growth Rate (%) | |
| 10 | 0.0420 | 1.02 | ||
| 15 | 0.0442 | 5.2 | 1.05 | 2.9 |
| 20 | 0.0466 | 5.4 | 1.09 | 3.8 |
| Internal Pressure (MPa) | Maximum Contact Pressure during Axial Compression Stage | Maximum Contact Pressure during Axial Tension Stage | ||
|---|---|---|---|---|
| Value (MPa) | Growth Rate (%) | Value (MPa) | Growth Rate (%) | |
| 60 | 1559 | 864.6 | ||
| 70 | 1551 | −0.5 | 851.6 | −1.5 |
| 80 | 1480.3 | −4.6 | 749.5 | −12 |
| Internal Pressure (MPa) | Gross Slip | Energy Dissipation | ||
|---|---|---|---|---|
| Value (mm) | Growth Rate (%) | Value (J) | Growth Rate (%) | |
| 60 | 0.0420 | 1.02 | ||
| 70 | 0.0432 | 2.9 | 1.10 | 7.8 |
| 80 | 0.0492 | 13.9 | 1.30 | 18.2 |
| Axial Cyclic Load (kN) | Maximum Contact Pressure during Axial Compression Stage | Maximum Contact Pressure during Axial Tension Stage | ||
|---|---|---|---|---|
| Value (MPa) | Growth Rate (%) | Value (MPa) | Growth Rate (%) | |
| 400 | 1559.1 | 866.5 | ||
| 500 | 1583.5 | −1.5 | 814.7 | −6 |
| 600 | 1584.3 | −0.06 | 761.4 | −6.5 |
| Axial Cyclic Load (kN) | Gross Slip | Energy Dissipation | ||
|---|---|---|---|---|
| Value (mm) | Growth Rate (%) | Value (J) | Growth Rate (%) | |
| 400 | 0.0420 | 1.002 | ||
| 500 | 0.0586 | 39.5 | 1.501 | 50 |
| 600 | 0.0748 | 27.6 | 1.875 | 25 |
Disclaimer/Publisher’s Note: The statements, opinions and data contained in all publications are solely those of the individual author(s) and contributor(s) and not of MDPI and/or the editor(s). MDPI and/or the editor(s) disclaim responsibility for any injury to people or property resulting from any ideas, methods, instructions or products referred to in the content. |
© 2023 by the authors. Licensee MDPI, Basel, Switzerland. This article is an open access article distributed under the terms and conditions of the Creative Commons Attribution (CC BY) license (https://creativecommons.org/licenses/by/4.0/).
Share and Cite
Yu, Y.; Cao, Y.; Qu, Z.; Dou, Y.; Wang, Z. Finite-Element Analysis on Energy Dissipation and Sealability of Premium Connections under Dynamic Loads. Processes 2023, 11, 1927. https://doi.org/10.3390/pr11071927
Yu Y, Cao Y, Qu Z, Dou Y, Wang Z. Finite-Element Analysis on Energy Dissipation and Sealability of Premium Connections under Dynamic Loads. Processes. 2023; 11(7):1927. https://doi.org/10.3390/pr11071927
Chicago/Turabian StyleYu, Yang, Yinping Cao, Zhan Qu, Yihua Dou, and Zidi Wang. 2023. "Finite-Element Analysis on Energy Dissipation and Sealability of Premium Connections under Dynamic Loads" Processes 11, no. 7: 1927. https://doi.org/10.3390/pr11071927
APA StyleYu, Y., Cao, Y., Qu, Z., Dou, Y., & Wang, Z. (2023). Finite-Element Analysis on Energy Dissipation and Sealability of Premium Connections under Dynamic Loads. Processes, 11(7), 1927. https://doi.org/10.3390/pr11071927

