The Decomposition of Dilute 1-Butene in Tubular Multilayer Dielectric Barrier Discharge Reactor: Performance, By-Products and Reaction Mechanism
Abstract
1. Introduction
2. Experimental Setup and Method
2.1. Experimental Setup
2.2. DBD Reactor
2.3. Measurement Methods
3. Results and Discussion
3.1. 1-Butene Decomposition
3.2. Effect of O2/(N2+O2) Ratio
3.3. Organic Byproduct Analysis
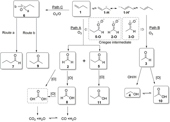
3.4. Proposed Reaction Mechanism
4. Conclusions
Author Contributions
Funding
Institutional Review Board Statement
Informed Consent Statement
Data Availability Statement
Conflicts of Interest
References
- Yang, Q.; Hou, R.; Sun, K. Tuning butene selectivities by cu modification on pd-based catalyst for the selective hydrogenation of 1,3-butadiene. J. Catal. 2019, 374, 12–23. [Google Scholar] [CrossRef]
- Suprun, W.; Sadovskaya, E.M.; Rüdinger, C.; Eberle, H.J.; Lutecki, M.; Papp, H. Effect of water on oxidative scission of 1-butene to acetic acid over V2O5-TiO2 catalyst. transient isotopic and kinetic study. Appl. Catal. A 2011, 391, 125–136. [Google Scholar] [CrossRef]
- Masoori, M.; Nekoomanesh, M.; Posada-Pérez, S.; Rashedi, R.; Bahri-Laleh, N. A systematic study on the effect of co-catalysts composition on the performance of Ziegler-Natta catalyst in ethylene/1-butene co-polymerizations. Polymer 2022, 261, 125423. [Google Scholar] [CrossRef]
- Zheng, W.; Zhao, Y.; Han, M.; Zhou, C.; He, A. Regulation of alkoxysilane on stereoregular polymerization of butene-1 catalyzed by TiCl4/MgCl2 ziegler-natta catalysts. Polymer 2021, 228, 123925. [Google Scholar] [CrossRef]
- Zhao, R.; Wang, H.; Zhao, D.; Liu, R.; Liu, S.; Fu, J.; Zhang, Y.; Ding, H. Review on catalytic oxidation of VOCs at ambient temperature. Int. J. Mol. Sci. 2022, 23, 13739. [Google Scholar] [CrossRef] [PubMed]
- Liu, Y.; Kong, L.; Liu, X.; Zhang, Y.; Zha, S. Characteristics, secondary transformation, and health risk assessment of ambient volatile organic compounds (VOCs) in urban beijing, china. Atmos. Pollut. Res. 2021, 12, 33–46. [Google Scholar] [CrossRef]
- Yang, K.; Wang, C.; Xue, S.; Li, W.; Liu, J.; Li, L. The identification, health risks and olfactory effects assessment of VOCs released from the wastewater storage tank in a pesticide plant. Ecotoxicol. Environ. Saf. 2019, 184, 109665. [Google Scholar] [CrossRef]
- Son, Y.S. Decomposition of VOCs and odorous compounds by radiolysis: A critical review. Chem. Eng. J. 2017, 316, 609–622. [Google Scholar] [CrossRef]
- Mu, Y.; Williams, P.T. Recent advances in the abatement of volatile organic compounds (VOCs) and chlorinated-VOCs by non-thermal plasma technology: A review. Chemosphere 2022, 308, 136481. [Google Scholar] [CrossRef]
- Veerapandian, S.; Leys, C.; Geyter, N.D.; Morent, R. Abatement of VOCs using packed bed non-thermal plasma reactors: A review. Catalysts 2017, 7, 113. [Google Scholar] [CrossRef]
- Jiang, N.; Guo, L.; Qiu, C.; Zhang, Y.; Shang, K.; Lu, N.; Li, J.; Wu, Y. Reactive species distribution characteristics and toluene destruction in the three-electrode DBD reactor energized by different pulsed modes. Chem. Eng. J. 2018, 350, 12–19. [Google Scholar] [CrossRef]
- Najafpoor, A.A.; Jafari, A.J.; Hosseinzadeh, A.; Jazani, R.K.; Bargozin, H. Optimization of non-thermal plasma efficiency in the simultaneous elimination of benzene, toluene, ethyl-benzene, and xylene from polluted airstreams using response surface methodology. Environ. Sci. Pollut. Res. 2018, 25, 233–241. [Google Scholar] [CrossRef] [PubMed]
- Sharmin, S.; Arne, M.V.; Christophe, L.; Nathalie, D.G.; Rino, M. Abatement of VOCs with alternate adsorption and plasma-assisted regeneration: A review. Catalysts 2015, 5, 718–746. [Google Scholar]
- Li, S.; Dang, X.; Yu, X.; Abbas, G.; Cao, L. The application of dielectric barrier discharge non-thermal plasma in VOCs abatement: A review. Chem. Eng. J. 2020, 388, 124275. [Google Scholar] [CrossRef]
- Mustafa, M.F.; Fu, X.; Liu, Y.; Abbas, Y.; Wang, H.; Lu, W. Volatile organic compounds (VOCs) removal in non-thermal plasma double dielectric barrier discharge reactor. J. Hazard. Mater. 2018, 347, 317–324. [Google Scholar] [CrossRef]
- Thomas, J.M.; Kaufman, F. Rate constants of the reactions of metastable N2(A3Σ+u) in v=0, 1, 2, and 3 with ground state O2 and O. J. Chem. Phys. 1985, 83, 2900–2903. [Google Scholar] [CrossRef]
- Garscadden, A.; Nagpal, R. Non-equilibrium electronic and vibrational kinetics in H2-N2 and H2 discharges. Plasma Sources Sci. Technol. 1995, 4, 268–280. [Google Scholar] [CrossRef]
- Cernogora, G.; Hochard, L.; Touzeau, M.; Ferreira, C.M. Population of N2(A3Σu+) metastable states in a pure nitrogen glow discharge. J. Phys. B At. Mol. Phys. 1981, 14, 2977–2987. [Google Scholar] [CrossRef]
- Mok, Y.S.; Chang, M.N.; Cho, M.H.; Nam, I.S. Decomposition of volatile organic compounds and nitric oxide by nonthermal plasma discharge processes. IEEE Trans. Plasma Sci. 2002, 30, 408–416. [Google Scholar]
- Aerts, R.; Tu, X.; Bie, C.D.; Whitehead, J.C.; Bogaerts, A. An investigation into the dominant reactions for ethylene destruction in non-thermal atmospheric plasmas. Plasma Process. Polym. 2012, 9, 994–1000. [Google Scholar] [CrossRef]
- Karatum, O.; Deshusses, M.A. A comparative study of dilute VOCs treatment in a non-thermal plasma reactor. Chem. Eng. J. 2016, 294, 308–315. [Google Scholar] [CrossRef]
- Rodrigues, A.; Tatibouët, J.M.; Fourré, E. Operando drift spectroscopy characterization of intermediate species on catalysts surface in VOC removal from air by non-thermal plasma assisted catalysis. Plasma Chem. Plasma Process. 2016, 36, 901–915. [Google Scholar] [CrossRef]
- Ma, T.; Zhao, Q.; Liu, J.; Zhong, F. Study of humidity effect on benzene decomposition by the dielectric barrier discharge nonthermal plasma reactor. Plasma Sci. Technol. 2016, 18, 686–692. [Google Scholar] [CrossRef]
- Schiavon, M.; Scapinello, M.; Tosi, P.; Ragazzi, M.; Torretta, V.; Rada, E.C. Potential of non-thermal plasmas for helping the biodegradation of volatile organic compounds (VOCs) released by waste management plants. J. Clean. Prod. 2015, 104, 211–219. [Google Scholar] [CrossRef]
- Li, X.; Guo, T.; Peng, Z.; Xu, L.; Dong, J.; Cheng, P.; Zhou, Z. Real-time monitoring and quantification of organic by-products and mechanism study of acetone decomposition in a dielectric barrier discharge reactor. Environ. Sci. Pollut. Res. 2019, 26, 6773–6781. [Google Scholar] [CrossRef] [PubMed]
- Blin-Simiand, N.; Pasquiers, S.; Jorand, F.; Postel, C.; Vacher, J.R. Removal of formaldehyde in nitrogen and in dry air by a DBD: Importance of temperature and role of nitrogen metastable states. J. Phys. D Appl. Phys. 2009, 42, 122003. [Google Scholar] [CrossRef]
- Trinh, Q.H.; Mok, Y.S. Effect of the adsorbent/catalyst preparation method and plasma reactor configuration on the removal of dilute ethylene from air stream. Catal. Today 2015, 256, 170–177. [Google Scholar] [CrossRef]
- Trinh, Q.H.; Lee, S.B.; Mok, Y.S. Removal of ethylene from air stream by adsorption and plasma-catalytic oxidation using silver-based bimetallic catalysts supported on zeolite. J. Hazard. Mater. 2015, 285, 525–534. [Google Scholar] [CrossRef] [PubMed]
- Gandhi, M.S.; Mok, Y.S. Catalytic non-thermal plasma decomposition of ethylene by using ZrO2 nanoparticles. Plasma Process. Polym. 2015, 12, 214–224. [Google Scholar] [CrossRef]
- Zhang, J.; Liu, J.; Zhang, R.; Hou, H.; Chen, S.; Zhang, Y. Destruction of gaseous styrene with a low-temperature plasma induced by a tubular multilayer dielectric barrier discharge. Plasma Sci. Technol. 2015, 17, 50–55. [Google Scholar] [CrossRef]
- Manley, T.C. The electric characteristics of the ozonator discharge. Trans. Electrochem. Soc. 1943, 84, 83–96. [Google Scholar] [CrossRef]
- Ma, Y.; Wang, X.; Ning, P.; Cheng, C.; Xu, K.; Wang, F.; Bian, Z.; Yan, S. Conversion of COS by corona plasma and the effect of simultaneous removal of COS and dust. Chem. Eng. J. 2016, 290, 328–334. [Google Scholar] [CrossRef]
- Malik, M.A.; Kolb, J.F.; Sun, Y.H.; Schoenbach, K.H. Comparative study of NO removal in surface-plasma and volume-plasma reactors based on pulsed corona discharges. J. Hazard. Mater. 2011, 197, 220–228. [Google Scholar] [CrossRef] [PubMed]
- Eliasson, B.; Hirth, M.; Kogelschatz, U. Ozone synthesis from oxygen in dielectric barrier discharges. J. Phys. D Appl. Phys. 1987, 20, 1421–1437. [Google Scholar] [CrossRef]
- Herron, J.T. Evaluated chemical kinetics data for reactions of N(2D), N(2P), and N2(A3Σu+) in the gas phase. J. Phys. Chem. Ref. Data 1999, 28, 1453–1483. [Google Scholar] [CrossRef]
- Böhmer, E.; Hack, W. Rate constants for the reactions of N2(A3Σu+, v′) with O3(1A1). Phys. Chem. 1991, 95, 1688–1690. [Google Scholar] [CrossRef]
- Umemoto, H.; Hachiya, N.; Matsunaga, E.; Suda, A.; Kawasaki, M. Rate constants for the deactivation of N(22D) by simple hydride and deuteride molecules. Chem. Phys. Lett. 1998, 296, 203–207. [Google Scholar] [CrossRef]
- Vandenbroucke, A.M.; Morent, R.; Geyter, N.D.; Leys, C. Non-thermal plasmas for non-catalytic and catalytic VOC abatement. J. Hazard. Mater. 2011, 195, 30–54. [Google Scholar] [CrossRef] [PubMed]
- Bo, Z.; Hao, H.; Yang, S.; Zhu, J.; Yan, J.; Cen, K. Vertically-oriented graphenes supported Mn3O4 as advanced catalysts in post plasma-catalysis for toluene decomposition. Appl. Surf. Sci. 2018, 436, 570–578. [Google Scholar] [CrossRef]
- Chang, T.; Shen, Z.; Huang, Y.; Lu, J.; Ren, D.; Sun, J.; Cao, J.; Liu, H. Post-plasma-catalytic removal of toluene using MnO2-Co3O4 catalysts and their synergistic mechanism. Chem. Eng. J. 2018, 348, 15–25. [Google Scholar] [CrossRef]
- Wu, Z.; Wang, J.; Han, J.; Yao, S.; Xu, S.; Martin, P. Naphthalene decomposition by dielectric barrier discharges at atmospheric pressure. IEEE Trans. Plasma Sci. 2016, 45, 154–161. [Google Scholar] [CrossRef]
- Mok, Y.S.; Lee, S.B.; Chang, M.S. Destruction of chlorodifluoromethane (CHF2Cl) by using dielectric barrier discharge plasma. IEEE Trans. Plasma Sci. 2009, 37, 449–455. [Google Scholar]
- Jiang, N.; Lu, N.; Shang, K.; Li, J.; Wu, Y. Innovative approach for benzene degradation using hybrid surface/packed-bed discharge plasmas. Environ. Sci. Technol. 2013, 47, 9898–9903. [Google Scholar] [CrossRef] [PubMed]
- Kim, H.H.; Ogata, A.; Futamura, S. Oxygen partial pressure-dependent behavior of various catalysts for the total oxidation of VOCs using cycled system of adsorption and oxygen plasma. Appl. Catal. B 2008, 79, 356–367. [Google Scholar] [CrossRef]
- Hassan, Z.; Stahlberger, M.; Rosenbaum, N.; Bräse, S. Criegee intermediates beyond ozonolysis: Synthetic and mechanistic insights. Angew. Chem. Int. Ed. Engl. 2021, 60, 15138–15152. [Google Scholar] [CrossRef]
- Jalan, A.; Allen, J.W.; Green, W.H. Chemically activated formation of organic acids in reactions of the Criegee intermediate with aldehydes and ketones. Phys. Chem. Chem. Phys. 2013, 15, 16841–16852. [Google Scholar] [CrossRef]






| Peak Numbers | Time (min) | Organic Compound | Structure | Relative Abundance | |||
|---|---|---|---|---|---|---|---|
| SED = 51 J/L in N2 | SED = 51 J/L in Air | SED = 203 J/L in N2 | SED = 203 J/L in Air | ||||
| 1 | 6.839 | 1-butene | CH2 = CHCH2CH3 | 5,094,566 | 3,544,865 | 4,561,915 | n.d |
| 2 | 6.034 | Formaldehyde | CH2O | n.d | 169,841 | n.d | 177,739 |
| 3 | 7.126 | Acetaldehyde | CH3CHO | n.d | 215,131 | n.d | 263,062 |
| 4 | 8.686 | Ethyl alcohol | CH3CH2OH | n.d | 639,90 | n.d | 148,173 |
| 5 | 9.382 | Propionaldehyde | CH3CH2CHO | n.d | 1,231,359 | n.d | 147,682 |
| 6 | 12.017 | Ethyl oxirane | CH3CH2CH(O)CH2 | n.d | 840,904 | n.d | 704,603 |
| 7 | 12.091 | Butyraldehyde | CH3CH2CH2CHO | n.d | 371,202 | n.d | 82,059 |
| 8 | 12.225 | Formic acid | HCOOH | n.d | 67,179 | n.d | n.d |
| 9 | 12.344 | 2-butanone | CH3COCH2CH3 | n.d | 77,893 | n.d | 79,384 |
| 10 | 13.322 | Acetic acid | CH3COOH | n.d | n.d | n.d | 63,755 |
| 11 | 15.705 | Propionic acid | CH3CH2COOH | n.d | n.d | n.d | 93,962 |
Disclaimer/Publisher’s Note: The statements, opinions and data contained in all publications are solely those of the individual author(s) and contributor(s) and not of MDPI and/or the editor(s). MDPI and/or the editor(s) disclaim responsibility for any injury to people or property resulting from any ideas, methods, instructions or products referred to in the content. |
© 2023 by the authors. Licensee MDPI, Basel, Switzerland. This article is an open access article distributed under the terms and conditions of the Creative Commons Attribution (CC BY) license (https://creativecommons.org/licenses/by/4.0/).
Share and Cite
Li, C.; Zhu, X.; Wang, S.; Guo, Y.; Du, Y.; Guan, Y.; Tang, S. The Decomposition of Dilute 1-Butene in Tubular Multilayer Dielectric Barrier Discharge Reactor: Performance, By-Products and Reaction Mechanism. Processes 2023, 11, 1926. https://doi.org/10.3390/pr11071926
Li C, Zhu X, Wang S, Guo Y, Du Y, Guan Y, Tang S. The Decomposition of Dilute 1-Butene in Tubular Multilayer Dielectric Barrier Discharge Reactor: Performance, By-Products and Reaction Mechanism. Processes. 2023; 11(7):1926. https://doi.org/10.3390/pr11071926
Chicago/Turabian StyleLi, Chao, Xiao Zhu, Shiqiang Wang, Yafeng Guo, Yu Du, Yinxia Guan, and Shiya Tang. 2023. "The Decomposition of Dilute 1-Butene in Tubular Multilayer Dielectric Barrier Discharge Reactor: Performance, By-Products and Reaction Mechanism" Processes 11, no. 7: 1926. https://doi.org/10.3390/pr11071926
APA StyleLi, C., Zhu, X., Wang, S., Guo, Y., Du, Y., Guan, Y., & Tang, S. (2023). The Decomposition of Dilute 1-Butene in Tubular Multilayer Dielectric Barrier Discharge Reactor: Performance, By-Products and Reaction Mechanism. Processes, 11(7), 1926. https://doi.org/10.3390/pr11071926

