Microbialite Textures and Their Geochemical Characteristics of Middle Triassic Dolomites, Sichuan Basin, China
Abstract
1. Introduction
2. Geological Setting
3. Samples and Analytical Methods
4. Results
4.1. Petrography
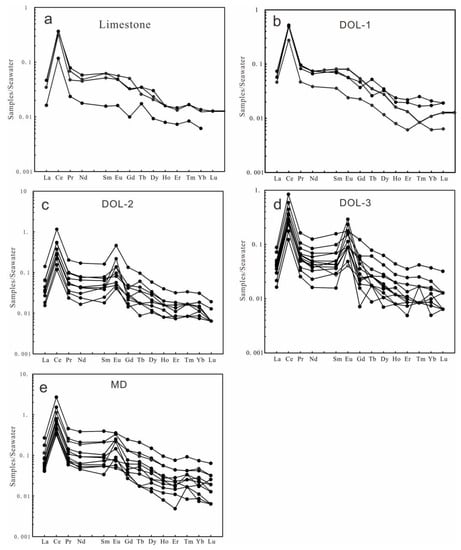
4.2. Geochemistry
5. Discussion
5.1. Average Surface Pacific Seawater as Normalized Standard and Ce Anomaly
5.2. Origins of DOL-1, DOL-2 and DOL-3
5.3. Origins of Microbial Dolomites
6. Conclusions
Author Contributions
Funding
Data Availability Statement
Conflicts of Interest
References
- Guy, C.; Daux, V.; Schott, J. Behaviour of Rare Earth Elements During Seawater/Basalt Interactions in the Mururoa Massif. Chem. Geol. 1999, 158, 21–35. [Google Scholar] [CrossRef]
- Qing, H.; Mountjoy, E.W. Rare earth element geochemistry of dolomites in the Middle Devonian Presqu’ile barrier, Western Canada Sedimentary Basin: Implications for fluid-rock ratios during dolomitization. Sedimentology 1994, 41, 787–804. [Google Scholar] [CrossRef]
- Iannace, A.; Capuano, M.; Galluccio, L. “Dolomites and dolomites” in Mesozoic platform carbonates of the Southern Apennines: Geometric distribution, petrography and geochemistry. Palaeogeogr. Palaeoclimatol. Palaeoecol. 2011, 310, 324–339. [Google Scholar] [CrossRef]
- Wang, G.; Li, P.; Hao, F.; Zou, H.; Zhang, L.; Yu, X. Impact of sedimentology, diagenesis, and solid bitumen on the development of a tight gas grainstone reservoir in the Feixianguan Formation, Jiannan area, China: Implications for gas exploration in tight carbonate reservoirs. Mar. Pet. Geol. 2015, 64, 250–265. [Google Scholar] [CrossRef]
- Vasconcelos, C.; McKenzie, J.A.; Bernasconi, S.; Grujic, D.; Tiens, A.J. Microbial mediation as a possible mechanism for natural dolomite formation at low temperatures. Nature 1995, 377, 220–222. [Google Scholar] [CrossRef]
- Warthmann, R.; van Lith, Y.; Vasconcelos, C.; McKenzie, J.A.; Karpoff, A.M. Bacterially induced dolomite precipitation in anoxic culture experiments. Geology 2000, 28, 1091–1094. [Google Scholar] [CrossRef]
- Olivier, N.; Boyet, M. Rare earth and trace elements of microbialites in Upper Jurassic coral- and sponge-microbialite reefs. Chem. Geol. 2006, 230, 105–123. [Google Scholar] [CrossRef]
- Della, P.; Webb, G.E.; McDonald, I. REE patterns of microbial carbonate and cements from Sinemurian (Lower Jurassic) siliceous sponge mounds (Djebel Bou Dahar, High Atlas, Morocco). Chem. Geol. 2015, 400, 65–86. [Google Scholar] [CrossRef]
- You, X.; Sun, S.; Zhu, J.; Li, Q.; Hu, W.; Dong, H. Microbially mediated dolomite in Cambrian stromatolites from the Tarim Basin, north-west China: Implications for the role of organic substrate on dolomite precipitation. Terra Nova 2013, 25, 387–395. [Google Scholar] [CrossRef]
- Guido, A.; Mastandrea, A.; Tosti, F.; Russo, F. Importance of rare earth element patterns in discriminating between biotic and abiotic mineralization. In Advances in Stromatolite Geobiology; Springer: Berlin/Heidelberg, Germany, 2011; pp. 453–462. [Google Scholar]
- Corkeron, M.; Webb, G.E.; Moulds, J.; Grey, K. Discriminating stromatolite formation modes using rare earth element geochemistry: Trapping and binding versus in situ precipitation of stromatolites from the Neoproterozoic Bitter Springs Formation, Northern Territory, Australia. Precambrian Res. 2012, 212, 194–206. [Google Scholar] [CrossRef]
- Warren, J. Dolomite: Occurrence, evolution and economically important associations. Earth-Sci. Rev. 2000, 52, 1–81. [Google Scholar] [CrossRef]
- Korte, C.; Kozur, H.W.; Veizer, J. δ13C and δ18O values of Triassic brachiopods and carbonate rocks as proxies for coeval seawater and palaeotemperature. Palaeogeogr. Palaeoclimatol. Palaeoecol. 2005, 226, 287–306. [Google Scholar] [CrossRef]
- Azmy, K.; Lavoie, D.; Wang, Z.; Brand, U.; Al-Aasm, I.; Jackson, S.; Girard, I. Magnesium-isotope and REE compositions of Lower Ordovician carbonates from eastern Laurentia: Implications for the origin of dolomites and limestones. Chem. Geol. 2013, 356, 64–75. [Google Scholar] [CrossRef]
- Guo, C.; Chen, D.; Qing, H.; Zhou, X.; Ding, Y. Early dolomitization and recrystallization of the Lower-Middle Ordovician carbonates in western Tarim Basin (NW China). Mar. Pet. Geol. 2020, 111, 332–349. [Google Scholar] [CrossRef]
- Xiong, L.L.; Suyan, W.X. Difference in depositional characteristics between intra-platform and marginal-platform shoals in Leikoupo Formation, Sichuan Basin and its impact on reservoirs. Acta Pet. Sin. 2011, 32, 70–75, (In Chinese with English abstract). [Google Scholar]
- Bian, C.; Wang, Z.C.; Jiang, Q.; Chi, Y.; Xu, Z. Characteristics and distribution of karst reservoirs of Leikoupo Formation in western Sichuan Basin. China Pet. Explor. 2019, 24, 82–94. [Google Scholar]
- Song, X.; Wang, Q.; Long, K. Characteristics and main controlling factors of Middle Triassic Leikoupo paleokarst reservoirs in western Sichuan Basin. Mar. Orig. Pet. Geol. 2013, 18, 8–14, (In Chinese with English abstract). [Google Scholar]
- Wang, X.; Xin, Y.; Tian, H.; Zhu, M.; Zhang, H.; Li, W. Research progress on sedimentary reservoir of Leikoupo Formation in the Middle Triassic of Sichuan Basin. Mar. Orig. Pet. Geol. 2020, 25, 210–222. [Google Scholar]
- Li, J.X.; Jiang, H.F. Global Palaeo-Plate Reconstruction and Lithofacies Palaeogeography Atlas; Geological Publishing House: Beijing, China, 2013; pp. 38–39. (In Chinese) [Google Scholar]
- Liu, S.G.; Song, J.M.; Luo, P.; Qing, H.R.; Lin, T.; Sun, W.; Li, Z.W.; Wang, H.; Peng, H.L.; Yu, Y.Q.; et al. Characteristics of microbial carbonate reservoir and its hydrocarbon exploring outlook in the sichuan basin, China. J. Chengdu Univ. Technol. 2016, 43, 129–152, (In Chinese with English abstract). [Google Scholar]
- Johnson, D.M.; Hooper, P.R.; Conrey, R.M. XRF analysis of rocks and minerals for major and Trace Elements on a Single Low Dilution Li-tetraborate Fused Bead. Adv. X-ray Anal. 1999, 41, 843–867. [Google Scholar]
- Wu, G.; Xu, B.; Zhang, C.; Gao, S.; Yao, T. Geochemistry of dust aerosol over the Eastern Pamirs. Geochim. Cosmochim. Acta 2009, 73, 977–989. [Google Scholar] [CrossRef]
- Bau, M.; Dulski, P. Distribution of yttrium and rare-earth elements in the Penge and Kuruman iron-formations, Transvaal Supergroup, South Africa. Precambrian Res. 1996, 79, 37–55. [Google Scholar] [CrossRef]
- Webb, G.E.; Nothdurft, L.D.; Kamber, B.S.; Kloprogge, J.; Zhao, J.X. Rare earth element geochemistry of scleractinian coral skeleton during meteoric diagenesis: A sequence through neomorphism of aragonite to calcite. Sedimentology 2009, 56, 1433–1463. [Google Scholar] [CrossRef]
- Bau, M.; Alexander, B. Preservation of primary REE patterns without Ce anomaly during dolomitization of Mid-Paleoproterozoic limestone and the potential re-establishment of marine anoxia immediately after the “Great Oxidation Event”. S. Afr. J. Geol. 2006, 109, 81–86. [Google Scholar] [CrossRef]
- Veizer, J.; Buhl, D.; Diener, A.; Ebneth, S.; Podlaha, O.G.; Bruckschen, P.; Jasper, T.; Korte, C.; Schaaf, M.; Ala, D.; et al. Strontium isotope stratigraphy: Potential resolution and event correlation. Palaeogeogr. Palaeoclimatol. Palaeoecol. 1997, 132, 65–77. [Google Scholar] [CrossRef]
- Hu, Z.W.; Huang, S.J.; Qing, H.R.; Wang, Q.D.; Wang, C.M.; Gao, X.Y. Evolution and global correlation for strontium isotopic composition of marine triassic from huaying mountains, eastern sichuan, China. Sci. China 2008, 51, 540–549. (In Chinese) [Google Scholar] [CrossRef]
- Tanaka, K.; Miura, N.; Asahara, Y.; Kawabe, I. Rare earth element and strontium isotopic study of seamount-type limestones in Mesozoic accretionary complex of Southern Chichibu Terrane, central Japan: Implication for incorporation process of seawater REE into limestones. Geochem. J. 2003, 37, 163–180. [Google Scholar] [CrossRef]
- Leybourne, M.I.; Johannesson, K.H. Rare earth elements (REE) and yttrium in stream waters, stream sediments, and FeeMn oxyhydroxides: Fractionation, speciation, and controls over REE+Y patterns in the surface environment. Geochim. Cosmochim. Acta 2008, 72, 5962–5983. [Google Scholar] [CrossRef]
- Allwood, A.C.; Kamber, B.S.; Walter, M.R.; Burch, I.W.; Kanik, I. Trace elements record depositional history of an Early Archean stromatolitic carbonate platform. Chem. Geol. 2010, 270, 148–163. [Google Scholar] [CrossRef]
- Burne, R.V.; Moore, L.S. Microbialites: Organosedimentary deposits of benthic microbial communities. Palaios 1987, 241–254. [Google Scholar] [CrossRef]
- Riding, R. Microbial carbonates: The geological record of calcified bacterialalgal mats and biofilms. Sedimentology 2000, 47 (Suppl. S1), 179–214. [Google Scholar] [CrossRef]
- Kawabe, I. Convex tetrad effect variations in REE abundances of “North American shale composite” and “Post-Archean Australian average shale”. Geochem. J. 1996, 30, 149–153. [Google Scholar] [CrossRef]
- Wang, L.; Hu, W.; Wang, X.; Cao, J.; Chen, Q. Seawater normalized REE patterns of dolomites in Geshan and Panlongdong sections, China: Implications for tracing dolomitization and diagenetic fluids. Mar. Pet. Geol. 2014, 56, 63–73. [Google Scholar] [CrossRef]
- Azmy, K.; Brand, U.; Sylvester, P.; Gleeson, S.A.; Logan ABitner, M.A. Biogenic and abiogenic low-Mg calcite (bLMC and aLMC): Evaluation of seawater-REE composition, water masses and carbonate diagenesis. Chem. Geol. 2011, 280, 180–190. [Google Scholar] [CrossRef]
- Alibo, D.S.; Nozaki, Y. Rare earth elements in seawater: Particle association, shale-normalization, and Ce oxidation. Geochim. Cosmochim. Acta 1999, 63, 363–372. [Google Scholar] [CrossRef]
- Frimmel, H.E. Trace element distribution in Neoproterozoic carbonates as palaeoenvironmental indicator. Chem. Geol. 2009, 258, 338–353. [Google Scholar] [CrossRef]
- Nothdurft, L.D.; Webb, G.E.; Kamber, B.S. Rare earth element geochemistry of Late Devonian reefal carbonates, Canning Basin, Western Australia: Confirmation of a seawater REE proxy in ancient limestones. Geochim. Cosmochim. Acta 2004, 68, 263–283. [Google Scholar] [CrossRef]
- Cabioch, G.; Camoin, G.F.; Webb, G.E.; Le Cornec, F.; Molina, M.G.; Pierre, C.; Joachimski, M.M. Contribution of microbialites to the development of coral reefs during the last deglacial period: Case study from Vanuatu (South-West Pacific). Sediment. Geol. 2006, 185, 297–318. [Google Scholar] [CrossRef]
- Haley, B.A.; Klinkhammer, G.P.; McManus, J. Rare earth elements in pore waters of marine sediments. Geochim. Cosmochim. Acta 2004, 68, 1265–1279. [Google Scholar] [CrossRef]
- Vasconcelos, C.; McKenzie, J.A.; Warthmann, R.; Bernasconi, S. Calibration of the δ18O paleo-thermometer with dolomite formed in microbial cultures and natural environments. Geology 2005, 33, 317–320. [Google Scholar] [CrossRef]
- Olivarez, A.M.; Owen, R.M. REE/Fe variations in hydrothermal sediments: Implications for the REE content of seawater. Geochim. Cosmochim. Acta 1989, 53, 757–762. [Google Scholar] [CrossRef]
- Veizer, J.; Ala, D.; Azmy, K.; Bruckschen, P.; Buhl, D.; Bruhn, F.; Carden, G.A.; Diener, A.; Ebneth, S.; Godderis, Y.; et al. 87Sr/86Sr, δ13C and δ18O evolution of Phanerozoic seawater. Chem. Geol. 1999, 161, 59–88. [Google Scholar] [CrossRef]
- Machel, H.G. Early lithification, dolomitization, and anhydritization of Upper Devonian Nisku buildups, subsurface of Alberta, Canada. In Reef Diagenesis; Springer: Berlin/Heidelberg, Germany, 1986; pp. 336–356. [Google Scholar]
- Parsapoor, A.; Khalili, M.; Mackizadeh, M. The behaviour of trace and rare earth elements (REE) during hydrothermal alteration in the Rangan area (Central Iran). J. Asian Earth Sci. 2009, 34, 123–134. [Google Scholar] [CrossRef]
- Sheng, A.J.; Zhou, J.G. Origin of Triassic Leikoupo Dolostone Reservoirs in Sichuan Basin. Mar. Orig. Pet. Geol. 2008, 13, 19–27, (In Chinese with English abstract). [Google Scholar]
- Liu, S.G.; Huang, W.M.; Zhang, C.J.; Zhao, X.F.; Dai, S.L.; Zhang, Z.J.; Qin, C. Research status of dolomite genesis and its problems in Sichuan Basin. Lithol. Reserv. 2008, 2, 6–15, (In Chinese with English abstract). [Google Scholar]
- Peng, J. Study on the Middle Triassic Reservoir Rocks in the Front Area of Northern-Central Longmenshan Mountains and Its Adjacent Areas. Master’s Thesis, Chengdu University of Technology, Chengdu, China, 2009; pp. 49–66, (In Chinese with English abstract). [Google Scholar]
- Perri, E.; Tucker, M. Bacterial fossils and microbial dolomite in triassic stromatolites. Geology 2007, 35, 207–210. [Google Scholar] [CrossRef]
- Riding, R. The nature of stromatolites: 3500 million years of history and a century of research. In Advances in Stromatolite Geobiology; Springer: Berlin/Heidelberg, Germany, 2011; pp. 29–74. [Google Scholar]
- Wang, W.; Zhou, Z.; Guo, T.; Xu, C. Early Cretaceous-Paleocene geothermal gradients and Cenozoic tectono-thermal history of Sichuan Basin. Journal of Tongji University. Nat. Sci. 2011, 39, 606–613, (In Chinese with English abstract). [Google Scholar]
- Xu, M.; Zhu, C.; Tian, Y.; Rao, S.; Hu, S. Borehole temperature logging and characteristics of subsurface temperature in the Sichuan Basin. Chin. J. Geophys. 2011, 54, 224–233, (In Chinese with English abstract). [Google Scholar] [CrossRef]











| Sample NO. | Depth (m) | La | Ce | Pr | Nd | Sm | Eu | Gd | Tb | Dy | Ho | Er | Tm | Yb | Lu | ΣREE | Th | Zr | Ti | Ba | δ13C | δ18O | Sr | 87Sr/86Sr |
|---|---|---|---|---|---|---|---|---|---|---|---|---|---|---|---|---|---|---|---|---|---|---|---|---|
| Very finely to finely dolomites | ||||||||||||||||||||||||
| P1-3 | 5824.25 | 0.233 | 0.452 | 0.055 | 0.219 | 0.039 | 0.009 | 0.043 | 0.007 | 0.035 | 0.008 | 0.019 | 0.003 | 0.018 | 0.003 | 1.143 | 0.07 | 1.507 | 36.57 | 11.33 | 1.63 | −3.26 | ||
| Y1-12 | 6199.20 | 0.263 | 0.414 | 0.049 | 0.175 | 0.031 | 0.007 | 0.026 | 0.006 | 0.03 | 0.005 | 0.016 | 0.002 | 0.014 | 0.003 | 1.041 | 0.08 | 0.617 | 22.31 | 2.4 | 2.32 | −4.09 | 155.9 | 0.708174 |
| Y1-24 | 6223.9 | 0.204 | 0.39 | 0.042 | 0.157 | 0.033 | 0.007 | 0.033 | 0.003 | 0.028 | 0.006 | 0.018 | 0.003 | 0.017 | 0.003 | 0.944 | 0.064 | 0.583 | 16.26 | 2.002 | 1.67 | −0.36 | 115.4 | 0.708197 |
| Y1-1 | 6243.61 | 0.214 | 0.406 | 0.047 | 0.174 | 0.036 | 0.01 | 0.038 | 0.004 | 0.024 | 0.004 | 0.011 | 0.001 | 0.009 | 0.002 | 0.98 | 0.031 | 0.149 | 6.107 | 81.97 | 2.48 | −1.58 | 65.27 | 0.707997 |
| Finely to medium crystalline dolomites | ||||||||||||||||||||||||
| P1-9 | 5812.2 | 0.131 | 0.224 | 0.028 | 0.101 | 0.019 | 0.006 | 0.018 | 0.002 | 0.016 | 0.004 | 0.009 | 0.002 | 0.009 | BT | 0.57 | 0.089 | 0.862 | 69.66 | 9.39 | 1.40 | −7.17 | ||
| P1-8 | 5812.8 | 0.117 | 0.213 | 0.026 | 0.104 | 0.022 | 0.007 | 0.017 | 0.004 | 0.018 | 0.004 | 0.011 | 0.002 | 0.012 | BT | 0.558 | 0.028 | 0.827 | 15.41 | 31.99 | 1.40 | −7.04 | ||
| P1-7 | 5813.55 | 0.055 | 0.093 | 0.012 | 0.039 | 0.011 | 0.006 | 0.01 | 0.002 | 0.013 | 0.003 | 0.006 | 0.001 | 0.006 | BT | 0.258 | 0.02 | 0.439 | 54.28 | 44.98 | 1.00 | 1.00 | ||
| P1-2 | 5826.55 | 0.158 | 0.297 | 0.036 | 0.154 | 0.028 | 0.012 | 0.029 | 0.007 | 0.029 | 0.005 | 0.015 | 0.002 | 0.015 | 0.002 | 0.789 | 0.053 | 1.45 | 27.75 | 117.3 | 2.14 | −6.83 | ||
| Y1-30 | 6181.20 | 0.065 | 0.122 | 0.016 | 0.056 | 0.008 | 0.005 | 0.012 | 0.001 | 0.009 | 0.002 | 0.007 | 0.002 | 0.009 | BT | 0.31 | 0.034 | 0.416 | 9.333 | 16.06 | 1.66 | −6.23 | 173.7 | 0.708213 |
| Y1-25 | 6196.72 | 0.096 | 0.172 | 0.018 | 0.072 | 0.019 | 0.027 | 0.015 | 0.002 | 0.01 | 0.002 | 0.006 | 0.002 | 0.007 | BT | 0.45 | 0.012 | 0.496 | 8.637 | 26.8 | 2.37 | −6.47 | 209.8 | 0.707961 |
| Y1-19 | 6206.95 | 0.15 | 0.289 | 0.033 | 0.117 | 0.022 | 0.014 | 0.02 | 0.002 | 0.011 | 0.002 | 0.007 | 0.002 | 0.006 | BT | 0.68 | 0.049 | 0.269 | 6.194 | 68.2 | 2.71 | −0.19 | 98.67 | 0.708139 |
| Y1-8 | 6230.02 | 0.503 | 0.916 | 0.103 | 0.4 | 0.072 | 0.057 | 0.094 | 0.011 | 0.05 | 0.01 | 0.026 | 0.004 | 0.025 | 0.003 | 2.274 | 0.067 | 1.721 | 29.11 | 40.2 | 2.32 | −7.72 | 182.9 | 0.707797 |
| Y1-7 | 6231.10 | 0.233 | 0.433 | 0.051 | 0.186 | 0.032 | 0.01 | 0.03 | 0.004 | 0.024 | 0.004 | 0.013 | 0.002 | 0.011 | 0.002 | 1.034 | 0.043 | 0.572 | 11.78 | 15.14 | 2.48 | −6.66 | 140.7 | 0.707907 |
| Y1-6 | 6234.12 | 0.123 | 0.229 | 0.028 | 0.099 | 0.017 | 0.017 | 0.021 | 0.002 | 0.013 | 0.003 | 0.006 | 0.002 | 0.006 | 0.002 | 0.566 | 0.034 | 0.087 | 5.757 | 14.62 | 2.30 | −7.45 | 109.8 | 0.707847 |
| Y1-4 | 6236.70 | 0.226 | 0.423 | 0.049 | 0.179 | 0.035 | 0.017 | 0.034 | 0.005 | 0.026 | 0.005 | 0.015 | 0.002 | 0.015 | 0.002 | 1.033 | 0.056 | 0.978 | 16.47 | 62.77 | 2.42 | −1.53 | 127 | 0.708174 |
| Dolomitic grainstones | ||||||||||||||||||||||||
| P1-12 | 5764.20 | 0.106 | 0.202 | 0.027 | 0.088 | 0.022 | 0.011 | 0.016 | 0.003 | 0.014 | 0.003 | 0.008 | 0.002 | 0.007 | 0.002 | 0.509 | 0.015 | 0.792 | 34.29 | 70.55 | 1.44 | −6.05 | ||
| P1-11 | 5766.37 | 0.107 | 0.186 | 0.019 | 0.077 | 0.016 | 0.011 | 0.013 | 0.002 | 0.009 | 0.002 | 0.006 | 0.002 | 0.006 | 0.002 | 0.456 | 0.017 | 0.384 | 4.95 | 117.1 | 0.06 | 1.51 | ||
| P1-6 | 5819.1 | 0.141 | 0.231 | 0.025 | 0.101 | 0.019 | 0.02 | 0.015 | 0.003 | 0.016 | 0.003 | 0.009 | 0.002 | 0.008 | 0.002 | 0.594 | 0.023 | 5.153 | 4.962 | 27.1 | 1.81 | −7.10 | ||
| P1-5 | 5821.8 | 0.257 | 0.466 | 0.054 | 0.199 | 0.044 | 0.019 | 0.043 | 0.007 | 0.036 | 0.007 | 0.02 | 0.003 | 0.017 | 0.002 | 1.174 | 0.098 | 2.2 | 47.6 | 20.1 | 2.26 | −6.72 | ||
| Y1-40 | 6119.37 | 0.164 | 0.277 | 0.032 | 0.113 | 0.019 | 0.029 | 0.025 | 0.003 | 0.014 | 0.003 | 0.007 | BT | 0.007 | BT | 0.695 | 0.054 | 0.217 | 23.38 | 6.702 | 1.27 | −6.34 | 127.6 | 0.708069 |
| Y1-38 | 6122.56 | 0.129 | 0.237 | 0.025 | 0.095 | 0.017 | 0.006 | 0.028 | 0.004 | 0.01 | 0.002 | 0.004 | BT | 0.005 | BT | 0.564 | 0.095 | 0.536 | 9.844 | 12.3 | 1.53 | −5.71 | 83.52 | 0.708119 |
| Y1-35 | 6127.03 | 0.181 | 0.351 | 0.043 | 0.163 | 0.031 | 0.011 | 0.037 | 0.004 | 0.024 | 0.005 | 0.015 | 0.002 | 0.013 | 0.002 | 0.882 | BT | BT | BT | BT | 1.64 | −5.54 | 229.8 | 0.707775 |
| Y1-34 | 6168.08 | 0.126 | 0.228 | 0.028 | 0.092 | 0.017 | 0.011 | 0.041 | 0.002 | 0.013 | 0.004 | 0.008 | 0.001 | 0.01 | BT | 0.582 | 0.018 | 1.036 | 11.92 | 34.31 | 1.27 | −5.9 | 220.7 | 0.708147 |
| Y1-32 | 6174.23 | 0.058 | 0.097 | 0.013 | 0.038 | 0.007 | 0.011 | 0.005 | 0.002 | 0.006 | 0.002 | 0.004 | 0.002 | 0.004 | BT | 0.25 | 0.033 | 0.194 | 5.993 | 47.51 | 0.96 | −6.7 | 214.1 | 0.707516 |
| Y1-31 | 6177.22 | 0.077 | 0.139 | 0.017 | 0.054 | 0.013 | 0.006 | 0.011 | 0.001 | 0.009 | 0.003 | 0.008 | 0.001 | 0.007 | BT | 0.347 | 0.034 | 0.208 | 6.928 | 12.23 | 0.75 | −7.21 | 221.2 | 0.707873 |
| Y1-29 | 6184.85 | 0.109 | 0.21 | 0.027 | 0.093 | 0.02 | 0.009 | 0.022 | 0.004 | 0.016 | 0.004 | 0.01 | 0.002 | 0.011 | 0.002 | 0.54 | 0.082 | 0.343 | 7.287 | 19.59 | 1.95 | −6.03 | 495.1 | 0.707678 |
| Y1-13 | 6222.71 | 0.148 | 0.282 | 0.034 | 0.139 | 0.031 | 0.036 | 0.031 | 0.003 | 0.022 | 0.005 | 0.011 | 0.002 | 0.012 | 0.002 | 0.758 | 0.057 | 0.311 | 8.936 | 232.3 | 2.65 | −3.46 | ||
| Y1-2 | 6242.50 | 0.109 | 0.22 | 0.029 | 0.105 | 0.012 | 0.005 | 0.017 | 0.003 | 0.015 | 0.003 | 0.009 | 0.001 | 0.007 | BT | 0.54 | 0.036 | 0.692 | 7.111 | 4.295 | 2.46 | −1.51 | 375.2 | 0.707766 |
| Dolomitic microbialites | ||||||||||||||||||||||||
| P1-4 | 5823.48 | 0.167 | 0.224 | 0.024 | 0.091 | 0.016 | 0.003 | 0.016 | 0.002 | 0.01 | 0.002 | 0.005 | 0.002 | 0.005 | BT | 0.567 | 0.018 | 0.383 | 8.873 | 10.66 | 1.63 | −3.26 | ||
| Y1-33 | 6171.23 | 0.184 | 0.338 | 0.038 | 0.115 | 0.024 | 0.006 | 0.025 | 0.002 | 0.011 | 0.002 | 0.004 | 0.002 | 0.006 | BT | 0.758 | 0.043 | 0.267 | 3.495 | 14.49 | 2.32 | −4.98 | 121.9 | 0.708057 |
| Y1-22 | 6200.51 | 0.16 | 0.256 | 0.03 | 0.107 | 0.015 | 0.011 | 0.019 | 0.002 | 0.013 | 0.003 | 0.009 | 0.002 | 0.007 | BT | 0.63 | 0.031 | 0.349 | 4.049 | 39.83 | 2.27 | −5.19 | 81.95 | 0.707745 |
| Y1-21 | 6201.70 | 0.208 | 0.369 | 0.038 | 0.14 | 0.026 | 0.027 | 0.032 | 0.006 | 0.022 | 0.006 | 0.014 | 0.004 | 0.014 | 0.004 | 0.91 | 0.059 | 0.753 | 15.2 | 137.8 | 2.28 | −5.61 | 75.22 | 0.707648 |
| Y1-20 | 6205.00 | 0.182 | 0.339 | 0.044 | 0.148 | 0.033 | 0.01 | 0.027 | 0.004 | 0.022 | 0.005 | 0.015 | 0.003 | 0.023 | 0.003 | 0.86 | 0.219 | 3.745 | 4.505 | 22.69 | 2.49 | −5.27 | 123 | 0.708018 |
| Y1-18 | 6208.83 | 0.308 | 0.629 | 0.073 | 0.275 | 0.046 | 0.031 | 0.054 | 0.008 | 0.041 | 0.007 | 0.023 | 0.004 | 0.02 | 0.002 | 1.52 | 0.076 | 1.359 | 37.11 | 128.8 | 0.90 | −5.68 | 117.1 | 0.708219 |
| Y1-17 | 6209.73 | 0.475 | 0.978 | 0.112 | 0.385 | 0.072 | 0.027 | 0.07 | 0.008 | 0.048 | 0.01 | 0.029 | 0.004 | 0.023 | 0.003 | 2.24 | 0.095 | 1.211 | 40.12 | 69.98 | 2.65 | −3.29 | 75.54 | 0.707546 |
| Y1-16 | 6214.99 | 0.406 | 0.88 | 0.113 | 0.44 | 0.093 | 0.028 | 0.092 | 0.011 | 0.067 | 0.014 | 0.036 | 0.005 | 0.038 | 0.005 | 2.23 | 0.126 | 3.392 | 88.82 | 54.28 | 2.59 | −5.57 | 89.58 | 0.708283 |
| Y1-15 | 6216.43 | 0.29 | 0.549 | 0.064 | 0.218 | 0.041 | 0.018 | 0.038 | 0.005 | 0.031 | 0.006 | 0.018 | 0.002 | 0.015 | 0.002 | 1.297 | 0.036 | 0.396 | 11.8 | 72.09 | 2.65 | −3.92 | 89.72 | 0.708224 |
| Y1-11 | 6224.40 | 0.314 | 0.665 | 0.083 | 0.296 | 0.07 | 0.022 | 0.086 | 0.009 | 0.054 | 0.011 | 0.029 | 0.005 | 0.03 | 0.005 | 1.679 | 0.108 | 0.851 | 36.5 | 117.1 | 2.20 | −3.56 | 230.9 | 0.707675 |
| Y1-10 | 6225.54 | 0.953 | 2.132 | 0.231 | 0.902 | 0.175 | 0.044 | 0.172 | 0.024 | 0.128 | 0.024 | 0.062 | 0.011 | 0.06 | 0.01 | 4.928 | 0.223 | 4.536 | 10.32 | 14.13 | 2.56 | −4.54 | 118.7 | 0.707646 |
| Y1-9 | 6228.14 | 0.632 | 1.204 | 0.131 | 0.493 | 0.096 | 0.041 | 0.093 | 0.013 | 0.073 | 0.014 | 0.036 | 0.005 | 0.034 | 0.005 | 2.87 | 0.133 | 2.2 | 62.48 | 128.3 | 2.35 | −4.59 | 177.8 | 0.707906 |
| Y1-5 | 6235.70 | 0.145 | 0.283 | 0.034 | 0.125 | 0.024 | 0.007 | 0.024 | 0.002 | 0.018 | 0.004 | 0.012 | 0.002 | 0.009 | 0.001 | 0.69 | 0.003 | 0.229 | 6.765 | 8.618 | 2.48 | −4.55 | ||
| Limestones | ||||||||||||||||||||||||
| Y1-37 | 6121.35 | 0.058 | 0.093 | 0.012 | 0.042 | 0.007 | 0.002 | 0.007 | 0.002 | 0.008 | 0.002 | 0.006 | 0.001 | 0.005 | BT | 0.245 | 0.103 | 0.334 | 7.393 | 1.772 | 2.29 | −3.69 | 410.9 | 0.707735 |
| Y1-39 | 6123.66 | 0.166 | 0.289 | 0.04 | 0.137 | 0.028 | 0.006 | 0.023 | 0.006 | 0.026 | 0.004 | 0.012 | 0.002 | 0.011 | 0.002 | 0.752 | 0.061 | 0.8 | 19.59 | 3.093 | 2.22 | −2.30 | 340.5 | 0.707731 |
| Y1-36 | 6124.95 | 0.124 | 0.253 | 0.024 | 0.107 | 0.023 | 0.006 | 0.022 | 0.004 | 0.02 | 0.004 | 0.011 | 0.002 | 0.011 | 0.002 | 0.613 | 0.038 | 0.274 | 9.797 | 23.92 | 1.77 | −3.42 | ||
| Y1-27 | 6188.60 | 0.157 | 0.309 | 0.035 | 0.113 | 0.028 | 0.007 | 0.036 | 0.003 | 0.018 | 0.004 | 0.011 | 0.002 | 0.01 | 0.002 | 0.73 | 0.055 | 0.976 | 22.95 | 38.71 | 1.69 | −3.37 | 183.4 | 0.708024 |
| Sample No. | Depth (m) | Lithology | δ18O (‰) | Tmaxdolomite (δ18Oseawater = −2.1‰) (°C) | Tmindolomite (δ18Oseawater = −4.2‰) (°C) |
|---|---|---|---|---|---|
| P1-10 | 5808.30 | The thrombolitic dolomite, the clotted consist of very finely crystalline dolomites with low porosity | −5.92 | 49.23 | 36.82 |
| P1-3 | 5824.25 | The thrombolitic dolomite, the clotted consist of very finely crystalline dolomites with low porosity | −6.02 | 49.85 | 37.37 |
| Y1-33 | 6171.23 | The thrombolitic dolomite, the clotted consist of very finely to finely crystalline dolomites crystalline sizes less than 25 μm | −4.98 | 43.59 | 31.79 |
| Y1-23 | 6200.10 | The stromatolitic dolomite | −5.38 | 45.95 | 33.90 |
| Y1-22 | 6200.51 | The stromatolitic dolomite | −5.19 | 44.82 | 32.89 |
| Y1-21 | 6201.70 | The very finely to finely crystalline dolomite of the stromatolite, crystals 5–60 μm in sizes. | −5.61 | 47.34 | 35.13 |
| Y1-20 | 6205.00 | The stromatolitic dolomite | −5.27 | 45.30 | 33.31 |
| Y1-18 | 6208.83 | The very finely to finely crystalline dolomite of the stromatolite, crystals 5–60 μm in sizes. | −5.68 | 47.76 | 35.51 |
| Y1-17 | 6209.73 | The dolomite of thrombolitic stromatolites | −3.29 | 34.15 | 23.34 |
| Y1-16 | 6214.99 | The thrombolitic dolomite, the clotted consist of very finely crystalline dolomites with low porosity | −5.57 | 47.09 | 34.91 |
| Y1-15 | 6216.43 | The stromatolitic dolomite | −3.92 | 37.57 | 26.40 |
| Y1-11 | 6224.40 | The thrombolitic dolomite, the clotted consist of very finely crystalline dolomites with low porosity | −3.56 | 35.60 | 24.64 |
| Y1-10 | 6225.54 | The dolomite of thrombolitic stromatolites | −4.54 | 41.04 | 29.52 |
| Y1-9 | 6228.14 | The thrombolitic dolomite, the clotted consist of very finely crystalline dolomites with low porosity | −4.59 | 41.33 | 29.77 |
| Y1-5 | 6235.70 | The thrombolitic dolomite, the clotted consist of finely crystalline dolomites crystals 25–60 μm in sizes | −4.55 | 41.10 | 29.57 |
Disclaimer/Publisher’s Note: The statements, opinions and data contained in all publications are solely those of the individual author(s) and contributor(s) and not of MDPI and/or the editor(s). MDPI and/or the editor(s) disclaim responsibility for any injury to people or property resulting from any ideas, methods, instructions or products referred to in the content. |
© 2023 by the authors. Licensee MDPI, Basel, Switzerland. This article is an open access article distributed under the terms and conditions of the Creative Commons Attribution (CC BY) license (https://creativecommons.org/licenses/by/4.0/).
Share and Cite
Wang, H.; Yong, Z.; Song, J.; Lin, T.; Yu, Y. Microbialite Textures and Their Geochemical Characteristics of Middle Triassic Dolomites, Sichuan Basin, China. Processes 2023, 11, 1541. https://doi.org/10.3390/pr11051541
Wang H, Yong Z, Song J, Lin T, Yu Y. Microbialite Textures and Their Geochemical Characteristics of Middle Triassic Dolomites, Sichuan Basin, China. Processes. 2023; 11(5):1541. https://doi.org/10.3390/pr11051541
Chicago/Turabian StyleWang, Hao, Ziquan Yong, Jinmin Song, Tong Lin, and Yongqiang Yu. 2023. "Microbialite Textures and Their Geochemical Characteristics of Middle Triassic Dolomites, Sichuan Basin, China" Processes 11, no. 5: 1541. https://doi.org/10.3390/pr11051541
APA StyleWang, H., Yong, Z., Song, J., Lin, T., & Yu, Y. (2023). Microbialite Textures and Their Geochemical Characteristics of Middle Triassic Dolomites, Sichuan Basin, China. Processes, 11(5), 1541. https://doi.org/10.3390/pr11051541
