A Method of Reducing Friction and Improving the Penetration Rate by Safely Vibrating the Drill-String at Surface
Abstract
1. Introduction
2. Model
2.1. Assumptions
2.2. Equilibrium Equation
2.3. Boundary and Initial Conditions
2.3.1. Boundary Condition
- (a)
- Surface boundary
- (b)
- Bit boundary
2.3.2. Initial Conditions
2.4. Solution Method
3. Results and Discussion
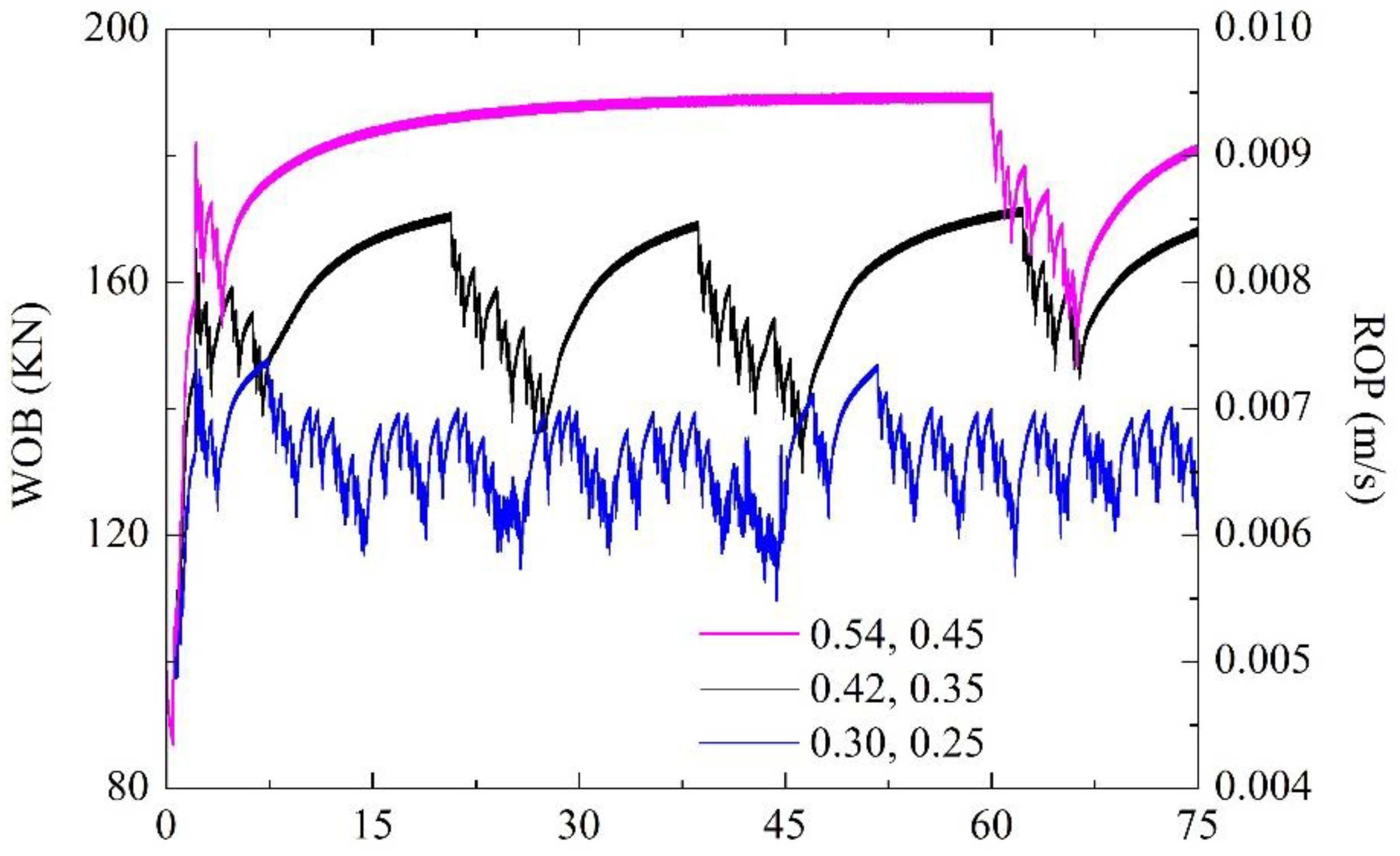
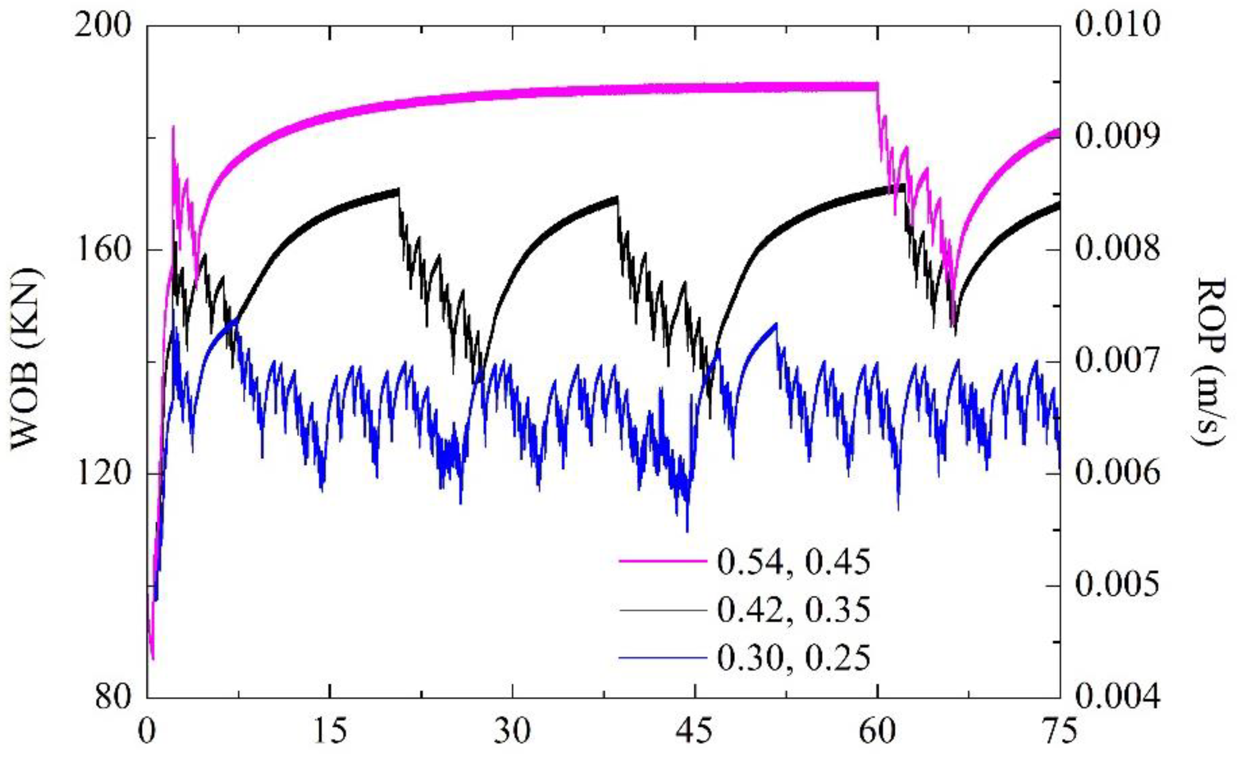
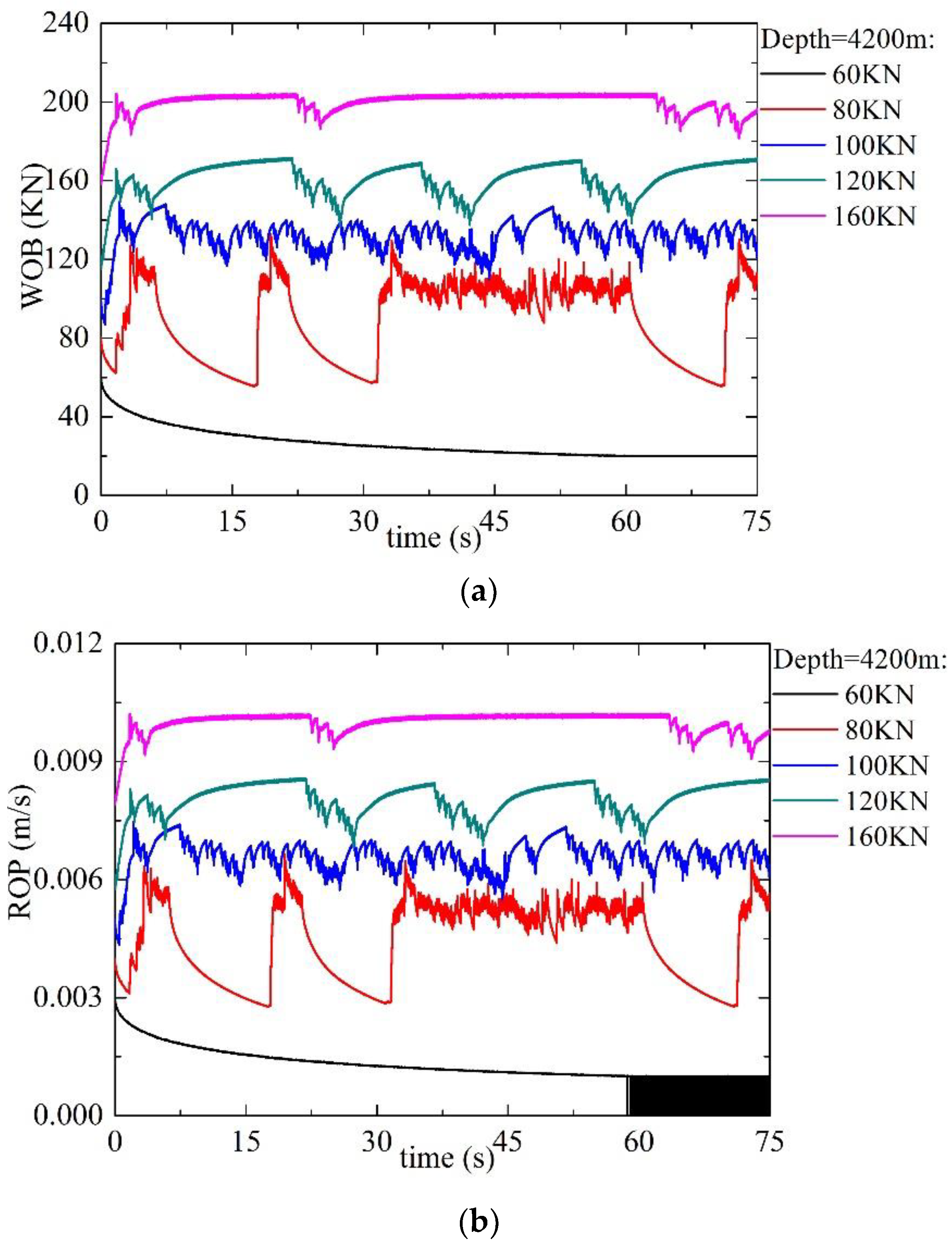
3.1. Advantages of Surface Vibrating Technology
3.2. Influence Factor Analysis
3.3. Safety Evaluation of Surface Vibrated Drill-String
4. Conclusions
Author Contributions
Funding
Data Availability Statement
Acknowledgments
Conflicts of Interest
Nomenclature
| Roman symbols: | |
| a, b | weight on bit exponent and rotate speed exponent, respectively |
| A | cross-section area of drill-string, m2 |
| drilling fluid drag, N | |
| inner diameter of drill-string, m | |
| Elastic (Young′s) modulus of drill-string, Pa | |
| vector of submerged drill-string weight | |
| ,, | unit base vectors in natural curvilinear system |
| f | frequency of vibration, Hz |
| ,, | normal contact force and its components in and direction, N |
| Coulomb friction force, N | |
| amplitude of exciting force, N | |
| axial friction force, N | |
| total static friction of drill-string, N | |
| hook load, N | |
| linear buoyant weight of drill-string, N/m | |
| constraint condition | |
| axial component of gravity of the whole drill-string, N | |
| space step, m | |
| i | parameter determines the shape of strain–stress curve |
| rate of change of deviation angle, and, respectively, rad/m | |
| rate of change of azimuth angle, rad/m | |
| total bending curvature, rad/m | |
| tangential stiffness of contact surfaces, N/m | |
| length of drill-string, m | |
| n | rotate speed of drill-string, rad/s |
| ROP | rate of penetration, m/s |
| well depth, m | |
| t | time, s |
| strength of drill-string, N | |
| ,, | internal tension force and its components in ,, direction, N |
| axial displacement of drill-string, m | |
| relative velocity of drill-string, m/s | |
| weight on bit, N | |
| z(t) | offset displacement of asperities at time t, m |
| Greek symbols: | |
| deviation angle, rad | |
| azimuth angle, rad | |
| time step, s | |
| initial displacement distribution of drill-string, m | |
| mean deviation angle, rad | |
| density of drill-string, kg/m3 | |
| instantaneous friction coefficient in direction | |
| static friction coefficient | |
| dynamic friction coefficient | |
| circular frequency of the excitation, Hz | |
References
- Gao, D.; Tan, C.; Tang, H. Limit analysis of extended reach drilling in South China Sea. Pet. Sci. 2009, 6, 166–171. [Google Scholar] [CrossRef]
- Roper, W.F.; Dellinger, T.B. Reduction of the Frictional Coefficient in a Borehole by the Use of Vibration. US Patent 4384625, 24 May 1983. [Google Scholar]
- Maidla, E.; Haci, M.; Jones, S.; Cluchey, M.; Alexander, M.; Warren, T. Field Proof of the New Sliding Technology for Directional Drilling. In Proceedings of the SPE/IADC Drilling Conference, Amsterdam, The Netherlands, 23–25 February 2005. [Google Scholar]
- Jones, S.; Feddema, C.; Sugiura, J.; Lightey, J. A New Friction Reduction Tool with Axial Oscillation Increases Drilling Performance: Field-Testing with Multiple Vibration Sensors in One Drill String. In Proceedings of the IADC/SPE Drilling Conference and Exhibition, Fort Worth, TX, USA, 1–3 March 2016. [Google Scholar]
- Ali, A.A.; Barton, S.; Mohanna, A. Unique axial oscillation tool enhances performance of directional tools in extended reach applications. In Proceedings of the Brasil Offshore Conference and Exhibition, Macae, Brazil, 14–17 June 2011. [Google Scholar]
- Skyles, L.; Amiraslani, Y.; Wilhoit, J. Converting Static Friction to Kinetic Friction to Drill Further and Faster in Directional Holes. In Proceedings of the IADC/SPE Drilling Conference and Exhibition, San Diego, CA, USA, 6–8 March 2012. [Google Scholar]
- Gee, R.; Hanley, C.; Hussain, R.; Canuel, L.; Martinez, J. Axial Oscillation Tool vs. Lateral Vibration Tools for Friction Reduction-What’s the Best Way to Shake the Pipe? In Proceedings of the SPE/IADC Drilling Conference and Exhibition, London, UK, 17–19 March 2015. [Google Scholar]
- Eric, M.; Marc, H.; Daniel, W. Case history summary: Horizontal drilling performance improvement due to torque rocking on 800 horizontal land wells drilled for unconventional gas resources. In Proceedings of the SPE Annual Technical Conference and Exhibition, New Orleans, Louisiana, 4–7 October 2009. [Google Scholar]
- Gillan, C.; Boone, S.; Kostiuk, G.; Schlembach, C.; Pinto, J.; LeBlanc, M. Applying precision drill pipe rotation and oscillation to slide drilling problems. In Proceedings of the SPE/IADC Drilling Conference, Amsterdam, The Netherlands, 17–19 March 2009. [Google Scholar]
- Sheppard, M.C.; Wick, C.; Burgess, T. Designing well paths to reduce drag and torque. SPE Drill. Eng. New Orleans 1987, 2, 344–350. [Google Scholar] [CrossRef]
- Maidla, E.E.; Wojtanowicz, A.K. Field Comparison of 2D and 3D Methods for the Borehole Friction Evaluation in Directional Wells. In Proceedings of the 62nd Annual Technical Conference and Exhibition, Dallas, TX, USA, 27–30 September 1987. [Google Scholar]
- Paslay, P.R. Stress Analysis of Drillstrings. In Proceedings of the University of Tulsa Centennial Petroleum Engineering Symposium, Tulsa, Oklahoma, 29–31 August 1994. [Google Scholar]
- Aadnoy, B.S.; Andersen, K. Design of oil wells using analytical friction models. J. Pet. Sci. Eng. 2001, 32, 53–71. [Google Scholar] [CrossRef]
- Johancsik, C.A.; Friesen, D.B.; Dawson, R. Torque and drag in directional wells-prediction and measurement. J. Pet. Tecknol. 1984, 36, 987–992. [Google Scholar] [CrossRef]
- Ho, H.S. An Improved Modeling Program for Computing the Torque and Drag in Directional and Deep Wells. In Proceedings of the SPE Annual Technical Conference and Exhibition, Houston, TX, USA, 2–5 October 1988. [Google Scholar]
- Adewuya, O.A.; Pham, S.V. A robust torque and drag analysis approach for well planning and drillstring design. J. Pet. Technol. 1998, 50, 1–16. [Google Scholar]
- Rezmer-Cooper, I.; Chau, M.; Hendricks, A.; Woodfine, M.; Stacey, B.; Downton, N. Field Data Supports the Use of Stiffness and Tortuosity in Solving Complex Well Design Problems. In Proceedings of the IADC/SPE Drilling Conference, Amsterdam, Holland, 9–11 March 1999. IADC/SPE 52819. [Google Scholar]
- Zifeng, L.; Xisheng, L.; Daqian, Z. A Steady Tension-torque Model for Drillstring in Horizontal Wells. Pet. Drill. Technol. 1993, 20, 1–6. [Google Scholar]
- Dykstra. Nonlinear Drill String Dynamics; University of Tulsa: Tulsa, OK, USA, 1996. [Google Scholar]
- Pabon, J.; Wicks, N.; Chang, Y.; Dow, B.; Harmer, R. Modeling Transient Vibrations While Drilling Using a Finite Rigid Body Approach. In Proceedings of the SPE Deepwater Drilling and Completions Conference, Galveston, TX, USA, 5–6 October 2010. [Google Scholar]
- Wicks, N.; Pabon, J.; Auzerais, F.; Kats, R.; Godfrey, M.; Chang, Y.; Zheng, A. Modeling of Axial Vibrations to Allow Intervention in Extended Reach Wells. In Proceedings of the SPE Deepwater Drilling and Completions Conference, Galveston, TX, USA, 20–21 June 2012. [Google Scholar]
- Ritto, T.G.; Escalante, M.R.; Rosales, M.B. Drill-string horizontal dynamics with uncertainty on the frictional force. J. Sound Vib. 2013, 332, 145–153. [Google Scholar] [CrossRef]
- Wang, X.M.; Chen, P.; Ma, T.S.; Liu, Y. Modeling and experimental investigations on the drag reduction performance of an axial oscillation tool. J. Nat. Gas Sci. Eng. 2017, 39, 118–132. [Google Scholar] [CrossRef]
- Wang, P.; Ni, H.; Wang, R. Experimental investigation of the effect of in-plane vibrations on friction for different materials. Tribol. Int. 2016, 99, 237–247. [Google Scholar] [CrossRef]
- Gutowski, P.; Leus, M. The effect of longitudinal tangential vibrations on friction and driving forces in sliding motion. Tribol. Int. 2012, 55, 108–118. [Google Scholar] [CrossRef]
- Gutowski, P.; Leus, M. Computational model for friction force estimation in sliding motion at transverse tangential vibrations of elastic contact support. Tribol. Int. 2015, 90, 455–462. [Google Scholar] [CrossRef]
- Tolstoi, D.M.; Borisova, G.A.; Grigorova, S.R. Friction regulation by perpendicular oscillation. Sov. Phys. Dokl. 1973, 17, 80–86. [Google Scholar]
- Gao, B.K.; Gao, D.L. Possibility of drill stem buckling in inclined hole. Oil Drill. Prod. Technol. 1995, 17, 6–11. [Google Scholar]
- Wang, P.; Ni, H.J.; Wang, X.Y.; Wang, R.; Lu, S. Research on the characteristics of earthworm-like vibration drilling. J. Pet. Sci. Eng. 2018, 160, 60–71. [Google Scholar] [CrossRef]
- Dahl, P.R. Solid friction damping of mechanical vibrations. AIAA J. 1976, 14, 1675–1682. [Google Scholar] [CrossRef]
- Yan, T. Theory and Practice of Optimizing Drilling Parameters; Harbin Institute of Technology Press: Harbin, China, 1994. [Google Scholar]
- TH HILL. Standard DS-1: Drill Stem Design and Operation; TH HILL Associates: Houston, TX, USA, 2004. [Google Scholar]
- Hu, Y.B.; Di, Q.F.; Zou, H.Y. The New Developments of Monitoring Technology and Researches on Drill String Dynamics. Pereoleum Drill. Technol. 2006, 34, 7–10. [Google Scholar]









| Grade | Vibration Level in Axial Direction RMS(g) | Color Marking | Evaluation Result |
|---|---|---|---|
| 0 | [0.0, 0.5) | green | safe |
| 1 | [0.5, 1.0) | ||
| 2 | [1.0, 2.0) | yellow | caution |
| 3 | [2.0, 3.0) | ||
| 4 | [3.0, 5.0) | red | danger |
| 5 | [5.0, 8.0) | ||
| 6 | [8.0, 15.0) | ||
| 7 | [15.0, ) |
| Frequency/Hz | 0 | 0.5 | 1 | 5 | 10 | 20 | 25 | 30 | |
|---|---|---|---|---|---|---|---|---|---|
| Exciting Force/kN | |||||||||
| 100 | 0~4200 | 0~1600 | 0~1750 | 0~4150 | 0~1920 | ||||
| ~1750 | ~2450 | ~4200 | ~2330 | ||||||
| ~3530 | ~4150 | ~4170 | |||||||
| ~4170 | ~4200 | ~4200 | |||||||
| ~4200 | |||||||||
| 200 | 0~4200 | 0~1230 | 0~1520 | 0~1660 | 0~1920 | 0~1415 | 0~1865 | 0~1895 | |
| ~1755 | ~4110 | ~1940 | ~2330 | ~4180 | ~4180 | ~4180 | |||
| ~2780 | ~4180 | ~3970 | ~4170 | ~4200 | ~4200 | ~4200 | |||
| ~4095 | ~4200 | ~4175 | ~4200 | ||||||
| ~4180 | ~4200 | ||||||||
| ~4200 | |||||||||
| 300 | 0~4200 | 0~1455 | 0~555 | 0~1775 | 0~2210 | 0~2075 | 0~275 | 0~1570 | |
| ~1890 | ~1620 | ~2220 | ~2555 | ~4175 | ~2130 | ~2155 | |||
| ~1915 | ~1790 | ~2285 | ~4160 | ~4200 | ~4165 | ~4165 | |||
| ~4200 | ~1915 | ~4160 | ~4200 | ~4200 | ~4200 | ||||
| ~4200 | ~4200 | ||||||||
| Safe (zero grade) | Safe (one grade) | Caution (two grade) | Caution (three grade) | ||||||
Disclaimer/Publisher’s Note: The statements, opinions and data contained in all publications are solely those of the individual author(s) and contributor(s) and not of MDPI and/or the editor(s). MDPI and/or the editor(s) disclaim responsibility for any injury to people or property resulting from any ideas, methods, instructions or products referred to in the content. |
© 2023 by the authors. Licensee MDPI, Basel, Switzerland. This article is an open access article distributed under the terms and conditions of the Creative Commons Attribution (CC BY) license (https://creativecommons.org/licenses/by/4.0/).
Share and Cite
Long, Y.; Wang, X.; Wang, P.; Zhang, F. A Method of Reducing Friction and Improving the Penetration Rate by Safely Vibrating the Drill-String at Surface. Processes 2023, 11, 1242. https://doi.org/10.3390/pr11041242
Long Y, Wang X, Wang P, Zhang F. A Method of Reducing Friction and Improving the Penetration Rate by Safely Vibrating the Drill-String at Surface. Processes. 2023; 11(4):1242. https://doi.org/10.3390/pr11041242
Chicago/Turabian StyleLong, Yuan, Xueying Wang, Peng Wang, and Feifei Zhang. 2023. "A Method of Reducing Friction and Improving the Penetration Rate by Safely Vibrating the Drill-String at Surface" Processes 11, no. 4: 1242. https://doi.org/10.3390/pr11041242
APA StyleLong, Y., Wang, X., Wang, P., & Zhang, F. (2023). A Method of Reducing Friction and Improving the Penetration Rate by Safely Vibrating the Drill-String at Surface. Processes, 11(4), 1242. https://doi.org/10.3390/pr11041242

