Sign in to use this feature.

Years

Between: -

Subjects

remove_circle_outline
remove_circle_outline
remove_circle_outline
remove_circle_outline
remove_circle_outline
remove_circle_outline
remove_circle_outline
remove_circle_outline
remove_circle_outline

Journals

remove_circle_outline
remove_circle_outline
remove_circle_outline
remove_circle_outline
remove_circle_outline
remove_circle_outline
remove_circle_outline
remove_circle_outline
remove_circle_outline
remove_circle_outline
remove_circle_outline
remove_circle_outline
remove_circle_outline

Article Types

Countries / Regions

remove_circle_outline
remove_circle_outline
remove_circle_outline
remove_circle_outline

Search Results (1,566)

Search Parameters:
Keywords = friction reduction

Order results
Result details
Results per page
Select all
Export citation of selected articles as:
19 pages, 2389 KB  
Article
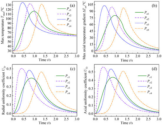
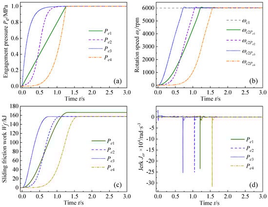
Investigation on Dynamic and Transient Thermal Characteristics of High-Speed and High-Power-Density Dry Friction Clutch in STOVL Aircrafts
by Chu Zhu, Xiaokang Li, Dahuan Wei, Miao Pan, Hongzhi Yan and Yexin Xiao
Machines 2026, 14(3), 321; https://doi.org/10.3390/machines14030321 - 12 Mar 2026
Abstract
As a critical core component in the STOVL aircrafts, the dynamic and thermal performance of the aviation dry clutch directly determines the reliability of power transmission and the precision control, especially in high relative speed engagement and high power density conditions. Accordingly, this [...] Read more.
As a critical core component in the STOVL aircrafts, the dynamic and thermal performance of the aviation dry clutch directly determines the reliability of power transmission and the precision control, especially in high relative speed engagement and high power density conditions. Accordingly, this study proposes a 4-DOF dynamic model considering the time-varying of friction coefficient and nonlinear load characteristics, integrated with a transient thermal model incorporating the time-varying thermal parameters. The effects of pressure loading strategies and rotation speed on the dynamic and transient thermal responses are systematically analyzed. Furthermore, a novel temperature uniformity coefficient is developed to characterize the temperature field distribution. The results indicate that the pressure loading strategy fundamentally dictates the trade-off between engagement smoothness and thermal performance. Specifically, compared with other loading strategies, the linear loading strategy yields the most uniform thermal field (UTz=0.4361, UTr=0.3971) and the engagement smoothness (Jer=2.353×105rad·s3) but increases sliding friction work (163.67 kJ). As rotation speed increases from 1500 r/min to 6000 r/min, the sliding friction work increases from 8.85 kJ to 163.67 kJ. Concurrently, the peak values of temperature, axial temperature gradient and axial temperature uniformity coefficient reach 116.557 °C, 80.622 °C and 0.4361, respectively. Consequently, an appropriate reduction in rotation speed combined with the adoption of linear loading strategy can not only facilitate the smoothness and friction loss reduction but also achieve a more uniform temperature distribution. These findings are not only essential for optimizing the thermal management and structural design of aviation dry clutches but also establish a quantitative basis for optimizing engagement strategies. Full article
(This article belongs to the Section Friction and Tribology)
Show Figures

Figure 1

17 pages, 463 KB  
Article
High-Speed Rail and Sustainable Regional Development: Evidence from Factor Allocation in China
by Hao Song and Xin Zhou
Sustainability 2026, 18(6), 2780; https://doi.org/10.3390/su18062780 - 12 Mar 2026
Abstract
Within a spatial-economics framework, this paper extends a general-equilibrium model to examine how high-speed rail (HSR) openings reduce migration costs and thereby alleviate regional factor misallocation. The model predicts that improved connectivity lowers labor mobility frictions, facilitates cross-regional reallocation of productive factors, and [...] Read more.
Within a spatial-economics framework, this paper extends a general-equilibrium model to examine how high-speed rail (HSR) openings reduce migration costs and thereby alleviate regional factor misallocation. The model predicts that improved connectivity lowers labor mobility frictions, facilitates cross-regional reallocation of productive factors, and reduces misallocation. Using a panel of China’s prefecture-level cities from 2006 to 2016 and a difference-in-differences design, we estimate the causal effects of HSR on the misallocation of labor and capital. The results show that HSR openings significantly improve both labor and capital allocation, and the findings remain robust to a range of endogeneity checks and alternative specifications. Heterogeneity analyses indicate that the improvement is concentrated in eastern cities, while the effects are statistically insignificant in central and western regions. We also find that the reduction in misallocation occurs in both provincial capital and non-capital cities. These results imply that HSR can enhance resource-use efficiency and support sustainable regional development by reducing spatial frictions and promoting more balanced factor allocation. From a policy perspective, accelerating HSR network expansion can lower cross-regional mobility costs and enable freer flows of labor and capital, thereby improving allocative efficiency and fostering inclusive and sustainable growth. Full article
Show Figures

Figure 1

21 pages, 6169 KB  
Article
A Design Method for Hydraulic Oscillator Excitation Parameters Considering Drilling Conditions and Formation Characteristics
by Xin He, Gonghui Liu, Tian Chen, Jun Li, Wei Wang, Shichang Li and Lincong Wang
Appl. Sci. 2026, 16(6), 2705; https://doi.org/10.3390/app16062705 - 12 Mar 2026
Abstract
Horizontal well drilling is the mainstream technology for developing deep oil and gas resources. Engineering practice has demonstrated that hydraulic oscillators can solve the problem of the backing pressure of pipe strings and improve drilling efficiency. However, the design of excitation parameters for [...] Read more.
Horizontal well drilling is the mainstream technology for developing deep oil and gas resources. Engineering practice has demonstrated that hydraulic oscillators can solve the problem of the backing pressure of pipe strings and improve drilling efficiency. However, the design of excitation parameters for hydraulic oscillators is currently largely based on idealized friction models and does not fully consider the nonlinear characteristics of friction between the drill string and the formation, resulting in a lack of quantitative basis for parameter selection under different operating conditions. A series of laboratory friction tests was conducted to systematically characterize the dependence of interfacial friction behavior on sliding velocity across different combinations of drill string materials, drilling fluid systems, and rock lithologies. Based on the experimentally determined velocity–friction relationships, a drill string dynamic model incorporating a hydraulic oscillator was developed in which nonlinear frictional effects at the interface were explicitly represented. Using this modeling framework, parametric simulations were carried out to examine how variations in excitation amplitude and excitation frequency influence drag reduction performance under diverse operating conditions. The simulation results indicate that the contribution of drill string material to overall drag reduction effectiveness is comparatively limited, whereas drilling fluid type plays a dominant regulatory role. Oil-based drilling fluids significantly enhance drag reduction performance relative to water-based systems and exhibit greater responsiveness to adjustments in excitation parameters. Rock lithology exerts a pronounced influence on the effectiveness of drag reduction. When water-based drilling fluids are used, the overall performance ranks from highest to lowest as limestone, shale, and sandstone. In contrast, under oil-based drilling fluid conditions, the relative ordering shifts to shale, followed by sandstone, and then limestone. Excitation amplitude is the dominant parameter in enhancing drag reduction capability, and in most cases, its incremental effect exceeds that of excitation frequency; however, under certain specific operating conditions, increasing the excitation frequency can provide additional drag reduction benefits. Based on the above findings, a hydraulic oscillator excitation parameter design method was proposed that matches drilling conditions and formation characteristics by distinguishing between different drilling fluid environments and lithologies, with amplitude as the primary control parameter and frequency as a supplementary parameter. This method provides a theoretical foundation for the design of output parameters of hydraulic oscillators operating under diverse working conditions. Full article
(This article belongs to the Special Issue Development of Intelligent Software in Geotechnical Engineering)
Show Figures

Figure 1

18 pages, 2261 KB  
Article
Cyclic Acidic Beverage Exposure Induces Formulation-Dependent Mechanical Softening and Tribological Alterations in Microhybrid and Nanohybrid Dental Resin Composites
by Żaneta Anna Mierzejewska, Patrycja Wołosiewicz, Kamila Łukaszuk, Bartłomiej Rusztyn, Jan Borys and Bożena Antonowicz
J. Funct. Biomater. 2026, 17(3), 139; https://doi.org/10.3390/jfb17030139 - 11 Mar 2026
Abstract
Dental resin composites are routinely exposed to chemically aggressive beverages that may compromise long-term functional performance. This study investigated the structure–property–tribology relationships of four restorative composites (Filtek Z250, Filtek Z550, Herculite, and Herculite Ultra) subjected to cyclic immersion in beverages with different pH [...] Read more.
Dental resin composites are routinely exposed to chemically aggressive beverages that may compromise long-term functional performance. This study investigated the structure–property–tribology relationships of four restorative composites (Filtek Z250, Filtek Z550, Herculite, and Herculite Ultra) subjected to cyclic immersion in beverages with different pH values. A total of 120 cylindrical specimens (7 mm diameter, 2 mm thickness; n = 5 per material per condition) were fabricated and exposed to mineral water, tea, coffee, Coca-Cola®, Cola Light®, and red wine for 28 days under cyclic conditions. Microhardness, surface roughness (Ra), steady-state coefficient of friction (COF), and mass variation were evaluated. All composites exhibited significant microhardness reduction after acidic exposure (p < 0.05), with the greatest decrease observed for Herculite Ultra in red wine (−47.4%) and Coca-Cola® (−35.3%). Filtek Z250 demonstrated the highest baseline hardness and the lowest degradation susceptibility. Surface roughness changes were formulation-dependent, with Herculite Ultra showing pronounced roughening (ΔRa up to +0.074 µm), whereas Filtek Z550 exhibited erosion-driven smoothing (ΔRa down to −0.068 µm). Tribological behaviour was primarily governed by matrix softening rather than roughness alterations, with softened systems displaying unstable frictional responses (COF range: 0.127–0.697; p < 0.05). The results indicate that polymer matrix stability plays a more critical role in long-term functional performance than surface roughness or mass variation alone. Clinically, frequent exposure to acidic and solvent-containing beverages may accelerate mechanical and tribological degradation of susceptible composite formulations. Full article
(This article belongs to the Special Issue Biomaterials in Dentistry: Current Status and Advances)
Show Figures

Figure 1

32 pages, 18567 KB  
Article
Thermoelastic Modeling of Self-Energizing Carbon-Carbon (C/C) Wedge Brakes for High-Performance Race Vehicles
by Giacomo Galvanini, Massimiliano Gobbi, Giampiero Mastinu, Carlo Cantoni and Raffaello Passoni
Vehicles 2026, 8(3), 54; https://doi.org/10.3390/vehicles8030054 - 10 Mar 2026
Abstract
This study investigates amplified hydraulic braking systems employed in high-performance motorsport applications, utilizing wedge mechanisms for self-energization. An analytical expression for the gain coefficient is derived from a simplified equilibrium analysis of the wedge-shaped pad, capturing the nonlinear dependency on both wedge angle [...] Read more.
This study investigates amplified hydraulic braking systems employed in high-performance motorsport applications, utilizing wedge mechanisms for self-energization. An analytical expression for the gain coefficient is derived from a simplified equilibrium analysis of the wedge-shaped pad, capturing the nonlinear dependency on both wedge angle and effective mean disc-pad friction. A previously validated coupled thermoelastic model for carbon-carbon (C/C) braking systems—developed in Dymola and Modelica using the finite volume method (FVM) and an analytical local friction formulation—is here adapted to wedge-amplified braking systems, with the aim of providing performance assessment during the design phase of new calipers at reduced computational cost compared to coupled thermoelastic finite element method (FEM) models. Several caliper configurations featuring different wedge angles are tested experimentally on a dynamometer. A reduction in the effective friction coefficient at high mean effective contact pressure—induced by pronounced wedge angles and reduced pad areas—is observed. To validate the thermoelastic model, simulated braking torque and disc surface temperature are compared against bench data. The model shows satisfactory predictive capability under various operating conditions and test cycles, with mean error indices on peak torque prediction below 5% for the majority of the simulated cases. Finally, the validated model is used to virtually assess the performance of a new caliper prototype prior to its manufacturing and testing. Full article
Show Figures

Figure 1

25 pages, 7002 KB  
Article
Experimental Investigation of a Pre-Engagement Spring-Steel Auxiliary Lining for Wear Reduction in Single-Plate Dry Clutch
by Aishwarya Dhoot, S. S. Bhavikatti and Sujit S. Pardeshi
Machines 2026, 14(3), 314; https://doi.org/10.3390/machines14030314 - 10 Mar 2026
Abstract
Premature wear and thermal degradation of friction linings can be significant limitations of conventional single-plate dry clutch systems under repeated engagement and high torque conditions. This study proposes a mechanically modified clutch incorporating an auxiliary spring-steel annular ring lining intended to promote staged [...] Read more.
Premature wear and thermal degradation of friction linings can be significant limitations of conventional single-plate dry clutch systems under repeated engagement and high torque conditions. This study proposes a mechanically modified clutch incorporating an auxiliary spring-steel annular ring lining intended to promote staged engagement and potential load sharing between two friction interfaces. Analytical torque capacity was estimated using uniform wear theory, and experimental validation was conducted on a laboratory clutch test rig under both continuous and cyclic engagement conditions. Mass loss, thickness reduction, surface temperature, and wear morphology were measured. Under the tested laboratory conditions, the modified clutch exhibited a 28–30% reduction in friction lining mass loss, approximately 6% reduction in thickness loss, and an estimated increase in service life of about 4.4 × 107 revolutions (~7%) compared with a conventional clutch. Lower measured surface temperatures were also observed for the modified configuration, which may be associated with redistribution of frictional work. The results suggest that staged mechanical engagement through an auxiliary spring-steel ring lining can improve wear performance while retaining the basic architecture of a single-plate clutch without substantial change to overall dimensions. Full article
(This article belongs to the Section Machine Design and Theory)
Show Figures

Figure 1

44 pages, 45025 KB  
Article
Influence of Graphite, Boron, Zirconium, and Hydroxyapatite Reinforcements on the Mechanostructure of Polyaryletheretherketone–Matrix Hybrid Composites
by Bunyamin Aksakal, Cevher Kursat Macit, Yusuf Er and Merve Ayik
Biomimetics 2026, 11(3), 203; https://doi.org/10.3390/biomimetics11030203 - 10 Mar 2026
Viewed by 53
Abstract
Polyether ether ketone (PEEK) is a high-performance thermoplastic with potential applications in aerospace, automotive, and biomedical components, owing to its exceptional specific strength, thermal stability, and biocompatibility. However, its moderate hardness and limited wear resistance in dry sliding severely constrain its use in [...] Read more.
Polyether ether ketone (PEEK) is a high-performance thermoplastic with potential applications in aerospace, automotive, and biomedical components, owing to its exceptional specific strength, thermal stability, and biocompatibility. However, its moderate hardness and limited wear resistance in dry sliding severely constrain its use in highly loaded tribological contacts. In this study, PEEK-based reinforced hybrid composites were produced utilizing a powder metallurgy technique, with reinforcement fractions of 10 wt.% graphite (Gr), boron (B), hydroxyapatite (HAp), and zirconium (Zr). The processing sequence included homogeneous wet-mixing, uniaxial cold compaction at pressures of 10–30 MPa, and sintering at 250–300 °C. The composition and microstructures were characterized by X-ray diffraction (XRD), Fourier-transform infrared spectroscopy (FT-IR), scanning electron microscopy (SEM) and energy-dispersive X-ray spectroscopy (EDX). Mechanical and tribological performances were assessed by Vickers microhardness, uniaxial compression and dry sliding wear tests. The best-performing Gr-B hybrid composite increased hardness by 240% and compressive strength by 175% compared with unreinforced PEEK. Tribologically, boron-containing PEEK demonstrated up to a 34.7% reduction in the coefficient of friction and approximately a 90% drop in wear-induced mass loss compared with unreinforced PEEK. The resulting Gr-B-reinforced PEEK hybrids are excellent choices for demanding load-bearing and tribological components like aerospace bushings, automotive sliding elements, spinal cages, and orthopedic fixation devices in biomedical applications because of their balanced combination of high hardness, superior wear resistance, and high compressive strength. Full article
(This article belongs to the Special Issue Advances in Biomaterials, Biocomposites and Biopolymers 2026)
Show Figures

Graphical abstract

16 pages, 2883 KB  
Article
Regulation Mechanisms and Evaluation System for the Damping Performance of Crumb Rubber-Modified Asphalt over the Wide Temperature Range
by Wenqi Kou, Mingxing Gao and Ting Zhao
Materials 2026, 19(5), 1027; https://doi.org/10.3390/ma19051027 - 7 Mar 2026
Viewed by 214
Abstract
Utilizing waste tire crumb rubber to modify asphalt enhances the damping and noise reduction performance of pavements. This study systematically evaluated the damping performance of crumb rubber–modified asphalt over a wide temperature range. A high-temperature damping index based on the loss factor and [...] Read more.
Utilizing waste tire crumb rubber to modify asphalt enhances the damping and noise reduction performance of pavements. This study systematically evaluated the damping performance of crumb rubber–modified asphalt over a wide temperature range. A high-temperature damping index based on the loss factor and a low-temperature energy dissipation ratio derived from the Burgers model were proposed for quantitative characterization. The results show that damping performance is primarily controlled by temperature and crumb rubber content, while particle size plays a secondary role. Increasing crumb rubber content markedly improves damping performance. When the crumb rubber content exceeds 20%, the damping temperature stability, peak loss factor, and its retention tend to level off, whereas the low-temperature enhancement diminishes when the content exceeds 25%. Accordingly, the robust combinations are 80-mesh (≈180 μm) with 20% content for high-temperature conditions and 80-mesh with 25% content for low-temperature conditions. Multivariate nonlinear regression models achieved high predictive accuracy (R2 = 0.927 and 0.985). Microscopic analyses indicate that crumb rubber increases constrained interfacial phases and system viscosity, and partial particle exposure at 20–25% further enhances interfacial friction and energy dissipation, consistent with the observed macroscopic damping behavior. These findings provide a theoretical basis for robust, noise-reducing pavements. Full article
(This article belongs to the Section Construction and Building Materials)
Show Figures

Graphical abstract

19 pages, 13648 KB  
Article
Preparation and Tribological Properties of Wind Turbine Lubricating Oil Modified by Nano-ZnMgAl Layered Double Hydroxides
by Hao Xiao, Yihao Zhang, Xueqiang Ding, Mingmin Zheng, Qiuya Tu, Zongde Liu, Jingbin Han, Xin Zhang and Yuan Xu
Lubricants 2026, 14(3), 116; https://doi.org/10.3390/lubricants14030116 - 6 Mar 2026
Viewed by 186
Abstract
ZnMgAl layered double hydroxides (LDHs) were synthesised via coprecipitation, and oleic acid and stearic acid were grafted onto their surfaces via dehydration condensation to obtain two nano-lubricant additives, OA-ZnMgAl LDH and SA-ZnMgAl LDH. These surface modifications significantly improved the dispersion stability of ZnMgAl [...] Read more.
ZnMgAl layered double hydroxides (LDHs) were synthesised via coprecipitation, and oleic acid and stearic acid were grafted onto their surfaces via dehydration condensation to obtain two nano-lubricant additives, OA-ZnMgAl LDH and SA-ZnMgAl LDH. These surface modifications significantly improved the dispersion stability of ZnMgAl LDH in lubricating oil. Tribological tests showed that, at their respective optimal concentrations for friction reduction or wear resistance, ZnMgAl LDH, OA-ZnMgAl LDH, and SA-ZnMgAl LDH reduced the coefficient of friction by 3%, 20%, and 16%, and decreased the wear scar diameter by 7%, 9%, and 14%, respectively, compared with the base oil (XMP-Mobil 320). To clarify the lubrication mechanism, the wear morphology and chemical composition were analysed using 3D optical profilometry, X-ray photoelectron spectroscopy, scanning electron microscopy, and FIB-SEM. The results indicate that LDHs react with the steel surface under load and shear to form a multilayer protective film consisting of an inner oxide layer and an outer graphite layer, preventing direct contact between friction pairs. In addition, the rolling and filling effects of partially unreacted LDHs further reduce friction and wear. Full article
Show Figures

Figure 1

17 pages, 13660 KB  
Article
Study on the Synergistic Lubrication Mechanism of Nickel and Magnesium Silicate Hydroxide in Molybdenum Disulfide-Based Composite Coatings
by Hanzhi Yao, Yuting Zhao, Bo Gao, Ruizhe Li, Tianxu Gao, Xiang Liu, Xianhao Gu, Zhongnan Wang and Qiuying Chang
Lubricants 2026, 14(3), 114; https://doi.org/10.3390/lubricants14030114 - 6 Mar 2026
Viewed by 164
Abstract
Molybdenum disulfide (MoS2)-based composite systems are widely used as solid lubricating coatings. However, further optimization towards lower friction and higher wear resistance remains necessary to meet the extreme operating conditions and high reliability requirements of next-generation aerospace equipment. This study investigated [...] Read more.
Molybdenum disulfide (MoS2)-based composite systems are widely used as solid lubricating coatings. However, further optimization towards lower friction and higher wear resistance remains necessary to meet the extreme operating conditions and high reliability requirements of next-generation aerospace equipment. This study investigated the tribological performance of MoS2/epoxy composite coatings by comparing the effects of individual and combined additions of nano nickel (Ni) and magnesium silicate hydroxide (MSH). The coating preparation process adopted in this study is the bonding method. Experimental results showed that, under a load of 2 N and a rotational speed of 500 r/min, the coating containing 0.3 g Ni and 0.1 g MSH (labeled W03Ni01MSH) achieved a 22% reduction in wear scar width compared to the coating with only Ni, demonstrating a distinct synergistic effect. This is attributed to the complementary roles of the two additives: Ni promotes the formation of flaky wear debris, facilitating rapid formation and stabilization of a transfer film, thereby reducing friction; MSH enhances the load carrying capacity of the coating and suppresses wear propagation, thereby improving wear resistance. Furthermore, this composite coating exhibited optimal performance under the conditions of 500 r/min and 2 N. The results of this study significantly improved the friction-reducing and wear-resistant properties of the MoS2/epoxy composite coating. This provides a new strategy for the formulation design of high-performance solid lubricating coatings. Full article
Show Figures

Figure 1

26 pages, 19729 KB  
Article
Comparative Analysis of Different ZnO Particles as Additives of Bio-Based Andiroba, Copaiba, and Paraffinic Mineral Oils: Effects on Lubrication Properties
by Erickson Fabiano Moura Sousa Silva, Anielle Christine Almeida Silva, Vicente Afonso Ventrella, Victor Hugo Martins de Almeida, Ivan Bezerra Allaman, Thaís Marcelo Souza, Eli Jorge da Cruz Júnior and Aparecido Carlos Gonçalves
Sustainability 2026, 18(5), 2573; https://doi.org/10.3390/su18052573 - 6 Mar 2026
Viewed by 240
Abstract
The growing demand for environmentally responsible lubricants motivates the use of bio-based base stocks and benign solid additives. This study assesses the tribological performance of two Amazonian vegetable oils, Carapa guianensis (andiroba) and Copaifera spp. (copaiba resin) and a paraffinic mineral oil (PNL30) [...] Read more.
The growing demand for environmentally responsible lubricants motivates the use of bio-based base stocks and benign solid additives. This study assesses the tribological performance of two Amazonian vegetable oils, Carapa guianensis (andiroba) and Copaifera spp. (copaiba resin) and a paraffinic mineral oil (PNL30) formulated with different zinc oxide (ZnO) particles, namely nanocrystals and microcrystals, at 0.01, 0.05, and 0.10 wt.%. Reciprocating sliding tests, coupled with 3D profilometry, viscosity, and sedimentation analyses, were used to link dispersion stability with friction and wear responses. A preliminary stability screening constrained the practical loading window to ≤0.10 wt.% for reproducible suspensions. Performance depended on the interplay between particle type and base-oil chemistry. Andiroba exhibited the most pronounced gains, with ZnO microcrystals near 0.05 wt.% delivering the best friction outcomes and the largest wear reductions (up to ~35%). In copaiba resin oil, nanocrystals produced small, sometimes non-significant improvements, whereas microcrystals tended to worsen wear consistent with abrasive third-body effects in a less polar matrix. In PNL30, the overall benefits were modest: nanocrystal additions generally increased wear, whereas microcrystals particularly at the highest loading 0.10 wt.% achieved a 36.4% reduction in SWR, representing a measurable and statistically significant improvement in wear resistance. These results highlight that eco-efficient lubricant design should co-optimize particle characteristics and dosage with base-oil polarity and film-forming tendencies, prioritizing dispersion stability alongside tribological targets. Full article
Show Figures

Figure 1

14 pages, 6687 KB  
Article
Investigation on the Influence of Chemical Compounds in the Failure Mechanism Puncture Zones in Reinforced Rubber
by Vasile Gheorghe, Dan Cristian Cuculea and Eliza Chircan
ChemEngineering 2026, 10(3), 37; https://doi.org/10.3390/chemengineering10030037 - 4 Mar 2026
Viewed by 130
Abstract
This study investigates the fatigue failure of fiber-reinforced rubber used in automotive shock-absorbing elements subjected to cyclic loads. A quantitative simulation model integrated with material analysis to predict the service life and performance decay of these viscoelastic dampers was introduced. Failure is governed [...] Read more.
This study investigates the fatigue failure of fiber-reinforced rubber used in automotive shock-absorbing elements subjected to cyclic loads. A quantitative simulation model integrated with material analysis to predict the service life and performance decay of these viscoelastic dampers was introduced. Failure is governed by a degradation factor that models accumulating fatigue damage and results in a predictable, cyclic loss of maximum force capacity; specifically, the model accurately predicts a 36.3% reduction in peak force (from 111.44 N to 70.97 N) over the first 10 fatigue cycles. Crucially, the model incorporates the non-linear stiffness behavior caused by a fiber pull-out mechanism, which transitions load resistance from high elastic integrity to lower frictional forces post-critical displacement. These findings establish a direct, quantitative link between microstructural failure (verified via SEM) and observed performance decay, offering key insights for maintenance planning and material selection. Full article
Show Figures

Figure 1

14 pages, 4483 KB  
Article
Improved Tribological Performance of Co-Au Coatings Prepared by Sequential Chemical Plating Combined with Thermal Diffusion
by Haohui Ye, Rupeng Li, Guobiao Xing, Dingrui Zhou and Xingkai Zhang
Coatings 2026, 16(3), 314; https://doi.org/10.3390/coatings16030314 - 4 Mar 2026
Viewed by 155
Abstract
Friction and wear significantly limit the performance and service life of mechanical components, yet metallic coatings remain essential for electrical and thermal conductivity in applications such as connectors. In this work, Co-Au coatings were fabricated on Ni-P-coated copper substrates via a chemical plating [...] Read more.
Friction and wear significantly limit the performance and service life of mechanical components, yet metallic coatings remain essential for electrical and thermal conductivity in applications such as connectors. In this work, Co-Au coatings were fabricated on Ni-P-coated copper substrates via a chemical plating method, followed by thermal diffusion annealing at 350 °C for 1 h. The as-deposited coatings exhibit a continuous granular structure with an Au-rich top layer and a nanocrystalline Co-rich layer beneath, while annealing induces interdiffusion between Au and Co, forming a Co-Au solid solution. This microstructural evolution leads to enhanced hardness, optimized H/E ratio, and improved load-bearing capacity. Tribological tests reveal that annealed Co-Au coatings exhibit a reduced and stable coefficient of friction compared with Co and as-deposited Co-Au coatings under identical test conditions (~0.14), corresponding to a reduction of approximately 77% compared with the as-deposited Co-Au coatings (~0.60). Meanwhile, the wear track width decreases from ~138 μm to ~70 μm, indicating a reduction of about 49%. Corrosion resistance is improved after annealing, as evidenced by lower corrosion current density and a more positive open-circuit potential. The results demonstrate that the combination of chemical plating and thermal diffusion provides an effective strategy to produce structurally stable Co-Au coatings with excellent mechanical, tribological, and corrosion-resistant properties, suitable for complex-shaped conductive components. Full article
(This article belongs to the Section Thin Films)
Show Figures

Graphical abstract

34 pages, 14216 KB  
Article
Wear Behavior and Multi-Technique Characterization of 3D Printed TPU Under Simulated Pharmaceutical Operating Conditions
by Maria Stoica, Marius Gabriel Petrescu, Maria Tănase, Eugen Laudacescu, Elena-Emilia Sirbu, Cătălina Călin, Gheorghe Brănoiu and Ibrahim Naim Ramadan
Polymers 2026, 18(5), 630; https://doi.org/10.3390/polym18050630 - 4 Mar 2026
Viewed by 266
Abstract
This study investigates the wear behavior and multi-technique characterization of 3D printed thermoplastic polyurethane (TPU) intended for friction layers in transmission belts used in pharmaceutical manipulators. Two flexible TPU grades—TPU 51A and TPU 60A—were printed using fused deposition modeling (FDM) with varying printing [...] Read more.
This study investigates the wear behavior and multi-technique characterization of 3D printed thermoplastic polyurethane (TPU) intended for friction layers in transmission belts used in pharmaceutical manipulators. Two flexible TPU grades—TPU 51A and TPU 60A—were printed using fused deposition modeling (FDM) with varying printing temperatures (255–265 °C for 51A; 225–235 °C for 60A) and layer counts (three or four layers). Specimens were evaluated for Shore A hardness, wear resistance (mass loss using a Baroid lubricity tester under dry sliding against carton), tensile properties, crystallinity (XRD), chemical structure (FTIR), thermal stability (TGA), and scanning electron microscopy (SEM). The results show that printing parameters significantly influence the mechanical and tribological behavior of the materials. For TPU 51A, increasing the printing temperature to 265 °C and using four layers led to a substantial reduction in cumulative mass loss, although hardness decreased. In contrast, for TPU 60A, higher printing temperature and layer count increased hardness but also resulted in higher wear. Tensile tests indicated that specimens printed with fewer layers exhibited higher yield strength and strain, indicating improved interlayer bonding. XRD analysis confirmed the predominantly amorphous nature of the printed samples, with a reduction in crystallinity compared to the raw filaments. FTIR spectra showed no significant chemical degradation during printing, while thermogravimetric analysis revealed good thermal stability up to approximately 250–260 °C. The results demonstrate that wear behavior is governed by a combination of hardness, interlayer cohesion, and microstructural organization rather than crystallinity alone. Among the investigated conditions, TPU 51A printed at 265 °C with four layers exhibited the most favorable balance between wear resistance and mechanical properties, highlighting its suitability for friction layer applications. Full article
Show Figures

Figure 1

17 pages, 4698 KB  
Article
Deep Eutectic Solvent Based on Choline Hydroxide for Advanced Aqueous Lubrication
by Francisco J. Carrión-Vilches, Ana Eva Jiménez, Paloma Mostaza, María-Dolores Bermúdez and María-Dolores Avilés
Lubricants 2026, 14(3), 106; https://doi.org/10.3390/lubricants14030106 - 28 Feb 2026
Viewed by 343
Abstract
A novel deep eutectic solvent (DES) formulated from choline hydroxide has been investigated as an additive for advanced aqueous lubrication. Comprehensive characterization of the DES enabled the determination of its viscosity, wettability, and key spectroscopic features, providing insight into its physicochemical behavior. The [...] Read more.
A novel deep eutectic solvent (DES) formulated from choline hydroxide has been investigated as an additive for advanced aqueous lubrication. Comprehensive characterization of the DES enabled the determination of its viscosity, wettability, and key spectroscopic features, providing insight into its physicochemical behavior. The tribological performance of the water-based lubricants was evaluated using a pin-on-disc configuration with a stainless steel–sapphire tribopair. The resulting friction and wear data demonstrate a significant improvement in performance, particularly for the lubricant containing 10 wt.% DES, which exhibited the most favorable reduction in wear rate, achieving an 80% decrease compared to water. Electrochemical measurements, together with surface analysis by Raman microscopy, confirmed the formation of various iron oxide phases on the wear track that influence tribological performance. These oxides contribute to the development of a protective tribolayer that enhances the overall tribological response. Complementary X-ray-based analytical techniques (EDX and XPS) further substantiated the presence, composition, and stability of this tribolayer. Therefore, the study highlights the potential of the choline hydroxide-based DES as an effective component for formulating novel water-based lubricants. Full article
Show Figures

Graphical abstract

Back to TopTop