Characterization on Structure and Fractal of Shale Nanopore: A Case Study of Fengcheng Formation in Hashan Area, Junggar Basin, China
Abstract
1. Introduction
2. Geology Setting
3. Methods and Theories
3.1. Samples and Experiments
3.2. Fractal Dimension
4. Results
4.1. Mineral Compositions of Shales
4.2. Shale Pore Types
4.3. Micropore Structures of Shales
4.3.1. N2 Adsorption—Desorption Isotherms
4.3.2. Microscopic Pore Structures
4.4. Fractal Characteristics of Microscopic Pore Structure
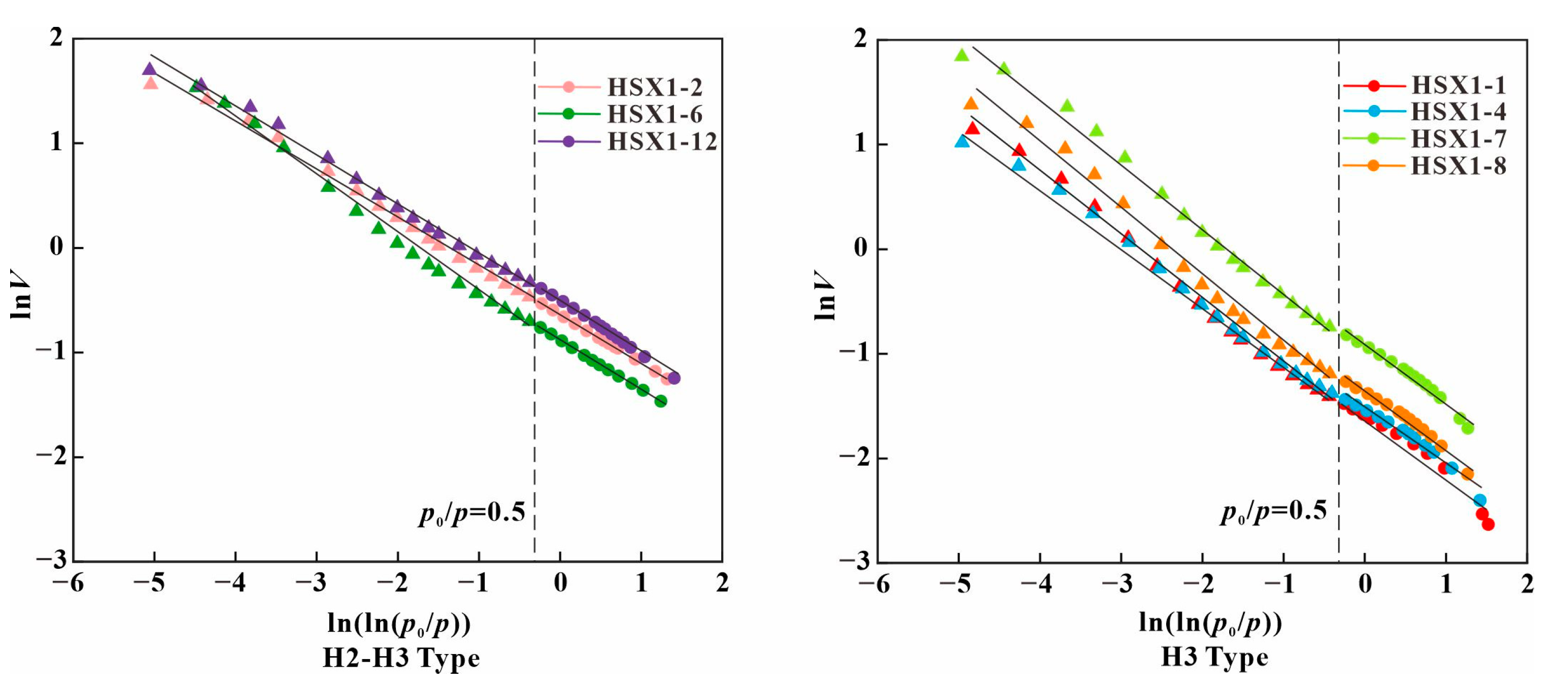
4.4.1. Single-Fractal Characteristics
4.4.2. Multi-Fractal Characteristics
5. Discussion
5.1. Influencing Factors of Microscopic Pore Structures
5.2. Influencing Factors of Fractal Dimension
5.2.1. Single-Fractal Dimension
5.2.2. Multi-Fractal Dimension
5.2.3. Adaptability Analysis of Fractal Dimension
6. Conclusions
Author Contributions
Funding
Institutional Review Board Statement
Informed Consent Statement
Data Availability Statement
Conflicts of Interest
References
- Zou, C.; Dong, D.; Yang, H.; Wang, Y.; Huang, J.; Wang, S.; Fu, C. Conditions of shale gas accumulation and exploration practice in China. Nat. Gas Ind. 2011, 31, 26–39. [Google Scholar]
- Du, J.; Hu, S.; Pang, Z.; Lin, S.; Hou, L.; Zhu, R. The types, potentials and prospects of continental shale oil in China. China Pet. Explor. 2019, 24, 560–568. [Google Scholar]
- Zou, C.; Yang, Z.; Cui, J.; Zhu, R.; Hou, L.; Tao, S.; Yuan, X.; Wu, S.; Lin, S.; Wang, L.; et al. Formation mechanism, geological characteristics and development strategy of nonmarine shale oil in China. Pet. Explor. Dev. 2013, 40, 14–26. [Google Scholar] [CrossRef]
- Zou, C.; Tao, S.; Hou, L. Unconventional Petroleum Geology; Geological Publishing House: Beijing, China, 2011. [Google Scholar]
- Boindala, A.; Vij, R.; Avadhani, V.; Pandian, S. Understanding the complexity of thin laminated sequences through reservoir characterization to identify the true potential in Krishna—Godavari offshore area (India): A case study. Pet. Sci. Technol. 2022. [Google Scholar] [CrossRef]
- Wang, M.; Xue, H.; Tian, S.; Wilkins Ronald, W.T.; Wang, Z. Fractal characteristics of Upper Cretaceous lacustrine shale from the Songliao Basin, NE China. Mar. Pet. Geol. 2015, 67, 144–153. [Google Scholar] [CrossRef]
- Yang, F.; Ning, Z.; Liu, H. Fractal characteristics of shales from a shale gas reservoir in the Sichuan Basin, China. Fuel 2014, 115, 378–384. [Google Scholar] [CrossRef]
- Wang, P.; Jiang, Z.; Ji, W.; Zhang, C.; Yuan, Y.; Chen, L.; Yin, L. Heterogeneity of intergranular, intraparticle and organic pores in Longmaxi shale in Sichuan Basin, South China: Evidence from SEM digital images and fractal and multifractal geometries. Mar. Pet. Geol. 2016, 72, 122–138. [Google Scholar] [CrossRef]
- Wang, Y.; Pu, J.; Wang, L.; Wang, J.; Jiang, Z.; Song, Y.; Wang, C.; Wang, Y.; Jin, C. Characterization of typical 3D pore networks of Jiulaodong formation shale using nano-transmission X-ray microscopy. Fuel 2016, 170, 84–91. [Google Scholar] [CrossRef]
- Klaver, J.; Desbois, G.; Littke, R.; Urai, J.L. BIB-SEM characterization of pore space morphology and distribution. Mar. Pet. Geol. 2015, 59, 451–466. [Google Scholar] [CrossRef]
- Jiang, B.; Deng, E.; Han, M.; Ma, Z. Microscopic Pore Structure and Fractal Characteristics from Xiangbai Formation Shale of Carboniferous in Northwest Guizhou. Geoscience 2022, 36, 1065–1073. [Google Scholar]
- Jouini, M.S.; Bouchaala, F.; Riahi, M.K.; Sassi, M.; Abderrahmane, H.; Hjouj, F. Multifractal Analysis of Reservoir Rock Samples Using 3D X-Ray Micro Computed Tomography Images. IEEE Access 2022, 10, 67898–67909. [Google Scholar] [CrossRef]
- Zhang, P.; Lu, S.; Li, J.; Chen, C. Petrophysical characterization of oil-bearing shales by low-field nuclear. Mar. Pet. Geol. 2018, 89, 775–785. [Google Scholar] [CrossRef]
- Torre, I.G.; Martín-Sotoca, J.J.; Losada, J.C.; López, P.; Tarquis, A.M. Scaling properties of binary and greyscale images in the context of X-ray soil. Geoderma 2020, 365, 114205. [Google Scholar] [CrossRef]
- Wang, M.; Jiao, C.; Li, C.; Li, Z.; Zhou, N.; Li, J.; Lu, S.; Tian, F.; Hao, G.; Shi, J. Multi-fractal characteristics of micro-pores ofShahejie Formation shale in Dongying Sag. Pet. Geol. Recovery Effic. 2019, 26, 72–79. [Google Scholar]
- Zhang, N.; Xun, X.; Wang, S.; Zhang, H. Calculation of multi-fractal dimension of coal measure sedimentaryrock and analysis of influencing factors. J. Min. Sci. Technol. 2021, 6, 623–632. [Google Scholar]
- Ma, H.; Li, W. Multifractal Characterization of Low-temperature Nitrogen Adsorption for Pore Distribution of Coal. Saf. Coal Mines 2020, 51, 14–18. [Google Scholar]
- Matsushima, J.; Ali, M.Y.; Bouchaala, F. A novel method for separating intrinsic and scattering attenuation for zero-offset vertical seismic profiling data. Geophys. J. Int. 2017, 211, 1655–1668. [Google Scholar] [CrossRef]
- Bouchaala, F.; Ali, M.Y.; Matsushima, J. Compressional and shear wave attenuations from walkway VSP and sonic data in an offshore Abu Dhabi oilfield. Comptes Rendus. Géosci. 2021, 353, 337–354. [Google Scholar] [CrossRef]
- Zhang, P.; Lu, S.; Li, J.; Chang, X.; Li, J.; Li, W.; Chen, G.; Wang, S.; Feng, W. Broad ion beam-scanning electron microscopy pore microstructure and multifractal characterization of shale oil reservoir: A case sample from Dongying Sag, Bohai Bay Basin, China. Energy Explor. Exploit. 2020, 38, 613–628. [Google Scholar] [CrossRef]
- Meng, K. Application of multifractal theory in effectiveness evaluation of complex reservoir. China Univ. Geosci. 2021. [Google Scholar] [CrossRef]
- Zhang, P.; Yin, Y.; Lu, S.; Li, J.; Chang, X.; Zhang, J.; Pang, Y.; Chen, G.; Liu, Y.; Li, Z. Insights into Pore Structures and Multifractal Characteristics of Shale Oil Reservoirs: A Case Study from Dongying Sag, Bohai Bay Basin, China. Energy Fuels 2022, 36, 8224–8237. [Google Scholar] [CrossRef]
- Liu, K.; Ostadhassan, M.; Zou, J.; Gentzis, T.; Rezaee, R.; Bubach, B.; Carvajal-Ortiz, H. Multifractal analysis of gas adsorption isotherms for pore structure characterization of the Bakken Shale. Fuel 2018, 219, 296–311. [Google Scholar] [CrossRef]
- Guan, M.; Liu, X.; Jin, Z.; Lai, J. The heterogeneity of pore structure in lacustrine shales: Insights from multifractal analysis using N2 adsorption and mercury intrusion. Mar. Pet. Geol. 2020, 114, 104150. [Google Scholar] [CrossRef]
- Zhang, S. Identification and its petroleum geologic significance of the Fengcheng Formation source rocks in Hala’alt area, the northern margin of Junggar Basin. Oil Gas Geol. 2013, 34, 145–152. [Google Scholar]
- Zhi, D.; Song, Y.; He, W.; Jia, X.; Zou, Y.; Huang, L. Geological Characteristics, Resource Potential and Exploration Direction of Shale Oil in Middle-Lower Permian, Junggar Basin. Xinjiang Pet. Geol. 2019, 40, 389–401. [Google Scholar]
- Zeng, Z.; Liu, Z.; Zhao, L.; Li, Y.; Wang, C.; Gao, P. Shale oil reservoir characteristics and controlling factors of Permian Fengcheng Formation in Hashan area, northwestern margin of Junggar Basin. Lithol. Reserv. 2023, 35, 25–35. [Google Scholar]
- Song, M. Characteristics and Genetic Analysis for Dolomite Rocks Reservoir of Permian Fengcheng Formation in Hassan Block, the Northern Junggar Basin. J. Shengli Coll. China Univ. Pet. 2019, 33, 14–18. [Google Scholar]
- Li, X.; Zhang, K.; Lin, H.; Zhang, G.; Hou, D.; Wang, S. Sedimentary environment and facies of Permian Fengcheng formation in Hashan and its adjacent areas. J. Northwest Univ. (Nat. Sci. Ed.) 2018, 48, 699–708. [Google Scholar]
- Wang, S.; Wu, Q.; Song, M.; Yu, H.; Zhang, G. Quantitative evaluation of the transportation of fault zone and its controlling effect on hydrocarbon migration and accumulation: Case study of Hala’alat Mountain tectonic belt in the north margin of Junggar Basin. Nat. Gas Geosci. 2018, 29, 1559–1567. [Google Scholar]
- Jia, F. Sedimentary facies and depositional model of Permian Fengcheng Formation in Kexia Area of northwest margin of Junggar Basin. Fault-Block Oil Gas Field 2016, 23, 681–686. [Google Scholar]
- Xue, Y.; Lin, H.; Zhang, K.; Nie, W. Tectonic Characteristics and Genetic Simulation of Hala’alate Mountain Area. Geotecton. Metallog. 2017, 41, 843–852. [Google Scholar]
- Xue, Y.; Zhang, K.; Wang, Y.; Wang, S.; Cheng, S.; Song, M. Techtonic Evolution of Hala’alate Mountain Area and Implications in Petroleum Geology. Xinjiang Pet. Geol. 2015, 36, 687–692. [Google Scholar]
- Sui, F. Tectonic Evolution and Its Relationship with Hydrocarbon Accumulation in the Northwest Margin of Junggar Basin. Acta Geol. Sin. 2015, 89, 779–793. [Google Scholar]
- Yu, H.; Wang, Y.; Zhou, J.; Xue, Y. Sedimentary System of Permian Fengcheng Formation in Hashan Areain Northwestern Margin of Junggar Basin. Xinjiang Pet. Geol. 2022, 43, 396–403. [Google Scholar]
- Xu, L.; Chang, Q.; Feng, L.; Zhang, N.; Liu, H. The reservoir characteristics and control factors of shale oil in Permian Fengcheng Formation of Mahu sag, Junggar Basin. China Pet. Explor. 2019, 24, 649–660. [Google Scholar]
- Pfeifer, P.; Avnir, D. Chemistry in noninteger dimensions between two and three. I. Fractal theory of heterogeneous surfaces. J. Chem. Phys. 1983, 79, 3369–3558. [Google Scholar] [CrossRef]
- Krohn, C.E. Sandstone fractal and Euclidean pore volume distributions. J. Geophys. Res. Atmos. 1988, 93, 3286–3296. [Google Scholar] [CrossRef]
- Yao, Y.; Liu, D.; Tang, D.; Tang, S.; Huang, W. Fractal characterization of adsorption-pores of coals from North China: An investigation on CH4 adsorption capacity of coals. Int. J. Coal Geol. 2008, 73, 27–42. [Google Scholar] [CrossRef]
- Qi, H.; Ma, J.; Wong, P.-Z. Adsorption isotherms of fractal surfaces. Colloids Surf. A Physicochem. Eng. Asp. 2002, 206, 401–407. [Google Scholar] [CrossRef]
- Wang, X.; Hou, J.; Li, S.; Dou, L.; Song, S.; Kang, Q.; Wang, D. Insight into the nanoscale pore structure of organic-rich shales in the Bakken Formation, USA. J. Pet. Sci. Eng. 2020, 191, 107182. [Google Scholar] [CrossRef]
- Pyun, S.-I.; Rhee, C.-K. An investigation of fractal characteristics of mesoporous carbon electrodes with various porestructures. Electrochim. Acta 2004, 49, 4171–4180. [Google Scholar] [CrossRef]
- Chhabra, A.; Jensen, R.V. Direct Determination of the f(α) Singularity Spectrum. Phys. Rev. Lett. 1989, 62, 1327–1330. [Google Scholar] [CrossRef] [PubMed]
- Thommes, M.; Kaneko, K.; Neimark, A.V.; Olivier, J.P.; Rodriguez-Reinoso, F.; Rouquerol, J.; Sing, K.S.W. Physisorption of gases, with special reference to the evaluation of surface area and pore size distribution (IUPAC Technical Report). Pure Appl. Chem. 2015, 87, 1051–1069. [Google Scholar] [CrossRef]
- Jiang, F.; Huang, R.; Hu, T.; Lv, J.; Huang, L.; Jiang, Z.; Hu, M.; Zhang, C.; Wu, G.; Wu, Y. Geological characteristics and classification evaluation of shale oil in Fengcheng Formation in Mahu sag, Junggar Basin. Acta Pet. Sin. 2022, 43, 899–911. [Google Scholar]
- Xi, Z.; Tang, S.; Li, J.; Li, L. Investigation of pore structure and fractal characteristics of marine-continental transitional shale in the east-central of Qinshui Basin. Nat. Gas Geosci. 2017, 28, 366–376. [Google Scholar]
- Zhang, Y.; Liu, J.; Xu, H.; Niu, X.; Qin, G.; Cao, D. Comparison between pore structure and fractal characteristics of continental and transitional coal measures shale: A case study of Yan’ an and Taiyuan formations at the northeastern margin of Ordos Basin. Acta Pet. Sin. 2017, 38, 1036–1046. [Google Scholar]
- Zhao, D.; Guo, Y.; Yang, Y.; Wang, S.; Mao, X.; Li, M. Shale reservoir diagenesis and its impacts on pores of the Lower Silurian Longmaxi Formation in southeastern Chongqing. J. Palaeogeogr. 2016, 18, 843–856. [Google Scholar]
- Gao, Z.; Fan, Y.; Hu, Q.; Jiang, Z.; Huang, Z.; Wang, Q.; Cheng, Y. Differential development characteristics of organic matter pores and their impact on reservoir space of Longmaxi Formation shale from the south Sichuan Basin. Pet. Sci. Bull. 2020, 5, 1–16. [Google Scholar]
- Li, Y. Pore Structure Characteristics of Shale Reservoirs and Their Effects on Oil-bearing Properties in the Zhanhua Sag. China Univ. Pet. 2018. [Google Scholar] [CrossRef]
- Xu, J.; Gao, C.; Liu, G. Characteristics and Controlling Factors of Microscopic Pore Structure of Continental Shale Gas in Ordos Basin. Bull. Sci. Technol. 2020, 36, 17–23. [Google Scholar]
- Yang, F.; Meng, X.; Wang, X.; Yu, P.; Shao, G.; Chen, H. Micro-Pore Characteristics and Influencing Factors of Fengcheng Formation Shale in Well Maye⁃1. Xinjiang Pet. Geol. 2022, 43, 1–10. [Google Scholar]












| Sample | Depth/m | Whole Rock Mineral/% | |||||
|---|---|---|---|---|---|---|---|
| Quartz | Potash Feldspar | Plagioclase | Calcite | Pyrite | Clay | ||
| HSX1-1 | 3345.10 | 51.50 | 0.00 | 13.49 | 17.63 | 3.06 | 14.33 |
| HSX1-2 | 3345.50 | 43.72 | 0.00 | 12.41 | 21.16 | 3.29 | 19.42 |
| HSX1-4 | 3347.00 | 36.79 | 4.80 | 15.57 | 18.53 | 4.76 | 19.56 |
| HSX1-6 | 3348.90 | 5.59 | 3.29 | 11.22 | 57.16 | 2.93 | 19.81 |
| HSX1-7 | 3424.22 | 51.07 | 0.00 | 13.18 | 24.18 | 3.65 | 7.93 |
| HSX1-8 | 3349.55 | 71.64 | 1.58 | 4.05 | 11.29 | 1.16 | 10.27 |
| HSX1-12 | 3352.22 | 38.94 | 5.08 | 28.04 | 11.16 | 3.10 | 13.68 |
| Sample | Pore Parameters of Study Samples from N2 Adsorption | |||
|---|---|---|---|---|
| BET SSA/ (m²/g) | Pore Volume 10−3 (cm3/g) | Average Pore Diameter/nm | Loop Type | |
| HSX1-1 | 0.5971 | 4.48 | 32.47 | H3 |
| HSX1-2 | 1.5058 | 5.80 | 19.57 | H2-H3 |
| HSX1-4 | 0.6390 | 3.84 | 26.78 | H3 |
| HSX1-6 | 1.1829 | 6.30 | 24.21 | H2-H3 |
| HSX1-7 | 1.1824 | 9.09 | 32.99 | H3 |
| HSX1-8 | 0.7649 | 5.67 | 32.16 | H3 |
| HSX1-12 | 1.7765 | 6.26 | 18.99 | H2-H3 |
| Sample | 0 < p/p0 < 0.5 | 0.5 < p/p0 < 1.0 | ||||
|---|---|---|---|---|---|---|
| Fitting Equation | R2 | D1 | Fitting Equation | R2 | D2 | |
| HSX1-1 | y = −0.6248x − 1.5672 | 0.9664 | 2.3752 | y = −0.6238x − 1.7586 | 0.9945 | 2.3762 |
| HSX1-2 | y = −0.4629x − 0.636 | 0.9997 | 2.5371 | y = −0.4691x − 0.6545 | 0.9941 | 2.5309 |
| HSX1-4 | y = −0.5469x − 1.5122 | 0.9676 | 2.4531 | y = −0.566x − 1.6463 | 0.9942 | 2.4340 |
| HSX1-6 | y = −0.4731x − 0.8812 | 0.9995 | 2.5269 | y = −0.5665x − 1.0181 | 0.9933 | 2.4335 |
| HSX1-7 | y = −0.5576x − 0.9124 | 0.9810 | 2.4424 | y = −0.6192x − 1.0469 | 0.9914 | 2.3808 |
| HSX1-8 | y = −0.5605x − 1.3506 | 0.9759 | 2.4395 | y = −0.6404x − 1.5487 | 0.9888 | 2.3596 |
| HSX1-12 | y = −0.5232x − 0.4937 | 0.9990 | 2.4768 | y = −0.4663x − 0.5300 | 0.9936 | 2.5337 |
| Sample | D0 | D−10 | D10 | D−10−D0 | D0−D10 | D−10−D10 | H | a−10 | a10 |
|---|---|---|---|---|---|---|---|---|---|
| HSX1-1 | 1.000 | 1.626 | 0.025 | 0.626 | 0.975 | 1.601 | 0.523 | 1.848 | 0.055 |
| HSX1-2 | 1.000 | 1.684 | 0.058 | 0.684 | 0.942 | 1.626 | 0.552 | 1.799 | 0.052 |
| HSX1-4 | 1.000 | 1.367 | 0.039 | 0.367 | 0.961 | 1.328 | 0.536 | 1.403 | 0.035 |
| HSX1-6 | 1.000 | 1.650 | 0.047 | 0.650 | 0.953 | 1.603 | 0.543 | 1.765 | 0.043 |
| HSX1-7 | 1.000 | 1.325 | 0.033 | 0.325 | 0.967 | 1.292 | 0.529 | 1.439 | 0.029 |
| HSX1-8 | 1.000 | 1.300 | 0.034 | 0.300 | 0.966 | 1.266 | 0.530 | 1.349 | 0.030 |
| HSX1-12 | 1.000 | 1.728 | 0.061 | 0.728 | 0.939 | 1.667 | 0.554 | 1.848 | 0.055 |
Disclaimer/Publisher’s Note: The statements, opinions and data contained in all publications are solely those of the individual author(s) and contributor(s) and not of MDPI and/or the editor(s). MDPI and/or the editor(s) disclaim responsibility for any injury to people or property resulting from any ideas, methods, instructions or products referred to in the content. |
© 2023 by the authors. Licensee MDPI, Basel, Switzerland. This article is an open access article distributed under the terms and conditions of the Creative Commons Attribution (CC BY) license (https://creativecommons.org/licenses/by/4.0/).
Share and Cite
Gao, W.; Chang, X.; Zhang, P.; Liu, Z.; Zeng, Z.; Wang, Y.; Ge, T. Characterization on Structure and Fractal of Shale Nanopore: A Case Study of Fengcheng Formation in Hashan Area, Junggar Basin, China. Processes 2023, 11, 677. https://doi.org/10.3390/pr11030677
Gao W, Chang X, Zhang P, Liu Z, Zeng Z, Wang Y, Ge T. Characterization on Structure and Fractal of Shale Nanopore: A Case Study of Fengcheng Formation in Hashan Area, Junggar Basin, China. Processes. 2023; 11(3):677. https://doi.org/10.3390/pr11030677
Chicago/Turabian StyleGao, Weizheng, Xiangchun Chang, Pengfei Zhang, Zhongquan Liu, Zhiping Zeng, Yue Wang, and Tianchen Ge. 2023. "Characterization on Structure and Fractal of Shale Nanopore: A Case Study of Fengcheng Formation in Hashan Area, Junggar Basin, China" Processes 11, no. 3: 677. https://doi.org/10.3390/pr11030677
APA StyleGao, W., Chang, X., Zhang, P., Liu, Z., Zeng, Z., Wang, Y., & Ge, T. (2023). Characterization on Structure and Fractal of Shale Nanopore: A Case Study of Fengcheng Formation in Hashan Area, Junggar Basin, China. Processes, 11(3), 677. https://doi.org/10.3390/pr11030677
