Mine Surface Settlement Prediction Based on Optimized VMD and Multi-Model Combination
Abstract
:1. Introduction
2. Methodology
2.1. Variational Mode Decomposition
2.2. SCSSA
2.3. SCSSA-VMD
- (1)
- Initialize the specific parameters for SSA and VMD;
- (2)
- Utilize a refracted backpropagation learning mechanism to initialize the sparrow population, decompose the original subsidence data using VMD, and use envelope entropy as the fitness function for global search.
- (3)
- Update the discoverer’s positions of the original Sparrow Algorithm using the Sine Cosine Strategy, improve the step-size search factor for the Sine Cosine Strategy, and update the follower’s positions of the original Sparrow Algorithm using the Cauchy mutation strategy.
- (4)
- Following steps 2 to 3, when the envelope entropy value reaches the minimum, obtain the current best two parameters (k, α) for VMD. Utilize these optimal parameters to perform VMD decomposition on the original subsidence data.
2.4. Sample Entropy
3. Prediction Model
3.1. ARIMA Model
3.2. BP Model
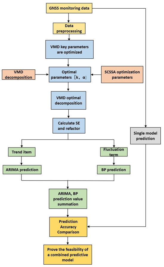
3.3. SCSSA-VMD-SE and ARIMA-BP Model
4. Engineering Overview
5. Engineering Case Analysis
5.1. Subsection
5.2. VMD Result Analysis
5.2.1. Optimization Result of VMD Using SCSSA
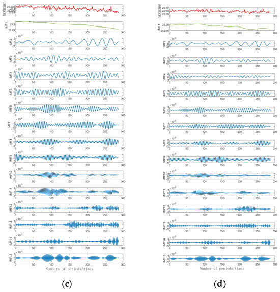
5.2.2. Decomposition of Settlement Data Using SCSSA-VMD
5.3. VMD Result Analysis
5.4. The Combined Model Prediction
5.4.1. Trend Component Prediction
5.4.2. Fluctuation Component Prediction
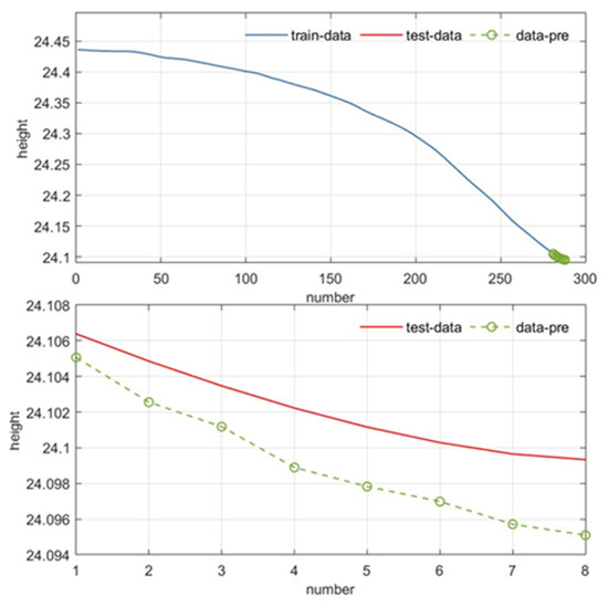
5.4.3. Accumulated Subsidence Prediction
6. Discussion
7. Conclusions
- (1)
- Upon proposing a novel optimization approach named the Sine Cosine Algorithm with a refraction reverse-learning mechanism and incorporating a Cauchy mutation strategy into SSA, we introduce the resulting method, referred to as SCSSA, to optimize VMD. Comparative analysis with other optimization algorithms reveals that SCSSA exhibits superior performance, characterized by faster convergence speed and higher optimization accuracy.
- (2)
- By utilizing the optimized VMD in an adaptive manner, the subsidence data sequences from the monitoring stations were effectively decomposed. The results indicate that SCSSA-VMD, when compared to other data preprocessing methods, demonstrates robust resistance to noise interference and maintains stable predictive performance.
- (3)
- Based on the SE values of the decomposed subsequences, effective data reconstruction can be achieved. The reconstructed sequences were forecasted using both the ARIMA model and the BP neural network model. The experimental results demonstrate that this approach further enhances prediction accuracy.
- (4)
- The experiments were independently conducted on data from the four GNSS monitoring stations on the 110801 working face. The experimental results indicate that SCSSA-VMD-SE-ARIMA-BP demonstrates the highest prediction accuracy. Furthermore, it displays excellent applicability across various monitoring station data, facilitating precise predictions for crucial subsidence points in the mining area.
Author Contributions
Funding
Data Availability Statement
Conflicts of Interest
References
- Gao, C.; Xu, N.; Liu, G.; Tian, G. Challenges and opportunities for the development of China’s coal industry. Coal Min. Technol. 2019, 24, 14–29. [Google Scholar]
- Wang, R. Research on Multi-Source Data Fusion Technology and Application of Mining Subsidence Monitoring; China University of Mining and Technology: Xuzhou, China, 2022. [Google Scholar]
- Tan, X.-Y.; Chen, W.; Wang, L.; Qin, C. Spatial deduction of mining-induced stress redistribution using an optimized non-negative matrix factorization model. J. Rock Mech. Geotech. Eng. 2023, 15, 2868–2876. [Google Scholar] [CrossRef]
- Holdahl, S.R.; Morrison, N.L. Regional investigations of vertical crustal movements in the U.S., using precise relevelings and mareograph data. Tectonophysics 1974, 23, 373–390. [Google Scholar] [CrossRef]
- Monserrat, O.; Crosetto, M. Deformation measurement using terrestrial laser scanning data and least squares 3D surface matching. ISPRS J. Photogram. Remote Sens. 2008, 63, 142–154. [Google Scholar] [CrossRef]
- Wang, H.; Cao, Y.; Wang, G.; Li, P.; Zhang, J.; Gong, Y. Improving Differential Interferometry Synthetic Aperture Radar Phase Unwrapping Accuracy with Global Navigation Satellite System Monitoring Data. Sustainability 2023, 15, 13277. [Google Scholar] [CrossRef]
- Yu, X.; Lv, W.; Ke, F.; Wang, L.; Zhao, X.; Liu, C.; Wang, S.; Zhang, C. Automatic Monitoring System for Coal Mine Subsidence; Surveying and Mapping Press: Beijing, China, 2014. [Google Scholar]
- Lv, W. Research on the Automatic Monitoring System for Coal Mining Subsidence; China University of Mining and Technology: Xuzhou, China, 2016. [Google Scholar]
- Zhang, J.; Qin, Y.; Zhang, X.; Che, G.; Sun, X.; Duo, H. Application of non-equidistant GM(1,1) model based on the fractional-order accumulation in building settlement monitoring. J. Intell. Fuzzy Syst. 2022, 42, 1559–1573. [Google Scholar] [CrossRef]
- Zhou, T.; Jie, Y.; Wei, Y.; Zhang, Y.; Chen, H. A real-time prediction interval correction method with an unscented Kalman filter for settlement monitoring of a power station dam. Sci. Rep. 2023, 13, 4055. [Google Scholar] [CrossRef]
- Hu, B.; Tan, H. Slope deformation analysis and forecast based on ARIMA model. Bull. Surv. Mapp. 2019, 6, 112–116. [Google Scholar]
- Kim, Y.; Son, M.; Moon, H.-K.; Lee, S.-A. A study on the development of an artificial neural network model for the prediction of ground subsidence over abandoned mines in Korea. Geosystem Eng. 2016, 20, 163–171. [Google Scholar] [CrossRef]
- Bates, J.M.; Granger, C. The combination of forecasts. J. Oper. Res. Soc. 1969, 20, 451–468. [Google Scholar] [CrossRef]
- Du, S.; Feng, G.; Wang, J.; Feng, S.; Malekian, R.; Li, Z. A New Machine-Learning Prediction Model for Slope Deformation of an Open-Pit Mine: An Evaluation of Field Data. Energies 2019, 12, 1288. [Google Scholar] [CrossRef]
- Han, Y.; Wang, Y.; Liu, C.; Hu, X.; Du, L. Application of regularized ELM optimized by sine algorithm in prediction of ground settlement around foundation pit. Environ. Earth Sci. 2022, 81, 413. [Google Scholar] [CrossRef]
- Xu, G.; Jing, Z.; Mao, Y.; Su, X. A Dam Deformation Prediction Model Based on ARIMALSTM. In Proceedings of the 2020 IEEE Sixth International Conference on Big Data Computing Service and Applications, Oxford, UK, 3–6 August 2020; pp. 205–211. [Google Scholar] [CrossRef]
- Kim, D.; Kwon, K.; Pham, K.; Oh, J.-Y.; Choi, H. Surface settlement prediction for urban tunneling using machine learning algorithms with Bayesian optimization. Autom. Constr. 2022, 140, 104331. [Google Scholar] [CrossRef]
- Kim, D.; Pham, K.; Oh, J.-Y.; Lee, S.-J.; Choi, H. Classification of surface settlement levels induced by TBM driving in urban areas using random forest with data-driven feature selection. Autom. Constr. 2022, 135, 104109. [Google Scholar] [CrossRef]
- Shahri, A.A.; Pashamohammadi, F.; Asheghi, R.; Shahri, H.A. Automated intelligent hybrid computing schemes to predict blasting induced ground vibration. Eng. Comput. 2021, 38, 3335–3349. [Google Scholar] [CrossRef]
- Nguyen, H.; Choi, Y.; Bui, X.-N.; Nguyen-Thoi, T. Predicting Blast-Induced Ground Vibration in Open-Pit Mines Using Vibration Sensors and Support Vector Regression-Based Optimization Algorithms. Sensors 2019, 20, 132. [Google Scholar] [CrossRef] [PubMed]
- Moghaddasi, M.R.; Noorian-Bidgoli, M. ICA-ANN, ANN and multiple regression models for prediction of surface settlement caused by tunneling. Tunn. Undergr. Space Technol. 2018, 79, 197–209. [Google Scholar] [CrossRef]
- Tang, L.; Na, S. Comparison of machine learning methods for ground settlement prediction with different tunneling datasets. J. Rock Mech. Geotech. Eng. 2021, 13, 1274–1289. [Google Scholar] [CrossRef]
- Su, J.; Wang, Y.; Niu, X.; Sha, S.; Yu, J. Prediction of ground surface settlement by shield tunneling using XGBoost and Bayesian Optimization. Eng. Appl. Artif. Intell. 2022, 114, 105020. [Google Scholar] [CrossRef]
- Liu, X.; Hussein, S.H.; Ghazali, K.H.; Tung, T.M.; Yaseen, Z.M. Optimized Adaptive Neuro-Fuzzy Inference System Using Metaheuristic Algorithms: Application of Shield Tunnelling Ground Surface Settlement Prediction. Complexity 2021, 2021, 6666699. [Google Scholar] [CrossRef]
- Tan, X.; Chen, W.; Wang, L.; Tan, X.; Yang, J. Integrated Approach for Structural Stability Evaluation Using Real-Time Monitoring and Statistical Analysis: Underwater Shield Tunnel Case Study. J. Perform. Constr. Facil. 2020, 34, 04019118. [Google Scholar] [CrossRef]
- Nourani, V.; Partoviyan, A. Hybrid denoising-jittering data pre-processing approach to enhance multi-step-ahead rainfall–runoff modeling. Stoch. Environ. Res. Risk Assess. 2018, 32, 545–562. [Google Scholar] [CrossRef]
- Zhang, J.; Cheng, Z. Prediction of Surface Subsidence of Deep Foundation Pit Based on Wavelet Analysis. Processes 2022, 11, 107. [Google Scholar] [CrossRef]
- Luo, X.; Gan, W.; Wang, L.; Chen, Y.; Meng, X. A Prediction Model of Structural Settlement Based on EMD-SVR-WNN. Adv. Civ. Eng. 2020, 2020, 8831965. [Google Scholar] [CrossRef]
- Lin, Z.; Ji, Y.; Liang, W.; Sun, X. Landslide Displacement Prediction Based on Time-Frequency Analysis and LMD-BiLSTM Model. Mathematics 2022, 10, 2203. [Google Scholar] [CrossRef]
- Guo, Z.; Chen, L.; Gui, L.; Du, J.; Yin, K.; Do, H.M. Landslide displacement prediction based on variational mode decomposition and WA-GWO-BP model. Landslides 2019, 17, 567–583. [Google Scholar] [CrossRef]
- Lu, T.; Xie, J. Deformation Monitoring Data De-Noising Method Based on Variational Mode Decomposition Combined with Sample Entropy. J. Geod. Geodyn. 2021, 41, 1–6. [Google Scholar]
- Wang, C.; Guo, W. Prediction of Landslide Displacement Based on the Variational Mode Decomposition and GWO-SVR Model. Sustainability 2023, 15, 5470. [Google Scholar] [CrossRef]
- Chen, X.; Yang, Z.; Tian, Z.; Yang, B.; Liang, P. Denoising Method for GNSS Time Series Based on GA-VMD and Multi-scale Permutation Entropy. Geomat. Inf. Sci. Wuhan Univ. 2023, 48, 1425–1434. [Google Scholar]
- Yao, G.; Wang, Y.; Benbouzid, M.; Ait-Ahmed, M. A Hybrid Gearbox Fault Diagnosis Method Based on GWO-VMD and DE-KELM. Appl. Sci. 2021, 11, 4996. [Google Scholar] [CrossRef]
- Gao, X.; Guo, W.; Mei, C.; Sha, J.; Guo, Y.; Sun, H. Short-term wind power forecasting based on SSA-VMD-LSTM. Energy Rep. 2023, 9, 335–344. [Google Scholar] [CrossRef]
- Liu, H.; Zhang, X. AQI time series prediction based on a hybrid data decomposition and echo state networks. Environ. Sci. Pollut. Res. 2021, 28, 51160–51182. [Google Scholar] [CrossRef] [PubMed]
- Dragomiretskiy, K.; Zosso, D. Variational Mode Decomposition. IEEE Trans. Signal Process. 2014, 62, 531–544. [Google Scholar] [CrossRef]
- Xue, J.; Shen, B. A novel swarm intelligence optimization approach: Sparrow search algorithm. Syst. Sci. Control. Eng. 2020, 8, 22–34. [Google Scholar] [CrossRef]
- Tizhoosh, H. Opposition-Based Learning: A New Scheme for Machine Intelligence. In Proceedings of the International Conference on Computational Intelligence for Modelling, Control and Automation and International Conference on Intelligent Agents, Web Technologies and Internet Commerce (CIMCA-IAWTIC’06), Vienna, Austria, 28–30 November 2005. [Google Scholar] [CrossRef]
- Mirjalili, S. SCA: A Sine Cosine Algorithm for solving optimization problems. Knowl.-Based Syst. 2016, 96, 120–133. [Google Scholar] [CrossRef]
- Li, A.; Quan, L.; Cui, G.; Xie, S. Sparrow search algorithm combining sine-cosine and Cauchy variation. Comput. Eng. Appl. 2022, 58, 91–99. [Google Scholar]
- Ling, Q.; Zhang, Q.; Zhang, J.; Kong, L.; Zhang, W.; Zhu, L. Prediction of landslide displacement using multi-kernel extreme learning machine and maximum information coefficient based on variational mode decomposition: A case study in Shaanxi, China. Nat. Hazards 2021, 108, 925–946. [Google Scholar] [CrossRef]
- Li, X.; Huang, Z.; Liu, S.; Wu, J.; Zhang, Y. Short-Term Subway Passenger Flow Prediction Based on Time Series Adaptive Decomposition and Multi-Model Combination (IVMD-SE-MSSA). Sustainability 2023, 15, 7949. [Google Scholar] [CrossRef]
- Bevis, M.; Businger, S.; Herring, T.A.; Rocken, C.; Anthes, R.A.; Ware, R.H. GPS meteorology: Remote sensing of atmospheric water vapor using the global positioning system. J. Geophys. Res. Atmos. 1992, 97, 15787–15801. [Google Scholar] [CrossRef]
- Jian, L. Research on the Method of Settlement Analysis of Geodetic Height in GPS Deformation Monitoring; Kunming University of Science and Technology: Kunming, China, 2015. [Google Scholar]
- Huang, X.; Cao, H.; Jia, B. Optimization of Levenberg Marquardt Algorithm Applied to Nonlinear Systems. Processes 2023, 11, 1794. [Google Scholar] [CrossRef]
- Asheghi, R.; Hosseini, S.A.; Saneie, M.; Shahri, A.A. Updating the neural network sediment load models using different sensitivity analysis methods: A regional application. J. Hydroinformatics 2020, 22, 562–577. [Google Scholar] [CrossRef]
- Dupuis, E.; Novo, D.; O’Connor, I.; Bosio, A. Sensitivity Analysis and Compression Opportunities in DNNs Using Weight Sharing. In Proceedings of the 2020 23rd International Symposium on Design and Diagnostics of Electronic Circuits & Systems (DDECS), Novi Sad, Serbia, 22–24 April 2020; pp. 1–6. [Google Scholar] [CrossRef]
- Battaglia, E.; Bioglio, L.; Pensa, R.G. Towards Content Sensitivity Analysis. In Advances in Intelligent Data Analysis XVIII; Berthold, M., Feelders, A., Krempl, G., Eds.; IDA 2020; Lecture Notes in Computer Science; Springer: Cham, Switzerland, 2020; Volume 12080. [Google Scholar]
- Shahri, A.A.; Chunling, S.; Larsson, S. A hybrid ensemble-based automated deep learning approach to generate 3D geo-models and uncertainty analysis. In Engineering with Computers; Springer: London, UK, 2023; pp. 1–16. [Google Scholar] [CrossRef]



















| Real-Time Dynamic Plane Accuracy | Real-Time Dynamic Vertical Accuracy | Static Differential Horizontal Accuracy | Static Differential Vertical Accuracy | Power | Data Transmission |
|---|---|---|---|---|---|
| 8 mm + 1 ppm | 15 mm + 1 ppm | 2.5 mm + 1 ppm | 5 mm + 1 ppm | 2–6 W | Built-in 4G SIM card communication module |
| Function | Dim | Range |
|---|---|---|
| 30 | [−10, 10] | |
| 30 | [−100, 100] | |
| 30 | [−32, 32] | |
| 30 | [−500, 500] |
| Algorithm | Parameter Settings |
|---|---|
| PSO | The inertia weight w is 0.8, learning factor c1 = c2 = 1.5, r1 and r2 are random values between 0 and 1. |
| GWO | The convergence factor a = 2 − t × (2/itermax), r1 and r2 are random values between 0 and 1. |
| SSA | Same as the ISSA algorithm. |
| Populations | Number of Iterations | Value Range of K | Value Range of α |
|---|---|---|---|
| 20 | 50 | [1, 15] | [100, 2500] |
| Datasets | Parameters | |
|---|---|---|
| k | α | |
| MCORS02 | 13 | 201 |
| MCORS06 | 15 | 2368 |
| MCORS07 | 15 | 1909 |
| MCORS08 | 15 | 2466 |
| Site | Model | RMSE (mm) | MSE (mm) | MAE (mm) |
|---|---|---|---|---|
| MCORS02 | ARIMA | 25.2937 | 0.063977 | 25.1135 |
| BP | 6.0569 | 0.003607 | 5.1651 | |
| SCSSA-VMD-ARIMA | 3.4066 | 0.001116 | 3.0128 | |
| SCSSA-VMD-BP | 6.8467 | 0.003950 | 5.9933 | |
| SSA-VMD-ARIMA-BP | 6.3112 | 0.0039831 | 5.2908 | |
| SCSSA-VMD-ARIMA-BP | 1.0529 | 0.0001108 | 0.8904 | |
| MCORS06 | ARIMA | 1.7966 | 0.003228 | 1.5076 |
| BP | 3.1568 | 0.009965 | 1.6678 | |
| SCSSA-VMD-ARIMA | 1.1310 | 0.001279 | 1.0385 | |
| SCSSA-VMD-BP | 1.8952 | 0.003592 | 1.4600 | |
| SSA-VMD-ARIMA-BP | 1.2840 | 0.001649 | 1.0819 | |
| SCSSA-VMD-ARIMA-BP | 0.7847 | 0.0006157 | 0.7029 | |
| MCORS07 | ARIMA | 2.3492 | 0.005519 | 2.0234 |
| BP | 1.0872 | 0.001182 | 0.6648 | |
| SCSSA-VMD-ARIMA | 1.3797 | 0.001903 | 1.1796 | |
| SCSSA-VMD-BP | 0.9178 | 0.000842 | 0.8801 | |
| SSA-VMD-ARIMA-BP | 2.2488 | 0.005057 | 1.8573 | |
| SCSSA-VMD-ARIMA-BP | 0.7197 | 0.0005179 | 0.6539 | |
| MCORS08 | ARIMA | 0.9810 | 0.0009643 | 0.7512 |
| BP | 2.2736 | 0.0051693 | 2.0039 | |
| SCSSA-VMD-ARIMA | 0.6135 | 0.0003764 | 0.5474 | |
| SCSSA-VMD-BP | 1.0698 | 0.0011445 | 0.9839 | |
| SSA-VMD-ARIMA-BP | 0.5242 | 0.0002748 | 0.4165 | |
| SCSSA-VMD-ARIMA-BP | 0.4635 | 0.0002148 | 0.4186 |
Disclaimer/Publisher’s Note: The statements, opinions and data contained in all publications are solely those of the individual author(s) and contributor(s) and not of MDPI and/or the editor(s). MDPI and/or the editor(s) disclaim responsibility for any injury to people or property resulting from any ideas, methods, instructions or products referred to in the content. |
© 2023 by the authors. Licensee MDPI, Basel, Switzerland. This article is an open access article distributed under the terms and conditions of the Creative Commons Attribution (CC BY) license (https://creativecommons.org/licenses/by/4.0/).
Share and Cite
Shen, L.; Lv, W. Mine Surface Settlement Prediction Based on Optimized VMD and Multi-Model Combination. Processes 2023, 11, 3309. https://doi.org/10.3390/pr11123309
Shen L, Lv W. Mine Surface Settlement Prediction Based on Optimized VMD and Multi-Model Combination. Processes. 2023; 11(12):3309. https://doi.org/10.3390/pr11123309
Chicago/Turabian StyleShen, Liyu, and Weicai Lv. 2023. "Mine Surface Settlement Prediction Based on Optimized VMD and Multi-Model Combination" Processes 11, no. 12: 3309. https://doi.org/10.3390/pr11123309
APA StyleShen, L., & Lv, W. (2023). Mine Surface Settlement Prediction Based on Optimized VMD and Multi-Model Combination. Processes, 11(12), 3309. https://doi.org/10.3390/pr11123309

