Zoning Productivity Calculation Method of Fractured Horizontal Wells in High-Water-Cut Tight Sandstone Gas Reservoirs under Complex Seepage Conditions
Abstract
:1. Introduction
2. Experimental Study on the Seepage Mechanism of Tight Cores
2.1. Characterization of Gas Slip Effects in Tight Water-Bearing Gas Reservoirs
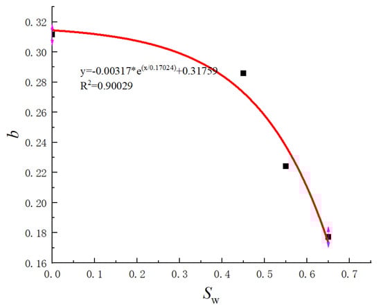
2.2. Stress-Sensitive Characterization of Tight Water-Bearing Gas Reservoirs
2.3. Characteristics of the TPG in Tight Water-Bearing Gas Reservoirs
2.4. Two-Phase Seepage Characteristics in Tight Water-Bearing Gas Reservoirs
3. Derivation of Productivity Equation for Fractured Horizontal Wells in High-Water-Cut Tight Gas Reservoirs
3.1. Definition of High-Water-Cut Tight Gas Reservoir
- (1)
- Gas slippage effect
- (2)
- Stress sensitivity effect.
- (3)
- Threshold pressure gradient
3.2. Zoning Productivity Physicochemical Mode of Fractured Horizontal Wells in High-Water-Cut Tight Gas Reservoirs under Complex Seepage Conditions
- Perforated and fractured horizontal wells are located in a central position of an isotropic, isothermal, top and bottom-sealed gas reservoir. Only the heterogeneity of permeability is considered.
- These artificial fractures are evenly distributed vertically along the wellbore, mirroring the gas reservoir’s height. They exhibit symmetrical distribution around the wellbore and possess infinite conductivity, situated at the midpoint of the gas reservoir.
- Isothermal gas seepage occurs, following the high-speed non-Darcy flow law inside the artificially fractured fractures. Fluid flow between matrix and fracture systems adheres to the low-speed non-Darcy seepage law.
- Both the reservoir and gas are compressible. The influence of gravity and capillary forces is neglected.
- The steady-state seepage of homogeneous gas–water two-phase fluids is assumed. Temperature changes and special physicochemical phenomena are ignored.
- Contamination on the fracture walls is not considered, and contamination in the near-wellbore zone and the reservoir is neglected. The effects of gravity and capillary forces are ignored, as well as the pressure drop in the wellbore.
3.3. Transformation of Heterogeneity
3.4. Derivation of Zoning Productivity Calculation Method for Fractured Horizontal Wells
3.4.1. Zone I Productivity Prediction Model
- (1)
- Linear flow stage.
- (2)
- Radial flow stage
3.4.2. Region II Productivity Prediction Model
3.4.3. Region III Productivity Prediction Model
3.4.4. Establishment of Hydraulic Fracturing Horizontal Well Productivity Equation
- (1)
- Single Fracture Productivity Equation Development
- (2)
- Equivalent wellbore radius model
- (3)
- Establishment of productivity equation for N fractures in hydraulic fracturing horizontal wells.
3.5. Example Calculation
4. Sensitivity Analysis
4.1. The Impact of Differential Stress Sensitivity in Different Regions
4.2. The Impact of Dynamic TPG in Tight Reservoirs
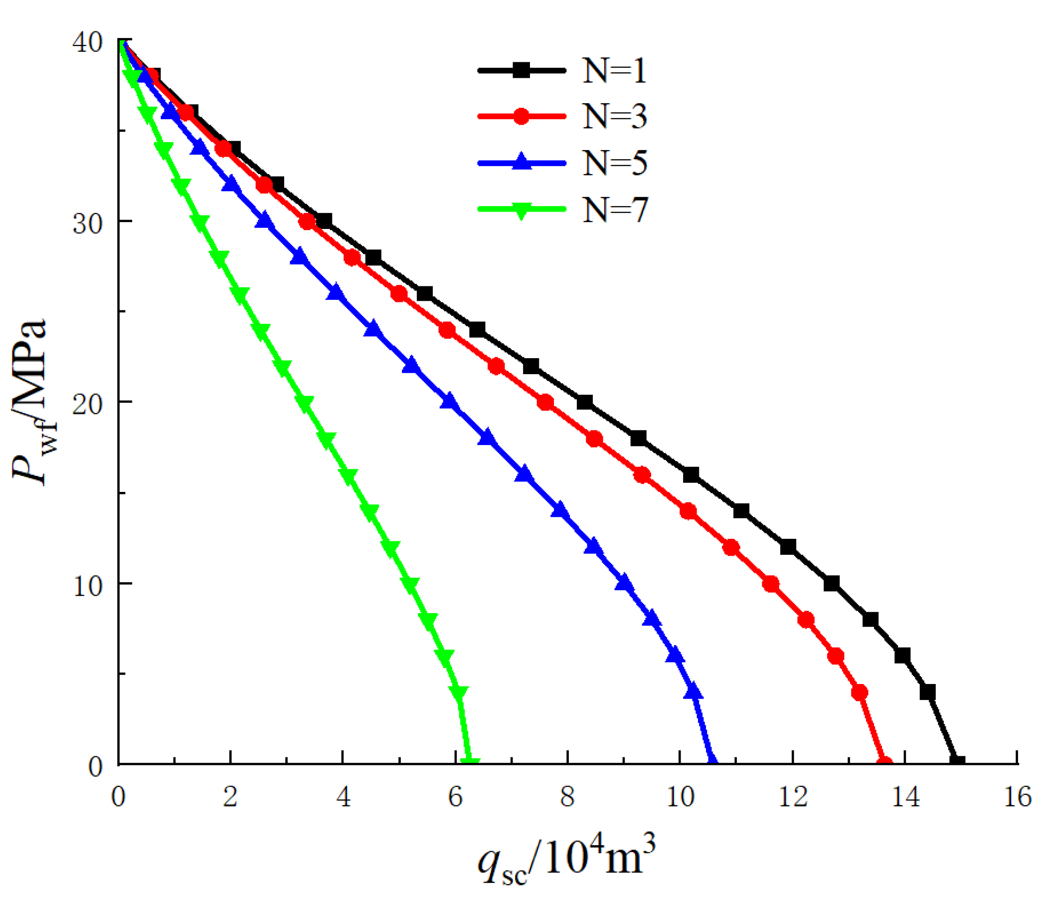
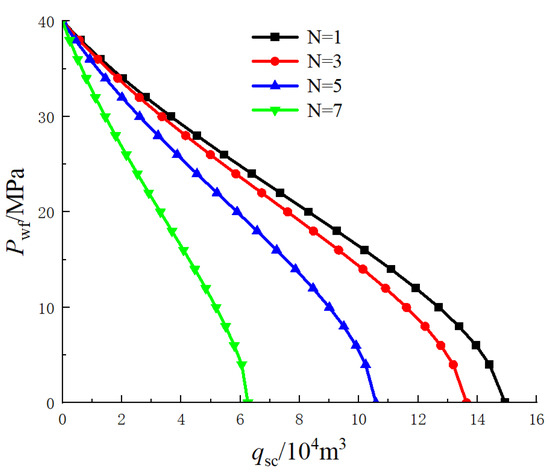
4.3. The Impact of the Number of Fractures on Productivity
4.4. The Impact of Water–Gas Ratio (WRG) on Gas Well Productivity
5. Summary
Author Contributions
Funding
Data Availability Statement
Conflicts of Interest
References
- Du, S.; Pang, S.; Shi, Y. Quantitative characterization on the microscopic pore heterogeneity of tight oil sandstone reservoir by considering both the resolution and representativeness. J. Pet. Sci. Eng. 2018, 169, 388–392. [Google Scholar] [CrossRef]
- Longde, S.U.N.; Caineng, Z.O.U.; Ailin, J.I.A.; Yunsheng, W.; Rukai, Z.; Songtao, W.; Zhi, G. Development characteristics and orientation of tight oil and gas in China. Pet. Explor. Dev. 2019, 46, 1073–1087. [Google Scholar]
- Hu, S.; Zhou, C.; Li, X.; Li, C.; Zhang, S. A tight sandstone trapezoidal pore oil saturation model. Pet. Explor. Dev. 2017, 44, 876–886. [Google Scholar] [CrossRef]
- Afagwu, C.; Alafnan, S.; Mahmoud, M.A.; Patil, S. Permeability model for shale and ultra-tight gas formations: Critical insights into the impact of dynamic adsorption. Energy Rep. 2021, 7, 3302–3316. [Google Scholar] [CrossRef]
- Wu, H.; Dong, X.; Xu, Y.; Xiong, G.; Shen, Z.; Wang, Y. Seepage Mechanism of Tight Sandstone Reservoir Based on Digital Core Simulation Method. Appl. Sci. 2021, 11, 3741. [Google Scholar] [CrossRef]
- El Sharawy, M.S.; Gaafar, G.R. Impacts of petrophysical properties of sandstone reservoirs on their irreducible water saturation: Implication and prediction. J. Afr. Earth Sci. 2019, 156, 118–132. [Google Scholar] [CrossRef]
- Firouzi, M.; Alnoaimi, K.; Kovscek, A.; Wilcox, J. Klinkenberg effect on predicting and measuring helium permeability in gas shales. Int. J. Coal Geol. 2014, 123, 62–68. [Google Scholar] [CrossRef]
- Wu, K.; Chen, Z.; Li, X.; Guo, C.; Wei, M. A model for multiple transport mechanisms through nanopores of shale gas reservoirs with real gas effect–adsorption-mechanic coupling. Int. J. Heat Mass Transf. 2016, 93, 408–426. [Google Scholar] [CrossRef]
- Wu, K.; Chen, Z.; Li, X. Real gas transport through nanopores of varying cross-section type and shape in shale gas reservoirs. Chem. Eng. J. 2015, 281, 813–825. [Google Scholar] [CrossRef]
- Matsuo, K.; Miyazato, Y.; Kim, H.D. Shock train and pseudo-shock phenomena in internal gas flows. Prog. Aerospace Sci. 1999, 35, 33–100. [Google Scholar] [CrossRef]
- Liu, X.; Yan, J.; Liu, Y. Slippage Effect and Quasi Starting Pressure in Low Permeability Water-Bearing Gas Reservoirs. In Proceedings of the SPE Reservoir Characterisation and Simulation Conference and Exhibition, Abu Dhabi, Saudi Arabia, 9–11 October 2011; OnePetro: Richardson, TX, USA, 2011. [Google Scholar]
- Li, J.; Chen, Z.; Wu, K.; Li, R.; Xu, J.; Liu, Q.; Li, X. Effect of water saturation on gas slippage in tight rocks. Fuel 2018, 225, 519–532. [Google Scholar] [CrossRef]
- Li, K.; Horne, R.N. Experimental study of gas slippage in two-phase flow. SPE Reserv. Eval. Eng. 2004, 7, 409–415. [Google Scholar] [CrossRef]
- Wu, Q.; Bai, B.; Ma, Y.; Ok, J.T.; Neeves, K.B.; Yin, X. Optic imaging of two-phase-flow behavior in 1D nanoscale channels. SPE J. 2014, 19, 793–802. [Google Scholar] [CrossRef]
- Geertsma, J. The effect of fluid pressure decline on volumetric changes of porous rocks. Transact. AIME 1957, 210, 331–340. [Google Scholar] [CrossRef]
- Wu, J.; Li, Y.; Cao, J.; Lü, D. A study on seepage characteristics and productivity of fractured tight reservoir Chang 3 in Weibei. J. Southw. Petrol. Univ. 2021, 43, 136. [Google Scholar]
- Wei, B.; Nie, X.; Zhang, Z.; Ding, J.; Shayireatehan, R.; Ning, P.; Deng, D.; Cao, Y. Productivity Equation of Fractured Vertical Well with Gas–Water Co-Production in High-Water-Cut Tight Sandstone Gas Reservoir. Processes 2023, 11, 3123. [Google Scholar] [CrossRef]
- Li, X.P.; Cao, L.N.; Luo, C.; Zhang, B.; Zhang, J.Q.; Tan, X.H. Characteristics of transient production rate performance of horizontal well in fractured tight gas reservoirs with stress-sensitivity effect. J. Pet. Sci. Eng. 2017, 158, 92–106. [Google Scholar] [CrossRef]
- Fu, X.; Agostini, F.; Skoczylas, F.; Jeannin, L. Experimental study of the stress dependence of the absolute and relative permeabilities of some tight gas sandstones. Int. J. Rock Mech. Min. Sci. 2015, 77, 36–43. [Google Scholar] [CrossRef]
- Zhaopeng, Y.; Zhiwei, W.; Yinghua, L.; Heng, Y.; Tianyuan, L. Effect of connate water on stress sensitivity of tight gas reservoirs. Energy Sour. Part A Recov. Util. Environ. Effects 2021, 43, 1227–1241. [Google Scholar] [CrossRef]
- Bohu, Z.; Ou, M.; Yongxiang, Z.; Xiaolong, Z. Study on rock stress sensitivity of fractured tight sandstone gas reservoir and analysis of productivity anomaly. Geomech. Geophys. Geo-Energy Geo-Resour. 2022, 8, 151. [Google Scholar] [CrossRef]
- Han, J.; Wu, C.; Jiang, X.; Fang, X.; Zhang, S. Investigation on effective stress coefficients and stress sensitivity of different water-saturated coals using the response surface method. Fuel 2022, 316, 123238. [Google Scholar] [CrossRef]
- Han, J.; Wu, C.; Wang, Z.; Zhang, S.; Wang, Z. Experimental Study of Water Distribution Affected by Stress Sensitivity and Pore–Fracture Compressibility of Low-Rank Coals with Different Levels of Water Saturation. Nat. Resour. Res. 2023, 32, 649–671. [Google Scholar] [CrossRef]
- Lei, J.; Meng, Z.; Shen, Z.; Chen, H. Experimental study on water saturation effect on coal sample permeability under different effective stresses. Nat. Hazards 2023, 116, 3139–3163. [Google Scholar] [CrossRef]
- Miller, R.J.; Low, P.F. Threshold gradient for water flow in clay systems. Soil Sci. Soc. Am. J. 1963, 27, 605–609. [Google Scholar] [CrossRef]
- Swartzendruber, D. Non-Darcy flow behavior in liquid-saturated porous media. J. Geophys. Res. 1962, 67, 5205–5213. [Google Scholar] [CrossRef]
- Liu, K.; Yin, D.; Su, H. Transient transfer shape factor for fractured tight reservoirs: Effect of the dynamic threshold pressure gradient in unsteady flow. Energy Sci. Eng. 2020, 8, 2566–2586. [Google Scholar] [CrossRef]
- Ding, J.; Yang, S.; Nie, X.; Wang, Z. Dynamic threshold pressure gradient in tight gas reservoir. J. Nat. Gas Sci. Eng. 2014, 20, 155–160. [Google Scholar] [CrossRef]
- Zafar, A.; Su, Y.L.; Li, L.; Fu, J.G. Tight gas production model considering TPG as a function of pore pressure, permeability and water saturation. Pet. Sci. 2020, 17, 1356–1369. [Google Scholar] [CrossRef]
- Song, H.; Cao, Y.; Yu, M.; Wang, Y.; Killough, J.E.; Leung, J. Impact of permeability heterogeneity on production characteristics in water-bearing tight gas reservoirs with threshold pressure gradient. J. Nat. Gas Sci. Eng. 2015, 22, 172–181. [Google Scholar] [CrossRef]
- Zhu, W.; Liu, Y.; Shi, Y.; Zou, G.; Zhang, Q.; Kong, D. Effect of dynamic threshold pressure gradient on production performance in water-bearing tight gas reservoir. Adv. Geo-Energy Res. 2022, 6, 286–295. [Google Scholar] [CrossRef]
- Wang, Q.; Shen, J.; Glover, P.W.; Lorinczi, P.; Duncan, I. Improving the Prediction of Production Loss in Heterogeneous Tight Gas Reservoirs Using Dynamic Threshold Pressure. Energy Fuels 2022, 36, 11991–12003. [Google Scholar] [CrossRef]
- Fu, J.; Su, Y.; Li, L.; Wang, W.; Wang, C.; Li, D. Productivity model with mechanisms of multiple seepage in tight gas reservoir. J. Pet. Sci. Eng. 2022, 209, 109825. [Google Scholar] [CrossRef]
- Klinkenberg, L.J. The Permeability of Porous Media to Liquids and Gases; American Petroleum Institute: Washington, DC, USA, 1941. [Google Scholar]






















| Serial Number | Well Number | Core Number | Sample Depth (m) | Length (cm) | Diameter (cm) | Permeability (mD) |
|---|---|---|---|---|---|---|
| 1 | X1 | 5-1/57 | 2819.80 | 6.058 | 2.522 | 0.1596 |
| 2 | X2 | 2-43/49 | 2994.97 | 5.693 | 2.520 | 1.4145 |
| 3 | X3 | 2-7/33 | 2872.18 | 6.208 | 2.510 | 0.2348 |
| 4 | X4 | 1-3/47 | 2941.38 | 5.026 | 2.520 | 1.0835 |
| Well Number | Water Saturation/% | Pressurization | |||
|---|---|---|---|---|---|
| 3 | 5 | 10 | 15 | ||
| X1 | 0 | 0.17082 | 0.17706 | 0.17794 | 0.17984 |
| 15 | 0.14246 | 0.14291 | 0.10449 | 0.10040 | |
| 30 | 0.08072 | 0.11535 | 0.05944 | 0.04743 | |
| 40 | 0.00313 | 0.00119 | 0.00006 | 0.00007 | |
| X2 | 0 | 0.08123 | 0.08420 | 0.08462 | 0.08552 |
| 15 | 0.06774 | 0.01291 | 0.04969 | 0.04774 | |
| 30 | 0.03839 | 0.00198 | 0.02826 | 0.02255 | |
| 40 | 0.00149 | 0.00057 | 0.00003 | 0.00003 | |
| X3 | 0 | 0.14961 | 0.15508 | 0.15585 | 0.15751 |
| 15 | 0.12477 | 0.02378 | 0.09151 | 0.08793 | |
| 30 | 0.07070 | 0.00365 | 0.05206 | 0.04154 | |
| 40 | 0.00274 | 0.00104 | 0.00006 | 0.00006 | |
| X4 | 0 | 0.08894 | 0.09219 | 0.09265 | 0.09363 |
| 15 | 0.07417 | 0.01414 | 0.05440 | 0.05227 | |
| 30 | 0.04203 | 0.00217 | 0.03095 | 0.02469 | |
| 40 | 0.00163 | 0.00062 | 0.00003 | 0.00004 | |
| Well Number | Core Number | Length (cm) | Diameter (cm) | Initial Permeability (mD) | Permeability at 40 Mpa (mD) | Sw (%) | Permeability Damage at 40 Mpa (%) | Stress Sensitivity Coefficient |
|---|---|---|---|---|---|---|---|---|
| X1 | 5-1/57 | 6.058 | 2.522 | 0.0967 | 0.0047 | 0 | 95.19 | 1.46 |
| 0.0605 | 0.0018 | 45 | 97.01 | 1.69 | ||||
| 0.0266 | 0.0005 | 55 | 98.25 | 1.94 | ||||
| 0.0100 | 0.00002 | 65 | 99.77 | 2.91 | ||||
| X1 | 6-14/18 | 5.264 | 2.512 | 0.1944 | 0.0172 | 0 | 91.18 | 1.17 |
| 0.1157 | 0.0082 | 45 | 92.93 | 1.27 | ||||
| 0.0807 | 0.0038 | 55 | 95.33 | 1.47 | ||||
| 0.0369 | 0.0003 | 65 | 99.22 | 2.33 | ||||
| X2 | 2-32/49 | 5.837 | 2.517 | 0.9215 | 0.2319 | 0 | 72.83 | 0.63 |
| 0.2886 | 0.0738 | 45 | 74.44 | 0.66 | ||||
| 0.1578 | 0.0235 | 55 | 85.09 | 0.92 | ||||
| 0.0810 | 0.0049 | 65 | 93.96 | 1.35 | ||||
| X3 | 2-7/33 | 6.208 | 2.510 | 0.1586 | 0.0208 | 0 | 84.86 | 0.91 |
| 0.1622 | 0.0214 | 45 | 86.80 | 0.97 | ||||
| 0.1338 | 0.0138 | 55 | 89.68 | 1.09 | ||||
| 0.0861 | 0.0044 | 65 | 94.91 | 1.43 | ||||
| X4 | 1-3/47 | 5.130 | 2.523 | 0.8514 | 0.3840 | 0 | 48.90 | 0.32 |
| 0.3758 | 0.1849 | 45 | 50.81 | 0.34 | ||||
| 0.1533 | 0.0667 | 55 | 56.48 | 0.40 | ||||
| 0.0423 | 0.0145 | 65 | 65.64 | 0.51 | ||||
| X5 | 1-5/47 | 5.026 | 2.520 | 0.5767 | 0.2266 | 0 | 53.70 | 0.37 |
| 0.3377 | 0.1487 | 45 | 55.97 | 0.39 | ||||
| 0.0453 | 0.0085 | 65 | 81.25 | 0.81 | ||||
| X6 | 4-46/55 | 5.569 | 2.519 | 0.7001 | 0.2888 | 0 | 58.74 | 0.43 |
| 0.4576 | 0.1247 | 45 | 72.75 | 0.63 | ||||
| 0.1144 | 0.0091 | 65 | 92.08 | 1.22 | ||||
| X7 | 1-5/38 | 6.125 | 2.472 | 0.7491 | 0.3430 | 0 | 49.22 | 0.33 |
| 0.2535 | 0.1233 | 45 | 51.38 | 0.35 | ||||
| 0.0194 | 0.0020 | 65 | 89.77 | 1.10 | ||||
| X8 | 3-45/51 | 6.270 | 2.443 | 0.2292 | 0.0692 | 0 | 69.81 | 0.58 |
| 0.3038 | 0.0726 | 45 | 76.08 | 0.69 | ||||
| 0.2311 | 0.0599 | 55 | 74.08 | 0.65 | ||||
| 0.1492 | 0.0289 | 65 | 80.65 | 0.79 |
| Well Number | Diameter (cm) | Length (cm) | Atmospheric Pressure Porosity (%) | Atmospheric Pressure Permeability (×10−3 μm2) | Remarks |
|---|---|---|---|---|---|
| X1 | 2.534 | 5.968 | 5.51 | 0.05 | Conventional Core Samples |
| X2 | 2.536 | 6.210 | 6.98 | 0.17 | Conventional Core Samples |
| X3 | 2.538 | 4.254 | 8.46 | 0.53 | Conventional Core Samples |
| X4 | 2.535 | 6.041 | 10.63 | 1.24 | Conventional Core Samples |
| X5 | 2.538 | 6.084 | 10.95 | 3.94 | Fractured Core Samples |
| Number | Well Number | Length (cm) | Diameter (cm) | Gas Permeability by Gas Measurement × 10−3 μm2 | Porosity (%) | Test Pressure Differential (Mpa) | Formation Water Permeability by Water Measurement × 10−3 μm2 | Water Saturation (%) | Gas Relative Permeability |
|---|---|---|---|---|---|---|---|---|---|
| 1 | X1 | 6.7 | 2.403 | 0.392 | 10.8 | 3.74 | 0.007 | 64.21 | 0.3716 |
| 2 | 4.45 | 63.36 | 0.4698 | ||||||
| 3 | 5.42 | 59.77 | 0.5934 | ||||||
| 4 | X2 | 5.537 | 2.475 | 1.997 | 10.8 | 1.54 | 0.044 | 58.96 | 0.5180 |
| 5 | 1.84 | 54.35 | 0.7120 | ||||||
| 6 | 2.17 | 49.91 | 0.8898 | ||||||
| 7 | X3 | 5.731 | 2.471 | 0.199 | 9.9 | 7.11 | 0.002 | 61.93 | 0.4750 |
| 8 | 8.78 | 57.92 | 0.6111 | ||||||
| 9 | 10.64 | 51.92 | 0.6625 | ||||||
| 10 | X4 | 6.27 | 2.443 | 1.028 | 16.6 | 1.08 | 0.087 | 63.95 | 0.6592 |
| 11 | 1.31 | 61.99 | 0.7192 | ||||||
| 12 | 1.52 | 61.24 | 0.7769 |
| Proppant Size (mm) | n | m |
|---|---|---|
| 2.12~3.18 | 1.21 | 3.23 |
| 1.27~2.54 | 1.34 | 2.63 |
| 0.64~1.27 | 1.65 | 1.65 |
| 0.42~0.64 | 1.60 | 1.10 |
Disclaimer/Publisher’s Note: The statements, opinions and data contained in all publications are solely those of the individual author(s) and contributor(s) and not of MDPI and/or the editor(s). MDPI and/or the editor(s) disclaim responsibility for any injury to people or property resulting from any ideas, methods, instructions or products referred to in the content. |
© 2023 by the authors. Licensee MDPI, Basel, Switzerland. This article is an open access article distributed under the terms and conditions of the Creative Commons Attribution (CC BY) license (https://creativecommons.org/licenses/by/4.0/).
Share and Cite
Wei, B.; Nie, X.; Zhang, Z.; Ding, J.; Shayireatehan, R.; Ning, P.; Deng, D.-t.; Xiong, J. Zoning Productivity Calculation Method of Fractured Horizontal Wells in High-Water-Cut Tight Sandstone Gas Reservoirs under Complex Seepage Conditions. Processes 2023, 11, 3308. https://doi.org/10.3390/pr11123308
Wei B, Nie X, Zhang Z, Ding J, Shayireatehan R, Ning P, Deng D-t, Xiong J. Zoning Productivity Calculation Method of Fractured Horizontal Wells in High-Water-Cut Tight Sandstone Gas Reservoirs under Complex Seepage Conditions. Processes. 2023; 11(12):3308. https://doi.org/10.3390/pr11123308
Chicago/Turabian StyleWei, Benchi, Xiangrong Nie, Zonghui Zhang, Jingchen Ding, Reyizha Shayireatehan, Pengzhan Ning, Ding-tian Deng, and Jiao Xiong. 2023. "Zoning Productivity Calculation Method of Fractured Horizontal Wells in High-Water-Cut Tight Sandstone Gas Reservoirs under Complex Seepage Conditions" Processes 11, no. 12: 3308. https://doi.org/10.3390/pr11123308
APA StyleWei, B., Nie, X., Zhang, Z., Ding, J., Shayireatehan, R., Ning, P., Deng, D.-t., & Xiong, J. (2023). Zoning Productivity Calculation Method of Fractured Horizontal Wells in High-Water-Cut Tight Sandstone Gas Reservoirs under Complex Seepage Conditions. Processes, 11(12), 3308. https://doi.org/10.3390/pr11123308
