Pore Structure Multifractal Characteristics of Coal Reservoirs in the Central and Eastern Qinshui Basin and Influencing Factors
Abstract
:1. Introduction
2. Samples and Experimental Methods
2.1. Samples
2.2. Experiments
2.3. Calculation of Multifractal Dimension
3. Results
3.1. Coal Lithotype and Quality
3.2. Pore Structure Based on Nuclear Magnetic Resonance
3.3. Multifractal Dimension
4. Discussion
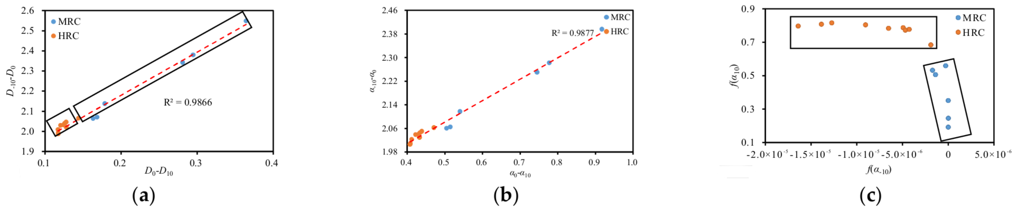
4.1. Multifractal Dimension as an Indicator of Pore Structure Heterogeneity
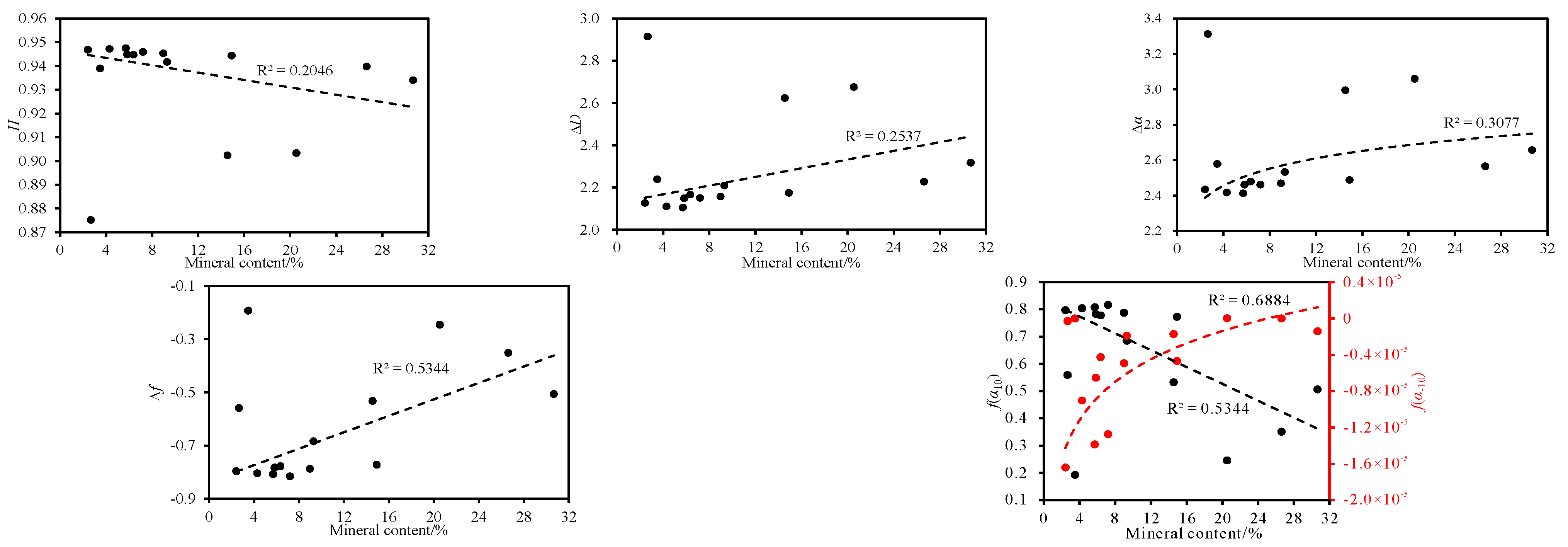
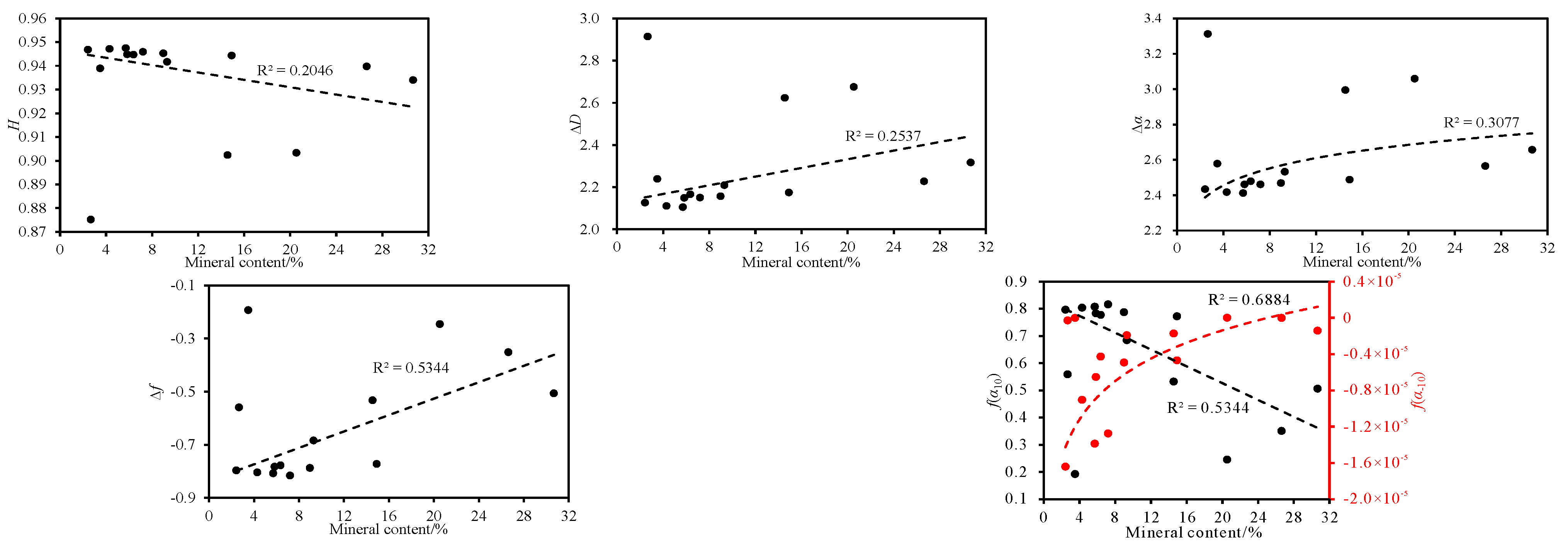
4.2. Influencing Factors of Pore Structure Heterogeneity
5. Conclusions
- The LF-NMR T2 spectrum of coal samples shows a bimodal or trimodal pattern. The high-rank coal belongs to the dominant microporous type, while the middle-rank coal belongs to the macroporous and mesoporous, macroporous and microporous coexisting type. The connectivity between micropores, macropores, mesopores and microfractures in medium-rank coal is better than that in high-rank coal.
- The pore size distribution of medium-high rank coal has obvious multifractal characteristics, and the Dq-q spectrum has a monotonically decreasing inverse S-shape. The capacity dimension D0 is 1, the information dimension D1 is between 0.81 and 0.90, and the correlation dimension D2 is between 0.75 and 0.89. The f(α)-α spectra are continuously convex parabola shapes, Δf is between −0.82~ and −0.19, and Rd is between −1.62~ and −1.48. Sparse regions (low-value information) dominate the pore distribution and have a more significant impact on the distribution of pore space. Meanwhile, the multifractal characteristics of the pore structure in sparse regions are more significant and complex.
- The homogeneity degree of the pore structure and pore connectivity is improved with the increase of Ro,max, Mad and vitrinite content and deteriorates with increasing mineral content and inertinite content.
Author Contributions
Funding
Data Availability Statement
Conflicts of Interest
References
- Ozdemir, E. Modeling of coal bed methane (CBM) production and CO2 sequestration in coal seams. Int. J. Coal Geol. 2009, 77, 145–152. [Google Scholar] [CrossRef] [Green Version]
- Clarkson, C.R.; Qanbari, F. Transient flow analysis and partial water relative permeability curve derivation for low permeability undersaturated coalbed methane wells. Int. J. Coal Geol. 2015, 152, 110–124. [Google Scholar] [CrossRef]
- Li, H.; Shi, S.; Lu, J.; Ye, Q.; Lu, Y.; Zhu, X. Pore structure and multifractal analysis of coal subjected to microwave heating. Powder Technol. 2019, 346, 97–108. [Google Scholar] [CrossRef]
- Bustin, A.M.M.; Bustin, R.M. Total gas-in-place, gas composition and reservoir properties of coal of the Mannville coal measures, Central Alberta. Int. J. Coal Geol. 2016, 153, 127–143. [Google Scholar] [CrossRef]
- Cui, X.; Bustin, A.M.M.; Bustin, R.M. Measurements of gas permeability and diffusivity of tight reservoir rocks: Different approaches and their applications. Geofluids 2009, 9, 208–223. [Google Scholar] [CrossRef]
- Zhang, R.; Liu, S.M. Experimental and theoretical characterization of methane and CO2 sorption hysteresis in coals based on Langmuir desorption. Int. J. Coal Geol. 2017, 171, 49–60. [Google Scholar] [CrossRef]
- Lopes, R.; Betrouni, N. Fractal and multifractal analysis: A review. Med. Image Anal. 2009, 13, 634–649. [Google Scholar] [CrossRef]
- Song, Z.Z.; Liu, G.D.; Yang, W.W.; Zou, H.Y.; Sun, M.L.; Wang, X.L. Multi-fractal distribution analysis for pore structure characterization of tight sandstone—A case study of the Upper Paleozoic tight formations in the Longdong District, Ordos Basin. Mar. Pet. Geol. 2018, 92, 842–854. [Google Scholar] [CrossRef]
- Zhao, P.; Wang, Z.; Sun, Z.; Cai, J.; Wang, L. Investigation on the pore structure and multifractal characteristics of tight oil reservoirs using NMR measurements: Permian Lucaogou Formation in Jimusaer Sag, Junggar Basin. Mar. Pet. Geol. 2017, 86, 1067–1081. [Google Scholar] [CrossRef]
- Gould, D.J.; Vadakkan, T.J.; Poche, R.A.; Dickinson, M.E. Multifractal and lacunarity analysis of microvascular morphology and remodeling. Microcirculation 2011, 18, 136–151. [Google Scholar] [CrossRef]
- Zhang, Z.; Weller, A. Fractal dimension of pore-space geometry of an Eocene sandstone formation. Geophysics 2014, 79, D377–D387. [Google Scholar] [CrossRef]
- Yao, Y.B.; Liu, D.M.; Che, Y.; Tang, D.Z.; Tang, S.H.; Huang, W.H. Petrophysical characterization of coals by low-field nuclear magnetic resonance (NMR). Fuel 2010, 89, 1371–1380. [Google Scholar] [CrossRef]
- Zheng, S.; Yao, Y.; Liu, D.; Cai, Y.; Liu, Y. Characterizations of full-scale pore size distribution, porosity and permeability of coals: A novel methodology by nuclear magnetic resonance and fractal analysis theory. Int. J. Coal Geol. 2018, 196, 148–158. [Google Scholar] [CrossRef]
- Lai, F.; Li, Z.; Zhang, W.; Dong, H.; Kong, F.; Jiang, Z. Investigation of pore characteristics and irreducible water saturation of tight reservoir using experimental and theoretical methods. Energy Fuels 2018, 32, 3368–3379. [Google Scholar] [CrossRef]
- Lai, J.; Wang, G.; Cao, J.; Xiao, C.; Wang, S.; Pang, X.; Dai, Q.; He, Z.; Fan, X.; Yang, L.; et al. Investigation of pore structure and petrophysical property in tight sandstones. Mar. Pet. Geol. 2018, 91, 179–189. [Google Scholar] [CrossRef]
- Lai, J.; Wang, G.; Fan, Z.; Zhou, Z.; Chen, J.; Wang, S. Fractal analysis of tight shaly sandstones using nuclear magnetic resonance measurements. Aapg Bull. 2018, 102, 175–193. [Google Scholar] [CrossRef]
- Lai, J.; Wang, G.; Wang, Z.; Chen, J.; Pang, X.; Wang, S.; Zhou, Z.; He, Z.; Qin, Z.; Fan, X. A review on pore structure characterization in tight sandstones. Earth-Sci. Rev. 2018, 177, 436–457. [Google Scholar] [CrossRef]
- Shao, X.H.; Pang, X.Q.; Li, H.; Zhang, X. Fractal analysis of pore network in tight gas sandstones using NMR method: A case study from the Ordos Basin, China. Energy Fuels 2017, 31, 10358–10368. [Google Scholar] [CrossRef]
- Qin, L.; Zhai, C.; Liu, S.; Xu, J.; Wu, S.; Dong, R. Fractal dimensions of low rank coal subjected to liquid nitrogen freeze-thaw based on nuclear magnetic resonance applied for coalbed methane recovery. Powder Technol. 2018, 325, 11–20. [Google Scholar] [CrossRef]
- Zheng, S.; Yao, Y.; Liu, D.; Cai, Y.; Liu, Y. Nuclear magnetic resonance surface relaxivity of coals. Int. J. Coal Geol. 2019, 205, 1–13. [Google Scholar] [CrossRef]
- Hu, Y.; Guo, Y.; Zhang, J.; Shangguan, J.; Li, M.; Quan, F.; Li, G. A method to determine nuclear magnetic resonance T-2 cutoff value of tight sandstone reservoir based on multifractal analysis. Energy Sci. Eng. 2020, 8, 1135–1148. [Google Scholar] [CrossRef] [Green Version]
- Halsey, T.C.; Jensen, M.H.; Kadanoff, L.P.; Procaccia, I.; Shraiman, B.I. Fractal measures and their singularities: The characterization of strange sets. Phys. Rev. A 1986, 33, 1141–1151. [Google Scholar] [CrossRef]
- Muller, J. Characterization of pore space in chalk by multifractal analysis. J. Hydrol. 1996, 187, 215–222. [Google Scholar] [CrossRef]
- Chhabra, A.; Jensen, R.V. Direct determination of the f(α) singularity spectrum. Phys. Rev. Lett. 1989, 62, 1327–1330. [Google Scholar] [CrossRef] [PubMed]
- Riedi, R.H.; Crouse, M.S.; Ribeiro, V.J.; Baraniuk, R.G. A multifractal wavelet model with application to network traffic. IEEE Trans. Inf. Theory 1999, 45, 992–1018. [Google Scholar] [CrossRef] [Green Version]
- Li, W.; Liu, H.F.; Song, X.X. Multifractal analysis of Hg pore size distributions of tectonically deformed coals. Int. J. Coal Geol. 2015, 144, 138–152. [Google Scholar] [CrossRef]
- Zhang, M.; Fu, X.H.; Duan, C.C.; Li, Y.S. Influencing factor analysis of the coal matrix compressibility of middle-high rank coals. J. Nat. Gas Sci. Eng. 2020, 81, 103462. [Google Scholar] [CrossRef]
- Xie, S.B.; Yao, Y.B.; Chen, J.Y.; Yao, W. Research of micro-pore structure in coal reservoir using low-field NMR. J. China Coal Soc. 2015, 40, 170–176. (in Chinese). [Google Scholar] [CrossRef]
- Zhang, Y.B.; Li, Q.G.; Hu, Q.T.; Zhai, C.; Song, M.Y.; Xu, J.Z.; Deng, Y.Z.; Liu, P.; Sun, Y.; Shi, J.L.; et al. Pore wetting process characterization of Equal-Sized granular coals by using LF-NMR technology. Fuel 2022, 313, 122670. [Google Scholar] [CrossRef]
- Torre, I.G.; Losada, J.C.; Heck, R.J.; Tarquis, A.M. Multifractal analysis of 3D images of tillage soil. Geoderma 2018, 311, 167–174. [Google Scholar] [CrossRef]
- Caniego, F.J.; Martin, M.A.; San Jose, F. Renyi dimensions of soil pore size distribution. Geoderma 2003, 112, 205–216. [Google Scholar] [CrossRef]
- Liu, K.Q.; Ostadhassan, M.; Zou, J.; Gentzis, T.; Rezaee, R.; Bubach, B.; Carvajal-Ortiz, H. Multifractal analysis of gas adsorption isotherms for pore structure characterization of the Bakken Shale. Fuel 2018, 219, 296–311. [Google Scholar] [CrossRef] [Green Version]
- Paz-Ferreiro, J.; Vazquez, E.V.; Miranda, J.G.V. Assessing soil particle-size distribution on experimental plots with similar texture under different management systems using multifractal parameters. Geoderma 2010, 160, 47–56. [Google Scholar] [CrossRef]
- Vazquez, E.V.; Ferreiro, J.P.; Miranda, J.G.V.; Gonzalez, A.P. Multifractal analysis of pore size distributions as affected by simulated rainfall. Vadose Zone J. 2008, 7, 500–511. [Google Scholar] [CrossRef]
- Zhu, J.-F.; Liu, J.-Z.; Yang, Y.-M.; Cheng, J.; Zhou, J.-H.; Cen, K.-F. Fractal characteristics of pore structures in 13 coal specimens: Relationship among fractal dimension, pore structure parameter, and slurry ability of coal. Fuel Process. Technol. 2016, 149, 256–267. [Google Scholar] [CrossRef]
- Naveen, P.; Asif, M.; Ojha, K. Integrated fractal description of nanopore structure and its effect on CH4 adsorption on Jharia coals, India. Fuel 2018, 232, 190–204. [Google Scholar] [CrossRef]
- Pan, J.; Zhu, H.; Hou, Q.; Wang, H.; Wang, S. Macromolecular and pore structures of Chinese tectonically deformed coal studied by atomic force microscopy. Fuel 2015, 139, 94–101. [Google Scholar] [CrossRef]
- Gao, M.; Ji, P.; Miao, Z.; Wan, K.; He, Q.; Xue, S.; Pei, Z. Pore structure evolution and fractal characteristics of Zhaotong lignite during drying. Fuel 2020, 267. [Google Scholar] [CrossRef]
- Zhao, L.; Ni, G.; Sun, L.; Qian, S.; Shang, L.; Kai, D.; Xie, J.; Gang, W. Effect of ionic liquid treatment on pore structure and fractal characteristics of low rank coal. Fuel 2020, 262, 117309. [Google Scholar] [CrossRef]
- Yi, M.H.; Cheng, Y.P.; Wang, C.H.; Wang, Z.Y.; Hu, B.; He, X.X. Effects of composition changes of coal treated with hydrochloric acid on pore structure and fractal characteristics. Fuel 2021, 294, 120506. [Google Scholar] [CrossRef]
- Ni, G.; Li, S.; Rahman, S.; Xun, M.; Wang, H.; Xu, Y.; Xie, H. Effect of nitric acid on the pore structure and fractal characteristics of coal based on the low-temperature nitrogen adsorption method. Powder Technol. 2020, 367, 506–516. [Google Scholar] [CrossRef]
- Clarkson, C.R.; Bustin, R.M. Variation in micropore capacity and size distribution with composition in bituminous coal of the Western Canadian Sedimentary Basin: Implications for coalbed methane potential. Fuel 1996, 75, 1483–1498. [Google Scholar] [CrossRef]
- Lin, Y.; Qin, Y.; Qiao, J.; Li, G.; Zhang, H. Effect of coalification and maceration on pore differential development characteristics of high-volatile bituminous coal. Fuel 2022, 318, 123634. [Google Scholar] [CrossRef]












| Samples | Ro,max % | Mad % | Ad % | Vdaf % | V % | I % | Mineral % | BJH cm3·g−1 | BET SSA m2·g−1 | ρ2 10−8 m/ms |
|---|---|---|---|---|---|---|---|---|---|---|
| HA | 1.54 | 0.98 | 12.65 | 22.93 | 50.84 | 49.16 | 20.53 | 0.00280 | 0.54 | 0.48 |
| XZ | 1.88 | 0.82 | 24.20 | 29.80 | 82.30 | 17.70 | 30.67 | 0.00190 | 0.44 | 0.52 |
| SBG | 1.97 | 1.51 | 15.23 | 17.10 | 87.75 | 12.25 | 14.54 | 0.00250 | 0.43 | 0.65 |
| SYFD | 1.59 | 1.01 | 3.82 | 16.08 | 86.59 | 13.41 | 3.48 | 0.00260 | 0.26 | 1.00 |
| WZ | 1.73 | 1.12 | 5.24 | 16.00 | 68.31 | 31.69 | 2.66 | 0.00160 | 0.09 | 1.78 |
| DZ | 1.63 | 0.66 | 19.45 | 28.29 | 68.88 | 31.12 | 26.63 | 0.00230 | 0.54 | 0.43 |
| XL | 2.04 | 1.02 | 13.36 | 16.77 | 57.05 | 42.95 | 9.30 | 0.00110 | 0.07 | 1.75 |
| BF-1 | 2.52 | 1.72 | 14.06 | 9.76 | 80.51 | 12.29 | 7.20 | 0.00068 | 0.19 | 0.40 |
| BF-2 | 2.59 | 1.24 | 13.97 | 9.35 | 78.09 | 17.62 | 4.29 | 0.00052 | 0.15 | 0.39 |
| BF-3 | 2.78 | 2.07 | 12.19 | 9.59 | 85.53 | 8.77 | 5.70 | 0.00052 | 0.15 | 0.47 |
| GL-1 | 2.72 | 2.18 | 8.32 | 9.29 | 88.75 | 5.42 | 5.83 | 0.00072 | 0.20 | 0.40 |
| GL-2 | 2.71 | 2.32 | 10.16 | 9.83 | 77.73 | 15.91 | 6.36 | 0.00074 | 0.21 | 0.40 |
| YC | 2.59 | 1.58 | 13.81 | 10.85 | 82.06 | 8.97 | 8.97 | 0.00105 | 0.25 | 0.47 |
| CP | 2.59 | 1.64 | 23.00 | 11.90 | 69.74 | 15.35 | 14.91 | 0.00180 | 2.52 | 0.08 |
| ZZ | 2.48 | 2.08 | 9.78 | 11.50 | 79.35 | 18.22 | 2.42 | 0.00056 | 0.12 | 0.62 |
| Samples | D-10 | D0 | D1 | D2 | D10 | D0-D1 | H | ∆D | α-10 | α0 | α10 | α0-α10 | α-10-α0 | ∆α | Rd |
|---|---|---|---|---|---|---|---|---|---|---|---|---|---|---|---|
| HA | 3.38 | 1.00 | 0.85 | 0.81 | 0.71 | 0.154 | 0.90 | 2.68 | 3.72 | 1.44 | 0.66 | 0.78 | 2.28 | 3.06 | −1.51 |
| XZ | 3.07 | 1.00 | 0.89 | 0.88 | 0.83 | 0.107 | 0.94 | 2.24 | 3.38 | 1.31 | 0.80 | 0.51 | 2.06 | 2.58 | −1.55 |
| SBG | 3.06 | 1.00 | 0.89 | 0.88 | 0.84 | 0.106 | 0.94 | 2.23 | 3.37 | 1.31 | 0.81 | 0.50 | 2.06 | 2.57 | −1.56 |
| SYFD | 3.55 | 1.00 | 0.81 | 0.75 | 0.64 | 0.193 | 0.88 | 2.91 | 3.90 | 1.51 | 0.59 | 0.92 | 2.40 | 3.31 | −1.48 |
| WZ | 3.14 | 1.00 | 0.89 | 0.87 | 0.82 | 0.114 | 0.93 | 2.32 | 3.45 | 1.34 | 0.80 | 0.54 | 2.12 | 2.66 | −1.58 |
| DZ | 3.34 | 1.00 | 0.84 | 0.80 | 0.72 | 0.156 | 0.90 | 2.62 | 3.68 | 1.43 | 0.68 | 0.74 | 2.25 | 3.00 | −1.51 |
| XL | 3.07 | 1.00 | 0.90 | 0.88 | 0.86 | 0.104 | 0.94 | 2.21 | 3.37 | 1.31 | 0.84 | 0.47 | 2.06 | 2.53 | −1.59 |
| BF-1 | 3.01 | 1.00 | 0.90 | 0.89 | 0.88 | 0.097 | 0.95 | 2.13 | 3.31 | 1.29 | 0.88 | 0.41 | 2.02 | 2.43 | −1.61 |
| BF-2 | 3.03 | 1.00 | 0.90 | 0.89 | 0.88 | 0.098 | 0.95 | 2.15 | 3.33 | 1.29 | 0.87 | 0.42 | 2.04 | 2.46 | −1.62 |
| BF-3 | 2.99 | 1.00 | 0.90 | 0.89 | 0.88 | 0.096 | 0.95 | 2.11 | 3.29 | 1.28 | 0.88 | 0.41 | 2.01 | 2.42 | −1.60 |
| GL-1 | 3.03 | 1.00 | 0.90 | 0.89 | 0.88 | 0.099 | 0.95 | 2.16 | 3.34 | 1.30 | 0.87 | 0.43 | 2.04 | 2.47 | −1.61 |
| GL-2 | 3.05 | 1.00 | 0.90 | 0.89 | 0.87 | 0.101 | 0.94 | 2.17 | 3.35 | 1.30 | 0.86 | 0.44 | 2.05 | 2.49 | −1.61 |
| YC | 3.04 | 1.00 | 0.90 | 0.89 | 0.87 | 0.100 | 0.94 | 2.17 | 3.34 | 1.30 | 0.87 | 0.43 | 2.05 | 2.48 | −1.61 |
| CP | 3.02 | 1.00 | 0.90 | 0.89 | 0.87 | 0.099 | 0.94 | 2.15 | 3.32 | 1.29 | 0.86 | 0.43 | 2.03 | 2.46 | −1.60 |
| ZZ | 2.99 | 1.00 | 0.90 | 0.89 | 0.88 | 0.095 | 0.95 | 2.11 | 3.29 | 1.28 | 0.87 | 0.41 | 2.01 | 2.41 | −1.60 |
| Parameters | D-10 | D1 | D2 | D10 | D0-D1 | H | ∆D | α-10 | α0 | α10 | α0-α10 | α-10-α0 | ∆α | Rd |
|---|---|---|---|---|---|---|---|---|---|---|---|---|---|---|
| D-10 | 1 | −0.981 | −0.989 | −0.992 | 0.995 | −0.989 | 0.999 | 1.00 | 0.999 | −0.984 | 0.995 | 1.00 | 0.997 | 0.924 |
| D1 | 1 | 0.996 | 0.986 | −0.994 | 0.973 | −0.984 | −0.983 | −0.984 | 0.976 | −0.983 | −0.980 | −0.983 | −0.940 | |
| D2 | 1 | 0.987 | −0.998 | 0.980 | −0.989 | −0.990 | −0.991 | 0.976 | −0.986 | −0.988 | −0.987 | −0.929 | ||
| D10 | 1 | −0.992 | 0.988 | −0.996 | −0.993 | −0.992 | 0.997 | −0.999 | −0.990 | −0.997 | −0.963 | |||
| D0-D1 | 1 | −0.986 | 0.995 | 0.996 | 0.996 | −0.982 | 0.992 | 0.994 | 0.994 | 0.932 | ||||
| H | 1 | −0.989 | −0.989 | −0.989 | 0.980 | −0.987 | −0.988 | −0.989 | −0.928 | |||||
| ∆D | 1 | 0.999 | 0.999 | −0.991 | 0.998 | 0.998 | 1 | 0.940 | ||||||
| α-10 | 1 | 1.000 | −0.986 | 0.996 | 0.999 | 0.998 | 0.928 | |||||||
| α0 | 1 | −0.985 | 0.995 | 0.999 | 0.997 | 0.928 | ||||||||
| α10 | 1 | −0.997 | −0.982 | −0.994 | −0.974 | |||||||||
| α0-α10 | 1 | 0.993 | 0.999 | 0.958 | ||||||||||
| α-10-α0 | 1 | 0.997 | 0.918 | |||||||||||
| ∆α | 1 | 0.947 | ||||||||||||
| Rd | 1 |
Disclaimer/Publisher’s Note: The statements, opinions and data contained in all publications are solely those of the individual author(s) and contributor(s) and not of MDPI and/or the editor(s). MDPI and/or the editor(s) disclaim responsibility for any injury to people or property resulting from any ideas, methods, instructions or products referred to in the content. |
© 2023 by the authors. Licensee MDPI, Basel, Switzerland. This article is an open access article distributed under the terms and conditions of the Creative Commons Attribution (CC BY) license (https://creativecommons.org/licenses/by/4.0/).
Share and Cite
Duan, C.; Fu, X.; Deng, Z.; Kang, J.; Zhang, B.; Lu, J.; Hong, X.; Dai, R.; Li, X. Pore Structure Multifractal Characteristics of Coal Reservoirs in the Central and Eastern Qinshui Basin and Influencing Factors. Processes 2023, 11, 286. https://doi.org/10.3390/pr11010286
Duan C, Fu X, Deng Z, Kang J, Zhang B, Lu J, Hong X, Dai R, Li X. Pore Structure Multifractal Characteristics of Coal Reservoirs in the Central and Eastern Qinshui Basin and Influencing Factors. Processes. 2023; 11(1):286. https://doi.org/10.3390/pr11010286
Chicago/Turabian StyleDuan, Chaochao, Xuehai Fu, Ze Deng, Junqiang Kang, Baoxin Zhang, Jielin Lu, Xing Hong, Ruirui Dai, and Xiaogang Li. 2023. "Pore Structure Multifractal Characteristics of Coal Reservoirs in the Central and Eastern Qinshui Basin and Influencing Factors" Processes 11, no. 1: 286. https://doi.org/10.3390/pr11010286
APA StyleDuan, C., Fu, X., Deng, Z., Kang, J., Zhang, B., Lu, J., Hong, X., Dai, R., & Li, X. (2023). Pore Structure Multifractal Characteristics of Coal Reservoirs in the Central and Eastern Qinshui Basin and Influencing Factors. Processes, 11(1), 286. https://doi.org/10.3390/pr11010286

