Incorporation of Substrates and Inoculums as Operational Strategies to Promote Lignocellulose Degradation in Composting of Green Waste—A Pilot-Scale Study
Abstract
1. Introduction
2. Materials and Methods
2.1. Substrates and Composting Process
- PFW: moisture of 75.5 ± 7.6%, pH of 4.9 ± 0.4, EC of 3.1 ± 0.4 mS/cm, TOC of 33.5 ± 5.9% (db), TN of 1.2 ± 0.6% (db), and lignocellulose of 17.0 ± 2.6% (db).
- UFW: moisture of 79.1 ± 8.3%, pH of 5.1 ± 0.3, EC of 3.1 ± 0.4 mS/cm, TOC of 33.5 ± 5.9% (db), TN of 1.2 ± 0.6% (db) and lignocellulose of 17.8 ± 3.3% (db).
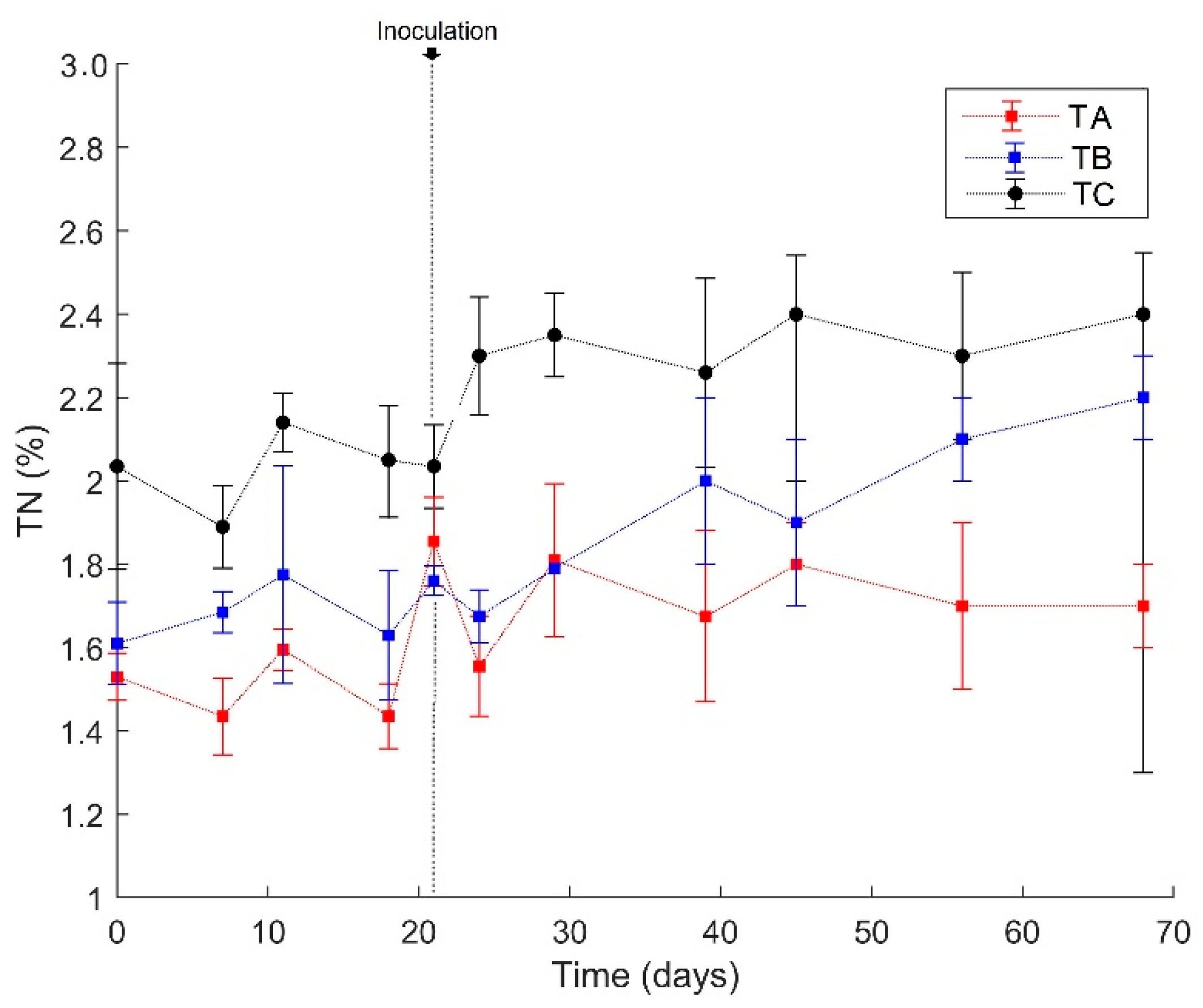
- TA and TB (including 50% GW, 32.5% UFW, 2.5% PFW, 13% SW, and 2% PR): moisture of 58.2 ± 2.5%, pH of 6.3 ± 0.2, EC of 3.5 ± 0.4 mS/cm, TOC of 47.7 ± 3.1% (db), TN of 1.7 ± 0.3% (db) and lignocellulose of 23.8 ± 1.9% (db).
- TC (100% GW): moisture of 27.3 ± 4.9%, pH of 6.9 ± 0.1, EC of 3.0 ± 0.3 mS/cm, TOC of 26.6 ± 5.8% (db), TN of 11.2 ± 0.5% (db) and lignocellulose of 35.1 ± 6.1% (db).
2.2. Analytical Methods
2.3. Lignocellulose Degradation
2.4. Product Quality
3. Results
3.1. Physicochemical Changes during the Process
3.2. Biodegradation of Lignocellulose
3.3. Product Quality
4. Discussion
5. Conclusions
Author Contributions
Funding
Conflicts of Interest
References
- Wang, W.; Zhang, L.; Sun, X. Improvement of Two-Stage Composting of Green Waste by Addition of Eggshell Waste and Rice Husks. Bioresour. Technol. 2021, 320, 124388. [Google Scholar] [CrossRef] [PubMed]
- Zhang, L.; Sun, X. Addition of Fish Pond Sediment and Rock Phosphate Enhances the Composting of Green Waste. Bioresour. Technol. 2017, 233, 116–126. [Google Scholar] [CrossRef]
- Cui, H.; Ou, Y.; Wang, L.X.; Yan, B.W.; Li, Y.X.; Ding, D.W. Phosphate Rock Reduces the Bioavailability of Heavy Metals by Influencing the Bacterial Communities during Aerobic Composting. J. Integr. Agric. 2021, 20, 1137–1146. [Google Scholar] [CrossRef]
- Reyes-Torres, M.; Oviedo-Ocaña, E.R.; Dominguez, I.; Komilis, D.; Sánchez, A. A Systematic Review on the Composting of Green Waste: Feedstock Quality and Optimization Strategies. Waste Manag. 2018, 77, 486–499. [Google Scholar] [CrossRef] [PubMed]
- Chaher, N.E.H.; Chakchouk, M.; Nassour, A.; Nelles, M.; Hamdi, M. Potential of Windrow Food and Green Waste Composting in Tunisia. Environ. Sci. Pollut. Res. 2021, 28, 46540–46552. [Google Scholar] [CrossRef] [PubMed]
- Torrijos, V.; Calvo Dopico, D.; Soto, M. Integration of Food Waste Composting and Vegetable Gardens in a University Campus. J. Clean. Prod. 2021, 315, 128175. [Google Scholar] [CrossRef]
- Usmani, Z.; Sharma, M.; Karpichev, Y.; Pandey, A.; Chandra Kuhad, R.; Bhat, R.; Punia, R.; Aghbashlo, M.; Tabatabaei, M.; Gupta, V.K. Advancement in Valorization Technologies to Improve Utilization of Bio-Based Waste in Bioeconomy Context. Renew. Sustain. Energy Rev. 2020, 131, 109965. [Google Scholar] [CrossRef]
- Yu, K.; Sun, X.; Li, S.; Cai, L.; Zhang, P.; Kang, Y.; Yu, Z.; Tong, J.; Wang, L. Application of Quadratic Regression Orthogonal Design to Develop a Composite Inoculum for Promoting Lignocellulose Degradation during Green Waste Composting. Waste Manag. 2018, 79, 443–453. [Google Scholar] [CrossRef]
- Rastogi, M.; Nandal, M.; Khosla, B. Microbes as Vital Additives for Solid Waste Composting. Heliyon 2020, 6, e03343. [Google Scholar] [CrossRef]
- Oviedo-Ocaña, E.R.; Soto-Paz, J.; Sanchez-Torres, V.; Castellanos-suarez, L.J.; Komilis, D. Effect of the Addition of the Bacillus Sp., Paenibacillus Sp. Bacterial Strains on the Co-Composting of Green and Food Waste. J. Environ. Chem. Eng. 2022, 10, 107816. [Google Scholar] [CrossRef]
- Grady, E.N.; MacDonald, J.; Liu, L.; Richman, A.; Yuan, Z.C. Current Knowledge and Perspectives of Paenibacillus: A Review. Microb. Cell. Fact. 2016, 15, 203. [Google Scholar] [CrossRef] [PubMed]
- Soto-Paz, J.; Oviedo-Ocaña, E.R.; Angarita-Rangel, M.A.; Rodríguez-Flórez, L.V.; Castellanos-Suarez, L.J.; Nabarlatz, D.; Sanchez-Torres, V. Optimization of Lignocellulolytic Bacterial Inoculum and Substrate Mix for Lignocellulose Degradation and Product Quality on Co-Composting of Green Waste with Food Waste. Bioresour. Technol. 2022, 359, 127452. [Google Scholar] [CrossRef]
- Hernández-Gómez, A.; Calderón, A.; Medina, C.; Sanchez-Torres, V.; Oviedo-Ocaña, E.R. Implementation of Strategies to Optimize the Co-Composting of Green Waste and Food Waste in Developing Countries. A Case Study: Colombia. Environ. Sci. Pollut. Res. 2020, 28, 24321–24327. [Google Scholar] [CrossRef] [PubMed]
- Yu, K.; Li, S.; Sun, X.; Kang, Y. Maintaining the Ratio of Hydrosoluble Carbon and Hydrosoluble Nitrogen within the Optimal Range to Accelerate Green Waste Composting. Waste Manag. 2020, 105, 405–413. [Google Scholar] [CrossRef] [PubMed]
- Asses, N.; Farhat, A.; Cherif, S.; Hamdi, M.; Bouallagui, H. Comparative Study of Sewage Sludge Co-Composting with Olive Mill Wastes or Green Residues: Process Monitoring and Agriculture Value of the Resulting Composts. Process Saf. Environ. Prot. 2018, 114, 25–35. [Google Scholar] [CrossRef]
- Rawoteea, S.A.; Mudhoo, A.; Kumar, S. Co-Composting of Vegetable Wastes and Carton: Effect of Carton Composition and Parameter Variations. Bioresour. Technol. 2017, 227, 171–178. [Google Scholar] [CrossRef]
- Hemidat, S.; Jaar, M.; Nassour, A.; Nelles, M. Monitoring of Composting Process Parameters: A Case Study in Jordan. Waste Biomass Valorization 2018, 9, 2257–2274. [Google Scholar] [CrossRef]
- Jiang, J.; Liu, X.; Huang, Y.; Huang, H. Inoculation with Nitrogen Turnover Bacterial Agent Appropriately Increasing Nitrogen and Promoting Maturity in Pig Manure Composting. Waste Manag. 2015, 39, 78–85. [Google Scholar] [CrossRef]
- Lü, F.; Shao, L.M.; Zhang, H.; Fu, W.D.; Feng, S.J.; Zhan, L.T.; Chen, Y.M.; He, P.J. Application of Advanced Techniques for the Assessment of Bio-Stability of Biowaste-Derived Residues: A Minireview. Bioresour. Technol. 2018, 248, 122–133. [Google Scholar] [CrossRef]
- Komilis, D.P.; Tziouvaras, I.S. A Statistical Analysis to Assess the Maturity and Stability of Six Composts. Waste Manag. 2009, 29, 1504–1513. [Google Scholar] [CrossRef]
- Sluiter, A.; Hames, B.; Ruiz, R.; Scarlata, C.; Sluiter, J.; Templeton, D.; Nrel, D.C. Determination of Structural Carbohydrates and Lignin in Biomass, in Laboratory Analyticial Procedure (LAP); National Renewable Energy Laboratory: Golden, CO, USA, 2012.
- Oviedo-ocaña, E.R.; Hernández-gómez, A.M.; Ríos, M.; Portela, A.; Sánchez-torres, V.; Domínguez, I.; Komilis, D. A Comparison of Two-stage and Traditional Co-composting of Green Waste and Food Waste Amended with Phosphate Rock and Sawdust. Sustainability 2021, 13, 1109. [Google Scholar] [CrossRef]
- Wang, H.; Zhao, Y.; Wei, Y.; Zhao, Y.; Lu, Q.; Liu, L.; Jiang, N.; Wei, Z. Biostimulation of Nutrient Additions on Indigenous Microbial Community at the Stage of Nitrogen Limitations during Composting. Waste Manag. 2018, 74, 194–202. [Google Scholar] [CrossRef] [PubMed]
- Zeng, G.; Yu, M.; Chen, Y.; Huang, D.; Zhang, J.; Huang, H.; Jiang, R.; Yu, Z. Effects of Inoculation with Phanerochaete Chrysosporium at Various Time Points on Enzyme Activities during Agricultural Waste Composting. Bioresour. Technol. 2010, 101, 222–227. [Google Scholar] [CrossRef] [PubMed]
- Cáceres, R.; Coromina, N.; Malińska, K.; Martínez-Farré, F.X.; López, M.; Soliva, M.; Marfà, O. Nitrification during Extended Co-Composting of Extreme Mixtures of Green Waste and Solid Fraction of Cattle Slurry to Obtain Growing Media. Waste Manag. 2016, 58, 118–125. [Google Scholar] [CrossRef]
- Zhou, C.; Liu, Z.; Huang, Z.-L.; Dong, M.; Yu, X.-L.; Ning, P. A New Strategy for Co-Composting Dairy Manure with Rice Straw: Addition of Different Inocula at Three Stages of Composting. Waste Manag. 2015, 40, 38–43. [Google Scholar] [CrossRef]
- Xi, B.; He, X.; Dang, Q.; Yang, T.; Li, M.; Wang, X.; Li, D.; Tang, J. Effect of Multi-Stage Inoculation on the Bacterial and Fungal Community Structure during Organic Municipal Solid Wastes Composting. Bioresour. Technol. 2015, 196, 399–405. [Google Scholar] [CrossRef] [PubMed]
- Wu, D.; Wei, Z.; Qu, F.; Mohamed, T.A.; Zhu, L.; Zhao, Y.; Jia, L.; Zhao, R.; Liu, L.; Li, P. Effect of Fenton Pretreatment Combined with Bacteria Inoculation on Humic Substances Formation during Lignocellulosic Biomass Composting Derived from Rice Straw. Bioresour. Technol. 2020, 303, 122849. [Google Scholar] [CrossRef]
- Bohacz, J. Lignocellulose-Degrading Enzymes, Free-Radical Transformations during Composting of Lignocellulosic Waste and Biothermal Phases in Small-Scale Reactors. Sci. Total Environ. 2017, 580, 744–754. [Google Scholar] [CrossRef] [PubMed]
- Zhou, S.-P.; Zhou, H.-Y.; Xia, S.-N.; Ying, J.-M.; Ke, X.; Zou, S.-P.; Xue, Y.-P.; Zheng, Y.-G. Efficient Bio-Degradation of Food Waste through Improving the Microbial Community Compositions by Newly Isolated Bacillus Strains. Bioresour. Technol. 2021, 321, 124451. [Google Scholar] [CrossRef]
- Feng, C.; Zeng, G.; Huang, D.; Hu, S.; Zhao, M.; Lai, C.; Huang, C.; Wei, Z.; Li, N. Effect of Ligninolytic Enzymes on Lignin Degradation and Carbon Utilization during Lignocellulosic Waste Composting. Process Biochem. 2011, 46, 1515–1520. [Google Scholar] [CrossRef]
- Song, C.; Li, M.; Wei, Z.; Jia, X.; Xi, B.; Liu, D.; Zhu, C.; Pan, H. Effect of Inoculation with Multiple Composite Microorganisms on Characteristics of Humic Fractions and Bacterial Community Structure during Biogas Residue and Livestock Manure Co-Composting. J. Chem. Technol. Biotechnol. 2016, 91, 155–164. [Google Scholar] [CrossRef]
- Duan, M.; Zhang, Y.; Zhou, B.; Qin, Z.; Wu, J.; Wang, Q.; Yin, Y. Effects of Bacillus Subtilis on Carbon Components and Microbial Functional Metabolism during Cow Manure–Straw Composting. Bioresour. Technol. 2020, 303, 122868. [Google Scholar] [CrossRef]
- Kausar, H.; Ismail, M.R.; Saud, H.M.; Othman, R.; Habib, S. Use of Lignocellulolytic Microbial Consortium and Ph Amendment on Composting Efficacy of Rice Straw. Compost. Sci. Util. 2013, 21, 121–133. [Google Scholar] [CrossRef]
- Oviedo-Ocaña, E.R.; Dominguez, I.; Komilis, D.; Sánchez, A. Co-Composting of Green Waste Mixed with Unprocessed and p Food Waste: Influence on the Composting Process and Product Quality. Waste Biomass Valorization 2019, 10, 63–74. [Google Scholar] [CrossRef]
- Khatibi, H.; Hassani, A. Effective Management and Composting of Organic Wastes Using New Developed Consortia. Environ. Dev. Sustain. 2021, 23, 16891–16910. [Google Scholar] [CrossRef]
- Lasaridi, K.; Protopapa, I.; Kotsou, M.; Pilidis, G.; Manios, T.; Kyriacou, A. Quality Assessment of Composts in the Greek Market: The Need for Standards and Quality Assurance. J. Environ. Manag. 2006, 80, 58–65. [Google Scholar] [CrossRef]
- Bernal, M.P.; Sommer, S.G.; Chadwick, D.; Qing, C.; Guoxue, L.; Michel, F.C. Chapter Three—Current Approaches and Future Trends in Compost Quality Criteria for Agronomic, Environmental, and Human Health Benefits. In Advances in Agronomy; Sparks, D.L., Ed.; Academic Press: Cambridge, MA, USA, 2017; Volume 144, pp. 143–233. [Google Scholar]
- Manu, M.K.; Kumar, R.; Garg, A. Performance Assessment of Improved Composting System for Food Waste with Varying Aeration and Use of Microbial Inoculum. Bioresour. Technol. 2017, 234, 167–177. [Google Scholar] [CrossRef]
- Chen, R.; Senbayram, M.; Blagodatsky, S.; Myachina, O.; Dittert, K.; Lin, X.; Blagodatskaya, E.; Kuzyakov, Y. Soil C and N Availability Determine the Priming Effect: Microbial N Mining and Stoichiometric Decomposition Theories. Glob. Change Biol. 2014, 20, 2356–2367. [Google Scholar] [CrossRef]
- Mishra, S.K.; Yadav, K.D. Application of Locally Available Microbial Inoculant to Accelerate Green Waste Composting at a Community Level. Bioresour. Technol. Rep. 2021, 16, 100859. [Google Scholar] [CrossRef]
- Wan, L.; Wang, X.; Cong, C.; Li, J.; Xu, Y.; Li, X.; Hou, F.; Wu, Y.; Wang, L. Effect of Inoculating Microorganisms in Chicken Manure Composting with Maize Straw. Bioresour. Technol. 2020, 301, 122730. [Google Scholar] [CrossRef]
- Vu, V.; Farkas, C.; Riyad, O.; Bujna, E.; Kilin, A.; Sipiczki, G.; Sharma, M.; Usmani, Z.; Gupta, V.K.; Nguyen, Q.D. Enhancement of the Enzymatic Hydrolysis Efficiency of Wheat Bran Using the Bacillus Strains and Their Consortium. Bioresour. Technol. 2022, 343, 126092. [Google Scholar] [CrossRef] [PubMed]
- Nigussie, A.; Dume, B.; Ahmed, M.; Mamuye, M.; Ambaw, G.; Berhiun, G.; Biresaw, A.; Aticho, A. Effect of Microbial Inoculation on Nutrient Turnover and Lignocellulose Degradation during Composting: A Meta-Analysis. Waste Manag. 2021, 125, 220–234. [Google Scholar] [CrossRef] [PubMed]
- Ma, C.; Lo, P.K.; Xu, J.; Li, M.; Jiang, Z.; Li, G.; Zhu, Q.; Li, X.; Leong, S.Y.; Li, Q. Molecular Mechanisms Underlying Lignocellulose Degradation and Antibiotic Resistance Genes Removal Revealed via Metagenomics Analysis during Different Agricultural Wastes Composting. Bioresour. Technol. 2020, 314, 123731. [Google Scholar] [CrossRef]
- Vrsanska, M.; Buresova, A.; Damborsky, P.; Adam, V. Influence of Different Inducers on Ligninolytic Enzyme Activities. J. Met. Nanotechnologies 2015, 3, 64–70. [Google Scholar]
- Li, J.; Wang, X.; Cong, C.; Wan, L.; Xu, Y.; Li, X.; Hou, F.; Wu, Y.; Wang, L. Inoculation of Cattle Manure with Microbial Agents Increases Efficiency and Promotes Maturity in Composting. 3 Biotech. 2020, 10, 128. [Google Scholar] [CrossRef] [PubMed]





| Treatment | pH | EC | TOC | TN | GI |
|---|---|---|---|---|---|
| dS/m | %, db | %, db | % | ||
| TA | 8.4 ± 0.4 a | 1.5 ± 023 a | 25.4 ± 0.3 a | 1.7 ± 0.8 a | 95.8 ± 1.4 b |
| TB | 8.7 ± 0.3 a | 1.3 ± 0.3 a | 27. 4 ± 2.4 a | 2.2 ± 1.0 b | 85.4 ± 1.2 c |
| TC | 8.6 ± 0.1 a | 1.4 ± 0.2 a | 32.8 ± 1.7 b | 2.4 ± 1.1 b | 83.1 ± 2.1 a |
Disclaimer/Publisher’s Note: The statements, opinions and data contained in all publications are solely those of the individual author(s) and contributor(s) and not of MDPI and/or the editor(s). MDPI and/or the editor(s) disclaim responsibility for any injury to people or property resulting from any ideas, methods, instructions or products referred to in the content. |
© 2023 by the authors. Licensee MDPI, Basel, Switzerland. This article is an open access article distributed under the terms and conditions of the Creative Commons Attribution (CC BY) license (https://creativecommons.org/licenses/by/4.0/).
Share and Cite
Oviedo-Ocaña, E.R.; Soto-Paz, J.; Sanchez-Torres, V.; Sánchez, A. Incorporation of Substrates and Inoculums as Operational Strategies to Promote Lignocellulose Degradation in Composting of Green Waste—A Pilot-Scale Study. Processes 2023, 11, 241. https://doi.org/10.3390/pr11010241
Oviedo-Ocaña ER, Soto-Paz J, Sanchez-Torres V, Sánchez A. Incorporation of Substrates and Inoculums as Operational Strategies to Promote Lignocellulose Degradation in Composting of Green Waste—A Pilot-Scale Study. Processes. 2023; 11(1):241. https://doi.org/10.3390/pr11010241
Chicago/Turabian StyleOviedo-Ocaña, Edgar Ricardo, Jonathan Soto-Paz, Viviana Sanchez-Torres, and Antoni Sánchez. 2023. "Incorporation of Substrates and Inoculums as Operational Strategies to Promote Lignocellulose Degradation in Composting of Green Waste—A Pilot-Scale Study" Processes 11, no. 1: 241. https://doi.org/10.3390/pr11010241
APA StyleOviedo-Ocaña, E. R., Soto-Paz, J., Sanchez-Torres, V., & Sánchez, A. (2023). Incorporation of Substrates and Inoculums as Operational Strategies to Promote Lignocellulose Degradation in Composting of Green Waste—A Pilot-Scale Study. Processes, 11(1), 241. https://doi.org/10.3390/pr11010241
