Abstract
This study aimed to analyse the antibacterial potential of limonene, terpineol, and eugenol for the biofilm reduction of food-borne E. coli, S. aureus and S. typhimurium. A microdilution test with resazurin application was used for the minimum inhibitory concentration and a colony plate count was used for the minimum bactericidal concentration. Biofilm biomass was quantified using the crystal violet assay, while biofilm viability was determined using the plate count method. The results show the highest antibacterial potential among terpenoids for eugenol, followed by terpineol and limonene. Both biomass reduction and viability are strongly dependent on the concentration of all terpenoids tested (p < 0.05). Moreover, eugenol reduced biofilm biomass most effectively (67% for E. coli), while viability was reduced most by terpineol (3.8 log CFU cm−2 for E. coli and S. aureus). The correlation coefficient for the reduction in biomass and viability was highest for eugenol (0.9) and chlorhexidine for all bacteria tested, while the lowest correlation was found for limonene (0.6). Results also demonstrate that tested terpenoids are effective as standard antimicrobial agent chlorhexidine. This suggests that eugenol has potential against food-borne biofilms as it simultaneously reduces both biomass and viability of biofilms.
1. Introduction
Managing the bacterial population on the surface plays a crucial role in medicine, technology and in domestic environments, where we try to keep bacteria to a minimum. Under favourable conditions, bacteria attach themselves to the surface of the material and begin to form biofilms in the presence of nutrients, temperature and water. A biofilm is a community of bacterial cells enclosed in exopolysaccharide substances that adheres to the surface of the material and exhibits sophisticated collective behaviour [1]. Bacterial biofilms pose one of the greatest public health problems, as the bacteria within the biofilm are much better protected from chemical and physical stresses than planktonic cells. From a public health perspective, it is estimated that more than 65% of all human microbial infections are related to biofilm exposure [2]. Therefore, the elimination of biofilms on surfaces requires much higher concentrations of chemical compounds compared to planktonic cells [3]. The most common disinfectants on the market contain chlorine-based active ingredients, quaternary ammonium compounds, triclosan, alcohols and aldehydes, which are effective against bacteria and facilitate good hygiene practices. However, the consumption of these chemicals can have worrying effects on humans, animals and the environment as they are washed into the aquatic environment after the cleaning process [4]. In 2020, sales of disinfectants have doubled worldwide, without evidence of their short- and long-term side effects on the environment [5]. Furthermore, experience shows that increased use of disinfectants is associated with increasing resistance, be it from misuse for chronic infections, misuse for viral prophylaxis, or overuse of antibiotic-based disinfectants [6]. A recent report on antibacterial resistance indicates that more than 4.95 million deaths worldwide are associated with antibacterial resistance and that E. coli and S. aureus are two of the leading pathogens for deaths associated with bacterial resistance [7]. Chlorhexidine, for example, is an antiseptic frequently used in hospitals and industrial environments for disinfection. Moreover, in the last decade, concerns have arisen over the increasing resistance of E. coli and S. aureus to chlorhexidine [8]. An answer to more sustainable cleaning could be natural agents from plants that are effective against bacteria, are generally recognised as safe (GRAS) and for the environment, and have a low potential for resistance due to their non-targeting effect on bacterial cells [9,10]. Natural antimicrobial agents have attracted much attention among researchers in recent years, and essential oils in particular are considered a source of antimicrobial components. Essential oils are complex mixtures that can contain more than 300 compounds and have antibacterial properties due to bioactive volatile components such as terpenoids, alcohols, esters, thujone, carvone and others. However, the vast majority of active components belong to the class of terpenoids, e.g., terpineol, limonene, eugenol, carvacrol, linalool and others [11,12]. Terpenoids represent one of the largest and structurally diverse groups of naturally-occurring compounds derived from the 5-carbon compound isoprene and its derivatives. Many plants synthesize different kinds of terpenoids that have applications in medicine, pharmacy and technology [13,14]. In recent years it has been found that terpenoids play an increasingly important role in the field of antibacterial activity [15]. Upon contact with bacterial cells, terpenoids disrupt the cell membrane to make it more permeable, disrupt ion transfer, interact with membrane proteins and affect cell enzymes and inhibit DNA synthesis [16]. Limonene is a cyclic monoterpene and is the major component in citrus fruit peel oil. It is commonly used in the pharmaceutical, food and perfumes industry due to its safety [17]. For example, Gupta et al. [18] reported that limonene causes the degradation of proteins at the outer membrane of E. coli, leading to increased permeability and formation of hydroxyl radicals by Fenton reaction, which in turn leads to oxidative DNA damage. Moreover, Lee et al. [19] reported limonene is effective against B. cereus, E. coli, S. aureus, and even against methicillin-resistant S. aureus. The antibacterial activity of eugenol and limonene also includes the inhibition of S. aureus biofilm [20,21]. Terpineol is a monocyclic terpenoid found in many herbs like marjoram, oregano and rosemary and has a wide range of biological properties [22]. Ding et al. [23] reported that the main mechanism of action of terpineol against E. coli is to dissolve the outer membrane of the cells by releasing the lipopolysaccharides and increasing the permeability of the cytoplasmic membrane to ATP. Eugenol is a terpenoid derived mainly from clove oil and has attracted scientific interest due to antibacterial, antiviral and antifungal properties [24]. In addition, eugenol is considered a membrane inhibitor, protease inhibitor and source of reactive oxygen species [24]. Yamaguchi [14] tested different terpenoids and found significant bacteriostatic and bactericidal activities at low concentrations. Moreover, the author found the most effective bactericidal activity against Gram negative bacteria. There are several research studies on the antibacterial potential of terpenoids against pathogenic bacteria, but less is known how terpenoids interact with bacteria within the biofilm, especially synergistic effects on biomass and biofilm viability. Therefore, this study aims to analyse the antibacterial and antibiofilm potential of the terpenoids limonene, terpineol and eugenol against the hygienically-relevant bacteria E. coli, S. aureus and S. typhimurium, by comparing the effectiveness of selected terpenoids with the standard antibacterial agent chlorhexidine. Furthermore, the removal of biofilm biomass from the polystyrene and the reduction of the viability of the bacteria within the biofilms were analysed. Finally, to evaluate the potential of selected active components for simultaneous removal of biofilm biomass and reduction of cell viability.
2. Materials and Methods
2.1. Bacterial Strains
For the antibacterial and anti-biofilm assay, standard strains of bacteria that represent hygienically-relevant bacteria were used. The standard strains of Escherichia coli ATCC 25922 (E. coli), Salmonella enterica serovar typhimurium ATCC 14028 (S. typhimurium) and Staphylococcus aureus ATCC 25923 (S. aureus) were obtained from Sigma Aldrich (Virginia, St. Louis, MO, USA). Bacteria from the collection were transferred on nutrient agar (Biolife, Italy) and incubated at 37 °C for 24 h. After that, a single colony of a strain was transferred from nutrient agar to the Mueller Hinton broth (Merck Millipore, Burlington, MA, USA) and incubated under the same conditions.
2.2. Chemicals
Terpenoids active components (R)-(+)- limonene (1-Methyl-4-(prop-1-en-2-yl) cyclohex-1-ene), α-terpineol (2-(4-Methylcyclohex-3-en-1-yl)propan-2-ol), eugenol (2-Methoxy-4-(prop-2-en-1-yl) phenol), standard antimicrobial chlorhexidine digluconate and solvent Tween-80 (Polyoxyethylene (20) sorbitan monooleate) were purchased at Sigma-Aldrich (St. Louis, MO, USA).
2.3. Minimum Inhibitory and Bactericidal Concentration
The minimum inhibitory and bactericidal concentration of limonene, terpineol and eugenol against selected bacteria was tested using microdilution methods according to the standard ISO 20776-1: 2020. Bacterial cultures of E. coli, S. typhimurium and S. aureus were transferred from nutrient agar to a 0.9% NaCl solution to achieve a concentration of 0.5 McFarland. Into sterile flat-bottomed 96-well microplates (Nunc, Denmark), 100 μL of bacterial cells in Mueller-Hinton broth were added at a final concentration of 1 × 106 CFU mL−1. In the second step, twofold dilutions of terpenoid active components were added at concentrations ranging from 15 mg mL−1 to 0.03 mg mL−1. The active components were diluted in 0.002% (v/v) Tween-80 according to the Clinical and Laboratory Standards Institute [25]. The plates were incubated at 37 °C for 24 h. Then, 10 μL of resazurin solution at a concentration of 0.015% was added and incubated again under the same conditions for 4 h. The negative control was 0.9% NaCl with 0.002% Tween-80, while the positive control was chlorhexidine gluconate at a concentration in the range of 0.003 to 0.25 mg mL−1. The minimum inhibitory concentration (MIC) in the resazurin assay was defined according to Sarker et al. [26] as the lowest concentration of the active component that does not convert blue resazurin to pink resorufin. Subsequently, 100 μL of the suspension above the MIC was inoculated onto the nutrient agar and incubated at 37 °C for 24 h. The minimum bactericidal concentration (MBC) was defined as the lowest concentration at which no colonies grew on solid media (Figure 1).
Figure 1.
Research design testing antibacterial and antibiofilm potential of limonene, terpineol, eugenol and chlorhexidine against E. coli, S. typhimurium and S. aureus biofilm biomass and viability (Created with BioRender.com).
Biofilm Biomass and Viability
A biofilm test was performed following Fink et al. [27] with some modifications as follows. Bacterial cultures of E. coli, S. typhimurium and S. aureus were prepared in a 0.9% NaCl solution to achieve a concentration of 0.5 McFarland. The bacterial cells were added to Mueller-Hinton broth to achieve a final concentration of 5 × 105 CFU mL−1. Then, 100 μL of the bacterial suspension was added to sterile 96-well flat-bottomed microtitre plates (Nunc, Roskilde, Denmark) and incubated at 37 °C for 24 h. After this, the bacterial suspension was removed, and the biofilms formed on the surface of the microtitre plate were rinsed three times with 100 μL PBS. The biofilms were treated for 15 min at room temperature with 1 MIC, 2 MIC and 3 MIC concentrations of the active components. Samples were then washed three times with 100 μL PBS to neutralise the active components and remove any loosely adhering cells. The biofilm biomass was determined using the crystal violet assay. Cells remaining on the surface were stained with 100 μL 2% crystal violet (Merck Millipore, Darmstad, Germany) and the excess dye removed and washed with PBS. The dye from the cells was remobilised with 100 μL 96% ethanol. The optical density of the solution was measured at a wavelength of 620 nm using the Infinite 200 PRO microplate reader (Tecan, Grödig, Austria). The viability of the biofilm was analysed by counting the bacterial colonies. After neutralisation with PBS, 100 μL 0.9% NaCl was added to each microtitre well and sonicated at 37 kHz and 200 W for 3 min to dissolve the cells from the well surface into the liquid. After serial dilutions, samples were inoculated onto solid media and incubated at 37 °C for 24 h. Colonies were counted and results were expressed as log CFU cm2 (Figure 1).
Statistical analysis was provided using R software version 4.1.1. (Bell Laboratories, Holmdel, NJ, USA). One-way analysis of variance (ANOVA) and the Duncan test were used to determine the significant differences at a significance level of p < 0.05. Pearson correlation coefficient (r) was calculated to correlate biofilm biomass and cell viability reduction (p < 0.05). The correlation was interpreted as weak (0.1–0.3), moderate (0.4–0.6) or string (0.7–0.9).
Figure 1 was created using BioRender.com (accessed on 25 November 2022).
3. Results and Discussion
One of the principles of green chemistry is to replace classic cleaning and disinfecting agents with less hazardous substances and to offer consumers ingredients that are safer for human health and the environment [28]. Terpenoids have been ported to be GRAS, but to also exert antimicrobial activities against both antibiotic-susceptible and -resistant bacteria at the same time. Notably, carvacrol, eugenol, carvone, geraniol and thymol are among the terpenoids that show antibacterial potential against S. aureus [29]. Our study aims to evaluate the potential of the terpenoids limonene, terpineol and eugenol for managing the biomass and viability of biofilms in the food industry. The results show that the lowest MIC for all tested terpenoids and bacteria is 0.1 mg mL−1 for eugenol, followed by terpineol (0.1–0.2 mg mL−1) and limonene (0.9–1.9 mg mL−1) (Table 1). In a study by Zhao et al. [30], which investigated the exposure of eugenol to S. typhimurium, the MIC was 0.125 mg mL−1, which is consistent with our results. Furthermore, the authors reported that treatment with eugenol deformed the morphology of S. typhimurium. As with eugenol, the MIC for terpineol was 0.1 mg mL−1 for E. coli and S. aureus, and 0.2 mg mL−1 for S. typhimurium (Table 1). Similarly, Huang et al. [31] have shown that S. typhimurium and E. coli seem to be sensitive to terpineol at a concentration of 0.153 mg mL−1. Limonene appears to be the least antibacterial with an MIC of 0.9 mg mL−1 for E. coli and 1.9 mg mL−1 for S. typhimurium. In contrast to our findings, Costa et al. [32] found the MIC of limonene for S. aureus at 0.256 mg mL−1, which is lower than the figures reported in our study. One of the reasons for this could be the fact that the researchers used the solvent DMSO. This is particularly important as Van de Vel et al. [33] report that the choice of solvent can have a significant impact on the MIC of essential oils. Meanwhile, the results for chlorhexidine show MIC for E. coli and S. aureus at 0.02 mg mL−1, which corresponds to Kampf’s findings [34] that reported MIC for E. coli at 0.0117 mg mL−1 and S. aureus at 0.02 mg mL−1.
Table 1.
MIC and MBC of limonene, terpineol, eugenol and chlorhexidine against E. coli, S. aureus and S. typhimurium.
The results of the efficacy of removing biofilm biomass from the polystyrene surface show for all tested bacteria that increasing the concentration of terpenoid agents and chlorhexidine leads to a decrease in biomass (p < 0.05) (Figure 2, Table 2). More detailed analysis shows that 2 MIC will significantly decrease the biofilm biomass for all bacteria and all tested compounds, while 3 MIC of limonene will not have a significant effect on S. typhimurium, nor will terpineol on E. coli and S. aureus, or chlorhexidine on E. coli (Table 2). We have shown that eugenol can remove up to 67% of E. coli biofilm biomass, followed by S. aureus (53%) and S. typhimurium (46%). A similar trend is observed for limonene (56%, 46% and 27% respectively), while terpineol removes up to 44% of E. coli biofilm biomass, followed by S. typhimurium (38%) and S. aureus (26%) (Figure 2). A study by Yadav et al. [21] investigated the effects of eugenol on S. aureus biofilm and found that 0.2 mg mL−1 reduced biofilm by 50%, which is comparable to our results. Ding et al. [23] tested 0.3 mg mL−1 terpineol against E. coli biofilm and found that a 40% reduction was possible with a short exposure time; increasing the exposure time increased the removal of the biofilm. Chlorhexidine can remove up to 57% of E. coli biofilm biomass, followed by S. aureus (51%) and S. typhimurium (37%). Comparable to eugenol, chlorhexidine at 3 MIC removes about 8% less biofilm biomass. Cota et al. [35] tested about ten times higher concentrations of chlorhexidine on wild strains of S. typhimurium to demonstrate biofilm eradication.
Figure 2.
Biofilm biomass (OD620 nm and %) of E. coli, S. aureus and S. typhimurium after exposure to 1 MIC, 2 MIC and 3 MIC limonene, terpineol eugenol and chlorhexidine.
Table 2.
Analysis of variance and post hoc Duncan test for biofilm biomass and viability in comparison to limonene, terpineol, eugenol and chlorhexidine concentration.
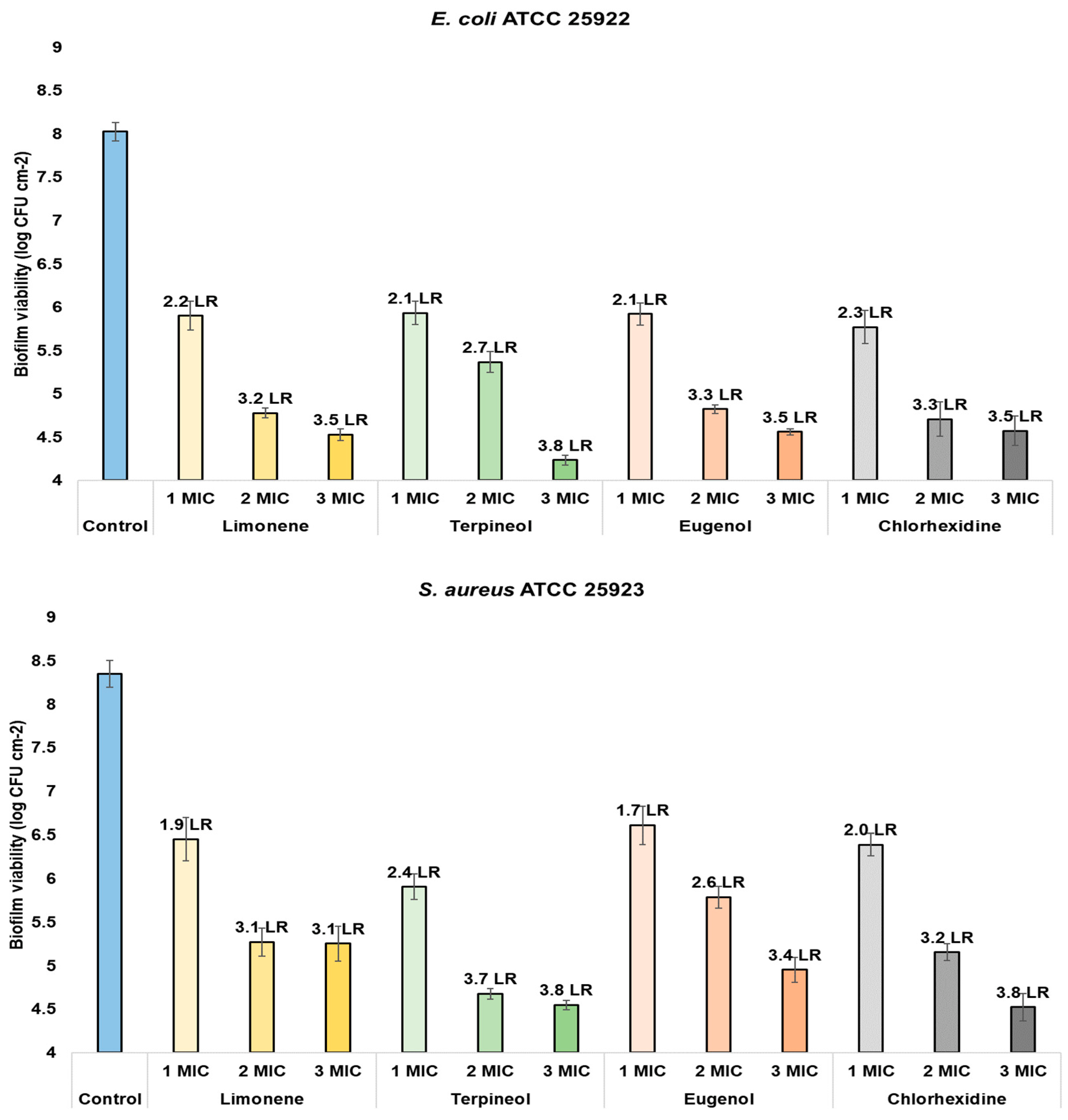
The viability of the biofilm for all tested bacterial strains and the selected terpenoid agents show an increasing logarithmic decrease with increasing concentration (Figure 3, Table 2). More detailed analysis shows that double concentration will significantly decrease the biofilm viability for all bacteria and for all tested compounds, while for S. aureus, 3 MIC of limonene and terpineol will not have a significant effect (Table 2). In contrast to the biomass assessment, biofilm viability shows the highest logarithmic reduction at 3 MIC for terpineol (3.8 log CFU cm−2 for E. coli and S. typhimurium and 2.9 for S. aureus). Ulhag et al. [36] tested the extract of Citrus hystrix against S. typhimurium and found that terpineol was the major antibacterial component acting against bacterial cells. In addition, we found that eugenol and limonene showed similar results against E. coli, while limonene reduced more cells at an MIC of 3 (2.9 log CFU cm−2) compared to eugenol (2.2 log CFU cm−2) in the case of S. aureus (Figure 3). One study by Umagiliyage et al. [37] tested limonene against E. coli and found that 1 mg mL−1 limonene can reduce bacterial cells by 1.6 log CFU. Results of chlorhexidine show similar reduction for E. coli as for eugenol (3.5 log CFU cm−2) or terpineol for S. aureus (3.8 log CFU cm−2), while it was least effective for S. typhimurium. Condell et al. [38] reported that Salmonella spp., when exposed to sub-lethal concentrations of chlorhexidine, can respond with modification of the cell wall, virulence and a shift in cellular metabolism.

Figure 3.
Biofilm viability (log CFU cm−2 and LR) of E. coli, S. aureus and S. typhimurium after exposure to 1 MIC, 2 MIC and 3 MIC limonene, terpineol, eugenol and chlorhexidine.
Results of the Pearson correlation coefficient show a strong correlation between the reduction of biofilm biomass and viability for all three tested bacteria against the eugenol (0.835–0.915), while for terpineol, we observed a strong correlation for S. typhimurium (0.756) and S. aureus (0.790), but moderate (0.612) for E. coli. Contrary to those results, limonene shows a moderate correlation between biomass and viability reduction for S. aureus and S. typhimurium, and only a strong one for E. coli (Figure 4). Results for chlorhexidine show a strong correlation for S. aureus (0.919) and E. coli (0.772), and moderate for S. typhimurium (0.643). All this indicates that eugenol is a good antibacterial agent, effectively reducing biofilm biomass and viability, and is comparable to chlorhexidine.
Figure 4.
Pearson correlation coefficient between biofilm biomass (OD in %) and biofilm viability (LR in log CFU cm−2) for all three tested bacterial strains and active components.
4. Conclusions
Reducing the environmental impact of cleaning and disinfection products while maintaining their effectiveness is a green chemistry priority. New antibacterial agents must achieve comparable efficiency to classical ones, while reducing the pressure on the environment. Our research has shown that the terpenoids eugenol and terpineol have the strongest antibacterial activity against food-borne E. coli, S. aureus and S. typhimurium, while limonene has less antibacterial potential. Double and triple concentrations of MIC showed significant reductions in both biomass and biofilm viability, with eugenol being most effective in removing biomass, while terpineol was most effective in reducing biofilm viability. We also demonstrated that chlorhexidine is effective against E. coli and S. aureus, but less so against S. typhimurium. A comparison of the correlation of biomass and viability shows that eugenol has the greater potential to simultaneously reduce the biomass and viability of the food-borne biofilms tested. The anti-biofilm properties of terpineol and eugenol are comparable to chlorhexidine and therefore represent a good candidate for substitution in practice.
Funding
This research received no external funding.
Data Availability Statement
https://zenodo.org/record/3543000#.Y7QVpRVBy3A (accessed on 25 November 2022).
Conflicts of Interest
The author declares no conflict of interest.
References
- Schachter, H.; Kamerling, H. 4.06-Glycobiology of Caenorhabditis elegans. In Comprehensive Glycoscience; Elsevier: Oxford, UK, 2007; pp. 81–100. [Google Scholar]
- Magalhães, R.P.; Vieira, T.F.; Fernandes, H.S.; Melo, A.; Simões, M.; Sousa, S.F. The biofilms structural database. Trends Biotechnol. 2020, 38, 937–940. [Google Scholar] [CrossRef] [PubMed]
- Abebe, G.M. The role of bacterial biofilm in antibiotic resistance and food contamination. Int. J. Microbiol. 2020, 2020, 1705814. [Google Scholar] [CrossRef] [PubMed]
- Wang, Z.; Wang, Y.Y.L.; Scott, W.C.; Williams, E.S.; Ciarlo, M.; DeLeo, P.; Brooks, B.W. Comparative influences of dermal and inhalational routes of exposure on hazards of cleaning product ingredients among mammalian model organisms. Environ. Int. 2021, 157, 106777. [Google Scholar] [CrossRef] [PubMed]
- Dewey, H.M.; Jones, J.M.; Keating, M.R.; Budhathoki-Uprety, J. Increased use of disinfectants during the COVID-19 pandemic and its potential impacts on health and safety. ACS Chem. Health Saf. 2021, 29, 27–38. [Google Scholar] [CrossRef]
- Lobie, T.A.; Roba, A.A.; Booth, J.A.; Kristiansen, K.I.; Aseffa, A.; Skarstad, K.; Bjørås, M. Antimicrobial resistance: A challenge awaiting the post-COVID-19 era. Int. J. Infect. Dis. 2021, 111, 322–325. [Google Scholar] [CrossRef]
- Murray, C.J.; Ikuta, K.S.; Sharara, F.; Swetschinski, L.; Aguilar, G.R.; Gray, A.; Han, C.; Bisignano, C.; Rao, P.; Wool, E. Global burden of bacterial antimicrobial resistance in 2019: A systematic analysis. Lancet 2022, 399, 629–655. [Google Scholar] [CrossRef]
- Van den Poel, B.; Saegeman, V.; Schuermans, A. Increasing usage of chlorhexidine in health care settings: Blessing or curse? A narrative review of the risk of chlorhexidine resistance and the implications for infection prevention and control. Eur. J. Clin. Microbiol. Infect. Dis. 2022, 41, 349–362. [Google Scholar] [CrossRef]
- Nourbakhsh, F.; Nasrollahzadeh, M.S.; Tajani, A.S.; Soheili, V.; Hadizadeh, F. Bacterial biofilms and their resistance mechanisms: A brief look at treatment with natural agents. Folia Microbiol. 2022, 67, 535–554. [Google Scholar] [CrossRef]
- Saeed, K.; Pasha, I.; Chughtai, M.F.J.; Ali, Z.; Bukhari, H.; Zuhair, M. Application of essential oils in food industry: Challenges and innovation. J. Essent. Oil Res. 2022, 34, 97–110. [Google Scholar] [CrossRef]
- Dhifi, W.; Bellili, S.; Jazi, S.; Bahloul, N.; Mnif, W. Essential oils’ chemical characterization and investigation of some biological activities: A critical review. Medicines 2016, 3, 25. [Google Scholar] [CrossRef]
- Nakamura, A.; Kawahara, A.; Takahashi, H.; Kuda, T.; Kimura, B. Comparison between the Antimicrobial Activity of Essential Oils and Their Components in the Vapor Phase against Food-related Bacteria. J. Oleo Sci. 2022, 71, 411–417. [Google Scholar] [CrossRef] [PubMed]
- Kazachenko, A.S.; Vasilieva, N.Y.; Fetisova, O.Y.; Sychev, V.V.; Elsuf’ev, E.V.; Malyar, Y.N.; Issaoui, N.; Miroshnikova, A.V.; Borovkova, V.S.; Kazachenko, A.S. New reactions of betulin with sulfamic acid and ammonium sulfamate in the presence of solid catalysts. Biomass Convers. Biorefinery 2022, 1–12. [Google Scholar] [CrossRef]
- Yamaguchi, T. Antibacterial effect of the combination of terpenoids. Arch. Microbiol. 2022, 204, 520. [Google Scholar] [CrossRef] [PubMed]
- Yang, W.; Chen, X.; Li, Y.; Guo, S.; Wang, Z.; Yu, X. Advances in pharmacological activities of terpenoids. Nat. Prod. Commun. 2020, 15, 1934578X20903555. [Google Scholar] [CrossRef]
- Mutlu-Ingok, A.; Devecioglu, D.; Dikmetas, D.N.; Karbancioglu-Guler, F.; Capanoglu, E. Antibacterial, antifungal, antimycotoxigenic, and antioxidant activities of essential oils: An updated review. Molecules 2020, 25, 4711. [Google Scholar] [CrossRef] [PubMed]
- Sun, J. D-Limonene: Safety and clinical applications. Altern. Med. Rev. 2007, 12, 259–264. [Google Scholar] [PubMed]
- Gupta, A.; Jeyakumar, E.; Lawrence, R. Journey of limonene as an antimicrobial agent. J. Pure Appl. Microbiol. 2021, 15, 1094–1110. [Google Scholar] [CrossRef]
- Lee, S.-B.; Cha, K.-H.; Kim, S.-N.; Altantsetseg, S.; Shatar, S.; Sarangerel, O.; Nho, C.-W. The antimicrobial activity of essential oil from Dracocephalum foetidum against pathogenic microorganisms. J. Microbiol. 2007, 45, 53–57. [Google Scholar]
- Subramenium, G.A.; Vijayakumar, K.; Pandian, S.K. Limonene inhibits streptococcal biofilm formation by targeting surface-associated virulence factors. J. Med. Microbiol. 2015, 64, 879–890. [Google Scholar] [CrossRef]
- Yadav, M.K.; Chae, S.-W.; Im, G.J.; Chung, J.-W.; Song, J.-J. Eugenol: A phyto-compound effective against methicillin-resistant and methicillin-sensitive Staphylococcus aureus clinical strain biofilms. PLoS ONE 2015, 10, e0119564. [Google Scholar] [CrossRef]
- Khaleel, C.; Tabanca, N.; Buchbauer, G. α-Terpineol, a natural monoterpene: A review of its biological properties. Open Chem. 2018, 16, 349–361. [Google Scholar] [CrossRef]
- Ding, Q.; Zhuang, T.; Fu, P.; Zhou, Q.; Luo, L.; Dong, Z.; Li, H.; Tang, S. Alpha-terpineol grafted acetylated lentinan as an anti-bacterial adhesion agent. Carbohydr. Polym. 2022, 277, 118825. [Google Scholar] [CrossRef] [PubMed]
- Ulanowska, M.; Olas, B. Biological Properties and prospects for the application of eugenol—A review. Int. J. Mol. Sci. 2021, 22, 3671. [Google Scholar] [CrossRef] [PubMed]
- Weinstein, M.P. Performance Standards for Antimicrobial Susceptibility Testing; Clinical and Laboratory Standards Institute: Wayne, PA, USA, 2021. [Google Scholar]
- Sarker, S.D.; Nahar, L.; Kumarasamy, Y. Microtitre plate-based antibacterial assay incorporating resazurin as an indicator of cell growth, and its application in the in vitro antibacterial screening of phytochemicals. Methods 2007, 42, 321–324. [Google Scholar] [CrossRef] [PubMed]
- Fink, R.; Potočnik, A.; Oder, M. Plant-based natural saponins for Escherichia coli surface hygiene management. LWT 2020, 122, 109018. [Google Scholar] [CrossRef]
- Babajanian, M.; Marden, M. Safer cleaning products and asthma: Tips and resources for health professionals. AAP Action 2021, 6–10. Available online: https://nyscheck.org/wp-content/uploads/2021/11/AAP_-in_Action_November_2021_Newsletter_6-10.pdf (accessed on 25 November 2022).
- Masyita, A.; Sari, R.M.; Astuti, A.D.; Yasir, B.; Rumata, N.R.; Emran, T.B.; Nainu, F.; Simal-Gandara, J. Terpenes and terpenoids as main bioactive compounds of essential oils, their roles in human health and potential application as natural food preservatives. Food Chem. X 2022, 13, 100217. [Google Scholar] [CrossRef]
- Zhao, X.; Wei, S.; Tian, Q.; Peng, W.; Tao, Y.; Bo, R.; Liu, M.; Li, J. Eugenol exposure in vitro inhibits the expressions of T3SS and TIF virulence genes in Salmonella Typhimurium and reduces its pathogenicity to chickens. Microb. Pathog. 2022, 162, 105314. [Google Scholar] [CrossRef]
- Huang, J.; Yang, L.; Zou, Y.; Luo, S.; Wang, X.; Liang, Y.; Du, Y.; Feng, R.; Wei, Q. Antibacterial activity and mechanism of three isomeric terpineols of Cinnamomum longepaniculatum leaf oil. Folia Microbiol. 2021, 66, 59–67. [Google Scholar] [CrossRef]
- Costa, M.D.S.; Rocha, J.E.; Campina, F.F.; Silva, A.R.; Da Cruz, R.P.; Pereira, R.L.; Quintans-Júnior, L.J.; De Menezes, I.R.; Adriano, A.D.S.; De Freitas, T.S. Comparative analysis of the antibacterial and drug-modulatory effect of d-limonene alone and complexed with β-cyclodextrin. Eur. J. Pharm. Sci. 2019, 128, 158–161. [Google Scholar] [CrossRef]
- Van de Vel, E.; Sampers, I.; Raes, K. A review on influencing factors on the minimum inhibitory concentration of essential oils. Crit. Rev. Food Sci. Nutr. 2019, 59, 357–378. [Google Scholar] [CrossRef]
- Kampf, G. Adaptive bacterial response to low level chlorhexidine exposure and its implications for hand hygiene. Microb. Cell 2019, 6, 307. [Google Scholar] [CrossRef] [PubMed]
- Cota, J.B.; Carvalho, A.C.; Dias, I.; Reisinho, A.; Bernardo, F.; Oliveira, M. Salmonella spp. in pet reptiles in portugal: Prevalence and chlorhexidine gluconate antimicrobial efficacy. Antibiotics 2021, 10, 324. [Google Scholar] [CrossRef] [PubMed]
- Ulhaq, Z.S.; Hendyatama, T.H.; Hameed, F.; Santosaningsih, D. Antibacterial activity of Citrus hystrix toward Salmonella spp. infection. Enferm. Infecc. Y Microbiol. Clin. 2021, 39, 283–286. [Google Scholar] [CrossRef]
- Umagiliyage, A.L.; Becerra-Mora, N.; Kohli, P.; Fisher, D.J.; Choudhary, R. Antimicrobial efficacy of liposomes containing d-limonene and its effect on the storage life of blueberries. Postharvest Biol. Technol. 2017, 128, 130–137. [Google Scholar] [CrossRef]
- Condell, O.; Power, K.A.; Händler, K.; Finn, S.; Sheridan, A.; Sergeant, K.; Renaut, J.; Burgess, C.M.; Hinton, J.C.; Nally, J.E. Comparative analysis of Salmonella susceptibility and tolerance to the biocide chlorhexidine identifies a complex cellular defense network. Front. Microbiol. 2014, 5, 373. [Google Scholar] [CrossRef]
Disclaimer/Publisher’s Note: The statements, opinions and data contained in all publications are solely those of the individual author(s) and contributor(s) and not of MDPI and/or the editor(s). MDPI and/or the editor(s) disclaim responsibility for any injury to people or property resulting from any ideas, methods, instructions or products referred to in the content. |
© 2023 by the author. Licensee MDPI, Basel, Switzerland. This article is an open access article distributed under the terms and conditions of the Creative Commons Attribution (CC BY) license (https://creativecommons.org/licenses/by/4.0/).