Energy-Saving and Low-Carbon Gear Blank Dimension Design Based on Business Compass
Abstract
:1. Introduction
2. Sustainable Blank Dimension Design Method under the Guidance of the Business Compass
2.1. The Guidance of the Business Compass to Business Operations
2.2. The Blank Dimension Sustainable Design Framework Based on Business Compass
3. Blank Dimension Optimal Design Model Based on Low-Carbon and Low-Energy Consumption
3.1. Energy Consumption Calculation Model Based on Blank Production and Processing
3.2. Carbon Emission Calculation Model Based on Blank Production and Processing
3.2.1. Carbon Emissions from the Blank Production Process
3.2.2. Material Consumption, Energy Consumption, and Waste Generation in Blank Processing
3.2.3. Material Carbon Emissions Calculation
3.2.4. Energy Carbon Emission Calculation
- (1)
- Indirect carbon emissions
- (2)
- Direct carbon emissions
3.2.5. Waste Disposal Carbon Emissions
4. Optimization Model Solution Method
4.1. Grey Wolf Algorithm Description
4.2. Algorithm Flow
4.3. Encoding and Decoding
4.4. Population Initialization and Fitness Function
4.5. Constraints
- (1)
- Biting condition.
- (2)
- Stability condition of the rolling piece in the pass.
- (3)
- Machine tool speed constraint.
- (4)
- Feed limit constraint.
- (5)
- Cutting force constraint.
- (6)
- Machine tool power constraint.
- (7)
- Feature roughness constraint.
4.6. Establishing Population Classes and Location Updates
4.7. Genetic Operations
5. Case Study
5.1. Instance Parameters
5.2. Experimental Equipment and Parameters
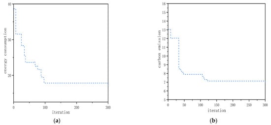
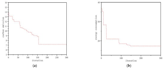
5.3. Optimization Results and Analysis
5.4. Comparison with Previous Works
5.5. Practical Implications and Future Steps
6. Conclusions
- In order to achieve the goal of minimum energy consumption and carbon emission in the process of blank production and use, the optimization design of the blank dimension is carried out. The factors in the process of blank production and use are coordinated according to the business compass, and an energy-saving and low-carbon blank dimension optimization design method considering the process of dynamic change is proposed. The gray wolf algorithm is used to solve the calculation model. Taking gear blank as an example, the feasibility of the method is verified. Compared with the two standard blank dimensions, 100 and 105, this method can reduce energy consumption by 4.3% and 6.9%, respectively, and reduce carbon emissions by 7.4% and 9.8%, respectively. The results show that this method can effectively help production managers and designers design appropriate blank dimensions to achieve the goal of energy saving and emission reduction in the process of blank production and use.
- The value of this method mainly lies in: (1) selecting the optimization design of blank dimension, which is less studied at present, to analyze the process of energy consumption and carbon emission change in the process of blank production and processing; (2) taking the business compass as a guide, comprehensively coordinating the factors of the stage of blank production and the stage of using; (3) selecting the optimization objective which synthetically considers the energy-saving and low-carbon composite economic indexes, and establishing the optimization model of processing parameters.
Author Contributions
Funding
Institutional Review Board Statement
Informed Consent Statement
Data Availability Statement
Conflicts of Interest
References
- Hirschnitz-Garbers, M.; Tan, A.R.; Gradmann, A. Key drivers for unsustainable resource use–categories, effects and policy pointers. J. Clean. Prod. 2016, 132, 13–31. [Google Scholar] [CrossRef]
- Murray, A.; Skene, K.; Haynes, K. The circular economy: An interdisciplinary exploration of the concept and application in a global context. J. Bus. Ethics 2017, 140, 369–380. [Google Scholar] [CrossRef]
- Lin, K.; Zhao, H. The Impact of Green Finance on the Ecologicalization of Urban Industrial Structure-Based on GMM of Dynamic Panel System. J. Artif. Intell. Technol. 2022, 2, 123–129. [Google Scholar] [CrossRef]
- Zheng, J.; Feng, G.; Ren, Z. China’s energy consumption and economic activity at the regional level. Energy 2022, 259, 124948. [Google Scholar] [CrossRef]
- Zhou, L.; Li, J.; Li, F. Energy consumption model and energy efficiency of machine tools: A comprehensive literature review. J. Clean. Prod. 2016, 112, 3721–3734. [Google Scholar] [CrossRef]
- Starman, B.; Cafuta, G.; Mole, N. A Method for Simultaneous Optimization of Blank Shape and Forming Tool Geometry in Sheet Metal Forming Simulations. Metals 2021, 11, 544. [Google Scholar] [CrossRef]
- Wan, M.Z.; Zhu, Q.H.; Wu, J. Research and Development of Forming Process for Super Heavy Flange Forgings with Thick Wall. Hot Work. Technol. 2020, 49, 123–125. [Google Scholar]
- Li, D.C.; Lu, X.; Sun, Z.Y. Investigation on workblank size requirements of rotary-swaging shafts of an automobile. J. Plast. Eng. 2019, 26, 72–76. [Google Scholar]
- Xu, L.L.; Deng, J.D.; Hu, Z.L.; Xu, L. Intelligent deduction design method of ring forging rolling blank based on machine learning. J. Plast. Eng. 2022, 29, 23–29. [Google Scholar]
- Zhang, X.Q.; Wang, Y.; Wang, C.; Hu, P. Blank Optimization for Sheet Metal Forming Using Inverse Finite Element Method and Mesh Mapping. J. Shanghai Jiaotong Univ. 2019, 53, 1389–1394. [Google Scholar]
- Akinnuli, B.O.; Olatunji, O.E.; Bodunde, O.P. Symmetrical shell deep drawing material optimal blank diameter prediction and waste control model. Arctic 2018, 71, 60–69. [Google Scholar]
- Xiao, Y.; Yan, W.; Wang, R. Research on Blank Optimization Design Based on Low-Carbon and Low-Cost Blank Process Route Optimization Mode. Sustainability 2021, 13, 1929. [Google Scholar] [CrossRef]
- Gharehchahi, H.; Kazemzadeh-Parsi, M.J.; Afsari, A. Optimum blank shape design in deep drawing process using a new boundary updating formula. Int. J. Mater. Form. 2021, 14, 1375–1389. [Google Scholar] [CrossRef]
- Li, C.B.; Yu, B.S.; Xiao, Q. A Cutting Parameter Energy-saving Optimization Method for CNC Turning Batch Processing Considering Tool Wear. J. Mech. Eng. 2021, 57, 217–229. [Google Scholar]
- Liu, Y.; Yan, C.; Ni, Y.; Mou, Y. Multi-objective Optimization Decision of High-speed Dry Hobbing Process Parameters Based on GABP and Improved NSGA-II. China Mech. Eng. 2021, 32, 1043–1050. [Google Scholar]
- Tian, C.; Zhou, G.; Zhang, J.; Wang, C. Integration optimization of tool selection and cutting parameters based on machining features considering carbon emissions. Comput. Integr. Manuf. Syst. 2020, 26, 2060–2072. [Google Scholar]
- Li, L.; Li, C.; Tang, Y. An integrated approach of process planning and cutting parameter optimization for Energy-aware CNC Machining. J. Clean. Prod. 2017, 162, 458–473. [Google Scholar] [CrossRef]
- Khan, A.M.; Liang, L.; Mia, M. Development of process performance simulator (PPS) and parametric optimization for sustainable machining considering carbon emission, cost and energy aspects. Renew. Sustain. Energy Rev. 2021, 139, 110738. [Google Scholar] [CrossRef]
- Joshi, M.; Ghadai, R.K.; Madhu, S. Comparison of NSGA-II, MOALO and MODA for Multi-Objective Optimization of Micro-Machining Processes. Materials 2021, 14, 5109. [Google Scholar] [CrossRef]
- Zhou, G.; Qi, L.; Xiao, Z. Cutting parameter optimization for machining operations considering carbon emissions. J. Clean. Prod. 2018, 208, 937–950. [Google Scholar] [CrossRef]
- Xiao, Q.; Li, C.; Tang, Y. A knowledge-driven method of adaptively optimizing process parameters for energy efficient turning. Energy 2019, 166, 142–156. [Google Scholar] [CrossRef]
- Shin, S.; Woo, J.; Rachuri, S. Energy efficiency of milling machining: Component modeling and online optimization of cutting parameters. J. Clean. Prod. 2017, 161, 12–29. [Google Scholar] [CrossRef]
- Wang, R.P. Business Compass; Science Press China: Beijing, China, 2020. [Google Scholar]
- Xiao, Y.; Wang, R.; Yan, W.; Ma, L. Optimum Design of Blank Dimensions Guided by a Business Compass in the Machining Process. Processes 2021, 9, 1286. [Google Scholar] [CrossRef]
- Khan, M.; Idrees, M.; Rauf, M. Green Supply Chain Management Practices’ Impact on Operational Performance with the Mediation of Technological Innovation. Sustainability 2022, 14, 3362. [Google Scholar] [CrossRef]
- Bocken, N.M.; Pauw, I.; Bakker, C.; Grinten, B.C. Product design and business model strategies for a circular economy. J. Ind. Prod. Eng. 2016, 33, 308–320. [Google Scholar] [CrossRef]
- Maxwell, D.; Vorst, R. Developing sustainable products and services. J. Clean. Prod. 2003, 11, 883–895. [Google Scholar] [CrossRef]
- Vrchota, J.; Pech, M.; Rolínek, L. Sustainability Outcomes of Green Processes in Relation to Industry 4.0 in Manufacturing: Systematic Review. Sustainability 2020, 12, 5968. [Google Scholar] [CrossRef]
- Xu, B.; Qu, H. Impact of the design industry on carbon emissions in the manufacturing industry in china: A case study of zhejiang province. Sustainability 2022, 14, 4261. [Google Scholar] [CrossRef]
- Hammond, G.P.; Jones, C.I. Embodied Energy and Carbon In Construction Materials. Constr. Mater. 2009, 162, 1–64. [Google Scholar] [CrossRef]
- Li, R.; Liu, Q. Service-oriented Research on Multi-pass Milling Parameters Optimization for Green and High Efficiency. Chin. J. Mech. Eng. 2015, 51, 89–98. [Google Scholar] [CrossRef]
- Xiao, Y.; Zhang, H.; Jiang, Z. An approach for blank dimension design considering energy consumption. Int. J. Adv. Manuf. Technol. 2016, 87, 1229–1235. [Google Scholar] [CrossRef]
- Lu, C.; Gao, L.; Li, X. A hybrid multi-objective grey wolf optimizer for dynamic scheduling in a real-world welding industry. Eng. Appl. Artif. Intell. 2017, 57, 61–79. [Google Scholar] [CrossRef]
- Komaki, G.M.; Kayvanfar, V. Grey Wolf Optimizer algorithm for the two-stage assembly flow shop scheduling problem with release time. J. Comput. Sci. 2015, 8, 109–120. [Google Scholar] [CrossRef]
- Teng, Z.J.; Lv, J.L.; Guo, L.W. An improved hybrid grey wolf optimization algorithm. Soft Comput. 2019, 23, 6617–6631. [Google Scholar] [CrossRef]
- Xiao, Y.M.; Zhang, H. Multiobjective optimization of machining center process route: Tradeoffs between energy and cost. J. Clean. Prod. 2021, 28, 21–26. [Google Scholar] [CrossRef]
- Joshi, H.; Arora, S. Enhanced Grey Wolf Optimization Algorithm for Global Optimization. Fundam. Inform. 2017, 153, 235–264. [Google Scholar] [CrossRef]
- Zhou, B.; Lei, Y. Bi-objective grey wolf optimization algorithm combined Levy flight mechanism for the FMC green scheduling problem. Appl. Soft Comput. 2021, 111, 107717. [Google Scholar] [CrossRef]
- Dong, Y.; Liu, J.; Liu, Y. The Optimization Research of Diesel Cylinder Gasket Parameters Based on Hybrid Neutral Network and Improved Grey Wolf Algorithm. Math. Probl. Eng. 2020, 2020, 1–16. [Google Scholar] [CrossRef]
- Huang, G.; Cai, Y.; Liu, J. A Novel Hybrid Discrete Grey Wolf Optimizer Algorithm for Multi-UAV Path Planning. J. Intell. Robot. Syst. 2021, 103, 1–18. [Google Scholar] [CrossRef]
- Karakoyun, M.; Ozkis, A.; Kodaz, H. A new algorithm based on grey wolf optimizer and shuffled frog leaping algorithm to solve the multi-objective optimization problems. Appl. Soft Comput. 2020, 96, 106560. [Google Scholar] [CrossRef]
- Choubey, C.; Ohri, J. Optimal Trajectory Generation for a 6-DOF Parallel Manipulator Using Grey Wolf Optimization Algorithm. Robotica 2020, 39, 411–427. [Google Scholar] [CrossRef]
- Yin, L.; Zhuang, M.; Jia, J. Energy Saving in Flow-Shop Scheduling Management: An Improved Multiobjective Model Based on Grey Wolf Optimization Algorithm. Math. Probl. Eng. 2020, 2020, 1–14. [Google Scholar] [CrossRef]
- Naserbegi, A.; Aghaie, M.; Zolfaghari, A. Implementation of Grey Wolf Optimization (GWO) algorithm to multi-objective loading pattern optimization of a PWR reactor. Ann. Nucl. Energy 2020, 148, 107703. [Google Scholar] [CrossRef]
- Hudzikowski, A.; Gluszek, A.; Krzempek, K. A compact, spherical mirrors-based dense astigmatic-like pattern multipass cell design aided by a genetic algorithm. Opt. Express 2021, 29, 26127–26136. [Google Scholar] [CrossRef]
- Elasko, D.; Ksiek, W.; Pawiak, P. Transmission Quality Classification with Use of Fusion of Neural Network and Genetic Algorithm in Pay&Require Multi-Agent Managed Network. Sensors 2021, 21, 4090. [Google Scholar] [CrossRef]
- Rezaeipanah, A.; Mojarad, M. Modeling the Scheduling Problem in Cellular Manufacturing Systems Using Genetic Algorithm as an Efficient Meta-Heuristic Approach. J. Artif. Intell. Technol. 2021, 1, 228–234. [Google Scholar] [CrossRef]









| Lathe | |||||||
|---|---|---|---|---|---|---|---|
| M1 | 100 | 1400 | 0.1 | 0.25 | 1700 | 8.0 | 0.85 |
| M2 | 120 | 1600 | 0.1 | 0.35 | 1700 | 10 | 0.8 |
| Tool | Material | Main Deflection Angle(°) | Rake Angle(°) | Blade Angle(°) | |
|---|---|---|---|---|---|
| K1 | High-speed steel | 45° | 20° | 5° | 0.8 |
| K2 | Cemented carbide | 45° | 20° | 5° | 0.8 |
| 1 | 1750 | 0.9 | 0.75 | 0 | 1 | 580 | 1.1 | 0.65 | 0 | 1 |
| 2 | 2855 | 1.0 | 0.75 | −0.1 | 1 | 2920 | 1 | 0.5 | −0.35 | 1 |
| 1 | 1100 | 0.9 | 0.65 | 0 | 1 | |||||
| 2 | 1930 | 0.9 | 0.6 | −0.35 | 1 |
| Carbon Emission Category | Material i Consumption | Production Process Consumes Energy c | Energy c Carbon Emission Factor |
|---|---|---|---|
| Steel | Raw coal | 2.653 |
| Carbon Emission Category | The nth Energy Type Consumed by Energy k | Production Process Consumes Energy | |
|---|---|---|---|
| Electricity | Raw coal | 2.565 | |
| Crude | 2.221 | ||
| Natural gas | 1.642 | ||
| Coal | Crude | 2.221 | |
| Natural gas | 1.642 | ||
| Electricity | 8.220 | ||
| Natural gas | Raw coal | 2.565 | |
| Crude | 2.221 | ||
| Natural gas | 1.642 | ||
| Fuel/Circulating oil/Lubricant | Raw coal | 2.565 | |
| Crude | 2.221 | ||
| Natural gas | 1.642 |
| Carbon Emission Category | Consumption Type of Material k | |
|---|---|---|
| Processing direct carbon emissions | Coal | 0.6764 |
| Natural gas | 0.4593 | |
| Fuel/Circulating oil/Lubricant | 0.6878 |
| Carbon Emission Category | Waste l Discharge Type | Energy Consumed Type in the Waste Treatment Process | |
|---|---|---|---|
| Wastewater/waste oil | Electricity | 8.221 | |
| Scra0ps | Electricity | 8.221 |
| Scheme | Blank Dimension | Energy Consumption | Carbon Emission | Material Consumption |
|---|---|---|---|---|
| 1 | 98.6 | 15.865 | 6.31 | 0.893 |
| 2 | 100 | 16.57 | 6.93 | 0.925 |
| 3 | 105 | 17.03 | 6.85 | 1.02 |
Publisher’s Note: MDPI stays neutral with regard to jurisdictional claims in published maps and institutional affiliations. |
© 2022 by the authors. Licensee MDPI, Basel, Switzerland. This article is an open access article distributed under the terms and conditions of the Creative Commons Attribution (CC BY) license (https://creativecommons.org/licenses/by/4.0/).
Share and Cite
Xiao, Y.; Zhou, J.; Wang, R.; Zhu, X.; Zhang, H. Energy-Saving and Low-Carbon Gear Blank Dimension Design Based on Business Compass. Processes 2022, 10, 1859. https://doi.org/10.3390/pr10091859
Xiao Y, Zhou J, Wang R, Zhu X, Zhang H. Energy-Saving and Low-Carbon Gear Blank Dimension Design Based on Business Compass. Processes. 2022; 10(9):1859. https://doi.org/10.3390/pr10091859
Chicago/Turabian StyleXiao, Yongmao, Jincheng Zhou, Ruping Wang, Xiaoyong Zhu, and Hao Zhang. 2022. "Energy-Saving and Low-Carbon Gear Blank Dimension Design Based on Business Compass" Processes 10, no. 9: 1859. https://doi.org/10.3390/pr10091859
APA StyleXiao, Y., Zhou, J., Wang, R., Zhu, X., & Zhang, H. (2022). Energy-Saving and Low-Carbon Gear Blank Dimension Design Based on Business Compass. Processes, 10(9), 1859. https://doi.org/10.3390/pr10091859

