Synthesis, Characterization, and Biological Evaluation of Novel N-{4-[(4-Bromophenyl)sulfonyl]benzoyl}-L-valine Derivatives
Abstract
1. Introduction
2. Results
2.1. Drug Design Strategy
2.1.1. Structure-Based Similarity Analysis
2.1.2. PASS Prediction
2.2. Chemistry
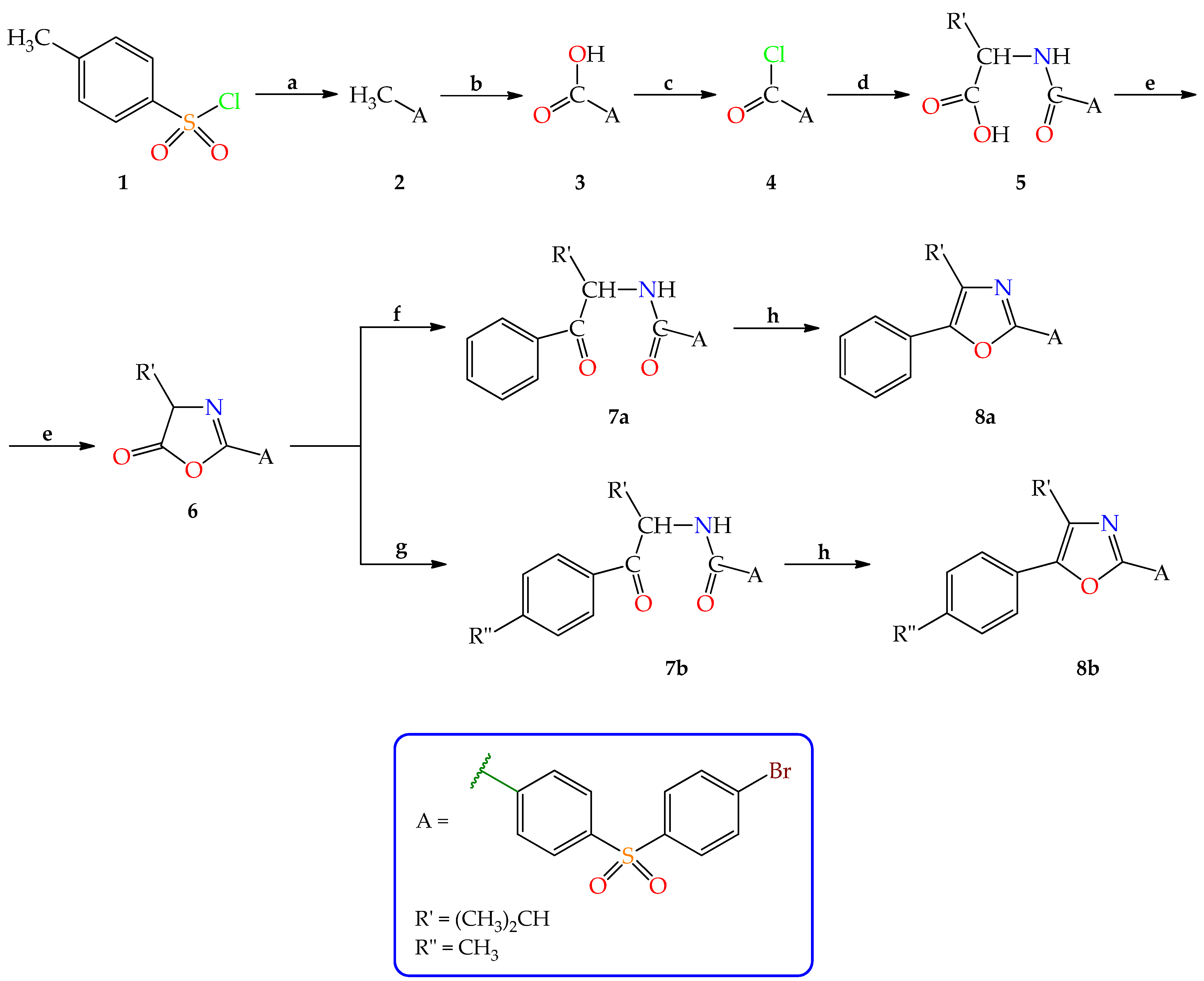
2.2.1. Synthesis of the New Compounds
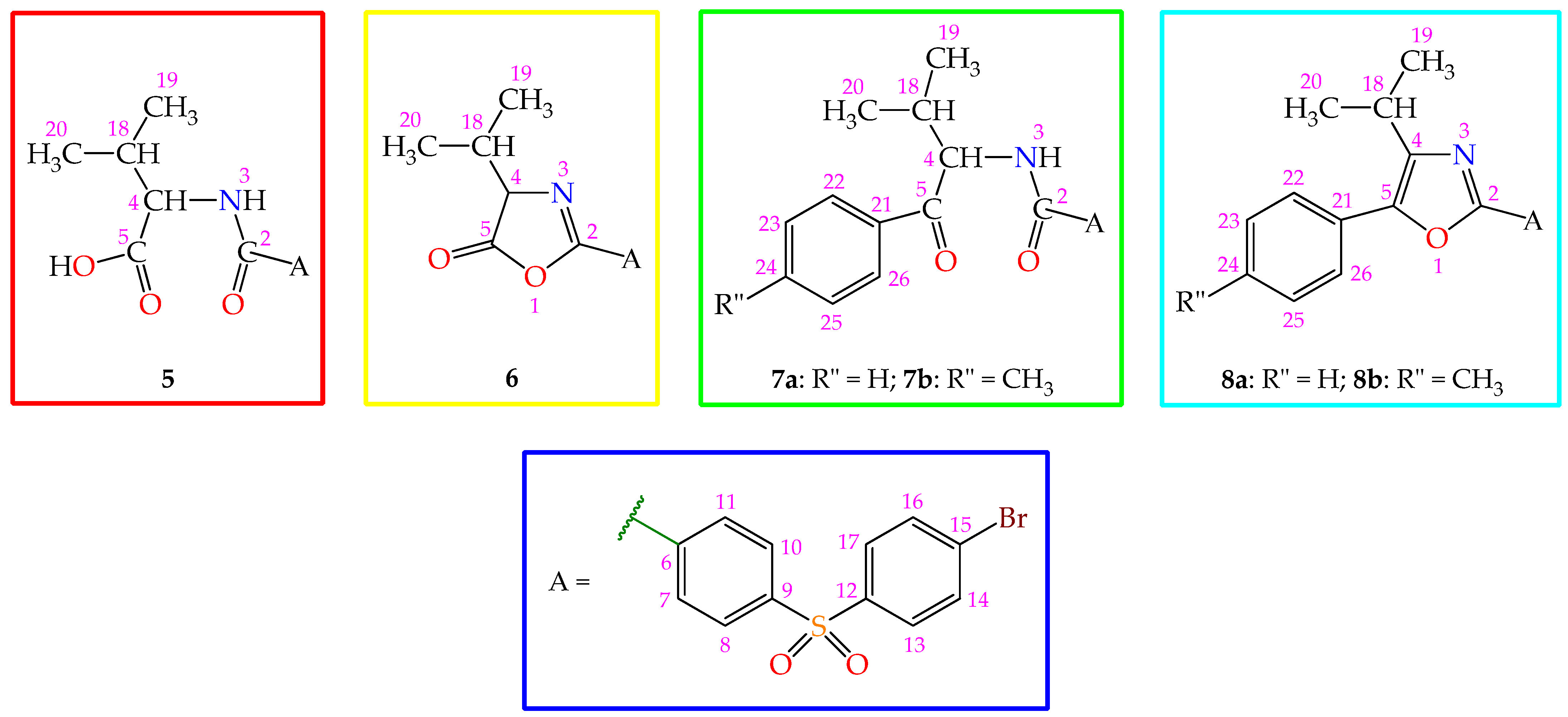
2.2.2. Spectroscopic Characterization of the New Compounds
Ultraviolet and Visible Absorption Spectroscopy Data
Fourier-Transform Infrared Absorption Spectroscopy Data
Nuclear Magnetic Resonance Spectroscopy Data
- Proton NMR Spectroscopy Data
- Carbon-13 NMR Spectroscopy Data
Gas Chromatography Coupled to Electron Ionization Mass Spectrometry Data
2.3. Evaluation of Antimicrobial Activity
2.3.1. Qualitative Assessment of Antimicrobial Activity
2.3.2. Effects of Compounds on Antibiotic Susceptibility Profile
2.3.3. Quantitative Testing of Antimicrobial Activity
2.3.4. Evaluation of Antibiofilm Activity
2.4. Evaluation of Antioxidant Activity
2.4.1. Antioxidant Activity Assay by DPPH Method
2.4.2. Antioxidant Activity Assay by ABTS Method
2.4.3. Ferric Reducing Power Assay
2.5. Daphnia magna Toxicity Bioassay
3. Discussions
4. Materials and Methods
4.1. Prediction of the Molecular Mechanism of Action and Toxicity
4.1.1. Structure-Based Similarity Analysis
4.1.2. PASS Prediction
4.2. General Information
4.3. Chemistry
4.3.1. Preparation and Characterization of 2-{4-[(4-Bromophenyl)sulfonyl]benzamido}-3-methylbutanoic Acid 5
4.3.2. Preparation and Characterization of 2-{4-[(4-Bromophenyl)sulfonyl]phenyl}-4-isopropyl-4H-1,3-oxazol-5-one 6
4.3.3. General Procedure for the Preparation of 2-Acylamino Ketones 7a,b and Their Characterization
4-[(4-Bromophenyl)sulfonyl]-N-(3-methyl-1-oxo-1-phenylbutan-2-yl)benzamide 7a
4-[(4-Bromophenyl)sulfonyl]-N-[3-methyl-1-oxo-1-(p-tolyl)butan-2-yl]benzamide 7b
4.3.4. General Procedure for the Preparation of 2,5-Disubstituted 4-Isopropyl-1,3-oxazoles 8a,b and Their Characterization
2-{4-[(4-Bromophenyl)sulfonyl]phenyl}-4-isopropyl-5-phenyl-1,3-oxazole 8a
2-{4-[(4-Bromophenyl)sulfonyl]phenyl}-4-isopropyl-5-(p-tolyl)-1,3-oxazole 8b
4.4. Assessment of Antimicrobial Activity
4.4.1. Pathogenic Microbial Strains
4.4.2. Agar Diffusion Assay
4.4.3. Evaluation of the Effects of the Tested Compounds on the Antibiotic Susceptibility Profile
4.4.4. Broth Microdilution Assay
4.4.5. Microplate Microtiter Assay
4.5. Evaluation of Antioxidant Activity
4.5.1. Antioxidant Activity Assay by DPPH Method
4.5.2. Antioxidant Activity Assay by ABTS Method
4.5.3. Ferric Reducing Power Assay
4.6. Daphnia magna Toxicity Bioassay
5. Conclusions
6. Patents
Supplementary Materials
Author Contributions
Funding
Institutional Review Board Statement
Informed Consent Statement
Data Availability Statement
Conflicts of Interest
References
- Christaki, E.; Marcou, M.; Tofarides, A. Antimicrobial Resistance in Bacteria: Mechanisms, Evolution, and Persistence. J. Mol. Evol. 2020, 88, 26–40. [Google Scholar] [CrossRef] [PubMed]
- Chen, J.; Lv, S.; Liu, J.; Yu, Y.; Wang, H.; Zhang, H. An Overview of Bioactive 1,3-Oxazole-Containing Alkaloids from Marine Organisms. Pharmaceuticals 2021, 14, 1274. [Google Scholar] [CrossRef]
- Mhlongo, J.T.; Brasil, E.; de la Torre, B.G.; Albericio, F. Naturally Occurring Oxazole-Containing Peptides. Mar. Drugs 2020, 18, 203. [Google Scholar] [CrossRef]
- Zheng, X.; Liu, W.; Zhang, D. Recent Advances in the Synthesis of Oxazole-Based Molecules via van Leusen Oxazole Synthesis. Molecules 2020, 25, 1594. [Google Scholar] [CrossRef] [PubMed]
- Kakkar, S.; Narasimhan, B. A comprehensive review on biological activities of oxazole derivatives. BMC Chem. 2019, 13, 16. [Google Scholar] [CrossRef] [PubMed]
- Li, Q.; Seiple, I.B. Modular Synthesis of Streptogramin Antibiotics. Synlett 2021, 32, 647–654. [Google Scholar] [CrossRef] [PubMed]
- Velluti, F.; Mosconi, N.; Acevedo, A.; Borthagaray, G.; Castiglioni, J.; Faccio, R.; Back, D.F.; Moyna, G.; Rizzotto, M.; Torre, M.H. Synthesis, characterization, microbiological evaluation, genotoxicity and synergism tests of new nano silver complexes with sulfamoxole X-ray diffraction of [Ag2(SMX)2]·DMSO. J. Inorg. Biochem. 2014, 141, 58–69. [Google Scholar] [CrossRef] [PubMed]
- Kohlmann, F.W.; Kuhne, J.; Wagener, H.H.; Weifenbach, H. Studies on microbiology and pharmacology of sulfaguanol, a new sulfonamide with effect on the intestines. Arzneimittelforschung 1973, 23, 172–178. [Google Scholar]
- Kim, H.J.; Ryu, H.; Song, J.-Y.; Hwang, S.-G.; Jalde, S.S.; Choi, H.-K.; Ahn, J. Discovery of Oxazol-2-amine Derivatives as Potent Novel FLT3 Inhibitors. Molecules 2020, 25, 5154. [Google Scholar] [CrossRef] [PubMed]
- Schmitt, F.; Gosch, L.C.; Dittmer, A.; Rothemund, M.; Mueller, T.; Schobert, R.; Biersack, B.; Volkamer, A.; Höpfner, M. Oxazole-Bridged Combretastatin A-4 Derivatives with Tethered Hydroxamic Acids: Structure–Activity Relations of New Inhibitors of HDAC and/or Tubulin Function. Int. J. Mol. Sci. 2019, 20, 383. [Google Scholar] [CrossRef] [PubMed]
- Matio Kemkuignou, B.; Treiber, L.; Zeng, H.; Schrey, H.; Schobert, R.; Stadler, M. Macrooxazoles A–D, New 2,5-Disubstituted Oxazole-4-Carboxylic Acid Derivatives from the Plant Pathogenic Fungus Phoma macrostoma. Molecules 2020, 25, 5497. [Google Scholar] [CrossRef] [PubMed]
- Jakeman, D.L.; Bandi, S.; Graham, C.L.; Reid, T.R.; Wentzell, J.R.; Douglas, S.E. Antimicrobial Activities of Jadomycin B and Structurally Related Analogues. Antimicrob. Agents Chemother. 2009, 53, 1245–1247. [Google Scholar] [CrossRef] [PubMed]
- De Koning, C.B.; Ngwira, K.J.; Rousseau, A.L. Biosynthesis, synthetic studies, and biological activities of the jadomycin alkaloids and related analogues. In The Alkaloids: Chemistry and Biology; Knölker, H.-J., Ed.; Academic Press: Cambridge, MA, USA, 2020; Volume 84, pp. 125–199. ISBN 978-0-12-820982-0. [Google Scholar]
- De Azeredo, C.M.O.; Ávila, E.P.; Pinheiro, D.L.J.; Amarante, G.W.; Soares, M.J. Biological activity of the azlactone derivative EPA-35 against Trypanosoma cruzi. FEMS Microbiol. Lett. 2017, 364, fnx020. [Google Scholar] [CrossRef][Green Version]
- Pinto, I.L.; West, A.; Debouck, C.M.; DiLella, A.G.; Gorniak, J.G.; O’Donnell, K.C.; O’Shannessy, D.J.; Patel, A.; Jarvest, R.L. Novel, selective mechanism-based inhibitors of the herpes proteases. Bioorg. Med. Chem. Lett. 1996, 6, 2467–2472. [Google Scholar] [CrossRef]
- Bhandari, S.; Bisht, K.S.; Merkler, D.J. The Biosynthesis and Metabolism of the N-Acylated Aromatic Amino Acids: N-Acylphenylalanine, N-Acyltyrosine, N-Acyltryptophan, and N-Acylhistidine. Front. Mol. Biosci. 2022, 8, 801749. [Google Scholar] [CrossRef] [PubMed]
- Arul Prakash, S.; Kamlekar, R.K. Function and therapeutic potential of N-acyl amino acids. Chem. Phys. Lipids 2021, 239, 105114. [Google Scholar] [CrossRef] [PubMed]
- Battista, N.; Bari, M.; Bisogno, T. N-Acyl Amino Acids: Metabolism, Molecular Targets, and Role in Biological Processes. Biomolecules 2019, 9, 822. [Google Scholar] [CrossRef] [PubMed]
- Burstein, S.H. N-Acyl Amino Acids (Elmiric Acids): Endogenous Signaling Molecules with Therapeutic Potential. Mol. Pharmacol. 2018, 93, 228–238. [Google Scholar] [CrossRef]
- Wei, C.-W.; Yu, Y.-L.; Chen, Y.-H.; Hung, Y.-T.; Yiang, G.-T. Anticancer effects of methotrexate in combination with α-tocopherol and α-tocopherol succinate on triple-negative breast cancer. Oncol. Rep. 2019, 41, 2060–2066. [Google Scholar] [CrossRef]
- Ezeriņa, D.; Takano, Y.; Hanaoka, K.; Urano, Y.; Dick, T.P. N-Acetyl Cysteine Functions as a Fast-Acting Antioxidant by Triggering Intracellular H2S and Sulfane Sulfur Production. Cell Chem. Biol. 2018, 25, 447–459.e4. [Google Scholar] [CrossRef] [PubMed]
- Chikukwa, M.T.R.; Walker, R.B.; Khamanga, S.M.M. Formulation and Characterisation of a Combination Captopril and Hydrochlorothiazide Microparticulate Dosage Form. Pharmaceutics 2020, 12, 712. [Google Scholar] [CrossRef] [PubMed]
- Lockbaum, G.J.; Henes, M.; Lee, J.M.; Timm, J.; Nalivaika, E.A.; Thompson, P.R.; Kurt Yilmaz, N.; Schiffer, C.A. Pan-3C Protease Inhibitor Rupintrivir Binds SARS-CoV-2 Main Protease in a Unique Binding Mode. Biochemistry 2021, 60, 2925–2931. [Google Scholar] [CrossRef]
- Vandyck, K.; Deval, J. Considerations for the discovery and development of 3-chymotrypsin-like cysteine protease inhibitors targeting SARS-CoV-2 infection. Curr. Opin. Virol. 2021, 49, 36–40. [Google Scholar] [CrossRef]
- Van Dycke, J.; Dai, W.; Stylianidou, Z.; Li, J.; Cuvry, A.; Roux, E.; Li, B.; Rymenants, J.; Bervoets, L.; de Witte, P.; et al. A Novel Class of Norovirus Inhibitors Targeting the Viral Protease with Potent Antiviral Activity In Vitro and In Vivo. Viruses 2021, 13, 1852. [Google Scholar] [CrossRef] [PubMed]
- Semple, G.; Ashworth, D.M.; Batt, A.R.; Baxter, A.J.; Benzies, D.W.M.; Elliot, L.H.; Evans, D.M.M.; Franklin, R.J.; Hudson, P.; Jenkins, P.D.; et al. Peptidomimetic aminomethylene ketone inhibitors of interleukin-1β-converting enzyme (ICE). Bioorg. Med. Chem. Lett. 1998, 8, 959–964. [Google Scholar] [CrossRef]
- Deng, H.; Bannister, T.D.; Jin, L.; Babine, R.E.; Quinn, J.; Nagafuji, P.; Celatka, C.A.; Lin, J.; Lazarova, T.I.; Rynkiewicz, M.J.; et al. Synthesis, SAR exploration, and X-ray crystal structures of factor XIa inhibitors containing an α-ketothiazole arginine. Bioorg. Med. Chem. Lett. 2006, 16, 3049–3054. [Google Scholar] [CrossRef]
- Allen, L.A.T.; Raclea, R.-C.; Natho, P.; Parsons, P.J. Recent advances in the synthesis of α-amino ketones. Org. Biomol. Chem. 2021, 19, 498–513. [Google Scholar] [CrossRef]
- Rashdan, H.R.M.; Shehadi, I.A.; Abdelrahman, M.T.; Hemdan, B.A. Antibacterial Activities and Molecular Docking of Novel Sulfone Biscompound Containing Bioactive 1,2,3-Triazole Moiety. Molecules 2021, 26, 4817. [Google Scholar] [CrossRef]
- Ahmad, I. Shagufta Sulfones: An Important Class of Organic Compounds with Diverse Biological Activities. Int. J. Pharm. Pharm. Sci. 2015, 7, 19–27. [Google Scholar]
- Apostol, T.-V.; Drăghici, C.; Socea, L.-I.; Olaru, O.T.; Șaramet, G.; Enache-Preoteasa, C.; Bărbuceanu, Ș.-F. Synthesis, Characterization and Cytotoxicity Evaluation of New Diphenyl Sulfone Derivatives. Farmacia 2021, 69, 657–669. [Google Scholar] [CrossRef]
- Mady, M.F.; Awad, G.E.A.; Jørgensen, K.B. Ultrasound-assisted synthesis of novel 1,2,3-triazoles coupled diaryl sulfone moieties by the CuAAC reaction, and biological evaluation of them as antioxidant and antimicrobial agents. Eur. J. Med. Chem. 2014, 84, 433–443. [Google Scholar] [CrossRef]
- Guzmán-Ávila, R.; Avelar, M.; Márquez, E.A.; Rivera-Leyva, J.C.; Mora, J.R.; Flores-Morales, V.; Rivera-Islas, J. Synthesis, In Vitro, and In Silico Analysis of the Antioxidative Activity of Dapsone Imine Derivatives. Molecules 2021, 26, 5747. [Google Scholar] [CrossRef]
- Fernández-Villa, D.; Aguilar, M.R.; Rojo, L. Folic Acid Antagonists: Antimicrobial and Immunomodulating Mechanisms and Applications. Int. J. Mol. Sci. 2019, 20, 4996. [Google Scholar] [CrossRef]
- Kumar Verma, S.; Verma, R.; Xue, F.; Kumar Thakur, P.; Girish, Y.R.; Rakesh, K.P. Antibacterial activities of sulfonyl or sulfonamide containing heterocyclic derivatives and its structure-activity relationships (SAR) studies: A critical review. Bioorg. Chem. 2020, 105, 104400. [Google Scholar] [CrossRef] [PubMed]
- Madduluri, V.K.; Baig, N.; Chander, S.; Murugesan, S.; Sah, A.K. Mo(VI) complex catalysed synthesis of sulfones and their modification for anti-HIV activities. Catal. Commun. 2020, 137, 105931. [Google Scholar] [CrossRef]
- Xu, S.; Song, S.; Sun, L.; Gao, P.; Gao, S.; Ma, Y.; Kang, D.; Cheng, Y.; Zhang, X.; Cherukupalli, S.; et al. Indolylarylsulfones bearing phenylboronic acid and phenylboronate ester functionalities as potent HIV-1 non-nucleoside reverse transcriptase inhibitors. Bioorg. Med. Chem. 2022, 53, 116531. [Google Scholar] [CrossRef]
- Regueiro-Ren, A. Cyclic sulfoxides and sulfones in drug design. In Advances in Heterocyclic Chemistry; Meanwell, N.A., Lolli, M.L., Eds.; Academic Press: Cambridge, MA, USA, 2021; Volume 134, pp. 1–30. ISBN 978-0-12-820181-7. [Google Scholar]
- Feng, M.; Tang, B.; Liang, S.H.; Jiang, X. Sulfur Containing Scaffolds in Drugs: Synthesis and Application in Medicinal Chemistry. Curr. Top. Med. Chem. 2016, 16, 1200–1216. [Google Scholar] [CrossRef]
- Kucwaj-Brysz, K.; Baltrukevich, H.; Czarnota, K.; Handzlik, J. Chemical update on the potential for serotonin 5-HT6 and 5-HT7 receptor agents in the treatment of Alzheimer’s disease. Bioorg. Med. Chem. Lett. 2021, 49, 128275. [Google Scholar] [CrossRef] [PubMed]
- Apostol, T.-V.; Draghici, C.; Dinu, M.; Barbuceanu, S.-F.; Socea, L.I.; Saramet, I. Synthesis, Characterization and Biological Evaluation of New 5-aryl-4-methyl-2-[para-(phenylsulfonyl)phenyl]oxazoles. Rev. Chim. 2011, 62, 142–148. [Google Scholar]
- Apostol, T.-V.; Saramet, I.; Draghici, C.; Barbuceanu, S.-F.; Socea, L.I.; Almajan, G.L. Synthesis and Characterization of New 5-Aryl-2-[para-(4-chlorophenylsulfonyl)phenyl]-4-methyloxazoles. Rev. Chim. 2011, 62, 486–492. [Google Scholar]
- Apostol, T.-V.; Barbuceanu, S.-F.; Olaru, O.T.; Draghici, C.; Saramet, G.; Socea, B.; Enache, C.; Socea, L.-I. Synthesis, Characterization and Cytotoxicity Evaluation of New Compounds from Oxazol-5(4H)-ones and Oxazoles Class Containing 4-(4-Bromophenylsulfonyl)phenyl Moiety. Rev. Chim. 2019, 70, 1099–1107. [Google Scholar] [CrossRef]
- Apostol, T.V.; Barbuceanu, S.F.; Socea, L.I.; Draghici, C.; Saramet, G.; Iscrulescu, L.; Olaru, O.T. Synthesis, Characterization and Cytotoxicity Evaluation of New Heterocyclic Compounds with Oxazole Ring Containing 4-(Phenylsulfonyl)phenyl Moiety. Rev. Chim. 2019, 70, 3793–3801. [Google Scholar] [CrossRef]
- Apostol, T.-V.; Socea, L.-I.; Drăghici, C.; Olaru, O.T.; Șaramet, G.; Enache-Preoteasa, C.; Bărbuceanu, Ș.-F. Design, Synthesis, Characterization, and Cytotoxicity Evaluation of New 4-Benzyl-1,3-oxazole Derivatives Bearing 4-(4-Chlorophenylsulfonyl)phenyl Moiety. Farmacia 2021, 69, 314–324. [Google Scholar] [CrossRef]
- Apostol, T.V.; Drăghici, C.; Socea, L.I.; Olaru, O.T.; Șaramet, G.; Hrubaru, M.; Bărbuceanu, Ș.F. Synthesis, Characterization and Cytotoxicity Assessment of New 4-Benzyl-1,3-oxazole Derivatives Incorporating 4-[(4-Bromophenyl)sulfonyl]phenyl Fragment. Farmacia 2021, 69, 521–529. [Google Scholar] [CrossRef]
- Guilhermino, L.; Diamantino, T.; Silva, M.C.; Soares, A.M.V.M. Acute Toxicity Test with Daphnia magna: An Alternative to Mammals in the Prescreening of Chemical Toxicity? Ecotoxicol. Environ. Saf. 2000, 46, 357–362. [Google Scholar] [CrossRef]
- Seremet, O.C.; Olaru, O.T.; Gutu, C.M.; Nitulescu, G.M.; Ilie, M.; Negres, S.; Zbarcea, C.E.; Purdel, C.N.; Spandidos, D.A.; Tsatsakis, A.M.; et al. Toxicity of plant extracts containing pyrrolizidine alkaloids using alternative invertebrate models. Mol. Med. Rep. 2018, 17, 7757–7763. [Google Scholar] [CrossRef]
- Lagunin, A.; Stepanchikova, A.; Filimonov, D.; Poroikov, V. PASS: Prediction of activity spectra for biologically active substances. Bioinformatics 2000, 16, 747–748. [Google Scholar] [CrossRef]
- Mavrodin, A.; Oteleanu, D.; Vorel-Stoenescu, M.; Zotta, V. Studies on the sulfone group. IV. New sulfone-hydrazide derivatives. Pharm. Zent. Dtschl. 1956, 95, 353–361. [Google Scholar]
- Schiketanz, I.; Draghici, C.; Saramet, I.; Balaban, A.T. Aminoketone, oxazole and thiazole synthesis. Part 15.1 2-[4-(4-Halobenzenesulphonyl)-phenyl]-5-aryloxazoles. Arkivoc 2002, 2002, 64–72. [Google Scholar] [CrossRef]
- Cui, S.-Q.; Liao, W.-W. Recent Advances in Transition-Metal-Catalyzed C–H Addition to Nitriles. Synthesis 2022, 54, 33–48. [Google Scholar] [CrossRef]
- da Rosa, R.; Grand, L.; Schenkel, E.P.; Campos Bernardes, L.S.; Jacolot, M.; Popowycz, F. The Use of 5-Hydroxymethylfurfural towards Fine Chemicals: Synthesis and Direct Arylation of 5-HMF-Based Oxazoles. Synlett 2021, 32, 838–844. [Google Scholar] [CrossRef]
- Wei, L.; You, S.; Tuo, Y.; Cai, M. A Highly Efficient Heterogeneous Copper-Catalyzed Oxidative Cyclization of Benzylamines and 1,3-Dicarbonyl Compounds To Give Trisubstituted Oxazoles. Synthesis 2019, 51, 3091–3100. [Google Scholar] [CrossRef]
- Murru, S.; Bista, R.; Nefzi, A. Synthesis of Novel Oxazolyl Amino Acids and Their Use in the Parallel Synthesis of Disubstituted Oxazole Libraries. Synthesis 2018, 50, 1546–1554. [Google Scholar] [CrossRef]
- Katariya, K.D.; Vennapu, D.R.; Shah, S.R. Synthesis and molecular docking study of new 1,3-oxazole clubbed pyridyl-pyrazolines as anticancer and antimicrobial agents. J. Mol. Struct. 2021, 1232, 130036. [Google Scholar] [CrossRef]
- Metelytsia, L.O.; Trush, M.M.; Kovalishyn, V.V.; Hodyna, D.M.; Kachaeva, M.V.; Brovarets, V.S.; Pilyo, S.G.; Sukhoveev, V.V.; Tsyhankov, S.A.; Blagodatnyi, V.M.; et al. 1,3-Oxazole derivatives of cytisine as potential inhibitors of glutathione reductase of Candida spp.: QSAR modeling, docking analysis and experimental study of new anti-Candida agents. Comput. Biol. Chem. 2021, 90, 107407. [Google Scholar] [CrossRef]
- Ghazvini, M.; Sheikholeslami-Farahani, F.; Hamedani, N.F.; Shahvelayati, A.S.; Rostami, Z. Bio-Fe3O4 Magnetic Nanoparticles Promoted Green Synthesis of thioxo- 1,3-Oxazole Derivatives: Study of Antimicrobial and Antioxidant Activity. Comb. Chem. High Throughput Screen. 2021, 24, 1261–1270. [Google Scholar] [CrossRef] [PubMed]
- Keivanloo, A.; Abbaspour, S.; Sepehri, S.; Bakherad, M. Synthesis, Antibacterial Activity and Molecular Docking Study of a Series of 1,3-Oxazole-Quinoxaline Amine Hybrids. Polycycl. Aromat. Compd. 2022, 42, 2378–2391. [Google Scholar] [CrossRef]
- Ansari, A.; Ali, A.; Asif, M.; Rauf, M.A.; Owais, M. Shamsuzzaman Facile one-pot multicomponent synthesis and molecular docking studies of steroidal oxazole/thiazole derivatives with effective antimicrobial, antibiofilm and hemolytic properties. Steroids 2018, 134, 22–36. [Google Scholar] [CrossRef]
- Wales, S.M.; Hammer, K.A.; Somphol, K.; Kemker, I.; Schröder, D.C.; Tague, A.J.; Brkic, Z.; King, A.M.; Lyras, D.; Riley, T.V.; et al. Synthesis and Antimicrobial Activity of Binaphthyl-Based, Functionalized Oxazole and Thiazole Peptidomimetics. Org. Biomol. Chem. 2015, 13, 10813–10824. [Google Scholar] [CrossRef]
- Stokes, N.R.; Baker, N.; Bennett, J.M.; Chauhan, P.K.; Collins, I.; Davies, D.T.; Gavade, M.; Kumar, D.; Lancett, P.; Macdonald, R.; et al. Design, synthesis and structure–activity relationships of substituted oxazole–benzamide antibacterial inhibitors of FtsZ. Bioorg. Med. Chem. Lett. 2014, 24, 353–359. [Google Scholar] [CrossRef]
- Marc, G.; Araniciu, C.; Oniga, S.D.; Vlase, L.; Pîrnău, A.; Duma, M.; Măruțescu, L.; Chifiriuc, M.C.; Oniga, O. New N-(oxazolylmethyl)-thiazolidinedione Active against Candida albicans Biofilm: Potential Als Proteins Inhibitors. Molecules 2018, 23, 2522. [Google Scholar] [CrossRef]
- Juhás, M.; Bachtíková, A.; Nawrot, D.E.; Hatoková, P.; Pallabothula, V.S.K.; Diepoltová, A.; Janďourek, O.; Bárta, P.; Konečná, K.; Paterová, P.; et al. Improving Antimicrobial Activity and Physico-Chemical Properties by Isosteric Replacement of 2-Aminothiazole with 2-Aminooxazole. Pharmaceuticals 2022, 15, 580. [Google Scholar] [CrossRef]
- Apostol, T.-V.; Chifiriuc, M.C.; Nitulescu, G.M.; Olaru, O.T.; Barbuceanu, S.-F.; Socea, L.-I.; Pahontu, E.M.; Karmezan, C.M.; Marutescu, L.G. In Silico and In Vitro Assessment of Antimicrobial and Antibiofilm Activity of Some 1,3-Oxazole-Based Compounds and Their Isosteric Analogues. Appl. Sci. 2022, 12, 5571. [Google Scholar] [CrossRef]
- Molchanova, N.; Nielsen, J.E.; Sørensen, K.B.; Prabhala, B.K.; Hansen, P.R.; Lund, R.; Barron, A.E.; Jenssen, H. Halogenation as a tool to tune antimicrobial activity of peptoids. Sci. Rep. 2020, 10, 14805. [Google Scholar] [CrossRef]
- Cruz, J.C.S.; Iorio, M.; Monciardini, P.; Simone, M.; Brunati, C.; Gaspari, E.; Maffioli, S.I.; Wellington, E.; Sosio, M.; Donadio, S. Brominated Variant of the Lantibiotic NAI-107 with Enhanced Antibacterial Potency. J. Nat. Prod. 2015, 78, 2642–2647. [Google Scholar] [CrossRef]
- Gottardi, W.; Klotz, S.; Nagl, M. Superior bactericidal activity of N-bromine compounds compared to their N-chlorine analogues can be reversed under protein load. J. Appl. Microbiol. 2014, 116, 1427–1437. [Google Scholar] [CrossRef]
- Barbuceanu, S.-F.; Almajan, G.L.; Saramet, I.; Draghici, C.; Tarcomnicu, A.I.; Bancescu, G. Synthesis, characterization and evaluation of antibacterial activity of some thiazolo[3,2-b][1,2,4]triazole incorporating diphenylsulfone moieties. Eur. J. Med. Chem. 2009, 44, 4752–4757. [Google Scholar] [CrossRef]
- Apostol, T.-V.; Marutescu, L.G.; Draghici, C.; Socea, L.-I.; Olaru, O.T.; Nitulescu, G.M.; Pahontu, E.M.; Saramet, G.; Enache-Preoteasa, C.; Barbuceanu, S.-F. Synthesis and Biological Evaluation of New N-Acyl-α-amino Ketones and 1,3-Oxazoles Derivatives. Molecules 2021, 26, 5019. [Google Scholar] [CrossRef]
- Apostol, T.-V.; Chifiriuc, M.C.; Draghici, C.; Socea, L.-I.; Marutescu, L.G.; Olaru, O.T.; Nitulescu, G.M.; Pahontu, E.M.; Saramet, G.; Barbuceanu, S.-F. Synthesis, In Silico and In Vitro Evaluation of Antimicrobial and Toxicity Features of New 4-[(4-Chlorophenyl)sulfonyl]benzoic Acid Derivatives. Molecules 2021, 26, 5107. [Google Scholar] [CrossRef]
- Zhang, W.; Liu, W.; Jiang, X.; Jiang, F.; Zhuang, H.; Fu, L. Design, synthesis and antimicrobial activity of chiral 2-(substituted-hydroxyl)-3-(benzo[d]oxazol-5-yl)propanoic acid derivatives. Eur. J. Med. Chem. 2011, 46, 3639–3650. [Google Scholar] [CrossRef] [PubMed]
- Desai, N.C.; Vaja, D.V.; Joshi, S.B.; Khedkar, V.M. Synthesis and molecular docking study of pyrazole clubbed oxazole as antibacterial agents. Res. Chem. Intermed. 2021, 47, 573–587. [Google Scholar] [CrossRef]
- Thatha, S.; Ummadi, N.; Venkatapuram, P.; Adivireddy, P. Synthesis, Characterization, and Antioxidant Activity of a New Class of Amido linked Azolyl Thiophenes. J. Heterocycl. Chem. 2018, 55, 1410–1418. [Google Scholar] [CrossRef]
- Basha, N.M.; Reddy, P.R.; Padmaja, A.; Padmavathi, V. Synthesis and Antioxidant Activity of Bis-oxazolyl/thiazolyl/imidazolyl 1,3,4-Oxadiazoles and 1,3,4-Thiadiazoles. J. Heterocycl. Chem. 2016, 53, 1276–1283. [Google Scholar] [CrossRef]
- Stankova, I.; Spasova, M. Hydroxycinnamic Acid Amides with Oxazole-Containing Amino Acid: Synthesis and Antioxidant Activity. Z. Naturforsch. C 2009, 64, 176–178. [Google Scholar] [CrossRef]
- Kumar, G.; Singh, N.P. Synthesis, anti-inflammatory and analgesic evaluation of thiazole/oxazole substituted benzothiazole derivatives. Bioorg. Chem. 2021, 107, 104608. [Google Scholar] [CrossRef]
- Mendez, D.; Gaulton, A.; Bento, A.P.; Chambers, J.; De Veij, M.; Félix, E.; Magariños, M.P.; Mosquera, J.F.; Mutowo, P.; Nowotka, M.; et al. ChEMBL: Towards direct deposition of bioassay data. Nucleic Acids Res. 2019, 47, D930–D940. [Google Scholar] [CrossRef]
- Sander, T.; Freyss, J.; von Korff, M.; Rufener, C. DataWarrior: An Open-Source Program For Chemistry Aware Data Visualization And Analysis. J. Chem. Inf. Model. 2015, 55, 460–473. [Google Scholar] [CrossRef]
- Stepanović, S.; Vuković, D.; Hola, V.; Di Bonaventura, G.; Djukić, S.; Ćirković, I.; Ruzicka, F. Quantification of biofilm in microtiter plates: Overview of testing conditions and practical recommendations for assessment of biofilm production by staphylococci. APMIS 2007, 115, 891–899. [Google Scholar] [CrossRef] [PubMed]
- Limban, C.; Balotescu Chifiriuc, M.-C.; Missir, A.-V.; Chiriţă, I.C.; Bleotu, C. Antimicrobial Activity of Some New Thioureides Derived from 2-(4-Chlorophenoxymethyl)benzoic Acid. Molecules 2008, 13, 567–580. [Google Scholar] [CrossRef]
- Patrinoiu, G.; Calderón-Moreno, J.M.; Chifiriuc, C.M.; Saviuc, C.; Birjega, R.; Carp, O. Tunable ZnO spheres with high anti-biofilm and antibacterial activity via a simple green hydrothermal route. J. Colloid Interface Sci. 2016, 462, 64–74. [Google Scholar] [CrossRef] [PubMed]
- Prodan, A.M.; Iconaru, S.L.; Chifiriuc, C.M.; Bleotu, C.; Ciobanu, C.S.; Motelica-Heino, M.; Sizaret, S.; Predoi, D. Magnetic Properties and Biological Activity Evaluation of Iron Oxide Nanoparticles. J. Nanomater. 2013, 2013, 893970. [Google Scholar] [CrossRef]
- Munteanu, I.G.; Apetrei, C. Analytical Methods Used in Determining Antioxidant Activity: A Review. Int. J. Mol. Sci. 2021, 22, 3380. [Google Scholar] [CrossRef]
- Ilyasov, I.R.; Beloborodov, V.L.; Selivanova, I.A.; Terekhov, R.P. ABTS/PP Decolorization Assay of Antioxidant Capacity Reaction Pathways. Int. J. Mol. Sci. 2020, 21, 1131. [Google Scholar] [CrossRef]
- Mendonça, J.D.S.; de Cássia Avellaneda Guimarães, R.; Zorgetto-Pinheiro, V.A.; Fernandes, C.D.P.; Marcelino, G.; Bogo, D.; de Cássia Freitas, K.; Hiane, P.A.; de Pádua Melo, E.S.; Vilela, M.L.B.; et al. Natural Antioxidant Evaluation: A Review of Detection Methods. Molecules 2022, 27, 3563. [Google Scholar] [CrossRef]
- Blois, M.S. Antioxidant Determinations by the Use of a Stable Free Radical. Nature 1958, 181, 1199–1200. [Google Scholar] [CrossRef]
- Barbuceanu, S.-F.; Ilies, D.C.; Saramet, G.; Uivarosi, V.; Draghici, C.; Radulescu, V. Synthesis and Antioxidant Activity Evaluation of New Compounds from Hydrazinecarbothioamide and 1,2,4-Triazole Class Containing Diarylsulfone and 2,4-Difluorophenyl Moieties. Int. J. Mol. Sci. 2014, 15, 10908–10925. [Google Scholar] [CrossRef]
- Ilies, D.-C.; Shova, S.; Radulescu, V.; Pahontu, E.; Rosu, T. Synthesis, characterization, crystal structure and antioxidant activity of Ni(II) and Cu(II) complexes with 2-formilpyridine N(4)-phenylthiosemicarbazone. Polyhedron 2015, 97, 157–166. [Google Scholar] [CrossRef]
- Duan, X.-J.; Zhang, W.-W.; Li, X.-M.; Wang, B.-G. Evaluation of antioxidant property of extract and fractions obtained from a red alga, Polysiphonia urceolata. Food Chem. 2006, 95, 37–43. [Google Scholar] [CrossRef]
- Re, R.; Pellegrini, N.; Proteggente, A.; Pannala, A.; Yang, M.; Rice-Evans, C. Antioxidant activity applying an improved ABTS radical cation decolorization assay. Free Radic. Biol. Med. 1999, 26, 1231–1237. [Google Scholar] [CrossRef]
- Oyaizu, M. Studies on Products of Browning Reaction. Antioxidative Activities of Products of Browning Reaction Prepared from Glucosamine. Japanese J. Nutr. Diet. 1986, 44, 307–315. [Google Scholar] [CrossRef]
- Dorman, H.J.D.; Koşar, M.; Kahlos, K.; Holm, Y.; Hiltunen, R. Antioxidant Properties and Composition of Aqueous Extracts from Mentha Species, Hybrids, Varieties, and Cultivars. J. Agric. Food Chem. 2003, 51, 4563–4569. [Google Scholar] [CrossRef]
- Işıl Berker, K.; Güçlü, K.; Tor, I.; Apak, R. Comparative evaluation of Fe (III) reducing power-based antioxidant capacity assays in the presence of phenanthroline, batho-phenanthroline, tripyridyltriazine (FRAP), and ferricyanide reagents. Talanta 2007, 72, 1157–1165. [Google Scholar] [CrossRef] [PubMed]
- OECD. Test No. 202: Daphnia sp. Acute Immobilisation Test; OECD Guidelines for the Testing of Chemicals, Section 2; OECD Publishing: Paris, France, 2004; ISBN 9789264069947. [Google Scholar]
- Stecoza, C.E.; Nitulescu, G.M.; Draghici, C.; Caproiu, M.T.; Olaru, O.T.; Bostan, M.; Mihaila, M. Synthesis and Anticancer Evaluation of New 1,3,4-Oxadiazole Derivatives. Pharmaceuticals 2021, 14, 438. [Google Scholar] [CrossRef] [PubMed]
- Nitulescu, G.; Mihai, D.P.; Nicorescu, I.M.; Olaru, O.T.; Ungurianu, A.; Zanfirescu, A.; Nitulescu, G.M.; Margina, D. Discovery of natural naphthoquinones as sortase A inhibitors and potential anti-infective solutions against Staphylococcus aureus. Drug Dev. Res. 2019, 80, 1136–1145. [Google Scholar] [CrossRef] [PubMed]
- Zakharov, A.V.; Peach, M.L.; Sitzmann, M.; Nicklaus, M.C. A New Approach to Radial Basis Function Approximation and Its Application to QSAR. J. Chem. Inf. Model. 2014, 54, 713–719. [Google Scholar] [CrossRef]





| Target | 5 | 6 | 7a | 7b | 8a | 8b |
|---|---|---|---|---|---|---|
| Antibiotic glycopeptide-like | - | 0.40 | - | - | - | - |
| Antimycobacterial | 0.49 | 0.58 | 0.51 | 0.51 | 0.36 | 0.37 |
| Antituberculosis | 0.48 | 0.41 | 0.49 | 0.49 | 0.30 | 0.30 |
| Anti-infective | 0.58 | 0.37 | 0.36 | 0.41 | 0.30 | 0.34 |
| Tested Compound | Gram-Positive Bacteria | Gram-Negative Bacteria | Fungus | |||
|---|---|---|---|---|---|---|
| Bacillus subtilis ATCC 6683 | Enterococcus faecium E5 | Staphylococcus aureus ATCC 6538 | Escherichia coli ATCC 8739 | Pseudomonas aeruginosa ATCC 27857 | Candida albicans 393 | |
| 5 | 0 | 17 | 0 | 0 | 0 | 0 |
| 6 | 0 | 15 | 8 | 0 | 0 | 0 |
| 7a | 0 | 0 | 0 | 0 | 0 | 0 |
| 7b | 10 | 0 | 0 | 0 | 0 | 0 |
| 8a | 0 | 0 | 0 | 0 | 0 | 0 |
| 8b | 0 | 0 | 0 | 0 | 0 | 0 |
| Ciprofloxacin | 28 | 30 | 26 | 34 | 30 | - * |
| Fluconazole | - | - | - | - | - | 30 |
| Microbial Culture | Growth Inhibition Zone Diameter (In mm) | |||
|---|---|---|---|---|
| Ampicillin | Linezolid | Penicillin | Vancomycin | |
| Control * | 24 | 27 | 14 | 19 |
| 5 | 22 | 25 | 13 | 17 |
| 6 | 29 | 39 | 15 | 23 |
| DMSO | 22 | 23 | 0 | 18 |
| Microbial Culture | Growth Inhibition Zone Diameter (In mm) | |||||||
|---|---|---|---|---|---|---|---|---|
| Azithromycin | Cefoxitin | Clindamycin | Linezolid | Penicillin | Rifampicin | Trimethoprim- Sulfamethoxazole | Vancomycin | |
| Control * | 15 | 20 | 26 | 32 | 0 | 21 | 0 | 23 |
| 6 | 15 | 21 | 23 | 29 | 0 | 19 | 0 | 21 |
| DMSO | 13 | 15 | 20 | 28 | 0 | 19 | 0 | 18 |
| Tested Compound | Gram-Positive Bacteria | Gram-Negative Bacteria | Fungus | |||||||||
|---|---|---|---|---|---|---|---|---|---|---|---|---|
| Bacillus subtilis ATCC 6683 | Enterococcus faecium E5 | Staphylococcus aureus ATCC 6538 | Escherichia coli ATCC 8739 | Pseudomonas aeruginosa ATCC 27857 | Candida albicans 393 | |||||||
| MIC | MBIC | MIC | MBIC | MIC | MBIC | MIC | MBIC | MIC | MBIC | MIC | MBIC | |
| 5 | >500 | >500 | 500 | 62.5 | >500 | >500 | >500 | >500 | >500 | >500 | >500 | >500 |
| 6 | >500 | >500 | 500 | 1.95 | 250 | 250 | >500 | >500 | >500 | >500 | >500 | >500 |
| 7a | >500 | >500 | >500 | >500 | >500 | >500 | >500 | >500 | >500 | >500 | >500 | >500 |
| 7b | >500 | >500 | >500 | >500 | >500 | >500 | >500 | >500 | >500 | >500 | >500 | >500 |
| 8a | >500 | >500 | >500 | >500 | >500 | >500 | >500 | >500 | >500 | >500 | >500 | >500 |
| 8b | >500 | >500 | >500 | >500 | >500 | >500 | >500 | >500 | >500 | >500 | >500 | >500 |
| Ciprofloxacin | <0.03 | <0.03 | 0.62 | 0.62 | 0.15 | 0.15 | 0.012 | 0.012 | 0.15 | 0.15 | - * | - |
| Fluconazole | - | - | - | - | - | - | - | - | - | - | <0.12 | <0.12 |
| Compound | Concentration (μM) | Scavenging Effect (%) |
|---|---|---|
| 5 | 250 | 4.70 ± 1.88 |
| 6 | 250 | 16.75 ± 1.18 |
| 7a | 250 | 1.42 ± 0.06 |
| 7b | 250 | 1.35 ± 1.72 |
| 8a | 250 | 1.82 ± 0.36 |
| 8b | 250 | 1.50 ± 0.11 |
| L-Valine | 250 | 7.87 ± 0.07 |
| 3 | 250 | 2.32 ± 0.22 |
| AA | 250 | 85.09 ± 1.67 |
| BHA | 250 | 77.99 ± 0.56 |
| BHT | 250 | 31.79 ± 1.52 |
| Compound | Concentration (μM) | Scavenging Effect (%) |
|---|---|---|
| 5 | 250 | 0.78 ± 0.91 |
| 6 | 250 | 1.49 ± 0.37 |
| 7a | 250 | 7.14 ± 1.51 |
| 7b | 250 | 0.40 ± 0.27 |
| 8a | 250 | 1.77 ± 0.56 |
| 8b | 250 | 7.66 ± 0.71 |
| L-Valine | 250 | 44.71 ± 0.66 |
| 3 | 250 | 0.17 ± 0.85 |
| AA | 250 | 99.93 ± 0.11 |
| BHA | 250 | 99.74 ± 0.08 |
| BHT | 250 | 98.46 ± 1.23 |
| Compound | Concentration (μM) | Reducing Power (Absorbance at 700 nm, A700) |
|---|---|---|
| 5 | 500 | 0.0224 ± 0.0019 |
| 6 | 500 | 0.0461 ± 0.0088 |
| 7a | 500 | 0.0722 ± 0.0013 |
| 7b | 500 | 0.0437 ± 0.0105 |
| 8a | 500 | 0.0369 ± 0.0060 |
| 8b | 500 | 0.0439 ± 0.0057 |
| L-Valine | 500 | 0.0854 ± 0.0051 |
| 3 | 500 | 0.0568 ± 0.0078 |
| AA | 500 | 0.8727 ± 0.0315 |
| BHA | 500 | 1.1363 ± 0.0096 |
| BHT | 500 | 0.7282 ± 0.1686 |
| Tested Compound | Predicted LC50 1 (48 h) (µg/mL) | L % Max (48 h) 2 | Determined LC50 (24 h) (µg/mL) | 95% CI 3 of LC50 (24 h) (µg/mL) | Determined LC50 (48 h) (µg/mL) | 95% CI of LC50 (48 h) (µg/mL) |
|---|---|---|---|---|---|---|
| 5 | 0.51 | 60 | ND 4 * | ND * | 43.5 | ND ** |
| 6 | 0.33 | 70 | ND * | ND * | 31.25 | 22.32 to 43.75 |
| 7a | 0.11 | 100 | 42.93 | 38.14 to 48.31 | ND *** | ND ** |
| 7b | 0.11 | 90 | 58.83 | 46.28 to 74.78 | 21.07 | 12.92 to 34.35 |
| 8a | 0.1 | 60 | ND * | ND * | 54.62 | 41.73 to 71.48 |
| 8b | 0.04 | 30 | ND * | ND * | ND * | ND * |
| L-Valine (Control 1) | 1078.3 | 20 | ND * | ND * | ND * | ND * |
| 3 (Control 2) | 11.8 | 100 | 31.11 | ND ** | 1.144 | 0.13 to 9.93 |
Publisher’s Note: MDPI stays neutral with regard to jurisdictional claims in published maps and institutional affiliations. |
© 2022 by the authors. Licensee MDPI, Basel, Switzerland. This article is an open access article distributed under the terms and conditions of the Creative Commons Attribution (CC BY) license (https://creativecommons.org/licenses/by/4.0/).
Share and Cite
Apostol, T.-V.; Chifiriuc, M.C.; Socea, L.-I.; Draghici, C.; Olaru, O.T.; Nitulescu, G.M.; Visan, D.-C.; Marutescu, L.G.; Pahontu, E.M.; Saramet, G.; et al. Synthesis, Characterization, and Biological Evaluation of Novel N-{4-[(4-Bromophenyl)sulfonyl]benzoyl}-L-valine Derivatives. Processes 2022, 10, 1800. https://doi.org/10.3390/pr10091800
Apostol T-V, Chifiriuc MC, Socea L-I, Draghici C, Olaru OT, Nitulescu GM, Visan D-C, Marutescu LG, Pahontu EM, Saramet G, et al. Synthesis, Characterization, and Biological Evaluation of Novel N-{4-[(4-Bromophenyl)sulfonyl]benzoyl}-L-valine Derivatives. Processes. 2022; 10(9):1800. https://doi.org/10.3390/pr10091800
Chicago/Turabian StyleApostol, Theodora-Venera, Mariana Carmen Chifiriuc, Laura-Ileana Socea, Constantin Draghici, Octavian Tudorel Olaru, George Mihai Nitulescu, Diana-Carolina Visan, Luminita Gabriela Marutescu, Elena Mihaela Pahontu, Gabriel Saramet, and et al. 2022. "Synthesis, Characterization, and Biological Evaluation of Novel N-{4-[(4-Bromophenyl)sulfonyl]benzoyl}-L-valine Derivatives" Processes 10, no. 9: 1800. https://doi.org/10.3390/pr10091800
APA StyleApostol, T.-V., Chifiriuc, M. C., Socea, L.-I., Draghici, C., Olaru, O. T., Nitulescu, G. M., Visan, D.-C., Marutescu, L. G., Pahontu, E. M., Saramet, G., & Barbuceanu, S.-F. (2022). Synthesis, Characterization, and Biological Evaluation of Novel N-{4-[(4-Bromophenyl)sulfonyl]benzoyl}-L-valine Derivatives. Processes, 10(9), 1800. https://doi.org/10.3390/pr10091800

