Characterization of Mean-Field Type Index for Continuous-Time Stochastic Systems with Markov Jump
Abstract
:1. Introduction
2. Preliminaries
3. Finite Horizon Mean-Field Type Stochastic Index
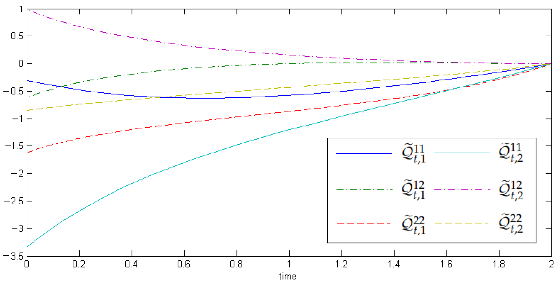
4. Numerical Example
5. Conclusions
Author Contributions
Funding
Institutional Review Board Statement
Informed Consent Statement
Data Availability Statement
Conflicts of Interest
References
- Ding, S.; Jeinsch, T.; Frank, P.; Ding, E. A unified approach to the optimization of fault detection systems. Int. J. Adapt Control Signal Process 2000, 14, 725–745. [Google Scholar] [CrossRef]
- Chen, J.; Pattor, R. Robust Model-Based Fault Diagnosis for Dynamic Systems; Kluwer Academic Publishers: Boston, MA, USA, 1999. [Google Scholar]
- Pattor, R. Robustness in model-based fault diagnosis: The 1995 situation. Annu. Rev. Control 1997, 21, 103–123. [Google Scholar] [CrossRef]
- Ma, H.; Wang, Y. Full information H2 control of Borel-measurable Markov jump systems with multiplicative noises. Mathematics 2022, 10, 37. [Google Scholar] [CrossRef]
- Iwasaki, T.; Hara, S.; Yamauchi, H. Dynamical system design from a control perspective: Finite frequency positive-realness approach. IEEE Trans. Automat. Contr. 2003, 48, 1337–1354. [Google Scholar] [CrossRef]
- Liu, J.; Wang, J.; Yang G., H. An LMI approach to minimum sensitivity analysis with application to fault detection. Automatica 2005, 41, 1995–2004. [Google Scholar] [CrossRef]
- Hou, M.; Pattor, R. An LMI approach to H−/H∞ fault detection observers. Proc. UKACC Int. Conf. Control 1996, 305–310. [Google Scholar]
- Zhang, W.; Xie, L.; Chen, B.S. Stochastic H2/H∞ Control: A Nash Game Approach; CRC Press: London, UK, 2017. [Google Scholar]
- Li, X.; Zhou, K. A time domain approach to robust fault detection of linear time-varying systems. Automatica 2009, 45, 94–102. [Google Scholar] [CrossRef]
- Khan, A.Q.; Abid, M.; Ding, S.X. Fault detection filter design for discrete-time nonlinear systems-a mixed H−/H∞ optimization. Syst. Control. Lett. 2014, 67, 46–54. [Google Scholar] [CrossRef]
- Li, X.; Liu, H.H.T. Characterization of H− index for linear time-varying systems. Automatica 2013, 49, 1449–1457. [Google Scholar] [CrossRef]
- Wang, J.L.; Yang, G.H.; Liu, J. An LMI approach to H− index and H−/H∞ fault detection observer design. Automatica 2007, 43, 1656–1665. [Google Scholar] [CrossRef]
- Wang, Z.; Shi, P.; Lim, C.C. H−/H∞ fault detection observer in finite frequency domain for linear parameter-varying descriptor systems. Automatica 2017, 86, 38–45. [Google Scholar] [CrossRef]
- Jaimoukha, I.M.; Li, Z.; Papakos, V. A matrix factorization solution to the H−/H∞ fault detection problem. Automatica 2006, 42, 1907–1912. [Google Scholar] [CrossRef]
- Chadli, M.; Abdo, A.; Ding, S.X. H−/H∞ fault detection filter design for discrete-time takagi-sugeno fuzzy system. Automatica 2013, 49, 1996–2005. [Google Scholar] [CrossRef]
- Zhang, T.L.; Deng, F.Q.; Sun, Y.; Shi, P. Fault estimation and fault-tolerant control for linear discrete time-varying stochastic systems. Sci. China Inf. Sci. 2021, 64, 200201. [Google Scholar] [CrossRef]
- Jiang, X.S.; Zhao, D.Y. Event-triggered fault detection for nonlinear discrete-time switched stochastic systems: A convex function method. Sci. China Inf. Sci. 2021, 64, 200204. [Google Scholar] [CrossRef]
- Li, Y.; Zhang, W.H.; Liu, X.K. H− index for discrete-time stochastic systems with Markov jump and multiplicative noise. Automatica 2018, 90, 286–293. [Google Scholar] [CrossRef]
- Liu, X.K.; Zhang, W.H.; Li, Y. H− index for continuous-time stochastic systems with Markov jump and multiplicative noise. Automatica 2019, 105, 167–178. [Google Scholar] [CrossRef]
- Lin, X.Y.; Zhang, R. H∞ control for stochastic systems with Poisson jumps. J. Syst. Sci. Complex 2011, 24, 683–700. [Google Scholar] [CrossRef]
- Chen, B.S.; Zhang, W.H. Stochastic H2/H∞ control with state-dependent noise. IEEE Trans. Automat. Contr. 2004, 49, 45–57. [Google Scholar] [CrossRef]
- Xu, S.; Chen, T. Robust H∞ control for uncertain discrete-time stochastic bilinear systems with Markovian switching. Int. J. Robust Nonlinear Control 2005, 15, 201–217. [Google Scholar] [CrossRef]
- Zhang, W.H.; Chen, B.S. State feedback H∞ control for a class of nonlinear stochastic systems. SIAM J. Control Optim. 2006, 44, 1973–1991. [Google Scholar] [CrossRef]
- Jiang, X.S.; Tian, X.M.; Zhang, T.L.; Zhang, W.H. Quadratic stabilizability and H∞ control of linear discrete-time stochastic uncertain systems. Asian J. Control 2017, 19, 35–46. [Google Scholar] [CrossRef]
- Zhang, W.H.; Zhang, H.S.; Chen, B.S. Generalized Lyapunov equation approach to state-dependent stochastic stabilization/detectability criterion. IEEE Trans. Automat. Contr. 2008, 53, 1630–1642. [Google Scholar] [CrossRef]
- Lasry, J.M.; Lions, P.L. Mean-field games. Jpn. J. Math. 2007, 2, 229–260. [Google Scholar] [CrossRef] [Green Version]
- Huang, M.; Caines, P.E.; Malhamé, R.P. Large-population cost-coupled LQG problems with nonuniform agents: Individual-mass behavior and decentralized ε-Nash equilibria. IEEE Trans. Automat. Contr. 2007, 52, 1560–1571. [Google Scholar] [CrossRef]
- Yong, J.M. Linear-quadratic optimal control problems for mean-field stochastic differential equations. SIAM J. Control Optim. 2013, 51, 2809–2838. [Google Scholar] [CrossRef]
- Huang, J.M.; Li, X.; Yong, J.M. A linear-quadratic optimal control problem for mean-field stochastic differential equations in infinite horizon. Math.Control. Relat. Fields 2015, 5, 97–139. [Google Scholar] [CrossRef] [Green Version]
- Elliott, R.; Li, X.; Ni, Y.H. Discrete time mean-field stochastic linear-quadratic optimal control problems. Automatica 2013, 49, 3222–3233. [Google Scholar] [CrossRef] [Green Version]
- Ni, Y.H.; Elliott, R.; Li, X. Discrete-time mean-field stochastic linear-quadratic optimal control problems, II: Infinite horizon case. Automatica 2015, 57, 65–77. [Google Scholar] [CrossRef]
- Ma, L.M.; Zhang, T.L.; Zhang, W.H. H∞ control for continuous-time mean-field stochastic systems. Asian J. Control 2016, 18, 1630–1640. [Google Scholar] [CrossRef]
- Ma, L.M.; Zhang, T.L.; Zhang, W.H.; Chen, B.S. Finite horizon mean-field stochastic H2/H∞ control for continuous-time systems with (x,ν)-dependent noise. J. Franklin. Inst. 2015, 352, 5393–5414. [Google Scholar] [CrossRef]
- Ma, L.M.; Zhang, W.H. Output feedback H∞ control for discrete-time mean-field stochastic systems. Asian J. Control 2015, 17, 2241–2251. [Google Scholar] [CrossRef]
- Zhang, W.H.; Ma, L.M.; Zhang, T.L. Discrete-time mean-field stochastic H2/H∞ control. J Syst. Sci. Complex 2017, 30, 765–781. [Google Scholar] [CrossRef]
- Lin, Y.N.; Zhang, T.L.; Zhang, W.H. Pareto-based guaranteed cost control of the uncertain mean-field stochastic systems in infinite horizon. Automatica 2018, 92, 197–209. [Google Scholar] [CrossRef]
- Lin, Y.N. Necessary/sufficient conditions for Pareto optimality in finite horizon mean-field type stochastic differential game. Automatica 2020, 119, 108951. [Google Scholar] [CrossRef]
- Ma, L.M.; Li, Y.; Zhang, T.L. Characterization of stochastic mean-field type H∞ index. Asian J. Control 2018, 20, 1917–1927. [Google Scholar] [CrossRef]
- Mao, X.; Yuan, C. Stochastic Differential Equations with Markovian Switching; Imperial College Press: London, UK, 2006. [Google Scholar]



Publisher’s Note: MDPI stays neutral with regard to jurisdictional claims in published maps and institutional affiliations. |
© 2022 by the authors. Licensee MDPI, Basel, Switzerland. This article is an open access article distributed under the terms and conditions of the Creative Commons Attribution (CC BY) license (https://creativecommons.org/licenses/by/4.0/).
Share and Cite
Ma, L.; Song, C.; Zhang, W.; Liu, Z.
Characterization of Mean-Field Type
Ma L, Song C, Zhang W, Liu Z.
Characterization of Mean-Field Type
Ma, Limin, Caixia Song, Weihai Zhang, and Zhenbin Liu.
2022. "Characterization of Mean-Field Type
Ma, L., Song, C., Zhang, W., & Liu, Z.
(2022). Characterization of Mean-Field Type

