Optimization of Air Flotation and the Combination of Air Flotation and Membrane Filtration in Microalgae Harvesting
Abstract
:1. Introduction
2. Materials and Methods
2.1. Cultivation of Microalgae
2.2. Experimental Setup
2.3. Optimization of Air Flotation Experiments
2.4. Filtration Experiments
2.5. Analytical Methods
2.6. Statistical Analysis of Data
3. Results and Discussion
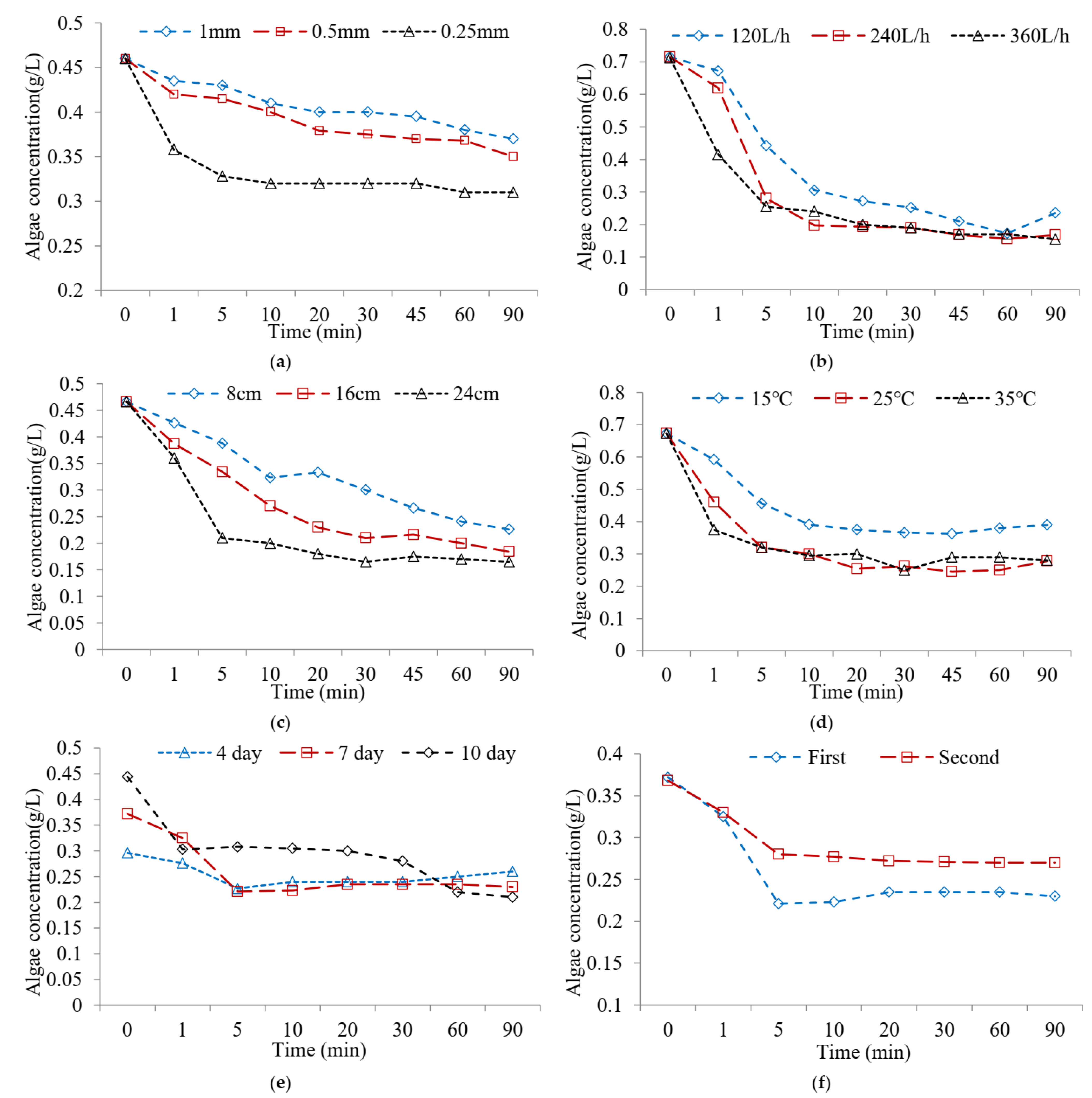
3.1. Optimization of Air Flotation Experiments
3.2. Effects of dEOM and bEOM on Microalgae Harvesting by Air Flotation
3.3. Microalgae Harvesting by Air Flotation in Different Growth Stages
3.4. Characterization of EOM
3.4.1. Contents of dEOM and bEOM
3.4.2. EEM Spectroscopies of dEOM and bEOM
3.4.3. Molecular Weight Distributions of dEOM and bEOM
3.5. Effect of Pre-Flotation on Membrane Filtration in Microalgae Harvesting
4. Conclusions
Author Contributions
Funding
Institutional Review Board Statement
Informed Consent Statement
Data Availability Statement
Acknowledgments
Conflicts of Interest
References
- Mehariya, S.; Goswami, R.K.; Verma, P.; Lavecchia, R.; Zuorro, A. Integrated Approach for Wastewater Treatment and Biofuel Production in Microalgae Biorefineries. Energies 2021, 14, 2282. [Google Scholar] [CrossRef]
- Gonzalez-Camejo, J.; Serna-García, R.; Viruela, A.; Pachés, M.; Durán, F.; Robles, A.; Ruano, M.; Barat, R.; Seco, A. Short and long-term experiments on the effect of sulphide on microalgae cultivation in tertiary sewage treatment. Bioresour. Technol. 2017, 244, 15–22. [Google Scholar] [CrossRef] [PubMed]
- Hapońska, M.; Clavero, E.; Salvadó, J.; Farriol, X.; Torras, C. Pilot scale dewatering of Chlorella sorokiniana and Dunaliella tertiolecta by sedimentation followed by dynamic filtration. Algal Res. 2018, 33, 118–124. [Google Scholar] [CrossRef]
- Ometto, F.; Pozza, C.; Whitton, R.; Smyth, B.; Gonzalez Torres, A.; Henderson, R.K.; Jarvis, P.; Jefferson, B.; Villa, R. The impacts of replacing air bubbles with microspheres for the clarification of algae from low cell-density culture. Water Res. 2014, 53, 168–179. [Google Scholar] [CrossRef]
- Prasad, R.; Gupta, S.K.; Shabnam, N.; Oliveira, C.Y.B.; Nema, A.K.; Ansari, F.A.; Bux, F. Role of Microalgae in Global CO2 Sequestration: Physiological Mechanism, Recent Development, Challenges, and Future Prospective. Sustainability 2021, 13, 13061. [Google Scholar] [CrossRef]
- Dębowski, M.; Zieliński, M.; Kazimierowicz, J.; Kujawska, N.; Talbierz, S. Microalgae Cultivation Technologies as an Opportunity for Bioenergetic System Development—Advantages and Limitations. Sustainability 2020, 12, 9980. [Google Scholar] [CrossRef]
- Mo, W.; Soh, L.; Werber, J.R.; Elimelech, M.; Zimmerman, J.B. Application of membrane dewatering for algal biofuel. Algal Res. 2015, 11, 1–12. [Google Scholar] [CrossRef]
- Zhao, F.; Han, X.; Shao, Z.; Li, Z.; Li, Z.; Chen, D. Effects of different pore sizes on membrane fouling and their performance in algae harvesting. J. Membr. Sci. 2022, 641, 119916. [Google Scholar] [CrossRef]
- Zhao, F.; Li, Z.; Zhou, X.; Chu, H.; Jiang, S.; Yu, Z.; Zhou, X.; Zhang, Y. The comparison between vibration and aeration on the membrane performance in algae harvesting. J. Membr. Sci. 2019, 592, 117390. [Google Scholar] [CrossRef]
- Branyikova, I.; Prochazkova, G.; Potocar, T.; Jezkova, Z.; Branyik, T. Harvesting of Microalgae by Flocculation. Fermentation 2018, 4, 93. [Google Scholar] [CrossRef]
- Dębowski, M.; Zieliński, M.; Dudek, M.; Grala, A. Acquisition feasibility and methane fermentation effectiveness of biomass of microalgae occurring in eutrophicated aquifers on the example of the Vistula Lagoon. Int. J. Green Energy 2016, 13, 395–407. [Google Scholar] [CrossRef]
- Dudek, M.; Nowicka, A.; Zieliński, M.; Kazimierowicz, J.; Dębowski, M. The effect of biomass separation method on the efficiency of hydrogen production by Platymonas subcordiformis. Int. J. Energy Environ. Eng. 2022, 1–11. [Google Scholar] [CrossRef]
- Matter, I.A.; Bui VK, H.; Jung, M.; Seo, J.Y.; Kim, Y.E.; Lee, Y.C.; Oh, Y.K. Flocculation Harvesting Techniques for Microalgae: A Review. Appl. Sci. 2019, 9, 3069. [Google Scholar] [CrossRef]
- Milledge, J.; Heaven, S. Energy Balance of Biogas Production from Microalgae: Effect of Harvesting Method, Multiple Raceways, Scale of Plant and Combined Heat and Power Generation. J. Mar. Sci. Eng. 2017, 5, 9. [Google Scholar] [CrossRef]
- Wicaksana, F.; Fane, A.G.; Pongpairoj, P.; Field, R. Microfiltration of algae (Chlorella sorokiniana): Critical flux, fouling and transmission. J. Membr. Sci. 2012, 387–388, 83–92. [Google Scholar] [CrossRef]
- Hao, W.; Yanpeng, L.; Zhou, S.; Xiangying, R.; Wenjun, Z.; Jun, L. Surface characteristics of microalgae and their effects on harvesting performance by air flotation. Int. J. Agric. Biol. Eng. 2017, 10, 125–133. [Google Scholar]
- Xu, K.; Li, Y.; Zou, X.; Wen, H.; Shen, Z.; Ren, X. Investigating microalgae cell-microsphere interactions during microalgae harvesting by ballasted dissolved air flotation through XDLVO theory. Biochem. Eng. J. 2018, 137, 294–304. [Google Scholar] [CrossRef]
- Hubička, M.; Basařová, P.; Vejražka, J. Collision of a small rising bubble with a large falling particle. Int. J. Miner. Process. 2013, 121, 21–30. [Google Scholar] [CrossRef]
- de Souza Leite, L.; Hoffmann, M.T.; Daniel, L.A. Coagulation and dissolved air flotation as a harvesting method for microalgae cultivated in wastewater. J. Water Process Eng. 2019, 32, 100947. [Google Scholar] [CrossRef]
- Zhang, X.; Wang, L.; Sommerfeld, M.; Hu, Q. Harvesting microalgal biomass using magnesium coagulation-dissolved air flotation. Biomass Bioenergy 2016, 93, 43–49. [Google Scholar] [CrossRef]
- Zhao, F.; Li, Z.; Han, X.; Zhou, X.; Zhang, Y.; Jiang, S.; Yu, Z.; Zhou, X.; Liu, C.; Chu, H. The interaction between microalgae and membrane surface in filtration by uniform shearing vibration membrane. Algal Res. 2020, 50, 102012. [Google Scholar] [CrossRef]
- van der Marel, P.; Zwijnenburg, A.; Kemperman, A.; Wessling, M.; Temmink, H.; van der Meer, W. An improved flux-step method to determine the critical flux and the critical flux for irreversibility in a membrane bioreactor. J. Membr. Sci. 2009, 332, 24–29. [Google Scholar] [CrossRef]
- Li, Y.; Bilad, M.R.; Vankelecom, I.F.J. Application of a magnetically induced membrane vibration (MMV) system for lignocelluloses hydrolysate filtration. J. Membr. Sci. 2014, 452, 165–170. [Google Scholar] [CrossRef]
- Chu, H.; Yu, H.; Tan, X.; Zhang, Y.; Zhou, X.; Yang, L.; Li, D. Extraction procedure optimization and the characteristics of dissolved extracellular organic matter (dEOM) and bound extracellular organic matter (bEOM) from Chlorella pyrenoidosa. Colloids Surf. B Biointerfaces 2015, 125, 238–246. [Google Scholar] [CrossRef] [PubMed]
- Rosenberg, M.; Gutnick., D.; Rosenberg, E. Adherence of bacteria to hydrocarbons: A simple method for measuring cell-surface hydrophobicity. FEMS Microbiol. Lett. 1980, 9, 29–33. [Google Scholar] [CrossRef]
- Qu, F.; Liang, H.; He, J.; Ma, J.; Wang, Z.; Yu, H.; Li, G. Characterization of dissolved extracellular organic matter (dEOM) and bound extracellular organic matter (bEOM) of Microcystis aeruginosa and their impacts on UF membrane fouling. Water Res. 2012, 46, 2881–2890. [Google Scholar] [CrossRef] [PubMed]
- Peng, B.Y.; Su, Y.; Chen, Z.; Chen, J.; Zhou, X.; Benbow, M.E.; Criddle, C.S.; Wu, W.M.; Zhang, Y. Biodegradation of Polystyrene by Dark (Tenebrio obscurus) and Yellow (Tenebrio molitor) Mealworms (Coleoptera: Tenebrionidae). Environ. Sci. Technol. 2019, 53, 5256–5265. [Google Scholar] [CrossRef] [PubMed]
- Kracht, W.; Emery, X.; Paredes, C. A stochastic approach for measuring bubble size distribution via image analysis. Int. J. Miner. Process. 2013, 121, 6–11. [Google Scholar] [CrossRef]
- Ralston, J.; Fornasiero, D.; Hayes, R. Bubble–particle attachment and detachment in flotation. Int. J. Miner. Process. 1999, 56, 133–164. [Google Scholar] [CrossRef]
- Kim, M.S.; Kwak, D.H. Evaluation of initial collision-attachment efficiency between carbon dioxide bubbles and algae particles for separation and harvesting. Water Sci. Technol. 2014, 69, 2482–2491. [Google Scholar] [CrossRef] [PubMed]
- Nguyen, A.V.; Evans, G.M. Attachment interaction between air bubbles and particles in froth flotation. Exp. Therm. Fluid Sci. 2004, 28, 381–385. [Google Scholar] [CrossRef]
- Zhao, F.; Su, Y.; Tan, X.; Chu, H.; Zhang, Y.; Yang, L.; Zhou, X. Effect of temperature on extracellular organic matter (EOM) of Chlorella pyrenoidosa and effect of EOM on irreversible membrane fouling. Colloids Surf. B Biointerfaces 2015, 136, 431–439. [Google Scholar] [CrossRef] [PubMed]
- Matho, C.; Schwarzenberger, K.; Eckert, K.; Keshavarzi, B.; Walther, T.; Steingroewer, J.; Krujatz, F. Bio-compatible flotation of Chlorella vulgaris: Study of zeta potential and flotation efficiency. Algal Res. 2019, 44, 101705. [Google Scholar] [CrossRef]
- Xu, H.; Cai, H.; Yu, G.; Jiang, H. Insights into extracellular polymeric substances of cyanobacterium Microcystis aeruginosa using fractionation procedure and parallel factor analysis. Water Res. 2013, 47, 2005–2014. [Google Scholar] [CrossRef]
- Qu, F.; Liang, H.; Wang, Z.; Wang, H.; Yu, H.; Li, G. Ultrafiltration membrane fouling by extracellular organic matters (EOM) of Microcystis aeruginosa in stationary phase: Influences of interfacial characteristics of foulants and fouling mechanisms. Water Res. 2012, 46, 1490–1500. [Google Scholar] [CrossRef] [PubMed]
- Zhao, F.; Chu, H.; Zhang, Y.; Jiang, S.; Yu, Z.; Zhou, X.; Zhao, J. Increasing the vibration frequency to mitigate reversible and irreversible membrane fouling using an axial vibration membrane in microalgae harvesting. J. Membr. Sci. 2017, 529, 215–223. [Google Scholar] [CrossRef]
- Zhang, Y.; Zhao, Y.; Chu, H.; Zhou, X.; Dong, B. Dewatering of Chlorella pyrenoidosa using diatomite dynamic membrane: Filtration performance, membrane fouling and cake behavior. Colloids Surf. B Biointerfaces 2014, 113, 458–466. [Google Scholar] [CrossRef]
- Zhao, F.; Chu, H.; Tan, X.; Yang, L.; Su, Y.; Zhou, X.; Zhao, J.; Zhang, Y. Using axial vibration membrane process to mitigate membrane fouling and reject extracellular organic matter in microalgae harvesting. J. Membr. Sci. 2016, 517, 30–38. [Google Scholar] [CrossRef]
- Zhao, F.; Chu, H.; Su, Y.; Tan, X.; Zhang, Y.; Yang, L.; Zhou, X. Microalgae harvesting by an axial vibration membrane: The mechanism of mitigating membrane fouling. J. Membr. Sci. 2016, 508, 127–135. [Google Scholar] [CrossRef]









| Algae Concentration (g/L) | Recovery Rate (%) | ||
|---|---|---|---|
| Initial | Final | ||
| Raw solution | 0.81 ± 0.045 | 0.075 ± 0.004 | 90.74 ± 5.7 |
| dEOM extracted | 0.81 ± 0.045 | 0.19 ± 0.001 | 76.54 ± 5.1 |
| bEOM extracted | 0.81 ± 0.045 | 0.58 ± 0.037 | 28.40 ± 2.2 |
| TOC (mg/L) | Polysaccharides (mg/L) | Proteins (mg/L) | ||
|---|---|---|---|---|
| Raw solution | dEOM | 497.8 ± 28.9 | 78.85 ± 4.05 | 96.54 ± 5.56 |
| bEOM | 52.9 ± 3.41 | 19.18 ± 1.23 | 24.22 ± 1.12 | |
| After flotation | dEOM | 396.9 ± 22.37 | 77.28 ± 4.16 | 93.45 ± 4.77 |
| bEOM | 43.46 ± 2.03 | 15.81 ± 0.77 | 18.05 ± 0.98 |
Publisher’s Note: MDPI stays neutral with regard to jurisdictional claims in published maps and institutional affiliations. |
© 2022 by the authors. Licensee MDPI, Basel, Switzerland. This article is an open access article distributed under the terms and conditions of the Creative Commons Attribution (CC BY) license (https://creativecommons.org/licenses/by/4.0/).
Share and Cite
Zhao, F.; Li, Z.; Han, X.; Shao, Z.; Li, Z. Optimization of Air Flotation and the Combination of Air Flotation and Membrane Filtration in Microalgae Harvesting. Processes 2022, 10, 1594. https://doi.org/10.3390/pr10081594
Zhao F, Li Z, Han X, Shao Z, Li Z. Optimization of Air Flotation and the Combination of Air Flotation and Membrane Filtration in Microalgae Harvesting. Processes. 2022; 10(8):1594. https://doi.org/10.3390/pr10081594
Chicago/Turabian StyleZhao, Fangchao, Zhichao Li, Xixi Han, Zhuang Shao, and Zongxue Li. 2022. "Optimization of Air Flotation and the Combination of Air Flotation and Membrane Filtration in Microalgae Harvesting" Processes 10, no. 8: 1594. https://doi.org/10.3390/pr10081594
APA StyleZhao, F., Li, Z., Han, X., Shao, Z., & Li, Z. (2022). Optimization of Air Flotation and the Combination of Air Flotation and Membrane Filtration in Microalgae Harvesting. Processes, 10(8), 1594. https://doi.org/10.3390/pr10081594
