A Novel Control Algorithm of the Air Supply Subsystem: Based on Dynamic Modeling of Proton Exchange Membrane Fuel Cell
Abstract
:1. Introduction
2. PEMFC System Dynamic Model
2.1. Stack Model
2.1.1. Voltage Model
2.1.2. Cathode Flow Model
2.1.3. Anode Flow Model
2.1.4. Membrane Hydration Model
2.2. Air Supply Subsystem Model
2.2.1. Compressor Model
2.2.2. Intercooler Model
2.2.3. Supply Manifold Model
2.2.4. Return Manifold Model
2.3. Model Validation
3. Optimal Control Algorithms of Air Supply Subsystem
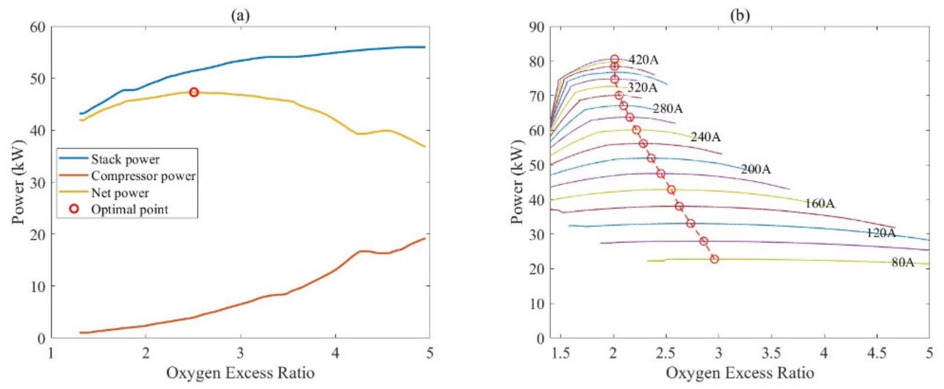
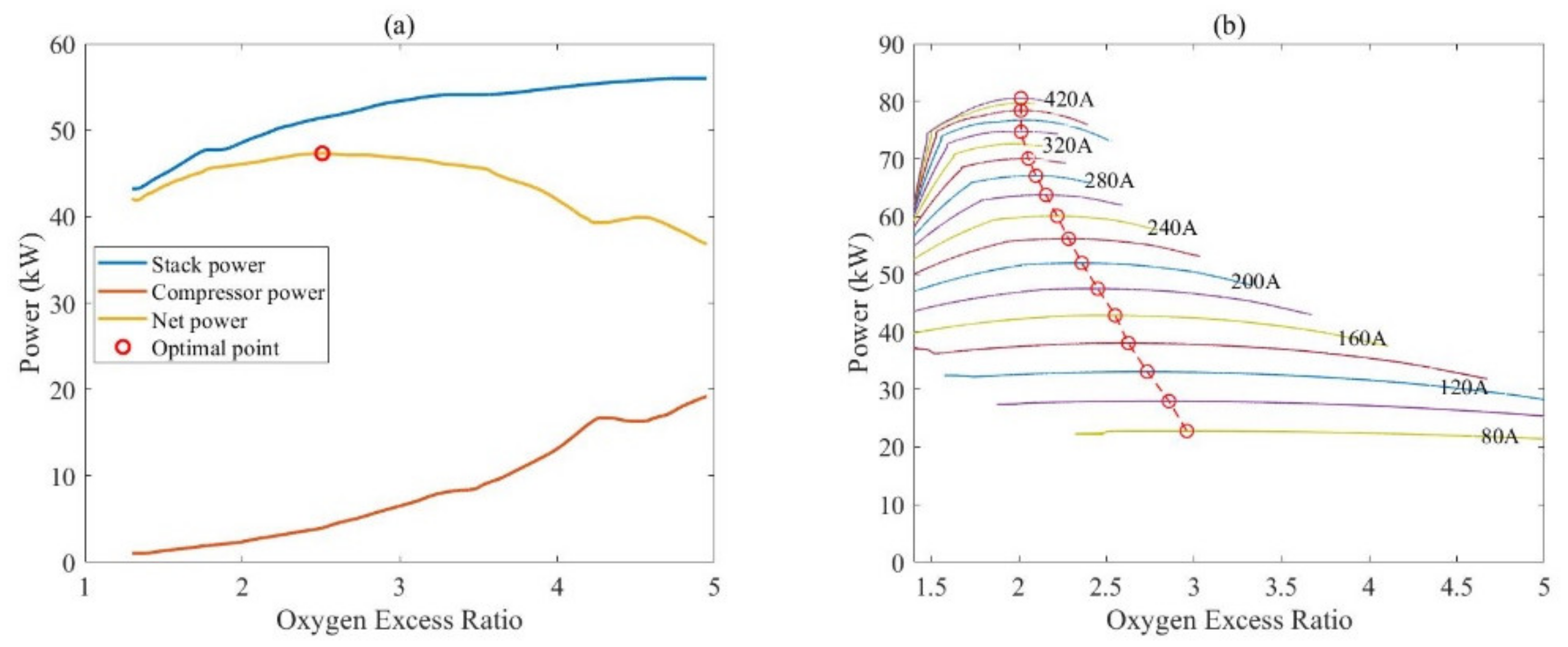
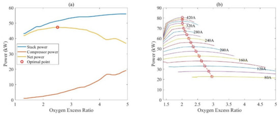
3.1. Determination of Optimal Oxygen Excess Ratio
3.2. Air Supply Subsystem Optimization Control Algorithms
3.2.1. PID Algorithm
3.2.2. MPC Algorithm
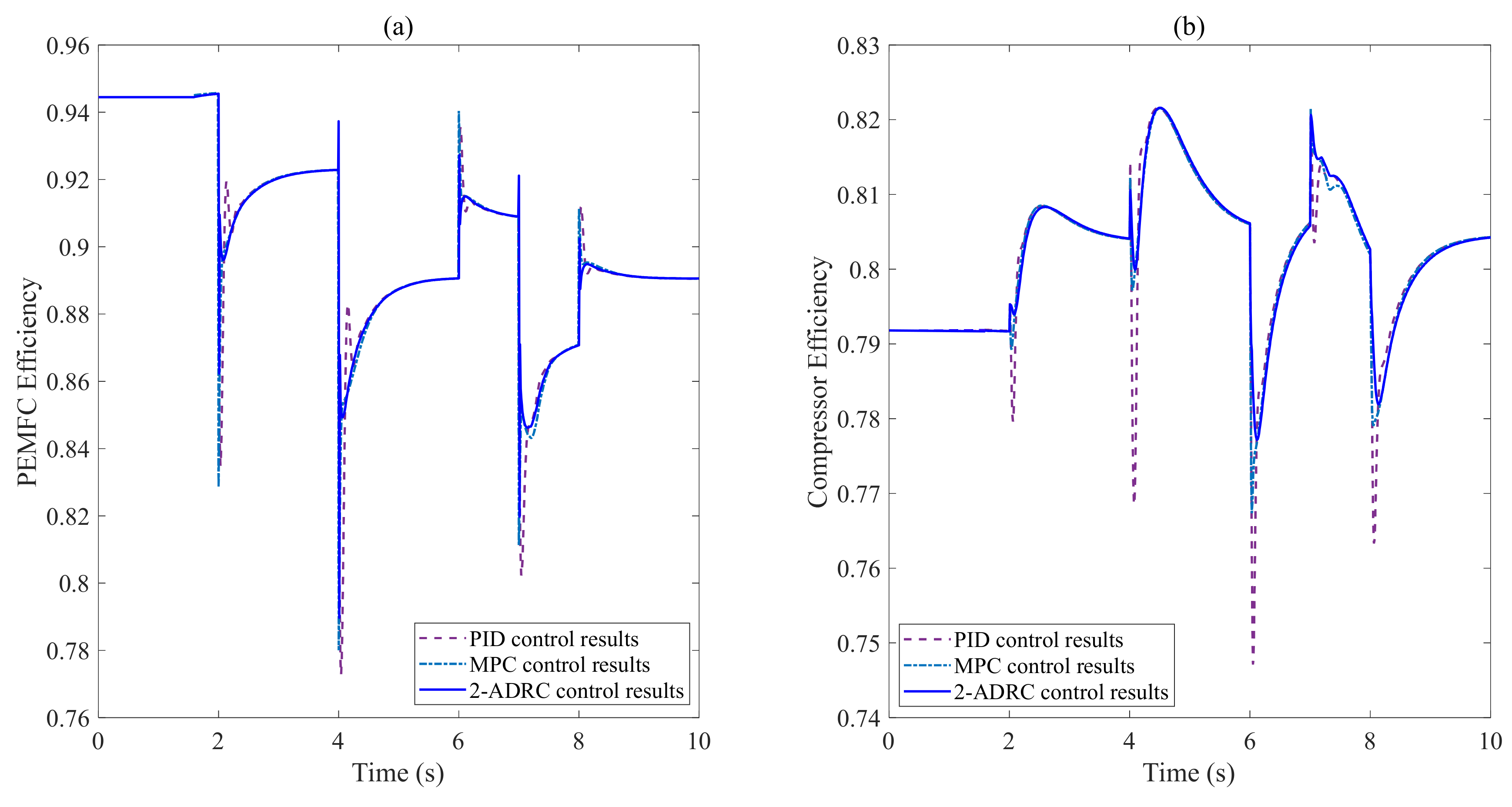
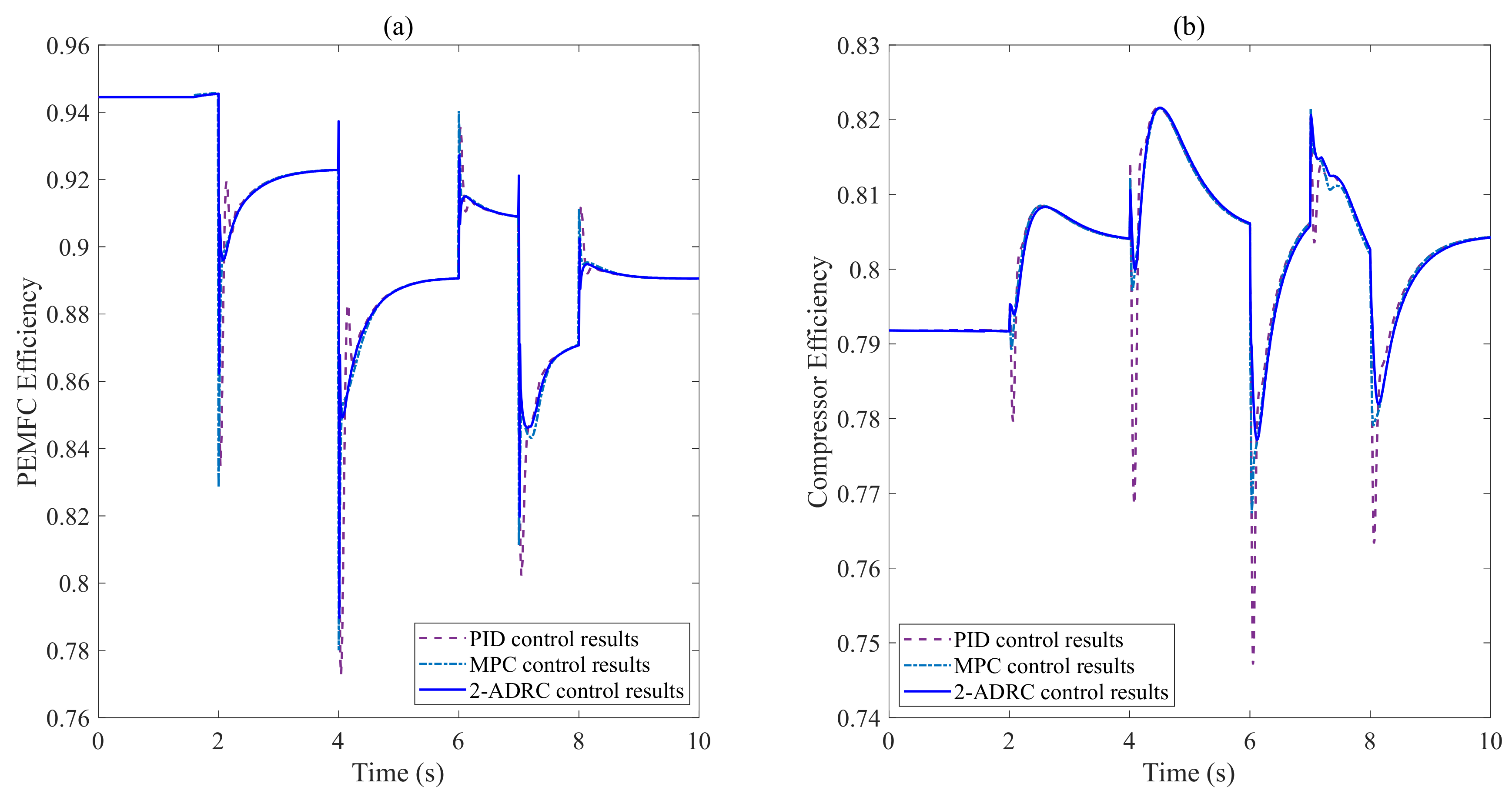
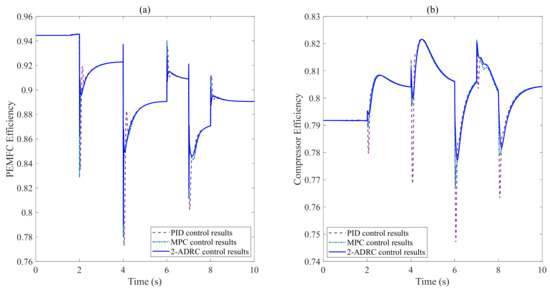
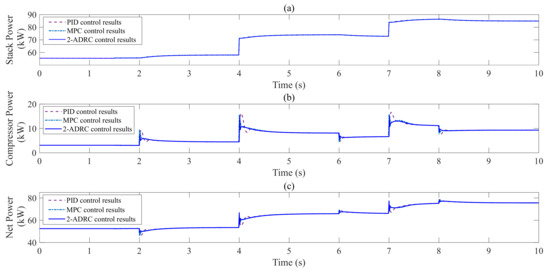
3.2.3. 2-ADRC Algorithm
4. Conclusions
Author Contributions
Funding
Institutional Review Board Statement
Informed Consent Statement
Data Availability Statement
Conflicts of Interest
References
- Kendall, M. Fuel cell development for New Energy Vehicles (NEVs) and clean air in China. Prog. Nat. Sci. Mater. Int. 2018, 28, 113–120. [Google Scholar] [CrossRef]
- Ahmadi, P.; Torabi, S.H.; Afsaneh, H.; Sadegheih, Y.; Ganjehsarabi, H.; Ashjaee, M. The effects of driving patterns and PEM fuel cell degradation on the lifecycle assessment of hydrogen fuel cell vehicles. Int. J. Hydrogen Energy 2020, 45, 3595–3608. [Google Scholar] [CrossRef]
- Wang, G.J.; Yu, Y.; Liu, H.; Gong, C.L.; Wen, S.; Wang, X.H.; Tu, Z.K. Progress on design and development of polymer electrolyte membrane fuel cell systems for vehicle applications: A review. Fuel Process. Technol. 2018, 179, 203–228. [Google Scholar] [CrossRef]
- Yuan, H.; Dai, H.F.; Wei, X.Z.; Ming, P.W. Model-based observers for internal states estimation and control of proton exchange membrane fuel cell system: A review. J. Power Sources 2020, 468, 228376. [Google Scholar] [CrossRef]
- Liu, J.X.; Gao, Y.B.; Su, X.J.; Wack, M.; Wu, L.G. Disturbance-observer-based control for air management of PEM fuel cell systems via sliding mode technique. IEEE Trans. Control Syst. Technol. 2019, 27, 1129–1138. [Google Scholar] [CrossRef]
- Li, J.W.; Yu, T. Intelligent controller based on distributed deep reinforcement learning for PEMFC air supply system. IEEE Access 2021, 9, 7496–7507. [Google Scholar] [CrossRef]
- Pukrushpan, J.T.; Stefanopoulou, A.G.; Peng, H. Control of fuel cell breathing. IEEE Control Syst. Mag. 2004, 24, 30–46. [Google Scholar]
- Chen, J.; Liu, Z.Y.; Wang, F.; Ouyang, Q.; Su, H.Y. Optima Oxygen Excess Ratio Control for PEM Fuel Cells. IEEE Trans. Control Syst. Technol. 2018, 26, 1711–1721. [Google Scholar] [CrossRef]
- Hou, J.B.; Yang, M.; Ke, C.C.; Zhang, J.L. Control logics and strategies for air supply in PEM fuel cell engines. Appl. Energy 2020, 269, 115059. [Google Scholar] [CrossRef]
- Kim, B.M.; Choi, Y.H.; Yoo, S.J. Adaptive control of proton exchange membrane fuel cell air supply systems with asymmetric oxygen excess ratio constraints. IEEE Access 2020, 8, 5537–5549. [Google Scholar] [CrossRef]
- Zhang, H.K.; Wang, Y.F.; Wang, D.H.; Wang, Y.L. Adaptive robust control of oxygen excess ratio for PEMFC system based on type-2 fuzzy logic system. Inf. Sci. 2020, 511, 1–17. [Google Scholar] [CrossRef]
- Tian, Y.; Zou, Q.; Liu, J.Q.; Han, J. Novel hybrid control scheme of a proton exchange membrane fuel cell air supply system. Energy Technol. 2022, 10, 2100906. [Google Scholar] [CrossRef]
- Luna, J.; Usai, E.; Husar, A.; Serra, M. Enhancing the efficiency and lifetime of a proton exchange membrane fuel cell using nonlinear model-predictive control with nonlinear observation. IEEE Trans. Ind. Electron. 2017, 64, 6649–6659. [Google Scholar] [CrossRef] [Green Version]
- Hoeflinger, J.; Hofmann, P. Air mass flow and pressure optimisation of a PEM fuel cell range extender system. Int. J. Hydrogen Energy 2020, 45, 29246–29258. [Google Scholar] [CrossRef]
- Tafaoli-Masoule, M.; Shakeri, M.; Esmaili, Q.; Bahrami, A. PEM fuel cell modeling and pressure investigation. Energy Sources Part A 2011, 33, 2291–2302. [Google Scholar] [CrossRef]
- Ogungbemi, E.; Wilberforce, T.; Ijaodola, O.; Thompson, J.; Olabi, A.G. Review of operating condition, design parameters and material properties for proton exchange membrane fuel cells. Int. J. Energy Res. 2020, 45, 1227–1245. [Google Scholar] [CrossRef]
- Ahmadi, N.; Dadvand, A.; Rezazadeh, S.; Mirzaee, I. Analysis of the operating pressure and GDL geometrical configuration effect on PEM fuel cell performance. J. Braz. Soc. Mech. Sci. Eng. 2016, 38, 2311–2325. [Google Scholar] [CrossRef]
- Daud, W.; Rosli, R.; Majlan, E.; Hamid, S.; Mohamed, R.; Husaini, T. PEM fuel cell system control: A review. Renew. Energy 2017, 113, 620–638. [Google Scholar] [CrossRef]
- Zhao, D.D.; Li, F.; Ma, R.; Zhao, G.S.; Huangfu, Y.G. An unknown input nonlinear observer based fractional order PID control of fuel cell air supply system. IEEE Trans. Ind. Appl. 2021, 56, 5523–5532. [Google Scholar] [CrossRef]
- Tang, X.; Wang, C.S.; Hu, Y.K.; Liu, Z.J.; Li, F.L. Adaptive fuzzy PID based on granular function for proton exchange membrane fuel cell oxygen excess ratio control. Energies 2021, 14, 1140. [Google Scholar] [CrossRef]
- Ouyang, Q.; Chen, J.; Wang, F.; Su, H.Y. Nonlinear MPC controller design for AIR supply of PEM fuel cell based power systems. Asian J. Control 2017, 19, 929–940. [Google Scholar] [CrossRef]
- Danzer, M.A.; Wittmann, S.J.; Hofer, E.P. Prevention of fuel cell starvation by model predictive control of pressure, excess ratio, and current. J. Power Sources 2009, 190, 86–91. [Google Scholar] [CrossRef]
- Srinivasan, S.; Ticianelli, E.A.; Derouin, C.R.; Redondo, A. Advances in solid polymer electrolyte fuel cell technology with low platinum loading electrodes. J. Power Sources 1988, 22, 359–375. [Google Scholar] [CrossRef]
- Springer, T.; Rockward, R.; Zawodzinski, T.; Gottesfeld, S. Model for polymer electrolyte fuel cell operation on reformate feed—Effects of CO, H2 dilution, and high fuel utilization. J. Electrochem. Soc. 2001, 148, A11–A23. [Google Scholar] [CrossRef]
- Rowe, A.; Li, X.G. Mathematical modeling of proton exchange membrane fuel cells. J. Power Sources 2001, 102, 82–96. [Google Scholar] [CrossRef] [Green Version]
- Sun, L.; Shen, J.; Hua, Q.S.; Lee, K.Y. Data-driven oxygen excess ratio control for proton exchange membrane fuel cell. Appl. Energy 2018, 231, 866–875. [Google Scholar] [CrossRef]
- Hames, Y.; Kaya, K.; Baltacioglu, E.; Turksoy, A. Analysis of the control strategies for fuel saving in the hydrogen fuel cell vehicles. Int. J. Hydrogen Energy 2018, 43, 10810–10821. [Google Scholar] [CrossRef]
- Biyikoglu, A. Review of proton exchange membrane fuel cell models. Int. J. Hydrogen Energy 2005, 30, 1181–1212. [Google Scholar] [CrossRef]
- Benchouia, N.E.; Derghal, A.; Mahmah, B.; Madi, B.; Khochemane, L.; Aoul, E.H. An Adaptive Fuzzy Logic Controller (AFLC) for PEMFC fuel cell. Int. J. Hydrogen Energy 2015, 40, 13806–13819. [Google Scholar] [CrossRef]
- Vrlic, M.; Ritzberger, D.; Jakubek, S. Safe and efficient polymer electrolyte membrane fuel cell control using successive linearization based model predictive control validated on real vehicle data. Energies 2020, 13, 5353. [Google Scholar] [CrossRef]










| Description | Parameters | Value |
|---|---|---|
| Structural parameters of the PEMFC | membrane thickness/cm | 0.13 |
| active area of cells/cm2 | 280 | |
| cathode total volume/cm3 | 0.01 | |
| Operating parameters of the PEMFC | number of cells | 381 |
| temperature of the stack/K | 353.15 | |
| cathode air pressure/bar | 1.78 |
| Load Current Request | Optimal Oxygen Excess Ratio | Load Current Request | Optimal Oxygen Excess Ratio |
|---|---|---|---|
| 80 A | 2.958 | 200 A | 2.387 |
| 100 A | 2.856 | 220 A | 2.284 |
| 120 A | 2.732 | 240 A | 2.218 |
| 140 A | 2.624 | 260 A | 2.180 |
| 160 A | 2.549 | 280 A | 2.097 |
| 180 A | 2.495 | 300 A | 2.054 |
| 3.003 × 105 | 1.696 × 104 | 2.439 × 105 | 9.818 × 10−4 | 1.938 × 10−2 | 0.971 × 10−3 |
Publisher’s Note: MDPI stays neutral with regard to jurisdictional claims in published maps and institutional affiliations. |
© 2022 by the authors. Licensee MDPI, Basel, Switzerland. This article is an open access article distributed under the terms and conditions of the Creative Commons Attribution (CC BY) license (https://creativecommons.org/licenses/by/4.0/).
Share and Cite
Wang, P.; Ma, Y.; Li, J.; Gao, Y.; Zhang, Y.; Ma, D. A Novel Control Algorithm of the Air Supply Subsystem: Based on Dynamic Modeling of Proton Exchange Membrane Fuel Cell. Processes 2022, 10, 1499. https://doi.org/10.3390/pr10081499
Wang P, Ma Y, Li J, Gao Y, Zhang Y, Ma D. A Novel Control Algorithm of the Air Supply Subsystem: Based on Dynamic Modeling of Proton Exchange Membrane Fuel Cell. Processes. 2022; 10(8):1499. https://doi.org/10.3390/pr10081499
Chicago/Turabian StyleWang, Pengyu, Yangyang Ma, Jianhua Li, Yukun Gao, Yunrui Zhang, and Denghui Ma. 2022. "A Novel Control Algorithm of the Air Supply Subsystem: Based on Dynamic Modeling of Proton Exchange Membrane Fuel Cell" Processes 10, no. 8: 1499. https://doi.org/10.3390/pr10081499
APA StyleWang, P., Ma, Y., Li, J., Gao, Y., Zhang, Y., & Ma, D. (2022). A Novel Control Algorithm of the Air Supply Subsystem: Based on Dynamic Modeling of Proton Exchange Membrane Fuel Cell. Processes, 10(8), 1499. https://doi.org/10.3390/pr10081499

