Influence of Brown’s Gas on Cracking Behavior of Gas-Phase Tar during Pine Wood Pyrolysis
Abstract
:1. Introduction
2. Numerical Investigation
2.1. Numerical Methods and Boundary Conditions
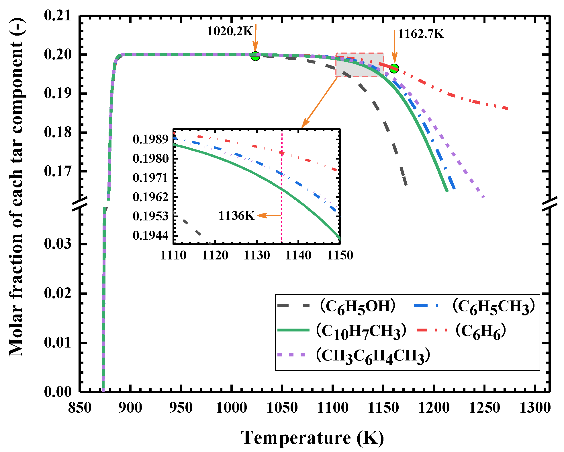
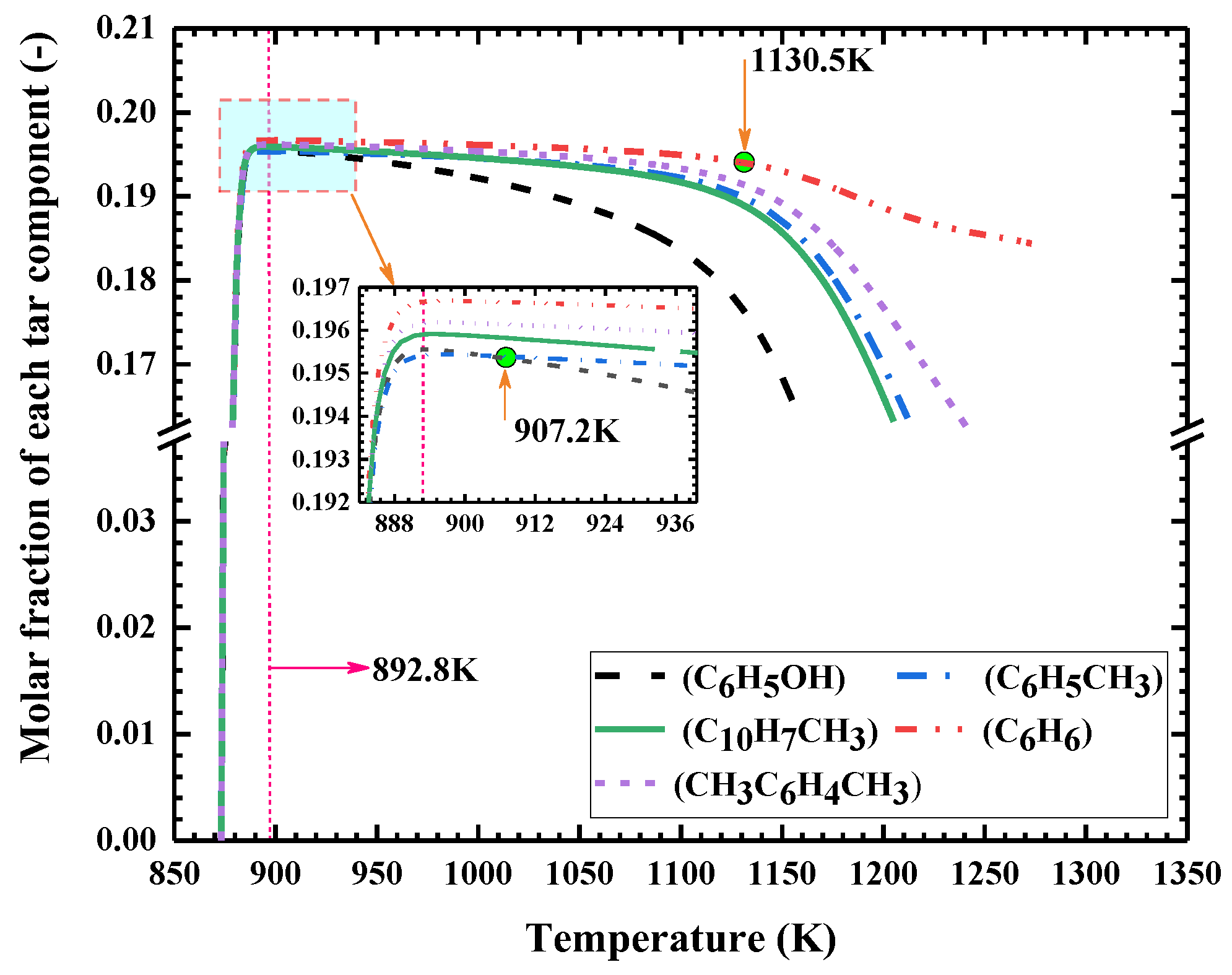
2.2. Discussion
3. Experiment Research
3.1. Materials and Methods
3.1.1. Thermogravimetric Experiment
3.1.2. Gravimetric Analysis
- The total volume of the distilled sample was VTL. The volume of sample injected into a dropping funnel was Vl at each time. The dripping speed was about 1 drop/s, and the distillation process took about 60 min. The condenser tube was kept cool during the process.
- The three-neck distillation flask (Gbi, tare weight) was below the dropping funnel. The three-neck distillation flask was placed in a constant temperature water bath, and the water bath temperature was 75 °C.
- The three-neck distillation flask was dried for 2 h and weighed, Gbsi. The least two parallel experiments (VTL/Vl = n ≥ 2) and one blank experiment were required for each tar sample. The blank experiment was performed via distilling dichloromethane, Gempty (tare weight).
3.2. Results and Discussion
4. Conclusions
- Under the condition of introduced Brown’s gas, the temperature range of gas-phase tar accelerated cracking is extended from Tv = 500 °C~700 °C to T = 500 °C ~800 °C. The average cracking rate of gas-phase tar for the increasing temperature per 1 °C increases from the original V(500°C~800°C) = 4.58 g⋅Nm −3 (X(Brown’s gas):N2 = 0%) to the V(500°C 800°C)+(1%) = 4.8 g⋅Nm −3 (X:N2 = 1%) and V(500°C~800°C)+(5%) = 5.02 g⋅Nm −3 (X:N2 = 5%). Therefore, Brown’s gas reduces the energy barrier of thermochemical conversion for gas-phase tar and broadens the temperature range of gas-phase tar accelerated cracking. In addition, the rich active radicals in Brown’s gas increase the thermochemical conversion rate of gas-phase tar.
- Under the condition of introduced Brown’s gas, the effect of Brown’s gas on the CO production rate is not obvious in the initial stage of pine wood pyrolysis (T = 500 °C~600 °C), and the CO production rate for increasing temperature per 1 °C is maintained at the range of V′(500°C~600°C)+(1%) = 1.56% (X:N2 = 1%)~V′(500°C~600°C)+(5%) = 1.75% (X:N2 = 5%). When the pyrolysis temperature is at range of T = 600 °C~800 °C, the Brown’s gas has a significant effect on the production rate of CO, and the largest CO volume fraction appears at the pyrolysis temperature of T = 800 °C. The CO production rate for the increasing temperature per 1 °C increases from the original V′(600°C~800°C) = 1.87% (X:N2 = 0%) to V′(600°C~800°C)+(1%) = 4.22% (X:N2 = 1%) and V′(600°C~800°C)+(5%) = 5.52% (X:N2 = 5%). Therefore, while participating in the deep cracking of gas-phase tar, Brown’s gas reduces the conversion energy barrier of gas-phase tar to CO and improves the thermochemical conversion rate of gas-phase tar to CO.
- The distribution of gaseous product temperature in the pine wood pyrolysis presents a monotonically rising trend, but the changing trend of gaseous product temperature is opposite to that of the gas-phase tar cracking rate. In the pyrolysis temperature range of T = 500 °C~750 °C, the cracking rate of gas-phase tar is relatively large, and the cleavage of carbonyl-bond of gas-phase tar is the main source of CO generation. In this process, the heat in the environment is absorbed, resulting in a slow rise rate of gaseous product temperature (TKN).
Author Contributions
Funding
Conflicts of Interest
Appendix A
| Elementary Reaction | Pre-Exponential Factor, A0 (cm3·mol−1·s−1) | Temperature Index, m (-) | Activation Energy, E0 (kcal·mol−1) |
|---|---|---|---|
| C6H6 + O2 = C6H5 + HO2 | 6.30 × 1013 | 0.0 | 60,000.0 |
| C6H6 + OH = C6H5 + H2O | 1.63 × 108 | 1.42 | 1454.0 |
| C6H6 + OH = C6H5OH + H | 6.70 × 1012 | 0.0 | 10,592.0 |
| C6H6 + O = C6H5O + H | 2.40 × 1013 | 0.0 | 4670.0 |
| C6H6 + H = C6H5 + H2 | 3.03 × 102 | 3.3 | 5690.0 |
| Elementary Reaction | Pre-Exponential Factor, A0 (cm3·mol−1·s−1) | Temperature Index, m (−) | Activation Energy, E0 (kcal·mol−1) |
|---|---|---|---|
| C6H5OH + OH = C6H5O + H2O | 2.95 × 106 | 2.0 | −1310.0 |
| C6H5OH + CH3 = C6H5O + CH4 | 1.81 × 1011 | 0.0 | 7716.0 |
| C6H5OH + H = C6H5O + H2 | 1.58 × 1013 | 0.0 | 6100.0 |
| C6H5OH + O = C6H5O + OH | 2.81 × 1013 | 0.0 | 7352.0 |
| C6H5OH + C2H3 = C2H4 + C6H5O | 6.00 × 1012 | 0.0 | 0.0 |
| C6H5OH + C6H5 = C6H6 + C6H5O | 4.91 × 1012 | 0.0 | 4400.0 |
| Elementary Reaction | Pre-Exponential Factor, A0 (cm3·mol−1·s−1) | Temperature Index, m (−) | Activation Energy, E0 (kcal·mol−1) |
|---|---|---|---|
| C6H5CH3 = C6H5 + CH3 | 1.40 × 1016 | 0.0 | 99,800.0 |
| C6H5CH3 + O2 = C6H5CH2 + HO2 | 2.00 × 1012 | 0.0 | 39,080.0 |
| C6H5CH3 + OH = C6H5CH2 + H2O | 1.26 × 1013 | 0.0 | 2583.0 |
| C6H5CH3 + O = C6H5CH2 + OH | 5.00 × 108 | 1.5 | 8000.0 |
| C6H5CH3 + H = C6H5CH2 + H2 | 3.98 × 102 | 3.44 | 3120.0 |
| C6H5CH3 + O = OC6H4CH3 + H | 1.63 × 1013 | 0.0 | 3418.0 |
| C6H5CH3 + CH3 = CH4 + C6H5CH2 | 3.16 × 1011 | 0.0 | 9500.0 |
| C6H5CH3 + C6H5 = C6H6 + C6H5CH2 | 2.10 × 1012 | 0.0 | 4400.0 |
| C6H5CH3 + H = C6H6 + CH3 | 1.20 × 1013 | 0.0 | 5148.0 |
| Elementary Reaction | Pre-Exponential Factor, A0 (cm3·mol−1·s−1) | Temperature Index, m (−) | Activation Energy, E0 (kcal·mol−1) |
|---|---|---|---|
| C10H7CH3 + OH = C10H7CH2 + H2O | 1.27 × 1013 | 0.0 | 2583.0 |
| C10H7CH3 + O− = C10H7CH2 + OH | 5.00 × 108 | 1.5 | 8000.0 |
| C10H7CH3 + H = C10H7CH2 + H2 | 3.98 × 102 | 3.44 | 3120.0 |
| C10H7CH3 + H = C10H8 + CH3 | 1.20 × 1013 | 0.0 | 5148.0 |
| Elementary Reaction | Pre-Exponential Factor, A0 (cm3·mol−1·s−1) | Temperature Index, m (−) | Activation Energy, E0 (kcal·mol−1) |
|---|---|---|---|
| CH3C6H4CH3 + OH = CH3C6H4CH2 + H2O | 2.95 × 1013 | 0.0 | 2623.0 |
| CH3C6H4CH3 + O = CH3C6H4CH2 + OH | 5.00 × 108 | 1.5 | 8000.0 |
| CH3C6H4CH3 + H = CH3C6H4CH2 + H | 3.98 × 102 | 3.44 | 3120.0 |
References
- Capurso, T.; Stefanizzi, M.; Torresi, M.; Camporeale, S.M. Perspective of the role of hydrogen in the 21st century energy transition. Energy Convers. Manag. 2022, 251, 114898. [Google Scholar] [CrossRef]
- Arsalis, A.; Papanastasiou, P.; Georghiou, G.E. A comparative review of lithium-ion battery and regenerative hydrogen fuel cell technologies for integration with photovoltaic applications. Renew. Energy 2022, 191, 943–960. [Google Scholar] [CrossRef]
- Ajiwibowo, M.W.; Darmawan, A.; Huda, M.; Surjosatyo, A.; Aziz, M. Integrated power-to-gas and power generation system through chemical looping combustion: A conceptual design. Energy Procedia 2019, 158, 1904–1909. [Google Scholar] [CrossRef]
- Soly, A.; Kady, M.; Farrag, A.; Gad, M.S. Comparative experimental investigation of oxyhydrogen (HHO) production rate using dry and wet cells. Int. J. Hydrogen Energy 2021, 46, 12639–12653. [Google Scholar] [CrossRef]
- Baltacolu, M.K. A novel application of pulse width modulation technique on hydroxy gas production. Int. J. Hydrogen Energy 2019, 44, 9726–9734. [Google Scholar] [CrossRef]
- Streblau, M.; Aprahamian, B.; Dechev, A.; Dimov, D. Investigation of the influence of the electric current’s magnitude on the operating regime of an oxyhydrogen generator. In Proceedings of the Conference: Practical Energy Prblems and Trends in Efficient Technologies (PEP TET 2013), Sofia, Bulgaria, 22 September 2013; Volume 48, pp. 5–6. [Google Scholar]
- Kady, M.; Farrag, A.; Gad, M.S.; Soly, A.; Hashish, H. Parametric study and experimental investigation of hydroxy (HHO) production using dry cell. Fuel 2020, 282, 118825. [Google Scholar] [CrossRef]
- King, M.B. Water Electrolyzers and the Zero-Point Energy. Phys. Procedia 2011, 20, 435–445. [Google Scholar] [CrossRef] [Green Version]
- Paparao, J.; Murugan, S. Oxy-hydrogen gas as an alternative fuel for heat and power generation applications—A review. Int. J. Hydrogen Energy 2021, 46, 37705–37735. [Google Scholar] [CrossRef]
- Butt, O.M.; Ahmad, M.S.; Che, H.S.; Rahim, N.A. Usage of on-demand oxyhydrogen gas as clean/renewable fuel for combustion applications: A review. Int. J. Green Energy 2021, 18, 1405–1429. [Google Scholar] [CrossRef]
- Arjun, T.B.; Atul, K.P.; Muraleedharan, A.P.; Walton, P.A.; Raj, A.A. A review on analysis of HHO gas in IC engines. Mater. Today Proc. 2019, 11, 1117–1129. [Google Scholar] [CrossRef]
- Gad, M.S.; El-Fakharany, M.K.; Elsharkawy, E.A. Effect of HHO gas enrichment on performance and emissions of a diesel engine fueled by biodiesel blend with kerosene additive. Fuel 2020, 280, 118632. [Google Scholar] [CrossRef]
- Gad, M.S.; Razek, S. Impact of HHO produced from dry and wet cell electrolyzers on diesel engine performance, emissions and combustion characteristics. Int. J. Hydrogen Energy 2021, 46, 22277–22291. [Google Scholar] [CrossRef]
- Liu, S.; Zhang, L.B.; Wang, Z.; Hua, L.; Zhang, Q.S. Investigating the combustion stability of shale gas engines under HHO. Fuel 2021, 291, 120098. [Google Scholar] [CrossRef]
- Hyun, J.S.; Park, J.W.; Maken, S.; Park, J.J. Vitrification of fly and bottom ashes from municipal solid waste incinerator using Brown’s Gas. J. Ind. Eng. Chem. 2004, 10, 361–367. [Google Scholar]
- Maken, S.; Jang, S.H.; Park, J.W.; Song, H.C.; Lee, S.; Chang, E.H. Vitrification of MSWI fly ash using Brown’s gas and fate of heavy metals. J. Sci. Ind. Res. India 2005, 64, 198–204. [Google Scholar]
- Park, K.; Hyun, J.; Maken, S.; Jang, S.; Park, J.W. Vitrification of municipal solid waste incinerator fly ash using brown’s gas. Energy Fuel 2005, 19, 258–262. [Google Scholar] [CrossRef]
- Min, S.Y.; Maken, S.; Park, J.W.; Gaur, A.; Hyun, J.S. Melting treatment of waste asbestos using mixture of hydrogen and oxygen produced from water electrolysis. Korean J. Chem. Eng. 2008, 25, 323–328. [Google Scholar] [CrossRef]
- Wang, C.N.; Chou, M.T.; Hsu, H.P.; Wang, J.W.; Selvaraj, S. The efficiency improvement by combining HHO gas, coal and oil in boiler for electricity generation. Energies 2017, 10, 251. [Google Scholar] [CrossRef] [Green Version]
- Kenanolu, R.; Baltaciolu, E. An experimental investigation on hydroxy (HHO) enriched ammonia as alternative fuel in gas turbine. Int. J. Hydrogen Energy 2020, 46, 29638–29648. [Google Scholar] [CrossRef]
- Gu, X.S.; Cheng, M.L.; Zhang, X.F.; Zeng, Y. The pollutant discharge improvement by introducing HHO gas into biomass boiler. confirm Int. J. Hydrogen Energy 2021, 46, 23292–23300. [Google Scholar] [CrossRef]
- Nabil, T.; Dawood, M.M.K. Enabling efficient use of oxyhydrogen gas (HHO) in selected engineering applications; transportation and sustainable power generation. J. Clean Prod. 2019, 237, 117798. [Google Scholar] [CrossRef]
- Lobo, L.Q.; Ferreira, A.G.M. Phase equilibria from the exactly integrated Clapeyron equation. J. Chem. Thermodyn. 2001, 33, 1597–1617. [Google Scholar] [CrossRef] [Green Version]
- Simell, P.; Stahlberg, P.; Kurkela, E. Provisional protocol for the sampling and anlaysis of tarand particulates in the gas from large-scale biomass gasifiers. Version 1998. Biomass Bioenergy 2000, 18, 19–38. [Google Scholar] [CrossRef]
- Adapted from NIST Chemistry WebBook. Standard Reference Database the Number 69. The U.S. Secretary of Commerce on Behalf of the United States of America. Available online: https://webbook.nist.gov/chemistry/name-ser/[EO/OL] (accessed on 1 January 2022).















| Element | H2 | O2 | H | H2O(g) | OH | O |
|---|---|---|---|---|---|---|
| Initial value (mol) | 4.15 × 10−2 | 2.075 × 10−2 | 5.18 × 10−3 | 5.18 × 10−3 | 5.18 × 10−3 | 5.18 × 10−3 |
| Normalization (-) | 8.16 × 10−3 | 4.08 × 10−3 | 1.02 × 10−3 | 1.02 × 10−3 | 1.02 × 10−3 | 1.02 × 10−3 |
| Carbon, C (%) | Hydrogen, H (%) | Oxygen, O (%) | Nitrogen, N (%) | Sulfur, S (%) |
|---|---|---|---|---|
| 49.58 | 7.19 | 42.25 | 0.22 | 0.09 |
| Moisture, M (%) | Ash, A (%) | Volatile Fraction, V (%) | Fixed Carbon, FC (%) |
|---|---|---|---|
| 7.65 | 1.67 | 78.10 | 12.55 |
| The Flow Volume Ratio, (%) | Pyrolysis Temperature, (°C) | Volume Flow Rate of Brown’s Gas, (mL/min) | Volume Flow Rate of Nitrogen, (L/min) | The Content of Gas-Phase Tar C, (g/m3) | Residence Time, (min) |
|---|---|---|---|---|---|
| 1 | 800 | 9.11 | 0.91 | 52.23 | 30 |
| 5 | 800 | 43.81 | 0.87 | 48.61 | 30 |
Publisher’s Note: MDPI stays neutral with regard to jurisdictional claims in published maps and institutional affiliations. |
© 2022 by the authors. Licensee MDPI, Basel, Switzerland. This article is an open access article distributed under the terms and conditions of the Creative Commons Attribution (CC BY) license (https://creativecommons.org/licenses/by/4.0/).
Share and Cite
Yang, S.; Fu, Y.; Cui, J.; Liu, Z.; Qin, D.; Xu, L.; Xu, Y. Influence of Brown’s Gas on Cracking Behavior of Gas-Phase Tar during Pine Wood Pyrolysis. Processes 2022, 10, 1231. https://doi.org/10.3390/pr10071231
Yang S, Fu Y, Cui J, Liu Z, Qin D, Xu L, Xu Y. Influence of Brown’s Gas on Cracking Behavior of Gas-Phase Tar during Pine Wood Pyrolysis. Processes. 2022; 10(7):1231. https://doi.org/10.3390/pr10071231
Chicago/Turabian StyleYang, Shuo, Yudong Fu, Jie Cui, Zhanzhi Liu, Daocheng Qin, Lin Xu, and Youning Xu. 2022. "Influence of Brown’s Gas on Cracking Behavior of Gas-Phase Tar during Pine Wood Pyrolysis" Processes 10, no. 7: 1231. https://doi.org/10.3390/pr10071231
APA StyleYang, S., Fu, Y., Cui, J., Liu, Z., Qin, D., Xu, L., & Xu, Y. (2022). Influence of Brown’s Gas on Cracking Behavior of Gas-Phase Tar during Pine Wood Pyrolysis. Processes, 10(7), 1231. https://doi.org/10.3390/pr10071231

