Quasi-Static Flexural Behavior of Epoxy-Matrix-Reinforced Crump Rubber Composites
Abstract
:1. Introduction
2. Materials and Methods
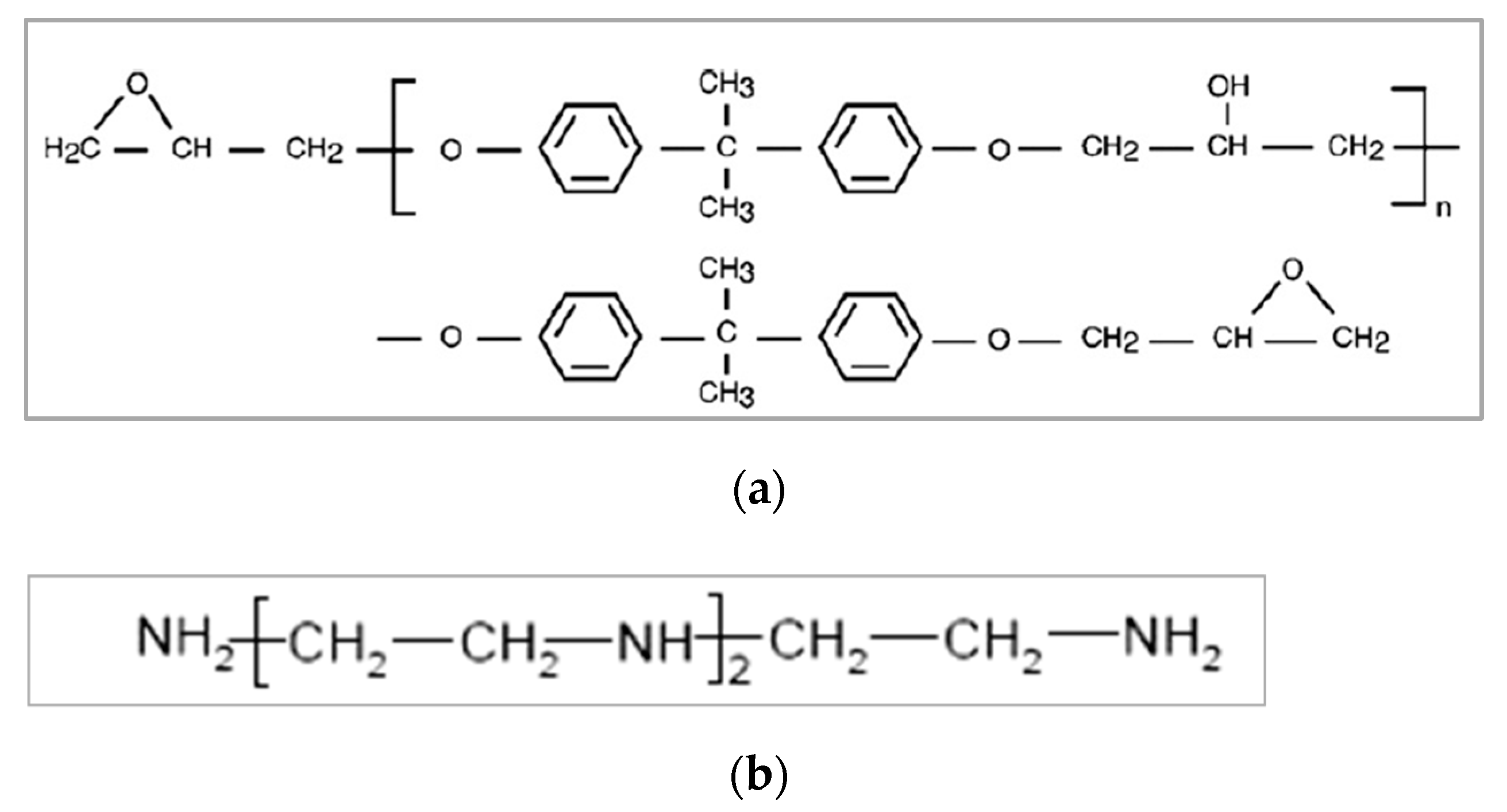
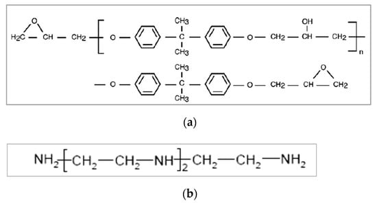
2.1. Materials
2.2. Fabrication
2.3. Experimental Program
3. Results and Discussions
3.1. Material Processing
3.2. Stress–Strain Curves
3.3. Flexural Modulus
3.4. Flexural Strength
3.5. Fracture Features
4. Conclusions
- The density of all the composites and the void percentages increased with increase in the crump rubber volume percentage and were higher than for neat epoxy.
- The stress–strain profiles of the specimens subjected to 0.01 mm/s showed higher strains to failure compared with 0.1 mm/s tested specimens, while all the specimens, irrespective of the strain rates, showed brittle failure.
- The modulus of the composites increased with increasing crump rubber content and was noted to be higher than for the neat epoxy specimens. For the 0.1 and 0.01 mm/s strain rates, the modulus of the EC-30 composites showed increments of 73% and 56%, while the specific modulus increased by 64% and 48%, respectively, compared with the other compositions.
- A marginal increase in strength was observed for all the composites in contrast with the neat specimens. For the 0.1 and 0.01 mm/s strain rates, the strength of the EC-30 composites showed increments of 9% and 7%, while the specific strength increased by 4% and 2%, respectively, in comparison with the other composites.
- Irrespective of the strain rates, the tests revealed a marginal increase in strength and a significant increase in the modulus of the composites in contrast to the neat specimens.
- Scanning electron micrographs of the fractured surfaces revealed a uniform distribution of constituents and a higher deformation ability of crump rubber particles, which assisted in enhancing the composites’ performance. The higher crump rubber percentage in the composites reduced the deformation of specimens significantly and helped in effective stress transfer between the constituents.
- The results presented in the study imply that epoxy composites consisting of crump rubber can be effectively utilized in specific envisaged applications demanding a higher flexural modulus and strength properties.
Author Contributions
Funding
Institutional Review Board Statement
Informed Consent Statement
Data Availability Statement
Acknowledgments
Conflicts of Interest
References
- Karimi, D.; Milani, A.S. SRVE modeling of particulate polymer matrix composites with irregularly shaped inclusions: Application to a green stone composite. Compos. Struct. 2019, 228, 111331. [Google Scholar] [CrossRef]
- Damadzadeh, B.; Jabari, H.; Skrifvars, M.; Airola, K.; Moritz, N.; Vallittu, P.K. Effect of ceramic filler content on the mechanical and thermal behaviour of poly-l-lactic acid and poly-l-lactic-co-glycolic acid composites for medical applications. J. Mater. Sci. Mater. Med. 2010, 21, 2523–2531. [Google Scholar] [CrossRef] [PubMed]
- Devaraju, S.; Hariharan, A.; Balaji, K.; Alagar, M. Thermal and Morphological Analyses of Polymer Matrix Composites. In Encyclopedia of Materials: Composites; Brabazon, D., Ed.; Elsevier: Oxford, UK, 2021; pp. 1038–1068. [Google Scholar] [CrossRef]
- Oladele, I.O.; Omotosho, T.F.; Adediran, A.A. Polymer-Based Composites: An Indispensable Material for Present and Future Applications. Int. J. Polym. Sci. 2020, 2020, 8834518. [Google Scholar] [CrossRef]
- Gupta, N.; Zeltmann, S.E.; Shunmugasamy, V.C.; Pinisetty, D. Applications of polymer matrix syntactic foams. Jom 2014, 66, 245–254. [Google Scholar] [CrossRef]
- Abdel-Shafy, H.I.; Mansour, M.S.M. Solid waste issue: Sources, composition, disposal, recycling, and valorization. Egypt. J. Pet. 2018, 27, 1275–1290. [Google Scholar] [CrossRef]
- Awoyera, P.O.; Adesina, A. Plastic wastes to construction products: Status, limitations and future perspective. Case Stud. Constr. Mater. 2020, 12, e00330. [Google Scholar] [CrossRef]
- Shahapurkar, K.; Garcia, C.D.; Doddamani, M.; Mohan Kumar, G.C.; Prabhakar, P. Compressive behavior of cenosphere/epoxy syntactic foams in arctic conditions. Compos. Part B Eng. 2018, 135, 253–262. [Google Scholar] [CrossRef]
- Shahapurkar, K.; Chavan, V.B.; Doddamani, M.; Kumar, G.C.M. Influence of surface modification on wear behavior of fly ash cenosphere/epoxy syntactic foam. Wear 2018, 414–415, 327–340. [Google Scholar] [CrossRef]
- Shahapurkar, K.; Doddamani, M.; Mohan Kumar, G.C.; Gupta, N. Effect of cenosphere filler surface treatment on the erosion behavior of epoxy matrix syntactic foams. Polym. Compos. 2019, 40, 2109–2118. [Google Scholar] [CrossRef]
- Hegde, S.; Padmaraj, N.H.; Siddesh, V.; Sunaya, T.S.; Kini, K.A.; Sanil, V.K. Experimental investigation of mechanical sustainability and acoustic performance of fly ash cenosphere/epoxy polymer composites. J. King Saud. Univ.-Eng. Sci. 2021. [Google Scholar] [CrossRef]
- Dalbehera, S.; Acharya, S.K. Effect of cenosphere addition on the mechanical properties of jute-glass fiber hybrid epoxy composites. J. Ind. Text. 2015, 46, 177–188. [Google Scholar] [CrossRef]
- Nguyen, T.A.; Pham, T.M.H. Study on the properties of epoxy composites using fly ash as an additive in the presence of nanoclay: Mechanical properties, flame retardants, and dielectric properties. J. Chem. 2020, 2020, 8854515. [Google Scholar] [CrossRef]
- Satapathy, A.; Alok Kumar, J.; Mantry, S.; Singh, S.K.; Patnaik, A. Processing and Characterization of Jute-Epoxy Composites Reinforced with SiC Derived from Rice Husk. J. Reinf. Plast. Compos. 2009, 29, 2869–2878. [Google Scholar] [CrossRef]
- Kumar, S.; Mer, K.K.S.; Gangil, B.; Patel, V.K. Synergy of rice-husk filler on physico-mechanical and tribological properties of hybrid Bauhinia-vahlii/sisal fiber reinforced epoxy composites. J. Mater. Res. Technol. 2019, 8, 2070–2082. [Google Scholar] [CrossRef]
- Jain, N.; Somvanshi, K.S.; Gope, P.C.; Singh, V.K. Mechanical characterization and machining performance evaluation of rice husk/epoxy an agricultural waste based composite material. J. Mech. Behav. Mater. 2019, 28, 29–38. [Google Scholar] [CrossRef]
- Patnaik, P.K.; Swain, P.T.R.; Biswas, S. Investigation of mechanical and abrasive wear behavior of blast furnace slag-filled needle-punched nonwoven viscose fabric epoxy hybrid composites. Polym. Compos. 2019, 40, 2335–2345. [Google Scholar] [CrossRef]
- Patnaik, P.K.; Biswas, S. Effect of blast furnace slag content on mechanical and slurry abrasion behavior of needle-punched nonwoven fabric reinforced epoxy composites. Adv. Polym. Technol. 2018, 37, 1764–1773. [Google Scholar] [CrossRef]
- Shahapurkar, K.; Soudagar, M.E.M.; Shahapurkar, P.; Mathapathi, M.; Khan, T.M.Y.; Mujtaba, M.A.; Ali, M.D.I.; Thanaiah, K.; Siddiqui, M.I.H.; Ali, M.A. Effect of crump rubber on the solid particle erosion response of epoxy composites. J. Appl. Polym. Sci. 2022, 139, 51470. [Google Scholar] [CrossRef]
- Shahapurkar, K.; Chenrayan, V.; Soudagar, M.E.M.; Badruddin, I.A.; Shahapurkar, P.; Elfasakhany, A.; Mujtaba, M.A.; Siddiqui, M.I.; Ali, M.A.; Mahlia, T.M. Leverage of Environmental Pollutant Crump Rubber on the Dry Sliding Wear Response of Epoxy Composites. Polymers 2021, 13, 2894. [Google Scholar] [CrossRef]
- Shahapurkar, K.; Chenrayan, V.; Tesfamarium, B.B.; Soudagar, M.E.M.; Hossain, N.; Rajhi, A.A.; Alamri, S.; Alarifi, I.M.; Shahapurkar, P.; Mujtaba, M.A.; et al. Parametric Analysis of Epoxy/Crumb Rubber Composite by Using Taguchi—GRA Hybrid Technique. Polymers 2021, 13, 3441. [Google Scholar] [CrossRef]
- Shahapurkar, K. Tensile behavior of environmental pollutant crumb rubber filled epoxy composites. Mater. Res. Express 2021, 8, 095505. [Google Scholar] [CrossRef]
- Shahapurkar, K. Compressive behavior of crump rubber reinforced epoxy composites. Polym. Compos. 2021, 42, 329–341. [Google Scholar] [CrossRef]
- Alblalaihid, K.; Shahapurkar, K.; Chennarayan, V.; Beyecha, H.; Tirth, V.; Algahtani, A.; Soudagar, M.E.M.; Talugeri, V. Experimental investigation on the flexural response of epoxy composites filled with environmental pollutant crump rubber. Mater. Res. Express 2022, 9, 035503. [Google Scholar] [CrossRef]
- Salasinska, K.; Barczewski, M.; Górny, R.; Kloziński, A. Evaluation of highly filled epoxy composites modified with walnut shell waste filler. Polym. Bull. 2018, 75, 2511–2528. [Google Scholar] [CrossRef] [Green Version]
- Singh, V.K. Mechanical behavior of walnut (Juglans L.) shell particles reinforced bio-composite. Sci. Eng. Compos. Mater. 2015, 22, 383–390. [Google Scholar] [CrossRef]
- Bulei, C.; Todor, M.P.; Heput, T.; Kiss, I. Directions for material recovery of used tires and their use in the production of new products intended for the industry of civil construction and pavements. IOP Conf. Ser. Mater. Sci. Eng. 2018, 294, 012064. [Google Scholar] [CrossRef]
- Wu, B.; Zhou, M.H. Recycling of waste tyre rubber into oil absorbent. Waste Manag. 2009, 29, 355–359. [Google Scholar] [CrossRef]
- Yilmaz, A.; Degirmenci, N. Possibility of using waste tire rubber and fly ash with Portland cement as construction materials. Waste Manag. 2009, 29, 1541–1546. [Google Scholar] [CrossRef]
- Rowhani, A.; Rainey, T.J. Scrap Tyre Management Pathways and Their Use as a Fuel—A Review. Energies 2016, 9, 888. [Google Scholar] [CrossRef]
- Sofi, A. Effect of waste tyre rubber on mechanical and durability properties of concrete—A review. Ain Shams Eng. J. 2018, 9, 2691–2700. [Google Scholar] [CrossRef]
- Khed, V.C.; Mohammed, B.S.; Nuruddin, M.F. Effects of Different Crumb Rubber Sizes on the Flowability and Compressive Strength of Hybrid Fibre Reinforced ECC; IOP Publishing: Bristol, UK, 2018. [Google Scholar]
- Mashaan, N.S.; Ali, A.H.; Karim, M.R.; Abdelaziz, M. A Review on Using Crumb Rubber in Reinforcement of Asphalt Pavement. Sci. World J. 2014, 2014, 214612. [Google Scholar] [CrossRef] [PubMed]
- Jie, X.U.; Yao, Z.; Yang, G.; Han, Q. Research on crumb rubber concrete: From a multi-scale review. Constr. Build. Mater. 2020, 232, 117282. [Google Scholar]
- Lapkovskis, V.; Mironovs, V.; Kasperovich, A.; Myadelets, V.; Goljandin, D. Crumb rubber as a secondary raw material from waste rubber: A short review of end-of-life mechanical processing methods. Recycling 2020, 5, 32. [Google Scholar] [CrossRef]
- Irmawaty, R.; Noor, N.M.; Muhaimin, A.A. Feasibility of crumb rubber as fine aggregate in concrete. IOP Conf. Ser. Earth Environ. Sci. 2020, 419, 012054. [Google Scholar] [CrossRef]
- Sukanto, H.; Raharjo, W.W.; Ariawan, D.; Triyono, J.; Kaavesina, M. Epoxy resins thermosetting for mechanical engineering. Open Eng. 2021, 11, 797–814. [Google Scholar] [CrossRef]
- Drake, R.S.; Egan, D.R.; Murphy, W.T. Elastomer-modified epoxy resins in coatings applications. ACS Symp. Ser. 1983, 221, 1–20. [Google Scholar]
- Bharath Kumar, B.R.; Singh, A.K.; Doddamani, M.; Luong, D.D.; Gupta, N. Quasi-Static and High Strain Rate Compressive Response of Injection-Molded Cenosphere/HDPE Syntactic Foam. JOM 2016, 68, 1861–1871. [Google Scholar] [CrossRef]
- Song, B.; Chen, W.W.; Lu, W.Y. Mechanical characterization at intermediate strain rates for rate effects on an epoxy syntactic foam. Int. J. Mech. Sci. 2007, 49, 1336–1343. [Google Scholar] [CrossRef]
- Sutherland, L.S.; Soares, C.G. The use of quasi-static testing to obtain the low-velocity impact damage resistance of marine GRP laminates. Compos. Part B Eng. 2012, 43, 1459–1467. [Google Scholar] [CrossRef]
- Jayavardhan, M.L.; Doddamani, M. Quasi-static compressive response of compression molded glass microballoon/HDPE syntactic foam. Compos. Part B Eng. 2018, 149, 165–177. [Google Scholar] [CrossRef]
- Doddamani, M. Effect of surface treatment on quasi-static compression and dynamic mechanical analysis of syntactic foams. Compos. Part B Eng. 2019, 165, 365–378. [Google Scholar] [CrossRef]
- Shivamurthy, B.; Doreswamy, D.; Nishanth, J.; HC, S.P. Physical and tribo-mechanical properties of waste rubber tyre/epoxy composites. Mater. Res. Express 2019, 6, 095321. [Google Scholar] [CrossRef]
- Adesina, A.Y.; Zainelabdeen, I.H.; Dalhat, M.A.; Mohammed, A.S.; Sorour, A.A.; Al-Badour, F.A. Influence of micronized waste tire rubber on the mechanical and tribological properties of epoxy composite coatings. Tribol. Int. 2020, 146, 106244. [Google Scholar] [CrossRef]
- Verma, A.; Negi, P.; Singh, V.K. Experimental investigation of chicken feather fiber and crumb rubber reformed epoxy resin hybrid composite: Mechanical and microstructural characterization. J. Mech. Behav. Mater. 2018, 27, 3–4. [Google Scholar] [CrossRef]
- Licari, J.J.; Swanson, D.W. Chapter 3-Chemistry, Formulation, and Properties of Adhesives. In Adhesives Technology for Electronic Applications, 2nd ed.; Licari, J.J., Swanson, D.W., Eds.; William Andrew Publishing: Oxford, UK, 2011; pp. 75–141. [Google Scholar] [CrossRef]
- ASTM D790-17; Standard Test Methods for Flexural Properties of Unreinforced and Reinforced Plastics and Electrical Insulating Materials. ASTM International: West Conshohocken, PA, USA, 2010.
- Tripathi, G.; Srivastava, D. Studies on the physico-mechanical and thermal characteristics of blends of DGEBA epoxy, 3,4 epoxy cyclohexylmethyl, 3′,4′-epoxycylohexane carboxylate and carboxyl terminated butadiene co-acrylonitrile (CTBN). Mater. Sci. Eng. A 2008, 496, 483–493. [Google Scholar] [CrossRef]
- Dadfar, M.R.; Ghadami, F. Effect of rubber modification on fracture toughness properties of glass reinforced hot cured epoxy composites. Mater. Des. 2013, 47, 16–20. [Google Scholar] [CrossRef]
- Calabrese, L.; Valenza, A. Effect of CTBN rubber inclusions on the curing kinetic of DGEBA–DGEBF epoxy resin. Eur. Polym. J. 2003, 39, 1355–1363. [Google Scholar] [CrossRef]
- Tagliavia, G.; Porfiri, M.; Gupta, N. Analysis of flexural properties of hollow-particle filled composites. Compos. Part B Eng. 2010, 41, 86–93. [Google Scholar] [CrossRef]
- Garcia, C.D.; Shahapurkar, K.; Doddamani, M.; Kumar, G.C.M.; Prabhakar, P. Effect of arctic environment on flexural behavior of fly ash cenosphere reinforced epoxy syntactic foams. Compos. Part B Eng. 2018, 151, 265–273. [Google Scholar] [CrossRef]
- Kargarzadeh, H.; Ahmad, I.; Abdullah, I. Liquid rubbers as toughening agents. In Micro-Nanostructured Epoxy/Rubber Blends; John Wiley & Sons: Hoboken, NJ, USA, 2014; pp. 31–52. [Google Scholar]
- Mark, J.E. Rubber elasticity. J. Chem. Educ. 1981, 58, 898. [Google Scholar] [CrossRef] [Green Version]
- Wang, H.; Liu, X.; Zhang, H.; Apostolidis, P.; Erkens, S.; Skarpas, A. Micromechanical modelling of complex shear modulus of crumb rubber modified bitumen. Mater. Des. 2020, 188, 108467. [Google Scholar] [CrossRef]
- Kunz-Douglass, S.; Beaumont, P.W.R.; Ashby, M.F. A model for the toughness of epoxy-rubber particulate composites. J. Mater. Sci. 1980, 15, 1109–1123. [Google Scholar] [CrossRef]
- Meeks, A.C. Fracture and mechanical properties of epoxy resins and rubber-modified epoxy resins. Polymer 1974, 15, 675–681. [Google Scholar] [CrossRef]
- D, K.; Shahapurkar, K.; Venkatesh, C.; R, M.; Tirth, V.; Manivannan, C.; Alarifi, I.M.; Soudagar, M.E.M.; El-Shafay, A.S. Influence of Graphene Nano Fillers and Carbon Nano Tubes on the Mechanical and Thermal Properties of Hollow Glass Microsphere Epoxy Composites. Processes 2022, 10, 40. [Google Scholar] [CrossRef]
- Yee, A.F.; Pearson, R.A. Toughening mechanisms in elastomer-modified epoxies. J. Mater. Sci. 1986, 21, 2462–2474. [Google Scholar] [CrossRef] [Green Version]
- Gupta, N.; Woldesenbet, E. Microscopic Studies of Syntactic Foams Tested Under Three-Point Bending Conditions. In Proceedings of the ASME 2002 Engineering Technology Conference on Energy, Houston, TX, USA, 4–5 February 2002; pp. 147–152. [Google Scholar]








| Crump Rubber | Epoxy | |||
|---|---|---|---|---|
| Physical properties | Unit | Description | Unit | Value |
| Density | 1451 kg/m3 | Color | Grey scale | 0.8 |
| Young’s modulus | 2600–2900 MPa | Epoxy value | Eq./kg | 5.35 |
| Tensile strength | 40–70 MPa | Viscosity at 25 °C | MPa | 11,850 |
| Elongation at break | 25–50% | Volatile content at 105 °C/h | % | 0.4 |
| Melting point | 200 °C | Hydrolysable chlorine | wt.% | 0.08 |
| Color | black/blue | Marten’s value | °C | 150 |
Publisher’s Note: MDPI stays neutral with regard to jurisdictional claims in published maps and institutional affiliations. |
© 2022 by the authors. Licensee MDPI, Basel, Switzerland. This article is an open access article distributed under the terms and conditions of the Creative Commons Attribution (CC BY) license (https://creativecommons.org/licenses/by/4.0/).
Share and Cite
Shahapurkar, K.; Alblalaihid, K.; Chenrayan, V.; Alghtani, A.H.; Tirth, V.; Algahtani, A.; Alarifi, I.M.; Kiran, M.C. Quasi-Static Flexural Behavior of Epoxy-Matrix-Reinforced Crump Rubber Composites. Processes 2022, 10, 956. https://doi.org/10.3390/pr10050956
Shahapurkar K, Alblalaihid K, Chenrayan V, Alghtani AH, Tirth V, Algahtani A, Alarifi IM, Kiran MC. Quasi-Static Flexural Behavior of Epoxy-Matrix-Reinforced Crump Rubber Composites. Processes. 2022; 10(5):956. https://doi.org/10.3390/pr10050956
Chicago/Turabian StyleShahapurkar, Kiran, Khalid Alblalaihid, Venkatesh Chenrayan, Abdulaziz H. Alghtani, Vineet Tirth, Ali Algahtani, Ibrahim M. Alarifi, and M. C. Kiran. 2022. "Quasi-Static Flexural Behavior of Epoxy-Matrix-Reinforced Crump Rubber Composites" Processes 10, no. 5: 956. https://doi.org/10.3390/pr10050956
APA StyleShahapurkar, K., Alblalaihid, K., Chenrayan, V., Alghtani, A. H., Tirth, V., Algahtani, A., Alarifi, I. M., & Kiran, M. C. (2022). Quasi-Static Flexural Behavior of Epoxy-Matrix-Reinforced Crump Rubber Composites. Processes, 10(5), 956. https://doi.org/10.3390/pr10050956

