Economic Benefit Evaluation System of Green Building Energy Saving Building Technology Based on Entropy Weight Method
Abstract
:1. Introduction
2. Related Work
3. Economic Effect Evaluation Model of Green Energy-Saving Building Based on Entropy Weight Method
3.1. Incremental Cost Effect of Green Energy Saving Building Technology
3.2. Economic Effect Evaluation Model of Green Energy Saving Building Based on Entropy Weight Method
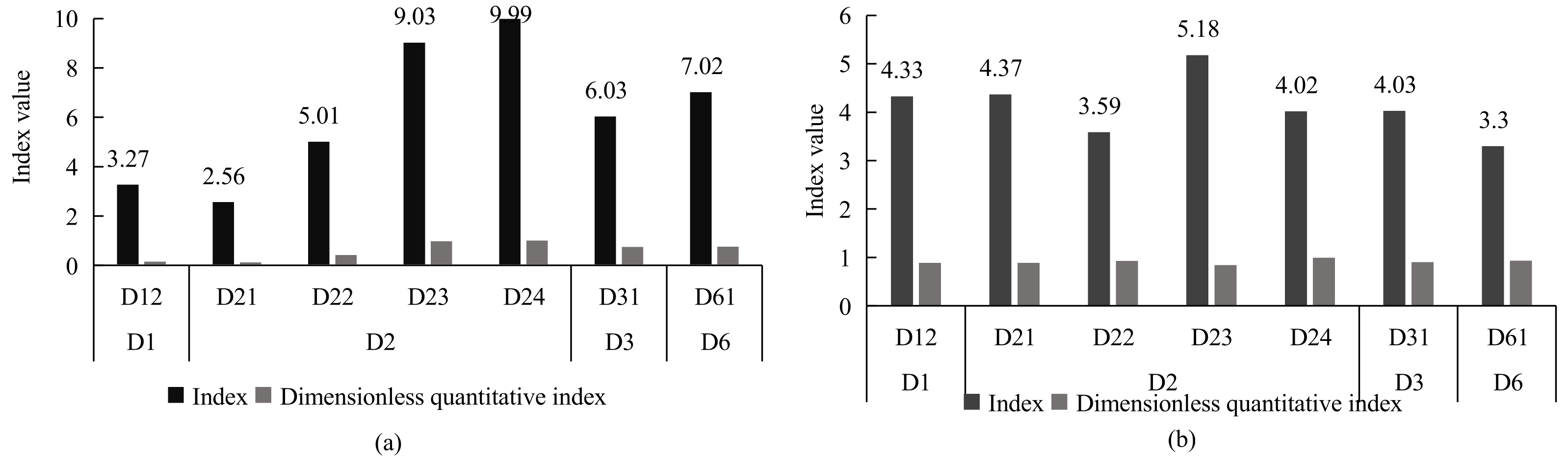
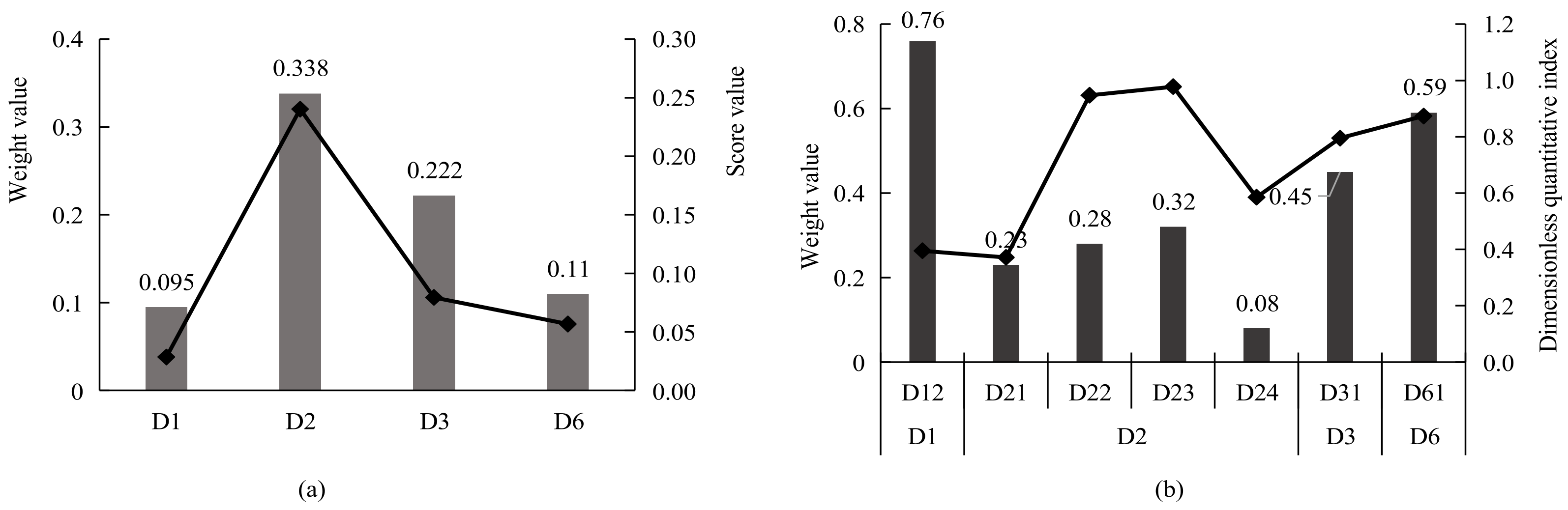
4. Experimental Design and Analysis
5. Conclusions
Author Contributions
Funding
Institutional Review Board Statement
Informed Consent Statement
Data Availability Statement
Conflicts of Interest
References
- Sim, Y.L.; Putuhena, F.J. Green building technology initiatives to achieve construction quality and environmental sustainability in the construction industry in Malaysia. Manag. Environ. Qual. Int. J. 2015, 26, 233–249. [Google Scholar] [CrossRef]
- Ekwe, E.B.; Abam, F.I. An Optimized Exergoeconomic Model for a Single-Shaft Modified GT-Plant with Intercooled Compression Based on PSO. Int. J. Eng. Technol. Sci. 2015, 3, 354–363. [Google Scholar]
- Alimohammadi, N.; Maleki, B.; Shahriari, M.; Chitsaz, A. Effect of a care plan based on Roy adaptation model biological dimension on stroke patients’ physiologic adaptation level. Iran. J. Nurs. Midwifery Res. 2015, 20, 275–281. [Google Scholar] [PubMed]
- Ali, U.; Daud, N.M.; Nor, N.M.; Yusuf, M.A.; Yahya, M.A. Enhancement in green building technology including life cycle cost. Soc. Sci. 2019, 14, 148–154. [Google Scholar] [CrossRef]
- Bhuyan, R.K.; Routara, B.C. Optimization the machining parameters by using VIKOR and Entropy Weight method during EDM process of Al–18% SiCp Metal matrix composite. Decis. Sci. Lett. 2016, 5, 269–282. [Google Scholar] [CrossRef]
- Zhou, T.; Zhou, Y. Fuzzy comprehensive evaluation of urban regeneration decision-making based on entropy weight method: Case study of yuzhong peninsula, China. J. Intell. Fuzzy Syst. 2015, 29, 2661–2668. [Google Scholar] [CrossRef] [Green Version]
- Ji, Y.; Huang, G.H.; Sun, W. Risk assessment of hydropower stations through an integrated fuzzy entropy-weight multiple criteria decision making method: A case study of the Xiangxi River. Expert Syst. Appl. 2015, 42, 5380–5389. [Google Scholar] [CrossRef]
- Delgado, A.; Romero, I. Environmental conflict analysis using an integrated grey clustering and entropy-weight method: A case study of a mining project in Peru. Environ. Model. Softw. 2016, 77, 108–121. [Google Scholar] [CrossRef]
- Kritsanawonghong, S.; Gao, W.J.; Iamtrakul, P.; Kuroki, S. Evaluation of Green Building Technology by Introducing Micro Co-Generation System in Convenience Stores. Adv. Mater. Res. 2014, 935, 57–60. [Google Scholar] [CrossRef]
- Lertpocasombut, K.; Sirimontree, S.; Witchayangkoon, B. Green Building Technology for Public Restroom Conceptual Design via SketchUp®. Int. Trans. J. Eng. Manag. Appl. Sci. Technol. 2016, 7, 119–126. [Google Scholar]
- Kumar, R.; Chakrabortty, S.; Pal, P. Membrane-integrated physico-chemical treatment of coke-oven wastewater: Transport modelling and economic evaluation. Environ. Sci. Pollut. Res. 2015, 22, 6010–6023. [Google Scholar] [CrossRef] [PubMed]
- Bastardie, F.; Nielsen, J.R.; Eero, M.; Fuga, F.; Rindorf, A. Effects of changes in stock productivity and mixing on sustainable fishing and economic viability. ICES J. Mar. Sci. 2016, 74, 535–551. [Google Scholar] [CrossRef]
- Verhaeghe, N.; De Greve, O.; Annemans, L. The potential health and economic effect of a Body Mass Index decrease in the overweight and obese population in Belgium. Public Health 2016, 134, 26–33. [Google Scholar] [CrossRef] [PubMed]
- Liapis, K.J.; Politis, E.D. Disclosure of the Laffer economic effect in property valuations to fair value. J. Prop. Investig. Financ. 2018, 36, 305–318. [Google Scholar] [CrossRef]
- Jara, H.X.; Schokkaert, E. Putting measures of individual well-being to use for ex-ante policy evaluation. J. Econ. Inequal. 2017, 15, 421–440. [Google Scholar] [CrossRef] [Green Version]






| Green Building Star | Building Energy Saving Technology (Yuan/m2) | Renewable Resources Utilization Technology (Yuan/m2) |
|---|---|---|
| A star | 1.58–49.57 | 1.45–15.48 |
| Two stars | 13.19–223.30 | 1.45–33.28 |
| Three stars | 0–170 | 0–107.31 |
| Technical and Economic Evaluation Level of Green Building | Scoring Range | Star Rating |
|---|---|---|
| The economic effect is very good | [0,0.2) | A star |
| Good economic results | [0.2,0.4) | Two stars |
| The economic effect is average | [0.4,0.6) | Three stars |
| Certain economic effect | [0.6,0.8) | Four stars |
| The economic effect needs to be improved | [0.8,1.0) | Five stars |
Publisher’s Note: MDPI stays neutral with regard to jurisdictional claims in published maps and institutional affiliations. |
© 2022 by the authors. Licensee MDPI, Basel, Switzerland. This article is an open access article distributed under the terms and conditions of the Creative Commons Attribution (CC BY) license (https://creativecommons.org/licenses/by/4.0/).
Share and Cite
Lu, H.; Sheng, X.; Du, F. Economic Benefit Evaluation System of Green Building Energy Saving Building Technology Based on Entropy Weight Method. Processes 2022, 10, 382. https://doi.org/10.3390/pr10020382
Lu H, Sheng X, Du F. Economic Benefit Evaluation System of Green Building Energy Saving Building Technology Based on Entropy Weight Method. Processes. 2022; 10(2):382. https://doi.org/10.3390/pr10020382
Chicago/Turabian StyleLu, Hanguang, Xiaojie Sheng, and Fei Du. 2022. "Economic Benefit Evaluation System of Green Building Energy Saving Building Technology Based on Entropy Weight Method" Processes 10, no. 2: 382. https://doi.org/10.3390/pr10020382
APA StyleLu, H., Sheng, X., & Du, F. (2022). Economic Benefit Evaluation System of Green Building Energy Saving Building Technology Based on Entropy Weight Method. Processes, 10(2), 382. https://doi.org/10.3390/pr10020382
