Thermochemical and Enzymatic Saccharification of Water Hyacinth Biomass into Fermentable Sugars
Abstract
1. Introduction
2. Materials and Methods
2.1. Sampling and Treatment of Water Hyacinth
2.2. Analysis of Water Hyacinth Biomass Composition
2.2.1. Material Extractable in Organic Solvents
2.2.2. Material Extractable in Water
2.2.3. Ash Content
2.2.4. Holocellulose Content
2.3. Analysis of Sugars
2.4. Thermochemical Pretreatment of Water Hyacinth
2.5. Enzymatic Assays
2.6. Enzymatic Hydrolysis of Pretreated Biomass of Water Hyacinth
2.7. Statistical Analysis
2.8. Yield Estimates
3. Results and Discussion
3.1. Water Hyacinth Biomass Composition
3.2. Thermo-Chemical Pretreatments of Water Hyacinth Biomass
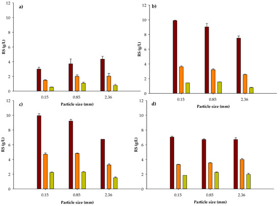
3.3. Thermochemical Pretreatment Efficiency
3.4. Enzymatic Saccharification of Chemically Pretreated Water Hyacinth Biomass
4. Conclusions
Author Contributions
Funding
Institutional Review Board Statement
Informed Consent Statement
Conflicts of Interest
References
- Villamagna, A.M.; Murphy, B.R. Ecological and Socio-Economic Impacts of Invasive Water Hyacinth (Eichhornia Crassipes): A Review. Freshw. Biol. 2010, 55, 282–298. [Google Scholar] [CrossRef]
- Sharma, A.; Aggarwal, N.K.; Saini, A.; Yadav, A. Beyond Biocontrol: Water Hyacinth. Opportunities and Challenges. J. Environ. Sci. Technol. 2016, 9, 26–48. [Google Scholar] [CrossRef]
- Dirar, H.A.; El Amin, H.B. Methane Fermentation of Water Hyacinth: Effect of Solids Concentration and Inoculum Source. Mircen J. Appl. Microbiol. Biotechnol. 1988, 4, 299–312. [Google Scholar] [CrossRef]
- Malik, A. Environmental Challenge Vis a Vis Opportunity: The Case of Water Hyacinth. Environ. Int. 2007, 33, 122–138. [Google Scholar] [CrossRef]
- Wu, H.; Ding, J. Abiotic and Biotic Determinants of Plant Diversity in Aquatic Communities Invaded by Water Hyacinth [Eichhornia Crassipes (Mart.) Solms]. Front. Plant Sci. 2020, 11, 1–11. [Google Scholar] [CrossRef] [PubMed]
- Forrest, A.K.; Hernandez, J.; Holtzapple, M.T. Effects of Temperature and Pretreatment Conditions on Mixed-Acid Fermentation of Water Hyacinths Using a Mixed Culture of Thermophilic Microorganisms. Bioresour. Technol. 2010, 101, 7510–7515. [Google Scholar] [CrossRef]
- Harun, I.; Pushiri, H.; Amirul-Aiman, A.J.; Zulkeflee, Z. Invasive Water Hyacinth: Ecology, Impacts and Prospects for the Rural Economy. Plants 2021, 10, 1613. [Google Scholar] [CrossRef] [PubMed]
- Cerveira, W.R., Jr.; Carvalho, L.B. Control of Water Hyacinth: A Short Review. Commun. Plant Sci. 2019, 9, 129–132. [Google Scholar] [CrossRef]
- Su, W.; Sun, Q.; Xia, M.; Wen, Z.; Yao, Z. The Resource Utilization of Water Hyacinth (Eichhornia Crassipes [Mart.] Solms) and Its Challenges. Resources 2018, 7, 46. [Google Scholar] [CrossRef]
- Gaurav, G.K.; Mehmood, T.; Cheng, L.; Klemeš, J.J.; Shrivastava, D.K. Water Hyacinth as a Biomass: A Review. J. Clean. Prod. 2020, 277, 122214. [Google Scholar] [CrossRef]
- Jafari, N. Ecological and Socio-Economic Utilization of Water Hyacinth (Eichhornia Crassipes Mart Solms). J. Appl. Sci. Environ. Manag. 2010, 14, 43–49. [Google Scholar] [CrossRef]
- Li, F.; He, X.; Srishti, A.; Song, S.; Tan, H.T.W.; Sweeney, D.J.; Ghosh, S.; Wang, C.H. Water Hyacinth for Energy and Environmental Applications: A Review. Bioresour. Technol. 2021, 327, 124809. [Google Scholar] [CrossRef]
- Sindhu, R.; Binod, P.; Pandey, A.; Madhavan, A.; Alphonsa, J.A.; Vivek, N.; Gnansounou, E.; Castro, E.; Faraco, V. Water Hyacinth a Potential Source for Value Addition: An Overview. Bioresour. Technol. 2017, 230, 152–162. [Google Scholar] [CrossRef] [PubMed]
- Wilkie, A.C.; Evans, J.M. Aquatic Plants: An Opportunity Feedstock in the Age of Bioenergy. Biofuels 2010, 1, 311–321. [Google Scholar] [CrossRef]
- Ramkumar Mahalakshmi, C.S.; Vanitha, S. Comparison of BOD5 Removal in Water Hyacinth and Duckweed by Genetic Programming. In Information and Communication Technology for Intelligent Systems; Satapathy, S.J.A., Ed.; Springer: Singapore, 2019; pp. 401–408. [Google Scholar]
- Sarkar, M.; Rahman, A.K.M.L.; Bhoumik, N.C. Remediation of Chromium and Copper on Water Hyacinth (E. Crassipes) Shoot Powder. Water Resour. Ind. 2017, 17, 1–6. [Google Scholar] [CrossRef]
- Ebel, M.; Evangelou, M.W.H.; Schaeffer, A. Cyanide Phytoremediation by Water Hyacinths (Eichhornia Crassipes). Chemosphere 2007, 66, 816–823. [Google Scholar] [CrossRef]
- Roy, S.; Hänninen, O. Pentachlorophenol: Uptake/Elimination Kinetics and Metabolism in an Aquatic Plant, Eichhornia Crassipes. Environ. Toxicol. Chem. 1994, 13, 763–773. [Google Scholar] [CrossRef]
- Singh, N.; Balomajumder, C. Phytoremediation Potential of Water Hyacinth (Eichhornia Crassipes) for Phenol and Cyanide Elimination from Synthetic/Simulated Wastewater. Appl. Water Sci. 2021, 11, 1–15. [Google Scholar] [CrossRef]
- Huynh, A.T.; Chen, Y.C.; Tran, B.N.T. A Small-Scale Study on Removal of Heavy Metals from Contaminated Water Using Water Hyacinth. Processes 2021, 9, 1802. [Google Scholar] [CrossRef]
- Nigam, J.N. Bioconversion of Water-Hyacinth (Eichhornia Crassipes) Hemicellulose Acid Hydrolysate to Motor Fuel Ethanol by Xylose-Fermenting Yeast. J. Biotechnol. 2002, 97, 107–116. [Google Scholar] [CrossRef]
- Tovar-Jiménez, X.; Favela-Torres, E.; Volke-Sepúlveda, T.L.; Escalante-Espinosa, E.; Díaz-Ramírez, I.J.; Córdova-López, J.A.; Téllez-Jurado, A. Influence of the Geographical Area and Morphological Part of the Water Hyacinth on Its Chemical Composition. Ing. Agrícola y Biosist. 2019, 11, 39–52. [Google Scholar] [CrossRef]
- Singh, S.; Cheng, G.; Sathitsuksanoh, N.; Wu, D.; Varanasi, P.; George, A.; Balan, V.; Gao, X.; Kumar, R.; Dale, B.E.; et al. Comparison of Different Biomass Pretreatment Techniques and Their Impact on Chemistry and Structure. Front. Energy Res. 2015, 2, 1–12. [Google Scholar] [CrossRef]
- Chandel, A.K.; Chandrasekhar, G.; Silva, M.B.; Silvério Da Silva, S. The Realm of Cellulases in Biorefinery Development. Crit. Rev. Biotechnol. 2012, 32, 187–202. [Google Scholar] [CrossRef] [PubMed]
- Hong, F.; Guo, X.; Zhang, S.; Han, S.F.; Yang, G.; Jönsson, L.J. Bacterial Cellulose Production from Cotton-Based Waste Textiles: Enzymatic Saccharification Enhanced by Ionic Liquid Pretreatment. Bioresour. Technol. 2012, 104, 503–508. [Google Scholar] [CrossRef]
- Menon, V.; Rao, M. Trends in Bioconversion of Lignocellulose: Biofuels, Platform Chemicals & Biorefinery Concept. Prog. Energy Combust. Sci. 2012, 38, 522–550. [Google Scholar] [CrossRef]
- Ab Rasid, N.S.; Shamjuddin, A.; Abdul Rahman, A.Z.; Amin, N.A.S. Recent Advances in Green Pre-Treatment Methods of Lignocellulosic Biomass for Enhanced Biofuel Production. J. Clean. Prod. 2021, 321, 129038. [Google Scholar] [CrossRef]
- Mankar, A.R.; Pandey, A.; Modak, A.; Pant, K.K. Pretreatment of Lignocellulosic Biomass: A Review on Recent Advances. Bioresour. Technol. 2021, 334, 125235. [Google Scholar] [CrossRef]
- Kucharska, K.; Rybarczyk, P.; Hołowacz, I.; Łukajtis, R.; Glinka, M.; Kamiński, M. Pretreatment of Lignocellulosic Materials as Substrates for Fermentation Processes. Molecules 2018, 23, 2937. [Google Scholar] [CrossRef]
- Sun, Y.; Cheng, J. Hydrolysis of Lignocellulosic Materials for Ethanol Production: A Review. Bioresour. Technol. 2002, 83, 1–11. [Google Scholar] [CrossRef]
- Esteghlalian, A.; Hashimoto, A.G.; Fenske, J.J.; Penner, M.H. Modeling and Optimization of the Dilute-Sulfuric-Acid Pretreatment of Corn Stover, Poplar and Switchgrass. Bioresour. Technol. 1997, 59, 129–136. [Google Scholar] [CrossRef]
- Mussatto, S.; Teixeira, J. Lignocellulose as Raw Material in Fermentation Processes. Appl. Microbiol. an Microb. Biotechnol. 2010, 2, 897–907. [Google Scholar]
- Das, A.; Ghosh, P.; Paul, T.; Ghosh, U. Production of Bioethanol as Useful Biofuel through the Bioconversion of Water Hyacinth (Eichhornia Crassipes). 3 Biotech 2016, 6, 1–9. [Google Scholar] [CrossRef]
- Isarankura-Na-Ayudhya, C.; Tantimongcolwat, T.; Kongpanpee, T.; Prabkate, P.; Prachayasittikul, V. Appropriate Technology for the Bioconversion of Water Hyacinth (Eichhornia Crassipes) to Liquid Ethanol: Future Prospects for Community Strengthening and Sustainable Development. EXCLI J. 2007, 6, 167–176. [Google Scholar]
- Satyanagalakshmi, K.; Sindhu, R.; Binod, P.; Janu, K.U.; Sukumaran, R.K.; Pandey, A. Bioethanol Production from Acid Pretreated Water Hyacinth by Separate Hydrolysis and Fermentation. J. Sci. Ind. Res. 2011, 70, 156–161. [Google Scholar]
- Reales-Alfaro, J.G.; Trujillo-Daza, L.T.; Arzuaga-Lindado, G.; Castaño-Peláez, H.I.; Polo-Córdoba, Á.D. Acid Hydrolysis of Water Hyacinth to Obtain Fermentable Sugars. CTyF -Cienc. Tecnol. Futur. 2013, 5, 101–112. [Google Scholar] [CrossRef][Green Version]
- Matano, Y.; Hasunuma, T.; Kondo, A. Display of Cellulases on the Cell Surface of Saccharomyces Cerevisiae for High Yield Ethanol Production from High-Solid Lignocellulosic Biomass. Bioresour. Technol. 2012, 108, 128–133. [Google Scholar] [CrossRef] [PubMed]
- Olson, D.G.; McBride, J.E.; Joe Shaw, A.; Lynd, L.R. Recent Progress in Consolidated Bioprocessing. Curr. Opin. Biotechnol. 2012, 23, 396–405. [Google Scholar] [CrossRef]
- van Zyl, W.H.; Lynd, L.R.; den Haan, R.M.J. Consolidated Bioprocessing for Bioethanol Production Using Saccharomyces Cerevisiae. Adv Biochem Eng Biotechnol 2007, 108, 205–235. [Google Scholar] [CrossRef] [PubMed]
- Zhang, Y.H.P.; Lynd, L.R. Toward an Aggregated Understanding of Enzymatic Hydrolysis of Cellulose: Noncomplexed Cellulase Systems. Biotechnol. Bioeng. 2004, 88, 797–824. [Google Scholar] [CrossRef] [PubMed]
- Aswathy, U.S.; Sukumaran, R.K.; Devi, G.L.; Rajasree, K.P.; Singhania, R.R.; Pandey, A. Bio-Ethanol from Water Hyacinth Biomass: An Evaluation of Enzymatic Saccharification Strategy. Bioresour. Technol. 2010, 101, 925–930. [Google Scholar] [CrossRef] [PubMed]
- Abdel-Fattah, A.F.; Abdel-Naby, M.A. Pretreatment and Enzymic Saccharification of Water Hyacinth Cellulose. Carbohydr. Polym. 2012, 87, 2109–2113. [Google Scholar] [CrossRef]
- Pothiraj, C.; Arumugam, R.; Gobinath, M. Sustaining Ethanol Production from Lime Pretreated Water Hyacinth Biomass Using Mono and Co-Cultures of Isolated Fungal Strains with Pichia Stipitis. Bioresour. Bioprocess. 2014, 1, 1–10. [Google Scholar] [CrossRef]
- Figueroa-Torres, L.A.; Lizardi-Jiménez, M.A.; López-Ramírez, N.; Varela-Santos, E.C.; Hernández-Rosas, F.; Favela-Torres, E.; Hernández-Martínez, R. Saccharification of Water Hyacinth Biomass by a Combination of Steam Explosion with Enzymatic Technologies for Bioethanol Production. 3 Biotech 2020, 10, 1–9. [Google Scholar] [CrossRef]
- Browning, B.L. Methods of Wood Chemistry. Volumes I & II; Wiley: New York, NY, USA, 1967. [Google Scholar]
- ASTM (American Society for Testing and Materials). Method of Test for Holocellulose in Wood; ASTM: West Conshohocken, PA, USA, 1978. [Google Scholar]
- Technical Association of the Pulp and Paper Industry (TAPPI). TAPPI T204 Om-84. Solvent Extractives of Wood and Pulp; TAPPI: Atlanta, GA, USA, 1987. [Google Scholar]
- Technical Association of the Pulp and Paper Industry (TAPPI). TAPPI T207 Om-93. Water Solubility of Wood and Pulp; TAPPI: Atlanta, GA, USA, 1993. [Google Scholar]
- Technical Association of the Pulp and Paper Industry (TAPPI). TAPPI T211 Om-93. Ash in Wood, Pulp, Paper and Paperboard: Combustion at 525 °C; TAPPI: Atlanta, GA, USA, 1993. [Google Scholar]
- Miller, G.L. Use of Dinitrosalicylic Acid Reagent for Determination of Reducing Sugar. Anal. Chem. 1959, 31, 426–428. [Google Scholar] [CrossRef]
- Omondi, E.A.; Ndiba, P.K.; Njuru, P.G. Characterization of Water Hyacinth (E. Crassipes) from Lake Victoria and Ruminal Slaughterhouse Waste as Co-Substrates in Biogas Production. SN Appl. Sci. 2019, 1, 1–10. [Google Scholar] [CrossRef]
- Ruan, T.; Zeng, R.; Yin, X.Y.; Zhang, S.X.; Yang, Z.H. Water Hyacinth (Eichhornia Crassipes) Biomass as a Biofuel Feedstock by Enzymatic Hydrolysis. BioResources 2016, 11, 2372–2380. [Google Scholar] [CrossRef]
- Boontum, A.; Phetsom, J.; Rodiahwati, W.; Kitsubthawee, K.; Kuntothom, T. Characterization of Diluted-Acid Pretreatment of Water Hyacinth. Appl. Sci. Eng. Prog. 2019, 12, 253–263. [Google Scholar] [CrossRef]
- Manivannan, A.; Narendhirakannan, R.T. Bioethanol Production From Aquatic Weed Water Hyacinth (Eichhornia Crassipes) by Yeast Fermentation. Waste and Biomass Valorization 2015, 6, 209–216. [Google Scholar] [CrossRef]
- Rezania, S.; Din, M.F.M.; Taib, S.M.; Mohamad, S.E.; Dahalan, F.A.; Kamyab, H.; Darajeh, N.; Ebrahimi, S.S. Ethanol Production from Water Hyacinth (Eichhornia Crassipes) Using Various Types of Enhancers Based on the Consumable Sugars. Waste and Biomass Valorization 2018, 9, 939–946. [Google Scholar] [CrossRef]
- Biswas, B.; Kumar Banik, A.; Biswas, B. Comparative Study of Various Pre-Treatment Techniques for Saccharifications of Water Hyacinth (Eichhornia Crassipes) Cellulose. Int. J. Biotech Trends Technol. 2015, 5, 11–16. [Google Scholar]
- Xu, W.; Grénman, H.; Liu, J.; Kronlund, D.; Li, B.; Backman, P.; Peltonen, J.; Willför, S.; Sundberg, A.; Xu, C. Mild Oxalic-Acid-Catalyzed Hydrolysis as a Novel Approach to Prepare Cellulose Nanocrystals. ChemNanoMat 2017, 3, 109–119. [Google Scholar] [CrossRef]
- Ma, F.; Yang, N.; Xu, C.; Yu, H.; Wu, J.; Zhang, X. Combination of Biological Pretreatment with Mild Acid Pretreatment for Enzymatic Hydrolysis and Ethanol Production from Water Hyacinth. Bioresour. Technol. 2010, 101, 9600–9604. [Google Scholar] [CrossRef] [PubMed]


| Commercial Name | Enzymatic Activities | pH | Density (g/mL) | Temperature (°C) | Activity (1) |
|---|---|---|---|---|---|
| NS22086 | Cellulase | 5.0–5.5 | 1.15 | 45–50 | 1000 BHU/g |
| NS22083 | Endo-xylanase | 4.5–6.0 | 1.09 | 35–55 | 2500 FXU-S/g |
| NS22118 | Beta-glucosidase | 2.5–6.5 | 1.2 | 45–70 | 250 CBU/g |
| NS22119 | Arabinase, beta-glucanase, cellulase, hemicellulase, pectinase and xylanase complex | 4.5–6.0 | 1.19 | 25–55 | 100 FBG/g |
| NS22002 | Beta-glucanase and xylanase complex | 5.0–6.5 | 1.2 | 40–60 | 45 FBG/g |
| Cellic® CTec 2 | Cellulases and hemicellulases complex | 5.0–5.5 | 1.3 | 45–55 | 1000 U/g |
| Harvest | Plant Section | Fresh Plant (%) | Dry Plant (%) | Moisture (%) | Dry Weight (%) |
|---|---|---|---|---|---|
| First | Leaf | 10.12 ± 4.0 | 17.14 ± 3.3 | 82.96 ± 5.12 | 17.04 ± 1.05 |
| Stem | 55.53 ± 6.5 | 44.96 ± 6.8 | 95.15 ± 0.15 | 4.85 ± 0.01 | |
| Root | 34.35 ± 5.9 | 37.9 ± 5.6 | 92.71 ± 0.68 | 7.29 ± 0.05 | |
| Second | Leaf | 23.89 ± 0.17 | 37.22 ± 0.12 | 87.46 ± 1.58 | 12.54 ± 0.23 |
| Stem | 50.86 ± 6.02 | 44.62 ± 5.72 | 93.63 ± 0.51 | 6.37 ± 0.03 | |
| Root | 25.24 ± 0.04 | 18.17 ± 0.42 | 92.34 ± 1.37 | 7.66 ± 0.11 |
| Harvests | Fraction | Cellulose | Hemicellulose | Ash | HE | HWS | ASL |
|---|---|---|---|---|---|---|---|
| First | Leaf | 32.84 ± 0.50 | 24.17 ± 1.45 | 10.32 ± 0.23 | 20.53 ± 0.23 | 20.59 ± 0.20 | 6.22 ± 0.03 |
| Stem | 20.50 ± 0.10 | 30.60 ± 0.02 | 13.36 ± 0.12 | 21.47 ± 0.11 | 15.46 ± 0.09 | 3.21 ± 0.08 | |
| Root | ND | ND | 15.30 ± 0.09 | 8.37 ± 0.08 | 7.63 ± 0.02 | 8.31 ± 0.07 | |
| Second | Leaf | 30.25 ± 6.03 | 22.37 ± 2.30 | 11.15 ± 1.13 | 20.27 ± 0.02 | 21.39 ± 0.08 | 6.57 ± 0.24 |
| Stem | 18.60 ± 0.35 | 27.38 ± 2.12 | 13.11 ± 0.23 | 21.71 ± 0.16 | 15.87 ± 0.15 | 3.33 ± 0.06 | |
| Root | ND | ND | 12.52 ± 5.49 | 8.47 ± 0.10 | 7.63 ± 0.02 | 8.55 ± 0.14 |
| Pretreated Biomass | Not Pretreated Biomass | ||||
|---|---|---|---|---|---|
| Solid Loading | Commercial Enzyme | RS Concentration (g/L) | RS Yield (mg/g PBWH) | RS Concentration (g/L) | RS Yield (mg/g DWH) |
| 50 | NS22086 | 4.52 ± 0.00 | 108.11 ± 1.68 | 0.95 ± 0.26 | 22.85 ± 6.48 |
| NS22083 | 7.29 ± 1.22 | 174.14 ± 28.8 | 0.58 ± 0.05 | 14.00 ± 1.32 | |
| NS22118 | 2.53 ± 0.00 | 60.51 ± 0.12 | 0.48 ± 0.15 | 11.46 ± 3.53 | |
| NS22119 | 4.65 ± 0.08 | 111.73 ± 2.14 | 1.14 ± 0.05 | 27.53 ± 1.11 | |
| NS22002 | 2.05 ± 0.08 | 49.21 ± 2.03 | 0.25 ± 0.02 | 6.01 ± 0.47 | |
| Cellic® CTec2 | 6.82 ± 2.31 | 162.66 ± 54.0 | 1.16 ± 0.17 | 27.78 ± 4.01 | |
| 125 | NS22086 | 5.16 ± 0.00 | 49.46 ± 0.15 | ND | ND |
| NS22083 | 2.99 ± 0.33 | 28.78 ± 3.12 | ND | ND | |
| NS22118 | 0.57 ± 0.08 | 5.49 ± 0.81 | ND | ND | |
| NS22119 | 0.47 ± 0.01 | 4.55 ± 0.10 | ND | ND | |
| NS22002 | 1.70 ± 0.80 | 16.30 ± 7.64 | ND | ND | |
| Cellic® CTec2 | 3.50 ± 0.60 | 33.70 ± 5.79 | ND | ND | |
| Enzyme | Dilution | RS (g/L) | RS (mg/g PBWH) |
|---|---|---|---|
| Cellic® CTec2 | 1:10 | 21.48 ± 0.78 | 514.39 ± 15.88 |
| 1:50 | 17.42 ± 0.17 | 414.40 ± 1.13 | |
| 1:100 | 12.20 ± 0.06 | 292.31 ± 3.80 | |
| 1:1000 | 5.88 ± 0.03 | 142.58 ± 0.62 | |
| NS22118 | 1:10 | 38.47 ± 2.20 | 909.51 ± 58.60 |
| 1:50 | 2.06 ± 0.06 | 49.02 ± 0.24 | |
| 1:100 | 1.10 ± 0.04 | 26.12 ± 1.43 | |
| 1:10 | 49.35 ± 4.04 | 1175.67 ± 84.57 | |
| Cellic® CTec2 (1:50) + NS22118 | 1:50 | 26.00 ± 1.23 | 616.43 ± 29.09 |
| 1:100 | 23.21 ± 0.70 | 549.22 ± 19.67 |
| Enzyme Complex | Activity (U/mL) | Fold Dilution | RS (g/L) | RS Yield (mg RS/g PBWH) |
|---|---|---|---|---|
| NS22086 | 262.32 ± 0.03 | 46.66 | 17.97 ± 1.55 | 428.65 ± 33.11 |
| NS22083 | 210.50 ± 0.02 | 37.44 | 22.84 ± 0.68 | 553.57 ± 15.61 |
| NS22118 | 59.15 ± 0.05 | 10.52 | 39.60 ± 3.14 | 954.83 ± 83.91 |
| NS22119 | 116.77 ± 0.03 | 20.77 | 22.35 ± 0.40 | 534.85 ± 7.28 |
| NS22002 | 65.55 ± 0.01 | 11.66 | 8.82 ± 0.72 | 210.50 ± 15.57 |
| Cellic® CTec2 | 281.11 ± 0.05 | 50.00 | 21.66 ± 0.53 | 510.42 ± 13.97 |
Publisher’s Note: MDPI stays neutral with regard to jurisdictional claims in published maps and institutional affiliations. |
© 2022 by the authors. Licensee MDPI, Basel, Switzerland. This article is an open access article distributed under the terms and conditions of the Creative Commons Attribution (CC BY) license (https://creativecommons.org/licenses/by/4.0/).
Share and Cite
Romero-Borbón, E.; Oropeza-González, A.E.; González-García, Y.; Córdova, J. Thermochemical and Enzymatic Saccharification of Water Hyacinth Biomass into Fermentable Sugars. Processes 2022, 10, 210. https://doi.org/10.3390/pr10020210
Romero-Borbón E, Oropeza-González AE, González-García Y, Córdova J. Thermochemical and Enzymatic Saccharification of Water Hyacinth Biomass into Fermentable Sugars. Processes. 2022; 10(2):210. https://doi.org/10.3390/pr10020210
Chicago/Turabian StyleRomero-Borbón, Evelyn, Andrea Edith Oropeza-González, Yolanda González-García, and Jesús Córdova. 2022. "Thermochemical and Enzymatic Saccharification of Water Hyacinth Biomass into Fermentable Sugars" Processes 10, no. 2: 210. https://doi.org/10.3390/pr10020210
APA StyleRomero-Borbón, E., Oropeza-González, A. E., González-García, Y., & Córdova, J. (2022). Thermochemical and Enzymatic Saccharification of Water Hyacinth Biomass into Fermentable Sugars. Processes, 10(2), 210. https://doi.org/10.3390/pr10020210

