Market Predictability Before the Closing Bell Rings
Abstract
1. Introduction
2. Data
3. Methods
3.1. Bayesian Linear Regression with Student-t Errors
3.2. Multiple Linear Regression with Gaussian Errors
4. Results
4.1. Model Fitting and Diagnostics
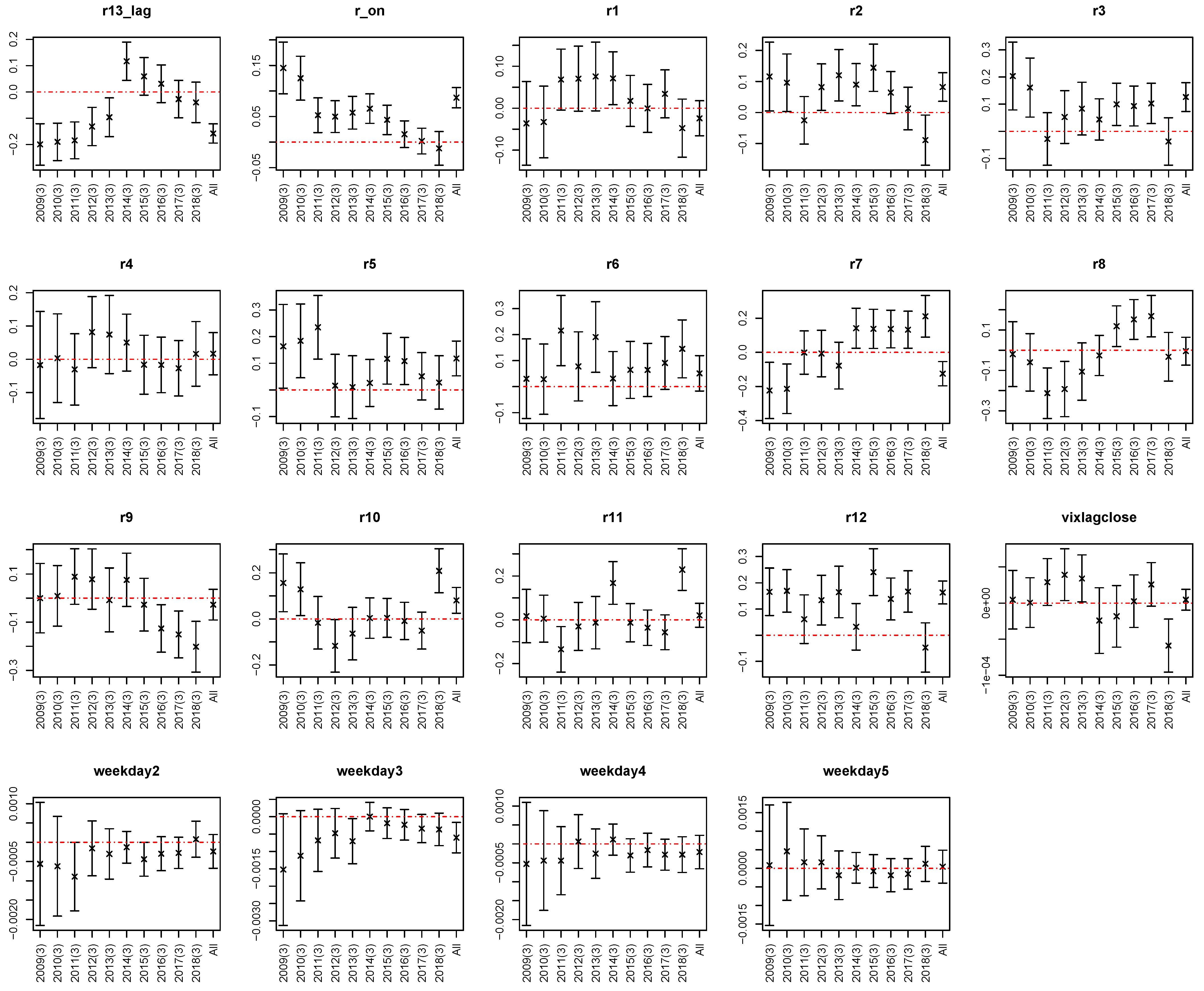
4.2. Dynamic Market Predictability
4.3. Overnight Effects
5. Trading Strategy and Backtesting
6. Comparisons with Gaussian Linear Models
7. Conclusions and Limitations
Author Contributions
Funding
Data Availability Statement
Conflicts of Interest
Abbreviations
| AL | Always long |
| BLRT3 | Bayesian linear regression of Student-t with a rolling window of three years |
| CBOE | Chicago Board Options Exchange |
| EMT | Efficient markets theory |
| ETF | Exchange-traded funds |
| FOMC | Federal Open Market Committee |
| GLR3 | Gaussian linear model with a rolling window of three years |
| LSE | Least squares methods |
| MCMC | Markov chain Monte Carlo |
| OHLCV | Open, high, low, close prices, and volume |
| PSIS | Pareto Smoothed Importance Sampling |
| VIX | Chicago Board Options Exchange’s Volatility Index |
Appendix A. Model Diagnostics
Appendix A.1. Model Diagnostics for Multiple Linear Regression Model with Gaussian Error Terms

Appendix A.2. Model Diagnostics for the Bayesian Linear Regression Model with Student-t Errors


Appendix B. Supplementary Tables and Plots
| 95% Credible Intervals | 90% Credible Intervals | Scale | |||
|---|---|---|---|---|---|
| SPY | QQQ | SPY | QQQ | ||
| r13_lag | (−6.11, −2.36, 1.28) | (−9.84, −6.07, −2.31) * | (−5.47, −2.36, 0.71) | (−9.23, −6.07, −2.87) * | |
| r_on | (2.48, 4.07, 5.56) * | (0.77, 2.37, 3.96) * | (2.75, 4.07, 5.33) * | (1.03, 2.37, 3.69) * | |
| r1 (09:31–10:00 a.m.) | (−8.27, 23.50, 55.30) | (−1.63, 25.50, 51.50) | (−2.67, 23.50, 50) | (2.52, 25.50, 47.70) * | |
| r2 (10:00–10:30 a.m.) | (−1.85, 1.40, 4.68) | (−2.37, 0.63, 3.65) | (−1.39, 1.40, 4.21) | (−1.91, 0.63, 3.22) | |
| r3 (10:30–11:00 a.m.) | (−1.11, 2.80, 6.76) | (0.27, 3.59, 6.88) * | (−0.42, 2.80, 6.09) | (0.80, 3.59, 6.39) * | |
| r4 (11:00–11:30 a.m.) | (−1.32, 3.03, 7.43) | (−2.15, 1.70, 5.59) | (−0.66, 3.03, 6.79) | (−1.54, 1.70, 5.06) | |
| r5 (11:30–12:00 p.m.) | (1.61, 6.36, 11.30) * | (−4.88, −0.56, 3.68) | (2.38, 6.36, 10.50) * | (−4.19, −0.56, 2.94) | |
| r6 (12:00–12:30 p.m.) | (5.95, 59.40, 113) * | (−27.40, 21.50, 69.80) | (13.50, 59.40, 104) * | (−19.70, 21.50, 62.40) | |
| r7 (12:30–01:00 p.m.) | (−2.64, 3.15, 8.93) | (−3.64, 1.72, 7.06) | (−1.69, 3.15, 8.05) | (−2.70, 1.72, 6.16) | |
| r8 (01:00–01:30 p.m.) | (−5.62, −0.02, 5.35) | (−8.19, −3.26, 1.88) | (−4.68, −0.02, 4.43) | (−7.46, −3.26, 1.04) | |
| r9 (01:30–02:00 p.m.) | (2.11, 8.09, 13.90) * | (0.01, 5.09, 10.10) * | (3.06, 8.09, 13) * | (0.77, 5.09, 9.31) * | |
| r10 (02:00–02:30 p.m.) | (−5.85, −0.68, 4.55) | (−4.53, 0.38, 5.08) | (−5.07, −0.68, 3.75) | (−3.70, 0.38, 4.38) | |
| r11 (02:30–03:00 p.m.) | (1.35, 6.11, 10.80) * | (−3.71, 0.94, 5.35) | (2.15, 6.11, 10.10) * | (−2.96, 0.94, 4.68) | |
| r12 (03:00–03:30 p.m.) | (−4.73, −0.54, 4.33) | (−6.59, −1.56, 3.36) | (−4.05, −0.54, 3.52) | (−5.69, −1.56, 2.57) | |
| vixlagclose | (1.95, 16.60, 30.10) * | (−18.10, −2.33, 13.70) | (4.73, 16.60, 28) * | (−15.90, −2.33, 11.20) | |
| vixpctlag | (−1.15, 0.01, 1.22) | (−1.17, 0.06, 1.36) | (−0.98, 0.01, 1.02) | (−0.97, 0.06, 1.14) | |
| usdlagclose | (−8.68, 0.33, 9.37) | (−10.60, −0.79, 9.35) | (−7.16, 0.33, 8.05) | (−9.27, −0.79, 7.87) | |
| usdpctlag | (−1.41, 0.10, 1.62) | (−0.87, 0.87, 2.66) | (−1.18, 0.10, 1.38) | (−0.60, 0.87, 2.36) | |
| I_fomc1 | ( −6.21, 4.44, 15.00) | (−8.20, 5.62, 18.70) | (−4.24, 4.44, 13.20) | (−5.66, 5.62, 16.50) | |
| I_fomc1lag1 | (−2.96, −1.39, 0.31) | (−2.66, −1.25, 0.12) | (−2.72, −1.39, 0.04) | (−2.45, −1.25, −0.11) * | |
| I_fomc2lag1 | (4.47, 14.10, 24.90) * | (6.93, 21.50, 35.80) * | (6.07, 14.10, 22.90) * | (9.29, 21.50, 33.60) * | |
| I_fomc3lag1 | (−2.26, −1.33, −0.35) * | (−1.63, −0.42, 0.74) | (−2.13, −1.33, −0.53) * | (−1.42, −0.42, 0.58) | |
| weekday2 | (−3.44, −1.14, 1.21) | (−4.52, −1.99, 0.48) | (−3.04, −1.14, 0.82) | (−4.10, −1.99, 0.07) | |
| weekday3 | (−2.31, 0.01, 2.21) | (−3.20, −0.62, 1.89) | (−1.96, 0.01, 1.90) | (−2.76, −0.62, 1.50) | |
| weekday4 | (−2.89, −0.63, 1.60) | (−5.18, −2.57, −0.11) * | (−2.52, −0.63, 1.25) | (−4.70, −2.57, −0.46) * | |
| weekday5 | (8.43, 31.30, 54.10) * | (−15.20, 9.77, 35.30) | (12.40, 31.30, 50.10) * | (−11.80, 9.77, 31.10) | |
| mon2 | (−6.27, −2.79, 0.73) | (−6.27, −2.30, 1.78) | (−5.74, −2.79, 0.13) | (−5.72, −2.30, 1.09) | |
| mon3 | (−7.89, −4.56, −1.20) * | (−6.02, −2.33, 1.52) | (−7.38, −4.56, −1.69) * | (−5.38 −2.33 0.92) | |
| mon4 | (−5.17, −1.66, 1.72) | (−4.37, −0.57, 3.33) | (−4.53, −1.66, 1.19) | (−3.82, −0.57, 2.75) | |
| mon5 | (−5.16, −1.83, 1.60) | (−4.92, −0.89, 3.21) | (−4.66, −1.83, 1.05) | (−4.22, −0.89, 2.47) | |
| mon6 | ( −8.30, −4.81, −1.28) * | (−7.90, −3.87, 0.20) | (−7.78, −4.81, −1.81) * | (−7.23, −3.87, −0.44) * | |
| mon7 | (−4.52, −1.14, 2.32) | (−4.10, −0.23, 3.56) | (−3.95, −1.14, 1.66) | (−3.53, −0.23, 2.95) | |
| mon8 | (−7.68, −4.29, −0.86) * | (−7.56, −3.76, 0.14) | (−7.08, −4.29, −1.39) * | (−6.92, −3.76, −0.43) * | |
| mon9 | (−5.53, −2.18, 1.34) | (−4.38, −0.62, 3.29) | (−5.05, −2.18, 0.78) | (−3.78, −0.62, 2.72) | |
| mon10 | (−4.92, −1.46, 2.04) | (−5.05, −1.15, 2.81) | (−4.38, −1.46, 1.46) | (−4.40, −1.15, 2.11) | |
| mon11 | (−3.96, −0.44, 3.02) | (−4.13, −0.15, 3.88) | (−3.35, −0.44, 2.45) | (−3.49, −0.15, 3.24) | |
| mon12 | (−7.09, −3.64, −0.19) * | (−6.53, −2.66, 1.28) | (−6.52, −3.64, −0.70) * | (−5.90, −2.66, 0.68) | |
| (1.36, 1.43, 1.52) * | (1.53, 1.62, 1.71) * | (1.37, 1.43, 1.50) * | (1.55, 1.62, 1.70) * | ||
| ( 1.67, 1.84, 2.02) * | (1.84, 2.03, 2.24) * | (1.70, 1.84, 1.98) * | (1.87, 2.03, 2.20) * | ||
| 95% Credible Intervals | 90% Credible Intervals | Scale | |||
|---|---|---|---|---|---|
| SPY | QQQ | SPY | QQQ | ||
| r13_lag | (−8.06, −0.99, 5.89) | (−9.29, −1.54, 6.06) | (−6.93, −0.99, 4.87) | (−8.02, −1.54, 4.93) | |
| r_on | (−3.45, −0.40, 2.59) | (−3.41, −0.77, 1.88) | (−2.94, −0.40, 2.11) | (−2.95, −0.77, 1.55) | |
| r1 (09:31–10:00 a.m.) | (−6.91, −0.30, 5.92) | (−4.47, 0.19, 4.93) | (−5.86, −0.30, 5.00) | (−3.78, 0.19, 4.28) | |
| r2 (10:00–10:30 a.m.) | (−1.08, 5.31, 11.80) | (−0.41, 5.47, 11.40) | (−0.14, 5.31, 10.80) | (0.57, 5.47, 10.40) * | |
| r3 (10:30–11:00 a.m.) | (−10.40, −3.22, 4.03) | (−6.22, −0.19, 5.96) | (−9.18, −3.22, 2.82) | (−5.24, −0.19, 5.03) | |
| r4 (11:00–11:30 a.m.) | (−4.94, 2.62, 10.40) | (−3.67, 3.36, 10.70) | (−3.85, 2.62, 9.11) | (−2.36, 3.36, 9.38) | |
| r5 (11:30–12:00 p.m.) | (−12.80, −2.79, 7.37) | (−12.30, −3.33, 5.66) | (−11.30, −2.79, 5.63) | (−10.80, −3.33, 4.21) | |
| r6 (12:00–12:30 p.m.) | (−16.70, −6.98, 2.88) | (−16.80, −8.51, 0.13) | (−15.20, −6.98, 1.15) | (−15.60, −8.51, −1.28) * | |
| r7 (12:30–01:00 p.m.) | (−8.49, 1.23, 10.70) | (−7.35, 1.61, 10.50) | (−6.99, 1.23, 9.12) | (−5.85, 1.61, 8.88) | |
| r8 (01:00–01:30 p.m.) | (−6.23, 2.05, 10.50) | (−5.97, 1.52, 9.35) | (−4.79, 2.05, 9.14) | (−4.67, 1.52, 8.06) | |
| r9 (01:30–02:00 p.m.) | (−15.10, −5.68, 3.67) | (−13.90, −5.18, 3.85) | (−13.50, −5.68, 2.14) | (−12.40, −5.18, 2.18) | |
| r10 (02:00–02:30 p.m.) | (−13.70, −3.98, 5.70) | (−13.60, −4.35, 5.17) | (−12.20, −3.98, 4.02) | (−12.00, −4.35, 3.58) | |
| r11 (02:30–03:00 p.m.) | (−9.46, −0.21, 8.95) | (−7.65, 1.02, 9.50) | (−7.91, −0.21, 7.46) | (−6.29, 1.02, 8.11) | |
| r12 (03:00–03:30 p.m.) | (1.05, 10.80, 19.60) * | (−1.61, 8.49, 18.00) | (2.80, 10.80, 18.30) * | (0.24, 8.49, 16.50) * | |
| vixlagclose | (−6.89, −3.45, 0.00) | (−8.97, −4.67, −0.47) * | (−6.28, −3.45, −0.58) * | (−8.26, −4.67, −1.12) * | |
| vixpctlag | (−5.20, −2.00, 1.12) | (−7.30, −3.59, 0.08) | (−4.70, −2.00, 0.62) | (−6.72, −3.59, −0.53) * | |
| usdlagclose | (−6.53, 0.23, 7.19) | (−7.05, 1.44, 10.10) | (−5.38, 0.23, 6.01) | (−5.66, 1.44, 8.64) | |
| usdpctlag | (−5.00, −0.86, 3.17) | (−5.54, −0.63, 4.33) | (−4.29, −0.86, 2.53) | (−4.79, −0.63, 3.46) | |
| I_fomc1 | (−3.79, −1.48, 1.10) | (−5.03, −1.73, 1.46) | (−3.43, −1.48, 0.69) | (−4.48, −1.73, 1.03) | |
| I_fomc1lag1 | (−2.11, −0.60, 0.92) | (−2.31, −0.39, 1.45) | (−1.85, −0.60, 0.67) | (−2.01, −0.39, 1.16) | |
| I_fomc2lag1 | (−1.58, −0.31, 0.94) | (−1.63, −0.09, 1.47) | (−1.36, −0.31, 0.76) | (−1.37, −0.09, 1.22) | |
| I_fomc3lag1 | (−1.60, −0.27, 1.03) | (−2.03, −0.41, 1.11) | (−1.40, −0.27, 0.83) | (−1.75, −0.41, 0.88) | |
| weekday2 | (−7.05, −1.84, 3.34) | (−8.35, −1.78, 4.77) | (−6.20, −1.84, 2.44) | (−7.34, −1.78, 3.74) | |
| weekday3 | (−11.30, −5.76, −0.30) * | (−14.40, −7.50, −0.85) * | (−10.50, −5.76, −1.12) * | (−13.20, −7.50, −1.87) * | |
| weekday4 | (−9.85, −4.61, 0.78) | (−12.90, −6.23, 0.65) | (−9.02, −4.61, −0.12) * | (−11.90, −6.23, −0.41) * | |
| weekday5 | (−10.90, −5.67, −0.42) * | (−13.30, −6.61, 0.09) | (−10.10, −5.67, −1.30) * | (−12.20, −6.61, −1.09) * | |
| mon2 | (−9.43, −1.43, 6.34) | (−9.37, 0.73, 10.60) | (−8.11, −1.43, 5.21) | (−7.64, 0.73, 8.98) | |
| mon3 | (−3.81, 4.34, 12.90) | (−5.54, 4.55, 14.60) | (−2.69, 4.34, 11.40) | (−3.84, 4.55, 13.00) | |
| mon4 | (−12.30, −4.00, 4.32) | (−13.10, −3.26, 6.40) | (−10.90, −4.00, 2.94) | (−11.40, −3.26, 4.82) | |
| mon5 | (−9.97, −2.00, 6.10) | (−12.00, −2.45, 7.31) | (−8.78, −2.00, 4.66) | (−10.40, −2.45, 5.71) | |
| mon6 | (−12.60, −4.48, 3.31) | (−13.60, −3.81, 5.80) | (−11.10, −4.48, 2.14) | (−12.10, −3.81, 4.34) | |
| mon7 | (−11.20, −2.96, 5.12) | (−12.70, −2.96, 7.22) | (−9.88, −2.96, 3.90) | (−11.30, −2.96, 5.56) | |
| mon8 | (−9.76, −1.93, 5.79) | (−11.00, −1.59, 7.78) | (−8.56, −1.93, 4.62) | (−9.70, −1.59, 6.24) | |
| mon9 | (−8.01, 0.28, 8.25) | (−9.76, 0.75, 10.50) | (−6.57, 0.28, 7.06) | (−7.92, 0.75, 9.03) | |
| mon10 | (−15.30, −4.90, 5.49) | (−16.30, −4.23, 8.34) | (−13.80, −4.90, 3.63) | (−14.40, −4.23, 6.22) | |
| mon11 | (−11.10, −1.83, 7.58) | (−11.30, −0.14, 11.20) | (−9.60, −1.83, 5.94) | (−9.32, −0.14, 9.39) | |
| mon12 | (−9.36, −0.63, 8.31) | (−10.00, 0.38, 11.20) | (−7.92, −0.63, 6.97) | (−8.54, 0.38, 9.35) | |
| (1.57, 1.76, 1.97) * | (1.99, 2.21, 2.45 ) * | (1.61, 1.76, 1.94) * | (2.03, 2.21, 2.41) * | ||
| (2.38, 3.11, 4.21) * | (2.70, 3.57, 4.92) * | (2.49, 3.11, 4.02) * | (2.82, 3.57, 4.66) * | ||


| 1 | Here, we use the term “intraday returns” to include any returns that can be realized with the holding period from the open to the close of a long or short position being less than 24 h. |
| 2 | In what follows, all times are based on New York time. |
| 3 | The US Dollar Index is a measure of the value of the United States dollar relative to a basket of foreign currencies. |
| 4 | VIX is the ticker symbol for the Chicago Board Options Exchange’s (CBOE) Volatility Index, measuring the expectation of volatility of the S&P 500 index. |
| 5 | To average the returns, we calculate the mean value of returns based on strategy , , , and . |
| 6 | We annualize the returns by multiplying the average daily return (1.19 pbs) by 252. 252 is the total trading day per year. |
| 7 | Mean Sharpe ratio of , , , and . |
References
- Akbas, Ferhat, Ekkehart Boehmer, Chao Jiang, and Paul D. Koch. 2022. Overnight returns, daytime reversals, and future stock returns. Journal of Financial Economics 145: 850–75. [Google Scholar] [CrossRef]
- Baltussen, Guido, Zhi Da, Sten Lammers, and Martin Martens. 2021. Hedging demand and market intraday momentum. Journal of Financial Economics 142: 377–403. [Google Scholar] [CrossRef]
- Bogousslavsky, Vincent. 2021. The cross-section of intraday and overnight returns. Journal of Financial Economics 141: 172–94. [Google Scholar] [CrossRef]
- Bürkner, Paul-Christian. 2017. brms: An r package for bayesian multilevel models using stan. Journal of Statistical Software 80: 1–28. [Google Scholar] [CrossRef]
- Cheema, Muhammad A., Mardy Chiah, and Yimei Man. 2022. Overnight returns, daytime reversals, and future stock returns: Is china different? Pacific-Basin Finance Journal 74: 101809. [Google Scholar] [CrossRef]
- Elaut, Gert, Michael Frömmel, and Kevin Lampaert. 2018. Intraday momentum in fx markets: Disentangling informed trading from liquidity provision. Journal of Financial Markets 37: 35–51. [Google Scholar] [CrossRef]
- Gao, Lei, Yufeng Han, Sophia Zhengzi Li, and Guofu Zhou. 2018. Market intraday momentum. Journal of Financial Economics 129: 394–414. [Google Scholar] [CrossRef]
- Grégoire, Gérard. 2014. Multiple linear regression. European Astronomical Society Publications Series 66: 45–72. [Google Scholar] [CrossRef]
- Griffin, Daniel, and Jae Lim. 1984. Signal estimation from modified short-time fourier transform. IEEE Transactions on Acoustics, Speech, and Signal Processing 32: 236–43. [Google Scholar] [CrossRef]
- Hendershott, Terrence, Dmitry Livdan, and Dominik Rösch. 2020. Asset pricing: A tale of night and day. Journal of Financial Economics 138: 635–62. [Google Scholar] [CrossRef]
- Ho, Tu, Jin Roc Lv, and Emma Schultz. 2021. Market intraday momentum in australia. Pacific-Basin Finance Journal 65: 101499. [Google Scholar] [CrossRef]
- Jin, Muzhao, Fearghal Kearney, Youwei Li, and Yung Chiang Yang. 2020. Intraday time-series momentum: Evidence from china. Journal of Futures Markets 40: 632–50. [Google Scholar] [CrossRef]
- Limkriangkrai, Manapon, Daniel Chai, and Gaoping Zheng. 2023. Market intraday momentum: Apac evidence. Pacific-Basin Finance Journal 80: 102086. [Google Scholar] [CrossRef]
- Lou, Dong, Christopher Polk, and Spyros Skouras. 2019. A tug of war: Overnight versus intraday expected returns. Journal of Financial Economics 134: 192–213. [Google Scholar] [CrossRef]
- Shen, Dehua, Andrew Urquhart, and Pengfei Wang. 2022. Bitcoin intraday time series momentum. Financial Review 57: 319–44. [Google Scholar] [CrossRef]
- Zellner, Arnold. 1976. Bayesian and non-bayesian analysis of the regression model with multivariate student-t error terms. Journal of the American Statistical Association 71: 400–5. [Google Scholar] [CrossRef]
- Zhang, Lu, and Lei Hua. 2024. Major Issues in High-Frequency Financial Data Analysis: A Survey of Solutions. Available at SSRN 4834362. Available online: https://dx.doi.org/10.2139/ssrn.4834362 (accessed on 10 November 2024).
- Zhang, Yaojie, Feng Ma, and Bo Zhu. 2019. Intraday momentum and stock return predictability: Evidence from china. Economic Modelling 76: 319–29. [Google Scholar] [CrossRef]








| FOMC Decision Date | Rate Changes (bps) | Federal Fund Rates | Day 1 | Day 2 | Day 3 |
|---|---|---|---|---|---|
| 2007-09-18 | −50 | 2007-09-19 | 2007-09-20 | 2007-09-21 | |
| 2007-10-31 | −25 | 2007-11-01 | 2007-11-02 | 2007-11-05 | |
| 2007-12-11 | −25 | 2007-12-12 | 2007-12-13 | 2007-12-14 | |
| 2008-01-22 | −75 | 2008-01-23 | 2008-01-24 | 2008-01-25 | |
| 2008-01-30 | −50 | 2008-01-31 | 2008-02-01 | 2008-02-04 | |
| 2008-03-18 | −75 | 2008-03-19 | 2008-03-20 | 2008-03-24 | |
| 2008-04-30 | −25 | 2008-05-01 | 2008-05-02 | 2008-05-05 | |
| 2008-10-08 | −50 | 2008-10-09 | 2008-10-10 | 2008-10-13 | |
| 2008-10-29 | −50 | 2008-10-30 | 2008-10-31 | 2008-11-03 | |
| 2008-12-16 | −100 | to | 2008-12-17 | 2008-12-18 | 2008-12-19 |
| 2015-12-17 | +25 | to | 2015-12-18 | 2015-12-21 | 2015-12-22 |
| 2016-12-15 | +25 | to | 2016-12-16 | 2016-12-19 | 2016-12-20 |
| 2017-03-16 | +25 | to | 2017-03-17 | 2017-03-20 | 2017-03-21 |
| 2017-06-15 | +25 | to | 2017-06-16 | 2017-06-19 | 2017-06-20 |
| 2017-12-14 | +25 | to | 2017-12-15 | 2017-12-18 | 2017-12-19 |
| 2018-03-22 | +25 | to | 2018-03-23 | 2018-03-26 | 2018-03-27 |
| 2018-06-14 | +25 | to | 2018-06-15 | 2018-06-18 | 2018-06-19 |
| QQQ | SPY | |||||||||||||
|---|---|---|---|---|---|---|---|---|---|---|---|---|---|---|
| Mean (bps) | Std (bps) | Median (bps) | Max (bps) | Min (bps) | Skewness | Kurtosis | Mean (bps) | Std (bps) | Median (bps) | Max (bps) | Min (bps) | Skewness | Kurtosis | |
| r13_lag | −0.37 | 38 | 1 | 337 | −329 | −0.44 | 21.1 | −0.11 | 39 | 1 | 325 | −413 | −0.33 | 26.2 |
| r_on | 2.83 | 78 | 6 | 543 | −1372 | −2.38 | 43.7 | 1.15 | 71 | 4 | 522 | −671 | −0.58 | 13.0 |
| r1 | 1.68 | 49 | 2 | 1081 | −446 | 4.07 | 100.1 | 0.16 | 34 | 0 | 448 | −354 | 0.66 | 24.7 |
| r2 | 0.38 | 36 | 1 | 205 | −360 | −0.39 | 10.9 | 0.46 | 30 | 1 | 193 | −290 | −0.15 | 11.6 |
| r3 | −0.33 | 31 | 1 | 204 | −188 | −0.11 | 8.0 | −0.43 | 26 | 1 | 262 | −205 | −0.16 | 14.3 |
| r4 | 0.06 | 26 | 1 | 130 | −202 | −0.30 | 7.5 | −0.22 | 22 | 1 | 117 | −154 | −0.44 | 8.0 |
| r5 | 0.47 | 25 | 1 | 232 | −189 | 0.14 | 11.5 | 0.41 | 21 | 1 | 213 | −143 | 0.40 | 13.5 |
| r6 | −0.25 | 23 | 0 | 158 | −213 | −0.53 | 12.6 | −0.09 | 20 | 1 | 214 | −249 | −0.48 | 22.2 |
| r7 | 0.08 | 22 | 1 | 180 | −253 | −0.36 | 16.2 | 0.27 | 20 | 1 | 166 | −281 | −0.97 | 27.8 |
| r8 | 0.00 | 23 | 0 | 275 | −131 | 0.31 | 15.2 | 0.13 | 21 | 1 | 235 | −150 | 0.63 | 18.5 |
| r9 | −0.68 | 25 | 0 | 276 | −230 | 0.07 | 19.8 | −0.43 | 22 | 0 | 228 | −235 | −0.32 | 21.7 |
| r10 | 0.16 | 27 | 1 | 304 | −225 | 0.31 | 16.6 | 0.09 | 25 | 0 | 230 | −213 | 0.40 | 16.3 |
| r11 | 1.11 | 28 | 1 | 219 | −185 | 0.63 | 13.8 | 0.93 | 26 | 1 | 233 | −173 | 0.99 | 18.4 |
| r12 | 0.57 | 33 | 1 | 591 | −259 | 3.40 | 57.6 | 0.82 | 32 | 1 | 647 | −258 | 4.11 | 79.7 |
| r13 | −0.44 | 38 | 1 | 337 | −329 | −0.46 | 21.2 | −0.18 | 39 | 1 | 325 | −413 | −0.34 | 26.4 |
| vixpctlag | 28.57 | 803 | −58 | 11,560 | −2957 | 2.17 | 22.5 | 27.27 | 800 | −58 | 11,560 | −2957 | 2.17 | 22.7 |
| usdpctlag | 0.63 | 52 | 0 | 256 | −268 | 0.02 | 5.1 | 0.61 | 52 | 0 | 256 | −268 | 0.01 | 5.1 |
| vixlagclose | 19.97 | 9.65 | 17.26 | 80.86 | 9.14 | 2.33 | 10.3 | 19.96 | 9.64 | 17.25 | 80.86 | 9.14 | 2.33 | 10.3 |
| usdlagclose | 85.04 | 8.27 | 81.82 | 103.29 | 71.33 | 0.48 | 1.9 | 85.04 | 8.27 | 81.82 | 103.29 | 71.33 | 0.48 | 1.9 |
| Panel A: Bayesian Linear Model | Panel B: Gaussian Linear Model | Scale | ||||||
|---|---|---|---|---|---|---|---|---|
| 2.5% | 50% | 97.5% | Sig | Estimate | t-Value | Sig | ||
| r13_lag | −5.70 | −2.18 | 1.36 | No | −16.00 | −8.55 | Yes | |
| r_on | 2.49 | 4.05 | 5.59 | Yes | 8.54 | 8.47 | Yes | |
| r1 | −1.06 | 2.29 | 5.50 | No | −1.59 | −0.75 | No | |
| r2 | −2.43 | 0.95 | 4.17 | No | 8.13 | 3.47 | Yes | |
| r3 | −1.19 | 2.67 | 6.52 | No | 12.30 | 4.55 | Yes | |
| r4 | −1.63 | 2.66 | 7.16 | No | 2.22 | 0.69 | No | |
| r5 | 1.67 | 6.36 | 11.20 | Yes | 11.50 | 3.47 | Yes | |
| r6 | 1.12 | 6.47 | 12.00 | Yes | 5.16 | 1.50 | No | |
| r7 | −2.41 | 3.46 | 9.31 | No | −12.70 | −3.51 | Yes | |
| r8 | −5.74 | −0.32 | 5.20 | No | 0.41 | 0.12 | No | |
| r9 | 2.32 | 8.17 | 13.80 | Yes | −1.86 | −0.58 | No | |
| r10 | −5.89 | −0.52 | 4.90 | No | 7.79 | 2.75 | Yes | |
| r11 | 1.68 | 6.83 | 11.60 | Yes | 2.31 | 0.84 | No | |
| r12 | −4.77 | −0.59 | 4.21 | No | 16.00 | 7.19 | Yes | |
| vixlagclose | 2.61 | 15.70 | 28.30 | Yes | 6.85 | 0.93 | No | |
| I_fomc1 | −7.19 | 3.66 | 14.30 | No | −43.70 | −4.87 | Yes | |
| I_fomc1lag1 | −2.97 | −1.45 | 0.17 | No | −2.21 | −2.45 | Yes | |
| I_fomc2lag1 | 3.11 | 12.50 | 23.20 | Yes | 15.20 | 1.70 | No | |
| I_fomc3lag1 | −2.36 | −1.44 | −0.48 | Yes | 0.41 | 0.46 | No | |
| weekday2 | −3.54 | −1.23 | 1.07 | No | −1.79 | −0.80 | No | |
| weekday3 | −2.17 | 0.11 | 2.42 | No | −5.23 | −2.35 | Yes | |
| weekday4 | −2.92 | −0.63 | 1.63 | No | −1.30 | −0.58 | No | |
| weekday5 | 7.56 | 31.10 | 53.40 | Yes | 8.14 | 0.36 | No | |
| 1.36 | 1.44 | 1.52 | Yes | − | − | − | ||
| 1.68 | 1.84 | 2.02 | Yes | − | − | − | ||
| Strategy | 2010 | 2011 | 2012 | 2013 | 2014 | 2015 | 2016 | 2017 | 2018 |
|---|---|---|---|---|---|---|---|---|---|
| - | - | ||||||||
| - | - | - | - | ||||||
| Strategy | AvgRet (bps) | StdDev (bps) | SRatio (pbs) | Skewness | Kurtosis | Success (%) | t-Value | Neutral | Long | Short |
|---|---|---|---|---|---|---|---|---|---|---|
| 0.92 | 24.70 | 372 | −0.25 | 24.9 | 53.9 | 1.55 | 0 | 1155 | 988 | |
| 1.17 | 22.84 | 510 | −0.37 | 29.9 | 62.9 | 2.12 * | 394 | 928 | 821 | |
| −0.19 | 24.74 | −77 | 1.08 | 24.8 | 48.6 | −0.38 | 0 | 1005 | 1138 | |
| 0.27 | 21.34 | 127 | 1.36 | 39.1 | 71.5 | 0.62 | 892 | 599 | 652 | |
| 1.06 | 24.71 | 429 | −0.09 | 24.8 | 53.6 | 1.80 | 0 | 1136 | 1007 | |
| 1.36 | 24.70 | 551 | −0.36 | 24.9 | 54.1 | 2.42 * | 0 | 1131 | 1012 | |
| 1.01 | 24.72 | 409 | −0.09 | 24.8 | 53.5 | 1.73 | 0 | 1153 | 990 | |
| 1.32 | 24.70 | 534 | −0.35 | 24.9 | 54.0 | 2.34 * | 0 | 1148 | 995 | |
| AL | −0.21 | 24.74 | −85 | 0.39 | 24.8 | 53.1 | −0.41 | 0 | 2143 | 0 |
Disclaimer/Publisher’s Note: The statements, opinions and data contained in all publications are solely those of the individual author(s) and contributor(s) and not of MDPI and/or the editor(s). MDPI and/or the editor(s) disclaim responsibility for any injury to people or property resulting from any ideas, methods, instructions or products referred to in the content. |
© 2024 by the authors. Licensee MDPI, Basel, Switzerland. This article is an open access article distributed under the terms and conditions of the Creative Commons Attribution (CC BY) license (https://creativecommons.org/licenses/by/4.0/).
Share and Cite
Zhang, L.; Hua, L. Market Predictability Before the Closing Bell Rings. Risks 2024, 12, 180. https://doi.org/10.3390/risks12110180
Zhang L, Hua L. Market Predictability Before the Closing Bell Rings. Risks. 2024; 12(11):180. https://doi.org/10.3390/risks12110180
Chicago/Turabian StyleZhang, Lu, and Lei Hua. 2024. "Market Predictability Before the Closing Bell Rings" Risks 12, no. 11: 180. https://doi.org/10.3390/risks12110180
APA StyleZhang, L., & Hua, L. (2024). Market Predictability Before the Closing Bell Rings. Risks, 12(11), 180. https://doi.org/10.3390/risks12110180

