Abstract
The link between leverage and growth opportunities has been a topic issue in corporate finance for many years. The present paper aims to investigate the link between credit risk, leverage, and growth opportunities in a sample of Italian innovative small-and-medium enterprises (SMEs), given the lack of empirical literature on the subject. The results of the WLS model confirm the relationship between investments, leverage, and credit risk highlighted by the literature—in particular, a negative relationship emerges between credit risk and investments and between leverage and investments, while the analysis reveals a positive relationship between investments and liquidity. Furthermore, in consideration of the significant economic differences existing between the regional macro-areas into which Italy is divided, the firms were classified by geographical areas. The results show that the northeast area is the region characterised by the most reliable and significant results. The paper is organised as follows: Introduction provides a review of the theoretical and empirical literature on the link between leverage, investments, and growth opportunities and on credit risk; Materials and Methods explain the model; Results explain the WLS regression; Discussions contain the main finding of the analysis; Conclusions summarize the study.
1. Introduction
The link between leverage and growth opportunities has been a topic issue in corporate finance for many years. In their first theoretical framework, Modigliani and Miller (1958) argue that, in perfect capital markets, a firm’s financing and investment decisions are unrelated: it follows that capital structure is irrelevant, and firm value depends exclusively on investment strategy and market trend.
Subsequently, a large theoretical and empirical literature has exceeded the perfect capital market assumptions and has argued that there is a strong relationship between leverage and investment policy. In particular, Myers (1977) shows that, outside a Modigliani and Miller world and in the presence of agency problems, firms with high growth opportunities might forgo positive net present value (NPV) projects because of conflicts between managers, shareholders, and debt holders. Furthermore, Jensen (1986) and Stulz (1990) stress the negative relationship between debt and investments, because in firms with large free cash flow, leverage could be used as a disciplinary device to discourage managers from overinvesting in risk projects and to limit managerial discretion over free cash flow.
In turn, the issue of leverage is closely related to the concept of credit risk, which can be defined as the eventuality that one of the parties to a contract does not honour the financial obligations undertaken, causing a loss for the creditor counterpart (Ammann 2001). Moreover, the loss in value of the credit position can also derive from deterioration in the economic and financial conditions of the debtor, even in the absence of conditions of insolvency.
The literature has found an inverse relationship between the size of firms and the credit risk associated with them. In their research on German and French SMEs, Dietsch and Petey (2004) show that small businesses are riskier than large firms. Such a statement is justified, among other things, by the difficulty of carrying out an adequate assessment of the credit risk of SMEs using credit scoring models designed and built for large companies (Altman and Sabato 2007). In their research study, Catchart et al. (2020) confirm that the financial leverage has a greater impact on the probability of default of SMEs than that of large corporations, because of the greater exposure of SMEs to short-term debt. Recent studies do not support the same conclusions; McGuinnes et al. (2018) suggest that trade finance may decrease default risk in SMEs.
The present paper aims to investigate the link between credit risk, leverage, and growth opportunities in a sample of Italian innovative small-and-medium enterprises (SMEs), given the lack of empirical literature on the subject. On the basis of current legislation (Legislative Decree 2/2015, art. 4), an innovative SME is a joint-stock company, also established in a cooperative form, which complies with the following objective requirements: (1) it resides in Italy, or in another country of the European Economic Area but has a production site or branch in Italy; (2) it has carried out the certification of the last financial statements and any consolidated financial statements; (3) it is not listed in a regulated market; (4) it is not simultaneously registered in the special section of innovative start-ups. An SME is innovative if it meets at least two of the following three subjective requirements: (1) it has incurred R&D and innovation expenses equal to at least 3% of the higher value between turnover and cost of production; (2) it employs highly qualified personnel (at least 1/5 PhDs, PhD students or researchers, or at least 1/3 with master’s degrees); (3) it is the owner, custodian, or licensee of at least one patent or owner of registered software. Furthermore, according to the recommendation of 6 May 2003 of the European Union (GUCE 1. 124 of 20 May 2003), a ‘small enterprise’ employs fewer than 50 people and has an annual turnover or balance sheet total (understood as total invested capital) not exceeding 10 million euros. The category of ‘medium-sized enterprises’ is made up of companies with fewer than 250 employees, with their annual turnovers exceeding 50 million euros or with annual totals not exceeding 43 million euros. Finally, the ‘micro-enterprise’ employs fewer than 10 people and achieves an annual turnover or annual balance sheet total of no more than 2 million euros. Although this topic has been analysed in many theoretical studies, empirical analysis has been focused almost exclusively on US firms.
The empirical research carried out over the years shows a strong negative relationship between leverage and investments. Myers (1977) emphasises the presence of externalities generated by the debt on investment policy implemented by shareholders and management. In presence of risky debt, in fact, the return of such projects, at least partially, is intended toward the debt holders, rather than toward shareholders and managers. It follows that highly levered firms show a lower use of valuable growth opportunities than firms with lower levels of debt. However, reducing the leverage in anticipation of valuable growth opportunities can mitigate the effect of underinvestment incentives.
Jensen (1986) and Stulz (1990) deal with the topic of overinvestment, another agency problem due to the conflict between management and shareholders. If managers have the availability of free cash flow, they have the propensity to expand the scale of the firm, also undertaking poor investments that reduce shareholder value. Leverage is an instrument to cut down free cash flow and to limit the overinvestment problem, which suggests a negative relationship between debt level and investments in firms with weak growth opportunities.
In their study, Lang et al. (1996) show a negative correlation between leverage and future growth but only for firms with weak growth opportunities (low Tobin’s q ratio). This means that leverage does not constraint investment policy in those firms with strong growth opportunities. Denis and Denis (1993) emphasise the negative correlation between debt and investment policies and argue that an increase in debt reduces investment growth.
Vijayakumaran and Vijayakumaran (2019) confirm the existence of the negative correlation between debt and growth opportunities for Chinese listed firms, but they find a positive relationship between leverage and growth opportunities interacted with a measure of short-term debt. A negative relationship between leverage and investment is highlighted by several recent studies (Mondosha and Majoni 2018; Vinh Vo 2019; Jermias and Yigit 2019).
McConnell and Servaes (1995) analyse the relationship between leverage, growth opportunities, and corporate value. They argue that firms with high Tobin’s q have a negative relationship between leverage and corporate value, while firms with low Tobin’s q show a positive relationship between leverage and corporate value.
Another field of research concerns leverage and investment in diversified firms. Ahn et al. (2006) examine a sample of diversified firms over the period 1982–1997 and find that diversified firms employ more leverage than focused firms. Furthermore, among low-growth firms, the positive relationship between leverage and firm value is weaker in diversified firms than in focused firms. On the same subject, Lang et al. (1996) argue that the relationship between firm leverage and segment growth is just as strong for the firm’s non-core segments as it is for its core segments.
In his article, Dang (2011) introduces another variable—namely, debt maturity. Using a panel of UK firms between 1996 and 2003, he finds that high-growth firms control underinvestment incentives by reducing leverage but not shortening debt maturity. The study shows a negative correlation between leverage and investments and a positive correlation between leverage and debt maturity.
Billett et al. (2007) find that the negative correlation between leverage and growth opportunities is significantly mitigated by covenant protection, suggesting that covenants can attenuate the agency costs of debt for high-growth firms.
The existing literature on credit risk has mainly focused on measuring this risk and many authors have proposed models for quantifying the probability of default. Credit scoring can be defined as ‘a statistical method for estimating the probability of default of the borrower using historical data and statistical data to reach a single indicator that can distinguish good borrowers from bad borrowers’ (Khemais et al. 2016).
One of the first models is surely the Z-score model (Altman 1968), a multiple, discriminant analysis technique finalised to calculate the probability of default, used by many authors during the years and used even in this research study.
In recent years, several authors have dealt with the issue of credit risk and techniques for calculating the probability of default of SMEs, in consideration of the role played by small businesses in the economic system and the characteristics of such organisations (Altman and Sabato 2007). Berger et al. (2005) conclude that the impact of scoring models on small businesses depends on the operating procedures, followed by banks for granting loans—in particular, where banks use automated decision systems (credit scoring models), SMEs can benefit from higher availability of resources.
Demma (2017) finds that, during the last financial crisis, the bank organisations that used credit scoring models granted more loans to large firms, while for small businesses, this positive effect is not evident, probably because the granting of loans to smaller companies also depends on other factors, such as soft information.
In their study on innovative SMEs, Pederzoli et al. (2013) argue that the presence of innovative assets, such as patents, contributes to reducing the probability of default but only in the presence of an adequate level of equity.
On the issue of credit scoring models and soft information, Gabbi et al. (2019) underline how the assessment of the default risk of SMEs must necessarily incorporate, in addition to quantitative data, also qualitative variables, in order to reduce information opacity and optimise the assessment process.
The analysis carried out in this study aims to verify the correlation between investments and growth opportunities and whether larger investments involve greater or lesser risk. This research contributes to the existing literature, as it aims to verify if the negative correlation between debt and investments assessed in previous studies is also confirmed for Italian companies. In particular, innovative SMEs are analysed, which are theoretically characterised by high growth rates: it is interesting to verify how investment choices are affected by leverage, growth opportunities, and credit risk in this type of company, often affected by important financial constraints.
2. Materials and Methods
The weighted least squares regression (WLS) reflects the behaviour of the random errors in the model, it is not associated with a particular type of function used to describe the relationship between the process variables and, therefore, can be used with functions that are linear and non-linear in parameters. In the fit criterion, it works by incorporating additional non-negative constants, or weights, associated with each data point. The weight size indicates the accuracy of the observation information to which they refer. Optimising the weighted least squares criterion to determine parameters allows weights to model the contribution of each observation to final parameter estimates. We used the weighted least squares method because it is efficient for small datasets, such as those of the analysed sample. In fact, the sample analysed consisted of 159 firms. Additionally, weighted least squares regression is useful for estimating model parameter values when response values have different degrees of variability over the combinations of the predictor values. In the WLS model, in addition to the minimisation of the sum of the squared deviations between the observed responses and the functional portion of the model, each parameter to be estimated includes an additional weight, wi. This additional weight determines how much each observation in the dataset affects the final parameter estimates. The weighted least squares criterion that is minimised to obtain the parameter estimates is
The method of weighted least squares can be used when the ordinary least squares assumption of constant variance in the error is violated. The model under consideration is
where is assumed to be multivariate normally distributed with mean vector 0. and nonconstant variance–covariance matrix. The weighted least squares estimated is then
Since each weight is inversely proportional to the error variance, it reflects the information in that observation (Nist 2013; Hyndman and Athnasopoulos 2018).
After the regression, the Shapiro–Wilk test was used to evaluate the hypothesis that the stochastic component is normally distributed. The SW test was performed because it is one of the most powerful tests for small samples.
where .
The SW statistics assumes values between 0 and 1 since under the null hypothesis the variance must be equal. Consequently, small SW values lead to the rejection of the null hypothesis of normality, while if the value is equal to 1, it indicates the normality of the data (Shapiro and Wilk 1965).
3. Results
WLS Regression and Dynamic Model
In this study, a sample of 159 innovative Italian SMEs with more than 25 employees was analysed in the period between 2015 and 2019. The analysis was carried out until 2019 because, in 2020, the data were misleading due to the COVID-19 pandemic. In fact, the Italian SMEs were particularly affected by the economic consequences resulting from the political measures applied. The companies analysed belong to various sectors—most of them in the IT and services sectors. Firms that belong to this group deal with audio-consulting systems, software engineering, marketing, technological solutions, remote control, and research systems. The industrial and engineering companies deal with electronics and industrial plants, thermoplastic compounds, semiconductors for the renewable energy sector, engineering solutions, and services for digitalisation. Many firms deal with precision mechanics, gas and automotive valves, semiconductors reliability, and the production of pumps for electric and hybrid vehicles. Other companies work in the pharmaceutical sector, particularly in central Italy; in fact, there are pharmaceutical, drug, and biotechnology companies and producers of medical devices. Additionally, due to the multiplicity characteristics of the companies, the sample was divided into geographical areas. In fact, many firms may belong to transversal sectors. In the estimated model, the ratio between net investments in the period t and net investments in the previous period, Inv, was used as a dependent variable, which was calculated by subtracting depreciation for the year from the total fixed assets and dividing the results obtained by total fixed assets for the previous year. The independent variables were (1) cash flow t/total assets t−1, CFAssets, calculated as the ratio between management cash flow and total assets for the year; (2) debt t/total assets t, LAssets, calculated as the ratio between debt and assets; (3) sales t/fixed assets t, SalesImm, calculated as the ratio between total sales and total fixed assets; (4) CAPEX t/PPE t−1, CPPE, calculated by adding the tangible depreciation of the year to the difference between the fixed assets of the year and those of the previous year, (CAPEX) and dividing this result by fixed assets minus the depreciation of the previous year; (5) CAPEX t/sales t, CSales, calculated as the ratio between CAPEX and revenues from sales and services; (6) Z-score, calculated according to the Altman’s SME approach.
The CAPEX t/PPE t−1 and CAPEX t/sales t variables represent an approximation of growth opportunities and replace Tobin’s q. The last control variable is Altman’s Z-score for credit risk. This study aimed to show how all the independent variables considered determined the dependent variable, amply demonstrated by the existing literature on the subject. To this end, the model also adds the variable inherent in credit risk.
In the sample, the 159 firms are divided by geographical area: northwest (NW) with 49 firms, northeast (NE) with 40 firms, centre (C) with 34 firms, and south and islands (SI) with 36 firms. The split of companies into geographical areas is due to the great economic differences present in the Italian region and to verify if the general differences are also confirmed for this type of firm. The analysis was conducted with and without this subdivision to verify whether a company operating in a geographical area shows characteristics significantly different from the others or is able to determine the general results. The different results by geographical areas are due to the characteristics of the companies present. In fact, most companies in the sample, particularly in the north—both northeast and northwest—belong to IT, fintech, engineering, and space industries sectors. Instead, in the centre and south and islands of Italy, many companies analysed refer to more traditional sectors such as pharmaceutical, food, advertising, and environmental services, accessories for elevators, semiconductors, and components for industrial sectors.
We chose to compare two models in order to analyse the data: the WLS model, the weighted least squares, and the two-step dynamic panel model for the presence of heteroscedasticity in the fixed and random-effects models. The model that, at the aggregate level, seemed to work best is the WLS model (Table 1 and Table 2). In fact, although in the dynamic model, the Sargan overidentification test, with chi-squared (2) = 0.12195 (0.0937), indicates that the tools are valid, but the test for the absence of autocorrelation of the first- and second-order residuals, AR(1) and AR(2), show a serial correlation; therefore, the estimates are inconsistent.
Table 1.
WLS model and dynamic panel.
Table 2.
WLS model for geographical areas.
4. Discussion
The analyses of the WLS model show that, at the aggregate level, the variable CFAssets shows a negative coefficient but with a low level of significance. On the other hand, with regard to the individual geographical areas, it shows negative, albeit not statistically significant, values for firms in the NE and SI, while it shows positive values for the NW and C. This means that a decrease (increase) in the ratio under consideration produces an increase (decrease) in the investments in fixed assets of the firms considered. The CPPE variable, which should always show negative values, shows positive coefficient values, both at the aggregate and subdivided level, except for NW and C, for which, it is, however, not statistically significant. The CSales variable always shows the expected positive value, and this means that an increase in the ratio also implies an increase in the fixed assets of the firms. Another variable that does not show the expected sign is the debt-to-asset ratio, LAssets. In fact, this is negative. Then, either the companies hedge their investments in fixed assets with their equity, which is very rare, and above all unlikely to occur for the whole sample; or, being in a liquidity crisis, they could restructure the debt by selling parts of the assets, and this is able to explain the negative value. However, it could be limited if the companies drop their assets at too low prices with a worsening of the indicator. In effect, this hypothesis is confirmed by the fact that the Z-score of the sample of SMEs analysed is lower than the reference value of the Altman model, and consequently, the firms show a high credit risk.
The R2 coefficient, both for the sample in its total and divided by geographical areas, stands around 0.30, except for NE, where it reaches very high values of 0.76, and the C, where it is very low at 0.13. This means that the variables considered as a whole are able to explain about 30% of the variance of the dependent variable. For economic analyses, the value is average.
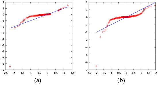
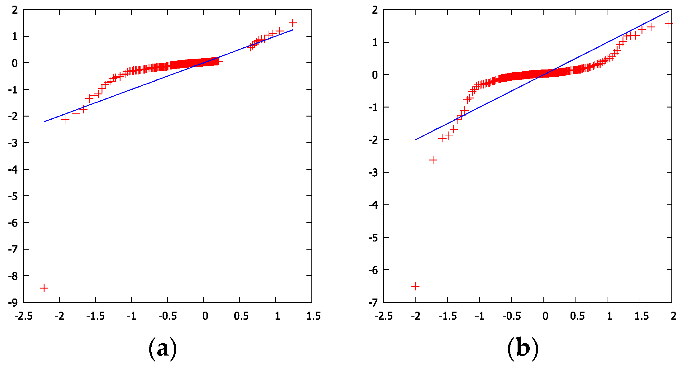
To highlight the robustness of the model used, the graphs of homoscedasticity and the results of the SW test for the normality of residues are shown. Furthermore, the quantile–quantile plot represents the standardised residuals against the respective percentiles of a standardised normal distribution. With normal residuals, these two entities are largely coincident. Figure 1 and Figure 2 show a Platykurtic distribution.
Figure 1.
Graph for homoscedasticity: (a) northwest; (b) northeast; (c) centre; (d) south and islands.

Figure 2.
Q-Q plot of residuals: (a) northwest; (b) northeast; (c) centre; (d) south and islands.
The graphs show how the residuals are normally distributed. Then, it can be concluded that the model is able to explain the variance of the dependent variable and that there are no homoscedasticity or correlation problems.
The results that emerged from the analysis confirm the existence of the relationship between leverage and growth opportunities. Taking these variables together does not allow easy comparison with the studies already carried out that do not use comparable coefficients and are limited to considering only growth opportunities. Furthermore, the geographical effect highlights the importance of national policies in determining the growth paths of the different regional areas. In fact, ‘each region has a specific territorial capital, that is distinct from that of other areas and generates a higher return for specific kinds of investments than for others, since these are better suited to the area and use its assets and potential more effectively. Territorial development policies should first and foremost help areas to develop their territorial capital so as to strengthen and increase their synergies and the sustainability of their outcomes’ (European Commission 2005).
5. Conclusions
The WLS model was chosen to eliminate the problems of homoscedasticity and correlation of the residuals present in the sample.
The analysis carried out regarding CFAssets, CSales, and LAssets shows that the first two variables had a direct relationship with investments in fixed assets. Therefore, an increase in the two ratios corresponded to an increase in the fixed assets of firms. The variable debt-to-asset ratio, LAssets, was negative, and consequently, firms did not increase debt to finance fixed assets. This was confirmed by the fact that the sample Z-score was lower than the reference value of the Altman model for SMEs; therefore, the firms analysed showed a high value for credit risk.
The relationships that emerged from this empirical research were confirmed in particular for SMEs in the north (northeast and northwest), while the results were more uncertain for companies in central and southern Italy: these results underline the usefulness of subdividing the sample on a geographical basis.
The presence of a negative relationship between leverage and investments revealed a structural problem in the Italian financial system. First, firms exhibit difficulties in debt management and possibly have poor knowledge of the effects of leverage and the ability of debt to create wealth. Furthermore, it is necessary to consider the difficulties in accessing credit and the presence of a banking system that does not finance companies that are considered too risky due to problems of information asymmetries.
Firms, and in particular innovative SMEs, can find a solution to these investment financing problems by resorting to specialised professionals, such as those working in private equity and venture capital who, alongside financial availability, also provide managerial support.
This research represents a first attempt to analyse Italian innovative SMEs and their characteristics in terms of credit risk, leverage, and investment opportunities. The structure of the study, and the results obtained are, therefore, affected by some limitations. First of all, this empirical study was carried out on a small number of companies; furthermore, they are innovative and growing firms and, as such, often have very volatile balance sheet values, difficult to manage.
Drawing on the results obtained, it is possible to hypothesise further developments in this line of research, by, for example, expanding the sample of companies to be analysed or making comparisons with the innovative SMEs of the main European countries, in order to bring out similarities or differences.
Furthermore, it would be interesting to verify how innovative companies have reacted to the global crisis due to the COVID-19 pandemic and the effects produced on debt, credit risk, and investment opportunities (Zimon and Dankiewicz 2020; Batool et al. 2021).
Author Contributions
Conceptualisation, A.M. and R.P.; methodology, R.P. and M.L.; formal analysis, R.P. and M.L.; data curation, R.P. and M.L.; writing—original draft preparation, R.P. and M.L.; writing—review and editing, R.P. and M.L. All authors have read and agreed to the published version of the manuscript.
Funding
This research received no external funding.
Institutional Review Board Statement
Not applicable.
Informed Consent Statement
Not applicable.
Data Availability Statement
The data were derived from the Aida database.
Conflicts of Interest
The authors declare no conflict of interest.
References
- Ahn, Seoungpil, David J. Denis, and Diane K. Denis. 2006. Leverage and investment in diversified firms. Journal of Financial Economics 79: 317–37. [Google Scholar] [CrossRef]
- Altman, Edward I. 1968. Financial Ratios, Discriminant Analysis and the Prediction of Corporate Bankruptcy. Journal of Finance 23: 589–611. [Google Scholar] [CrossRef]
- Altman, Edward I., and Gabriele Sabato. 2007. Modelling Credit Risk for Smes: Evidence from the US Market. Abacus 43: 332–57. [Google Scholar] [CrossRef]
- Ammann, Manuel. 2001. Credit Risk Valuation. Methods, Models, and Applications. Berlin: Springer, pp. 47–75. [Google Scholar]
- Batool, Maryam, Huma Ghulam, Muhammad Azmat Hayat, Muhammad Zahid Naeem, Abdullah Ejaz, Zulfiqar Ali Imran, Cristi Spulbar, Ramona Birau, and Tiberiu Horațiu Gorun. 2021. How COVID-19 has shaken the sharing economy? An analysis using Googl trends data. Economic Research 34: 2374–86. [Google Scholar] [CrossRef]
- Berger, Allen N., W. Scott Fram, and Nathan H. Miller. 2005. Credit Scoring and the Availability, Price and Risk of Small Business Credit. Journal of Money Credit and Banking 37: 191–222. [Google Scholar] [CrossRef] [Green Version]
- Billet, Matthew T., Tao-Hsien Dolly King, and David C. Mauer. 2007. Growth Opportunities and the Choice of Leverage, Debt Maturity, and Covenants. The Journal of Finance 2: 697–730. [Google Scholar] [CrossRef]
- Catchart, Lara, Alfonso Dufour, Ludovico Rossi, and Simone Varotto. 2020. The differential impact of leverage on the default risk of small and large firms. Journal of Corporate Finance 60: 101541. [Google Scholar] [CrossRef]
- Dang, Viet A. 2011. Leverage, Debt Maturity and Firma Investment: An Empirical Analysis. Journal of Business Finance and Accounting 38: 225–58. [Google Scholar] [CrossRef]
- Demma, Cristina. 2017. Credit Scoring and the Quality of Business Credit During the Crisis. Economic Notes 46: 269–306. [Google Scholar] [CrossRef]
- Denis, David J., and Diane K. Denis. 1993. Managerial discretion, organizational structure, and corporate performance: A study of leverage recapitalization. Journal of Accounting and Economics 16: 209–36. [Google Scholar] [CrossRef]
- Dietsch, Michel, and Joel Petey. 2004. Should SME Exposures be Treated as Retail or as Corporate Exposures? A Comparative Analysis of Default Probabilities and Asset Correlation in French and German SMEs. Journal of Banking and Finance 28: 773–88. [Google Scholar] [CrossRef]
- European Commission. 2005. Territorial State and Perspectives of the European Union. Brussels: European Commission. [Google Scholar]
- Gabbi, Giampaolo, Matthias Massimo, and Michele Giammarino. 2019. Le variabili qualitative e il rischio di credito. Un’applicazione alle Pmi italiane. Bancaria 1: 32–47. [Google Scholar]
- Hyndman, Rob J., and George Athnasopoulos. 2018. Forecasting: Principles and Practice, 2nd ed. Melbourne: OTexts. [Google Scholar]
- Jensen, Michael C. 1986. Agency cost of free cash flow, corporate finance and, take-overs. American Economic Review 76: 323–29. [Google Scholar]
- Jermias, Johnny, and Fatih Yigit. 2019. Factors affecting leverage during a financial crisis: Evidence from Turkey. Borsa Istanbul Review 19: 171–85. [Google Scholar] [CrossRef]
- Khemais, Zaghdoudi, Nesrine Djebali, and Mezni Mohamed M. 2016. Credit Scoring and Default Risk Prediction: A Comparative Study between Discriminant Analysis & Logistic Regression. International Journal of Economics and Finance 8: 39–53. [Google Scholar] [CrossRef]
- Lang, Larry, Eli Ofek, and René M. Stulz. 1996. Leverage, investment, and firm growth. Journal of Financial Economics 40: 3–29. [Google Scholar] [CrossRef] [Green Version]
- McConnell, John J., and Henri Servaes. 1995. Equity ownership and the two faces of the debt. Journal of Financial Economics 39: 131–57. [Google Scholar] [CrossRef]
- McGuinnes, Gerard, Teresa Hogan, and Ronan Powell. 2018. European trade credit use and SME survival. Journal of Corporate Finance 49: 81–103. [Google Scholar] [CrossRef]
- Modigliani, Franco, and Merton H. Miller. 1958. The cost of capital, corporation finance, and the theory of investment. American Economic Review 53: 433–43. [Google Scholar]
- Mondosha, Miriam, and Akios Majoni. 2018. The impact of leverage on investment decisions for South African firms with different growth opportunities. Journal of Economic and Financial Sciences 11: 1. [Google Scholar] [CrossRef] [Green Version]
- Myers, Stewart C. 1977. Determinants of corporate borrowing. Journal of Financial Economics 5: 147–75. [Google Scholar] [CrossRef] [Green Version]
- Nist, Sematech. 2013. E-Handbook of Statistical Methods. Gaithersburg: National Institude of Standards and Technology. [Google Scholar] [CrossRef]
- Pederzoli, Chiara, Grid Thoma, and Costanza Torricelli. 2013. Modelling credit risk for innovative SMEs: The role of innovative measure. Journal of Financial Services Research 44: 11–129. [Google Scholar] [CrossRef]
- Shapiro, Samuel, and Martin Wilk. 1965. An analysis of variance test for normality (complete samples). Biometrika 52: 591–611. [Google Scholar] [CrossRef]
- Stulz, René M. 1990. Managerial discretion and optimal financing policies. Journal of Financial Economics 26: 3–27. [Google Scholar] [CrossRef]
- Vijayakumaran, Sunitha, and Ratnam Vijayakumaran. 2019. Debt maturity and the effects of growth opportunities and liquidity risk on leverage: Evidence from Chinese listed companies. Journal of Asian Finance 6: 27–40. [Google Scholar] [CrossRef]
- Vinh Vo, Xuan. 2019. Leverage and corporate investment. Evidence from Vietnam. Finance Research Letters 28: 1–5. [Google Scholar] [CrossRef]
- Zimon, Grzegorz, and Robert Dankiewicz. 2020. Trade credit management strategies in SMEs and the COVID-19 pandemic—A case of Poland. Sustainability 12: 6114. [Google Scholar] [CrossRef]
Publisher’s Note: MDPI stays neutral with regard to jurisdictional claims in published maps and institutional affiliations. |
© 2022 by the authors. Licensee MDPI, Basel, Switzerland. This article is an open access article distributed under the terms and conditions of the Creative Commons Attribution (CC BY) license (https://creativecommons.org/licenses/by/4.0/).