The Limited Impact of Low-Volume Recreational Dance on Three-Compartment Body Composition and Apparent Bone Mineral Density in Young Girls
Abstract
1. Introduction
2. Materials and Methods
2.1. Participants
2.1.1. Recruitment
2.1.2. Collection of Participants’ Characteristics
2.2. Anthropometry and Body Composition
2.3. Body Composition Indices and Bone Mineral Apparent Density
2.4. Statistical Analysis
3. Results
3.1. Characteristics of the Participants
3.2. Characteristics of the Three Groups (C, RD, RG)
3.2.1. Comparison of Body Composition Indices in the Three Groups of Girls
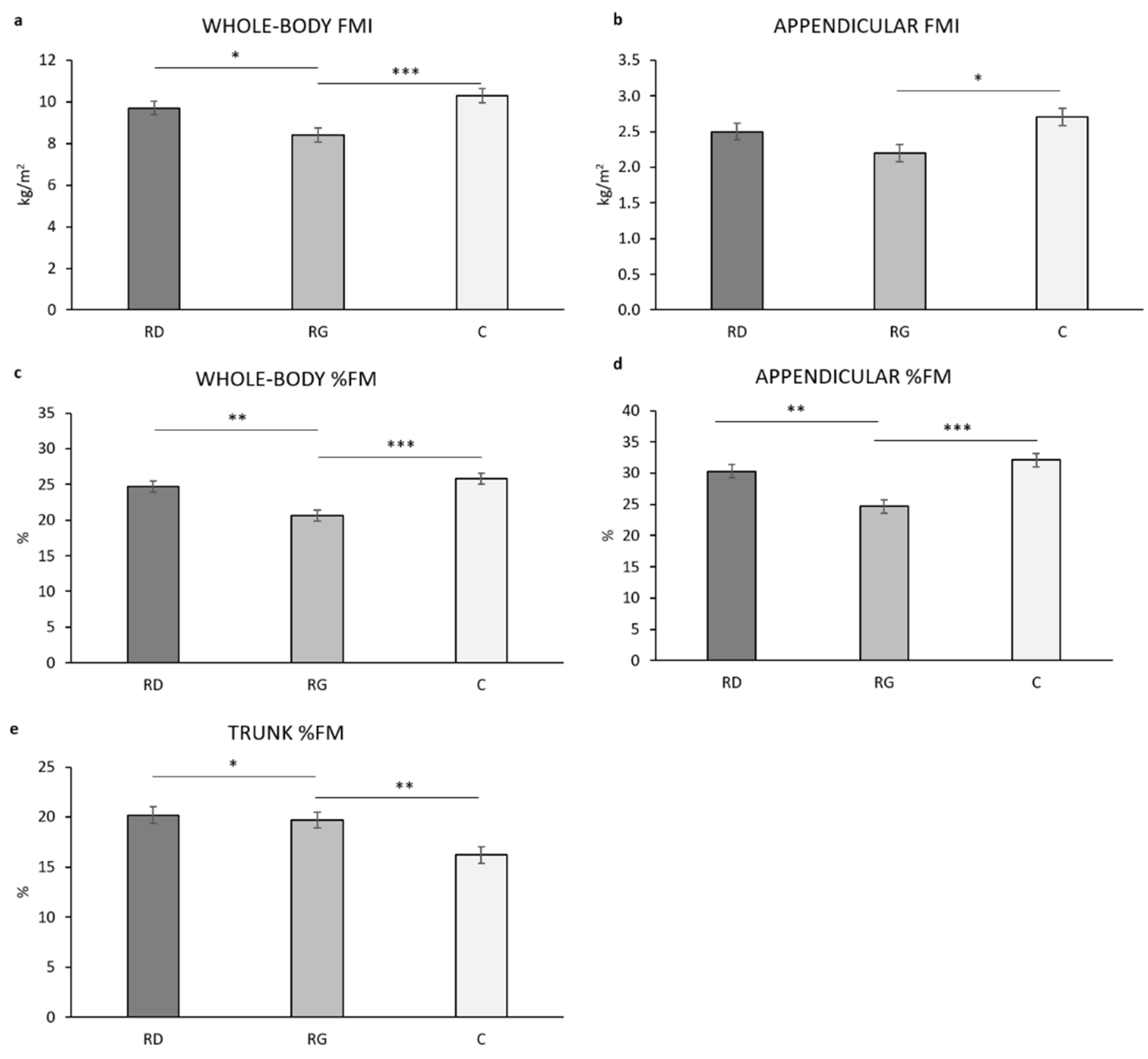
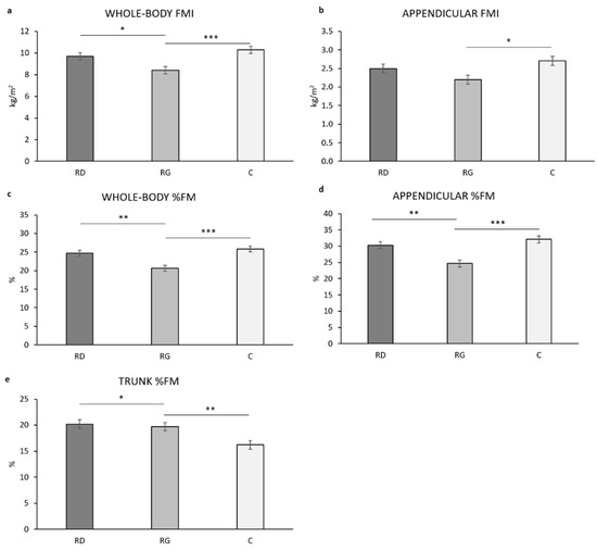
3.2.2. Fat Mass Percentage and Fat Mass Indices
3.2.3. Lean Soft Tissue Mass Indices
3.2.4. BMAD
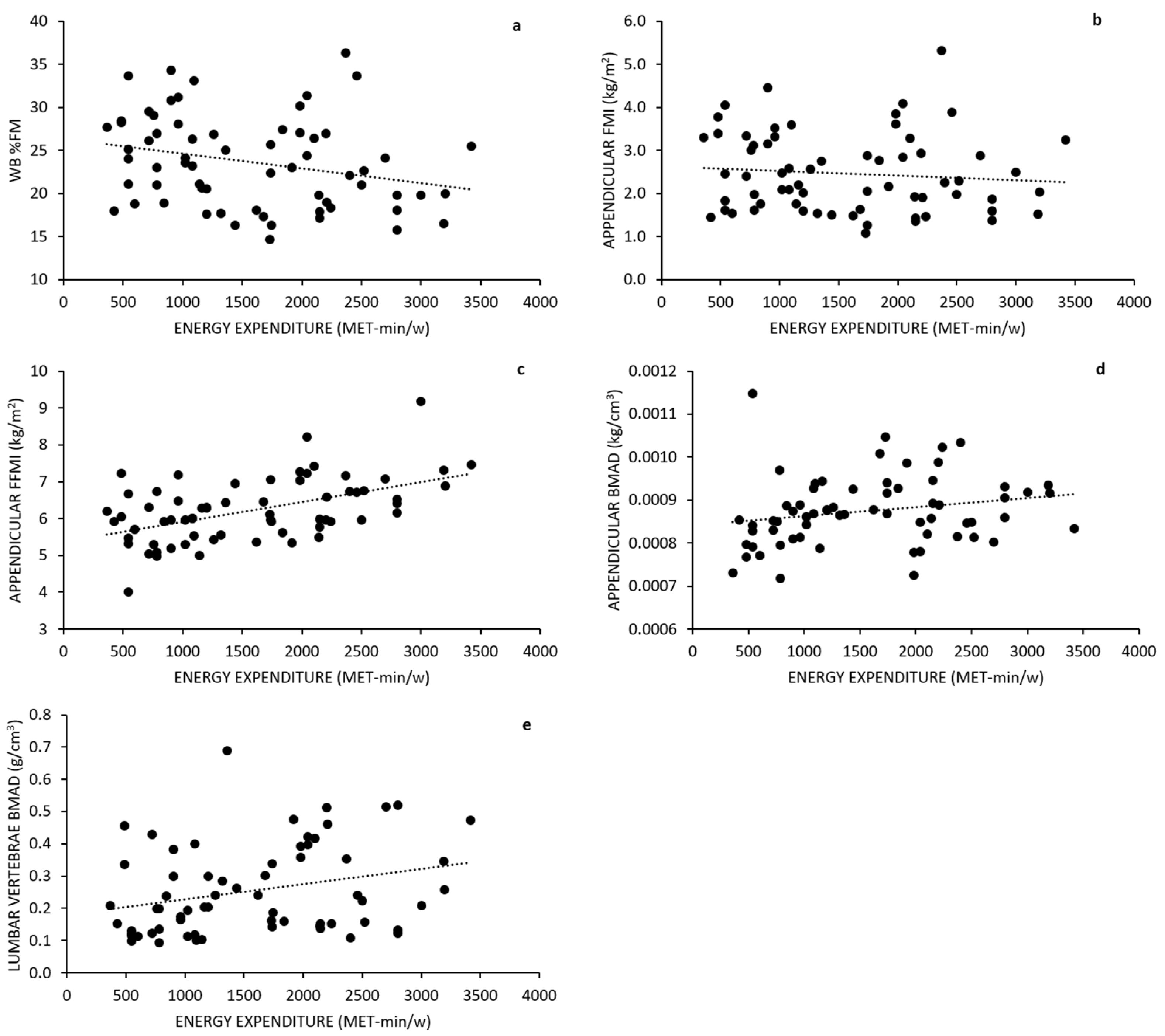
3.2.5. Correlation Analysis
4. Discussion
Supplementary Materials
Author Contributions
Funding
Institutional Review Board Statement
Informed Consent Statement
Data Availability Statement
Acknowledgments
Conflicts of Interest
References
- Bosch, L.S.M.M.; Wells, J.C.K.; Lum, S.; Reid, A.M. Associations of Extracurricular Physical Activity Patterns and Body Composition Components in a Multi-Ethnic Population of UK Children (the Size and Lung Function in Children Study): A Multilevel Modelling Analysis. BMC Public Health 2019, 19, 573. [Google Scholar] [CrossRef] [PubMed]
- Belanger, M.; Katapally, T.R.; Barnett, T.A.; O’Loughlin, E.; Sabiston, C.M.; O’Loughlin, J. Link between Physical Activity Type in Adolescence and Body Composition in Adulthood. Med. Sci. Sports Exerc. 2018, 50, 709–714. [Google Scholar] [CrossRef] [PubMed]
- Smith, J.J.; Eather, N.; Morgan, P.J.; Plotnikoff, R.C.; Faigenbaum, A.D.; Lubans, D.R. The Health Benefits of Muscular Fitness for Children and Adolescents: A Systematic Review and Meta-Analysis. Sports Med. 2014, 44, 1209–1223. [Google Scholar] [CrossRef] [PubMed]
- Donnelly, J.E.; Hillman, C.H.; Castelli, D.; Etnier, J.L.; Lee, S.; Tomporowski, P.; Lambourne, K.; Szabo-Reed, A.N. This summary was written for the American College of Sports Medicine by Physical Activity, Fitness, Cognitive Function, and Academic Achievement in Children: A Systematic Review. Med. Sci. Sports Exerc. 2016, 48, 1223–1224. [Google Scholar] [CrossRef]
- Rasberry, C.N.; Lee, S.M.; Robin, L.; Laris, B.A.; Russell, L.A.; Coyle, K.K.; Nihiser, A.J. The Association between School-Based Physical Activity, Including Physical Education, and Academic Performance: A Systematic Review of the Literature. Prev. Med. 2011, 52 (Suppl. 1), S10–S20. [Google Scholar] [CrossRef] [PubMed]
- Ruiz, J.R.; Castro-Piñero, J.; Artero, E.G.; Ortega, F.B.; Sjöström, M.; Suni, J.; Castillo, M.J. Predictive Validity of Health-Related Fitness in Youth: A Systematic Review. Br. J. Sports Med. 2009, 43, 909–923. [Google Scholar] [CrossRef]
- World Health Organization WHO Guidelines on Physical Activity and Sedentary Behaviour. Available online: https://www.who.int/publications-detail-redirect/9789240015128 (accessed on 26 January 2022).
- Kann, L.; McManus, T.; Harris, W.A.; Shanklin, S.L.; Flint, K.H.; Hawkins, J.; Queen, B.; Lowry, R.; Olsen, E.O.; Chyen, D.; et al. Youth Risk Behavior Surveillance-United States, 2015. MMWR Surveill. Summ. 2016, 65, 1–174. [Google Scholar] [CrossRef]
- Konstabel, K.; Veidebaum, T.; Verbestel, V.; Moreno, L.A.; Bammann, K.; Tornaritis, M.; Eiben, G.; Molnár, D.; Siani, A.; Sprengeler, O.; et al. Objectively Measured Physical Activity in European Children: The IDEFICS Study. Int. J. Obes. (Lond.) 2014, 38 (Suppl. 2), S135–S143. [Google Scholar] [CrossRef]
- Gordon-Larsen, P.; Nelson, M.C.; Popkin, B.M. Longitudinal Physical Activity and Sedentary Behavior Trends: Adolescence to Adulthood. Am. J. Prev. Med. 2004, 27, 277–283. [Google Scholar] [CrossRef]
- Martin, A.; Booth, J.N.; Laird, Y.; Sproule, J.; Reilly, J.J.; Saunders, D.H. Physical Activity, Diet and Other Behavioural Interventions for Improving Cognition and School Achievement in Children and Adolescents with Obesity or Overweight. Cochrane Database Syst. Rev. 2018, 3, CD009728. [Google Scholar] [CrossRef]
- Pandita, A.; Sharma, D.; Pandita, D.; Pawar, S.; Tariq, M.; Kaul, A. Childhood Obesity: Prevention Is Better than Cure. Diabetes Metab. Syndr. Obes. 2016, 9, 83–89. [Google Scholar] [CrossRef] [PubMed]
- Wells, J.C.K.; Fewtrell, M.S. Measuring Body Composition. Arch. Dis. Child. 2006, 91, 612–617. [Google Scholar] [CrossRef] [PubMed]
- Hind, K.; Burrows, M. Weight-Bearing Exercise and Bone Mineral Accrual in Children and Adolescents: A Review of Controlled Trials. Bone 2007, 40, 14–27. [Google Scholar] [CrossRef]
- Daly, R.M. The Effect of Exercise on Bone Mass and Structural Geometry during Growth. Med. Sport Sci. 2007, 51, 33–49. [Google Scholar] [CrossRef]
- Ma, N.S.; Gordon, C.M. Pediatric Osteoporosis: Where Are We Now? J. Pediatr. 2012, 161, 983–990. [Google Scholar] [CrossRef] [PubMed]
- Bailey, D.A.; McKay, H.A.; Mirwald, R.L.; Crocker, P.R.; Faulkner, R.A. A Six-Year Longitudinal Study of the Relationship of Physical Activity to Bone Mineral Accrual in Growing Children: The University of Saskatchewan Bone Mineral Accrual Study. J. Bone Miner. Res. 1999, 14, 1672–1679. [Google Scholar] [CrossRef] [PubMed]
- MacKelvie, K.J.; Khan, K.M.; McKay, H.A. Is There a Critical Period for Bone Response to Weight-Bearing Exercise in Children and Adolescents? A Systematic Review. Br. J. Sports Med. 2002, 36, 250–257. [Google Scholar] [CrossRef]
- Quin, E.; Redding, E.; Frazer, L. The Health Benefits of Creative Dance: Improving Children’s Physical and Psychological Wellbeing. Educ. Health 2007, 25, 31–33. [Google Scholar]
- Keogh, J.W.L.; Kilding, A.; Pidgeon, P.; Ashley, L.; Gillis, D. Physical Benefits of Dancing for Healthy Older Adults: A Review. J. Aging Phys. Act. 2009, 17, 479–500. [Google Scholar] [CrossRef]
- Bremer, Z. Dance as a Form of Exercise. Br. J. Gen. Pract. 2007, 57, 166. [Google Scholar]
- Kokubo, T.; Tajima, A.; Miyazawa, A.; Maruyama, Y. Validity of the Low-Impact Dance for Exercise-Based Cardiac Rehabilitation Program. Phys. Ther. Res. 2018, 21, 9–15. [Google Scholar] [CrossRef] [PubMed]
- Ricard, M.; Veatch, S. Comparison of Impact Forces in High and Low Impact Aerobic Dance Movements. Int. J. Sport Biomech. 1990, 6, 67–77. [Google Scholar] [CrossRef]
- Wu, H.Y.; Tu, J.H.; Hsu, C.H.; Tsao, T.H. Effects of Low-Impact Dance on Blood Biochemistry, Bone Mineral Density, the Joint Range of Motion of Lower Extremities, Knee Extension Torque, and Fall in Females. J. Aging Phys. Act. 2016, 24, 1–7. [Google Scholar] [CrossRef]
- To, W.W.K.; Wong, M.W.N.; Lam, I.Y.L. Bone Mineral Density Differences between Adolescent Dancers and Non-Exercising Adolescent Females. J. Pediatr. Adolesc. Gynecol. 2005, 18, 337–342. [Google Scholar] [CrossRef] [PubMed]
- Padfield, J.A.; Eisenman, P.A.; Luetkemeier, M.J.; Fitt, S.S. Physiological Profiles of Performing and Recreational Early Adolescent Female Dancers. Pediatr. Exerc. Sci. 1993, 5, 51–59. [Google Scholar] [CrossRef]
- Steinberg, N.; Siev-Ner, I.; Peleg, S.; Dar, G.; Masharawi, Y.; Hershkovitz, I. Growth and Development of Female Dancers Aged 8-16 Years. Am. J. Hum. Biol. 2008, 20, 299–307. [Google Scholar] [CrossRef]
- Hogg, J.; Diaz, A.; Del Cid, M.; Mueller, C.; Lipman, E.G.; Cheruvu, S.; Chiu, Y.; Vogiatzi, M.; Nimkarn, S. An After-School Dance and Lifestyle Education Program Reduces Risk Factors for Heart Disease and Diabetes in Elementary School Children. J. Pediatr. Endocrinol. Metab. 2012, 25, 509–516. [Google Scholar] [CrossRef][Green Version]
- van Marken Lichtenbelt, W.D.; Fogelholm, M.; Ottenheijm, R.; Westerterp, K.R. Physical Activity, Body Composition and Bone Density in Ballet Dancers. Br. J. Nutr. 1995, 74, 439–451. [Google Scholar] [CrossRef]
- Koutedakis, Y.; Hukam, H.; Metsios, G.; Nevill, A.; Giakas, G.; Jamurtas, A.; Myszkewycz, L. The Effects of Three Months of Aerobic and Strength Training on Selected Performance- and Fitness-Related Parameters in Modern Dance Students. J. Strength Cond. Res. 2007, 21, 808–812. [Google Scholar] [CrossRef]
- Muñoz, M.T.; de la Piedra, C.; Barrios, V.; Garrido, G.; Argente, J. Changes in Bone Density and Bone Markers in Rhythmic Gymnasts and Ballet Dancers: Implications for Puberty and Leptin Levels. Eur. J. Endocrinol. 2004, 151, 491–496. [Google Scholar] [CrossRef]
- Koutedakis, Y.; Jamurtas, A. The Dancer as a Performing Athlete: Physiological Considerations. Sports Med. 2004, 34, 651–661. [Google Scholar] [CrossRef] [PubMed]
- Amorim, T.; Wyon, M.; Maia, J.; Machado, J.C.; Marques, F.; Metsios, G.S.; Flouris, A.D.; Koutedakis, Y. Prevalence of Low Bone Mineral Density in Female Dancers. Sports Med. 2015, 45, 257–268. [Google Scholar] [CrossRef] [PubMed]
- Grochowska-Niedworok, E.; Kardas, M.; Fatyga, E.; Piórkowska-Staniek, K.; Muc-Wierzgoń, M.; Kokot, T. Study of Top Ballet School Students Revealed Large Deficiencies in Their Body Weight and Body Fat. Acta Paediatr. 2018, 107, 1077–1082. [Google Scholar] [CrossRef] [PubMed]
- Wielandt, T.; van den Wyngaert, T.; Uijttewaal, J.R.; Huyghe, I.; Maes, M.; Stassijns, G. Bone Mineral Density in Adolescent Elite Ballet Dancers. J. Sports Med. Phys. Fit. 2019, 59, 1564–1570. [Google Scholar] [CrossRef]
- Milanese, C.; Piscitelli, F.; Cavedon, V.; Zancanaro, C. Effect of Distinct Impact Loading Sports on Body Composition in Pre-Menarcheal Girls. Sci. Sports 2014, 29, 10–19. [Google Scholar] [CrossRef]
- Jürimäe, J.; Gruodyte-Raciene, R.; Baxter-Jones, A.D.G. Effects of Gymnastics Activities on Bone Accrual during Growth: A Systematic Review. J. Sports Sci. Med. 2018, 17, 245–258. [Google Scholar]
- Fehling, P.C.; Alekel, L.; Clasey, J.; Rector, A.; Stillman, R.J. A Comparison of Bone Mineral Densities among Female Athletes in Impact Loading and Active Loading Sports. Bone 1995, 17, 205–210. [Google Scholar] [CrossRef]
- Sabatini, S. The Female Athlete Triad. Am. J. Med. Sci. 2001, 322, 193–195. [Google Scholar] [CrossRef]
- Booth, F.W.; Lees, S.J. Physically Active Subjects Should Be the Control Group. Med. Sci. Sports Exerc. 2006, 38, 405–406. [Google Scholar] [CrossRef]
- Pietrobelli, A.; Formica, C.; Wang, Z.; Heymsfield, S.B. Dual-Energy X-Ray Absorptiometry Body Composition Model: Review of Physical Concepts. Am. J. Physiol. 1996, 271, E941–E951. [Google Scholar] [CrossRef]
- Guss, C.E.; McAllister, A.; Gordon, C.M. DXA in Children and Adolescents. J. Clin. Densitom. 2021, 24, 28–35. [Google Scholar] [CrossRef] [PubMed]
- Fuchs, R.K.; Bauer, J.J.; Snow, C.M. Jumping Improves Hip and Lumbar Spine Bone Mass in Prepubescent Children: A Randomized Controlled Trial. J. Bone Miner. Res. 2001, 16, 148–156. [Google Scholar] [CrossRef] [PubMed]
- Cacciari, E.; Milani, S.; Balsamo, A.; Spada, E.; Bona, G.; Cavallo, L.; Cerutti, F.; Gargantini, L.; Greggio, N.; Tonini, G.; et al. Italian Cross-Sectional Growth Charts for Height, Weight and BMI (2 to 20 yr). J. Endocrinol. Investig. 2006, 29, 581–593. [Google Scholar] [CrossRef]
- Nichols, J.F.; Rauh, M.J.; Barrack, M.T.; Barkai, H.-S. Bone Mineral Density in Female High School Athletes: Interactions of Menstrual Function and Type of Mechanical Loading. Bone 2007, 41, 371–377. [Google Scholar] [CrossRef] [PubMed]
- Bacchi, E.; Spiazzi, G.; Zendrini, G.; Bonin, C.; Moghetti, P. Low Body Weight and Menstrual Dysfunction Are Common Findings in Both Elite and Amateur Ballet Dancers. J. Endocrinol. Investig. 2013, 36, 343–346. [Google Scholar] [CrossRef]
- Rush, E.C.; Valencia, M.E.; Plank, L.D. Validation of a 7-Day Physical Activity Diary against Doubly-Labelled Water. Ann. Hum. Biol. 2008, 35, 416–421. [Google Scholar] [CrossRef] [PubMed]
- Butte, N.F.; Watson, K.B.; Ridley, K.; Zakeri, I.F.; McMurray, R.G.; Pfeiffer, K.A.; Crouter, S.E.; Herrmann, S.D.; Bassett, D.R.; Long, A.; et al. A Youth Compendium of Physical Activities: Activity Codes and Metabolic Intensities. Med. Sci. Sports Exerc. 2018, 50, 246–256. [Google Scholar] [CrossRef]
- Ainsworth, B.E.; Haskell, W.L.; Herrmann, S.D.; Meckes, N.; Bassett, D.R.; Tudor-Locke, C.; Greer, J.L.; Vezina, J.; Whitt-Glover, M.C.; Leon, A.S. 2011 Compendium of Physical Activities: A Second Update of Codes and MET Values. Med. Sci. Sports Exerc. 2011, 43, 1575–1581. [Google Scholar] [CrossRef]
- Karvetti, R.L.; Knuts, L.R. Validity of the 24-Hour Dietary Recall. J. Am. Diet. Assoc. 1985, 85, 1437–1442. [Google Scholar] [CrossRef]
- Willett, W. Nutritional Epidemiology, 3rd ed.; Monographs in Epidemiology and Biostatistics; Oxford University Press: Oxford, UK; New York, NY, USA, 2012; ISBN 978-0-19-975403-8. [Google Scholar]
- Tabella di Composizione Degli Alimenti. Available online: https://Www.Crea.Gov.It/-/Tabella-Di-Composizione-Degli-Alimenti (accessed on 15 September 2021).
- Lohman, T.G.; Roche, A.F.; Martorell, R. Anthropometric Standardization Reference Manual; Human Kinetics Books: Champaign, IL, USA, 1988; ISBN 978-0-87322-121-4. [Google Scholar]
- Hangartner, T.N.; Warner, S.; Braillon, P.; Jankowski, L.; Shepherd, J. The Official Positions of the International Society for Clinical Densitometry: Acquisition of Dual-Energy X-Ray Absorptiometry Body Composition and Considerations Regarding Analysis and Repeatability of Measures. J. Clin. Densitom. 2013, 16, 520–536. [Google Scholar] [CrossRef]
- Crabtree, N.J.; Arabi, A.; Bachrach, L.K.; Fewtrell, M.; El-Hajj Fuleihan, G.; Kecskemethy, H.H.; Jaworski, M.; Gordon, C.M. Dual-Energy X-Ray Absorptiometry Interpretation and Reporting in Children and Adolescents: The Revised 2013 ISCD Pediatric Official Positions. J. Clin. Densitom. 2014, 17, 225–242. [Google Scholar] [CrossRef] [PubMed]
- Taylor, A.; Konrad, P.T.; Norman, M.E.; Harcke, H.T. Total Body Bone Mineral Density in Young Children: Influence of Head Bone Mineral Density. J. Bone Miner. Res. 1997, 12, 652–655. [Google Scholar] [CrossRef] [PubMed]
- Zemel, B.S.; Leonard, M.B.; Kelly, A.; Lappe, J.M.; Gilsanz, V.; Oberfield, S.; Mahboubi, S.; Shepherd, J.A.; Hangartner, T.N.; Frederick, M.M.; et al. Height Adjustment in Assessing Dual Energy X-Ray Absorptiometry Measurements of Bone Mass and Density in Children. J. Clin. Endocrinol. Metab. 2010, 95, 1265–1273. [Google Scholar] [CrossRef] [PubMed]
- Prentice, A.; Parsons, T.J.; Cole, T.J. Uncritical Use of Bone Mineral Density in Absorptiometry May Lead to Size-Related Artifacts in the Identification of Bone Mineral Determinants. Am. J. Clin. Nutr. 1994, 60, 837–842. [Google Scholar] [CrossRef] [PubMed]
- Wells, J.C.K.; Cole, T.J. ALSPAC study steam Adjustment of Fat-Free Mass and Fat Mass for Height in Children Aged 8 y. Int. J. Obes. Relat. Metab. Disord. 2002, 26, 947–952. [Google Scholar] [CrossRef]
- Lohman, T.G.; Going, S.B. Body Composition Assessment for Development of an International Growth Standard for Preadolescent and Adolescent Children. Food Nutr. Bull. 2006, 27, S314–S325. [Google Scholar] [CrossRef]
- Katzman, D.K.; Bachrach, L.K.; Carter, D.R.; Marcus, R. Clinical and Anthropometric Correlates of Bone Mineral Acquisition in Healthy Adolescent Girls. J. Clin. Endocrinol. Metab. 1991, 73, 1332–1339. [Google Scholar] [CrossRef]
- Kindler, J.M.; Lappe, J.M.; Gilsanz, V.; Oberfield, S.; Shepherd, J.A.; Kelly, A.; Winer, K.K.; Kalkwarf, H.J.; Zemel, B.S. Lumbar Spine Bone Mineral Apparent Density in Children: Results From the Bone Mineral Density in Childhood Study. J. Clin. Endocrinol. Metab. 2019, 104, 1283–1292. [Google Scholar] [CrossRef]
- Faul, F.; Erdfelder, E.; Buchner, A.; Lang, A.-G. Statistical Power Analyses Using G*Power 3.1: Tests for Correlation and Regression Analyses. Behav. Res. Methods 2009, 41, 1149–1160. [Google Scholar] [CrossRef]
- Cohen, J. Statistical Power Analysis for the Behavioral Sciences, 2nd ed.; L. Erlbaum Associates: Hillsdale, NJ, USA, 1988; ISBN 978-0-8058-0283-2. [Google Scholar]
- Sjostrom, M.; Ainsworth, B.; Bauman, A.; Bull, F.; Hamilton-Craig, C.; Sallis, J. Guidelines for Data Processing Analysis of the International Physical Activity Questionnaire (IPAQ)-Short and Long Forms. 2005. Available online: http://www.ipaq.ki.se/scoring.pdf (accessed on 12 October 2021).
- van der Sluis, I.M.; de Ridder, M.A.J.; Boot, A.M.; Krenning, E.P.; de Muinck Keizer-Schrama, S.M.P.F. Reference Data for Bone Density and Body Composition Measured with Dual Energy x Ray Absorptiometry in White Children and Young Adults. Arch. Dis. Child. 2002, 87, 341–347. [Google Scholar] [CrossRef]
- Kelly, T.L.; Wilson, K.E.; Heymsfield, S.B. Dual Energy X-Ray Absorptiometry Body Composition Reference Values from NHANES. PLoS ONE 2009, 4, e7038. [Google Scholar] [CrossRef] [PubMed]
- Amorim, T.; Koutedakis, Y.; Nevill, A.; Wyon, M.; Maia, J.; Machado, J.C.; Marques, F.; Metsios, G.S.; Flouris, A.D.; Adubeiro, N.; et al. Bone Mineral Density in Vocational and Professional Ballet Dancers. Osteoporos. Int. 2017, 28, 2903–2912. [Google Scholar] [CrossRef] [PubMed]
- Burt, L.A.; Naughton, G.A.; Greene, D.A.; Courteix, D.; Ducher, G. Non-Elite Gymnastics Participation Is Associated with Greater Bone Strength, Muscle Size, and Function in Pre- and Early Pubertal Girls. Osteoporos. Int. 2012, 23, 1277–1286. [Google Scholar] [CrossRef] [PubMed]
- Kim, J.; Wang, Z.; Heymsfield, S.B.; Baumgartner, R.N.; Gallagher, D. Total-Body Skeletal Muscle Mass: Estimation by a New Dual-Energy X-Ray Absorptiometry Method. Am. J. Clin. Nutr. 2002, 76, 378–383. [Google Scholar] [CrossRef]
- Maïmoun, L.; Coste, O.; Philibert, P.; Briot, K.; Mura, T.; Galtier, F.; Mariano-Goulart, D.; Paris, F.; Sultan, C. Peripubertal Female Athletes in High-Impact Sports Show Improved Bone Mass Acquisition and Bone Geometry. Metabolism 2013, 62, 1088–1098. [Google Scholar] [CrossRef]
- Barkai, H.-S.; Nichols, J.F.; Rauh, M.J.; Barrack, M.T.; Lawson, M.J.; Levy, S.S. Influence of Sports Participation and Menarche on Bone Mineral Density of Female High School Athletes. J. Sci. Med. Sport 2007, 10, 170–179. [Google Scholar] [CrossRef]
- Meyer, U.; Romann, M.; Zahner, L.; Schindler, C.; Puder, J.J.; Kraenzlin, M.; Rizzoli, R.; Kriemler, S. Effect of a General School-Based Physical Activity Intervention on Bone Mineral Content and Density: A Cluster-Randomized Controlled Trial. Bone 2011, 48, 792–797. [Google Scholar] [CrossRef]





| Variable | Group | F(2,62) | p Value | ||
|---|---|---|---|---|---|
| C (n = 22) | RD (n = 21) | RG (n = 22) | |||
| Age (months) | 141.5 ± 25.30 | 136.7 ± 26.29 | 126.4 ± 25.15 | 1.997 | 0.144 |
| Body mass (kg) | 42.3 ± 12.47 * | 41.0 ± 11.70 | 33.4 ± 9.82 | 3.850 | 0.027 |
| Stature (cm) | 149.7 ± 12.91 * | 147.2 ± 12.77 * | 136.9 ± 11.53 | 6.519 | 0.003 |
| BMI (kg/m2) | 18.4 ± 3.04 | 18.5 ± 3.25 | 17.4 ± 2.21 | 1.051 | 0.356 |
| Variable | Group | F(2,62) | p Value | ||
|---|---|---|---|---|---|
| C (n = 22) | RD (n = 21) | RG (n = 22) | |||
| WB Z-score | −0.8591 ± 0.68637 | −0.9571 ± 0.88293 | −0.5905 ± 0.79051 | 1.218 | 0.303 |
| Hip Z-score | −0.4850 ± 0.97530 | −0.4944 ± 0.86872 | 0.0111 ± 0.83376 | 1.899 | 0.160 |
| Spine Z-score | −0.1579 ± 0.80506 | −0.3842 ± 0.96567 | 0.2278 ± 1.01158 | 2.038 | 0.140 |
Publisher’s Note: MDPI stays neutral with regard to jurisdictional claims in published maps and institutional affiliations. |
© 2022 by the authors. Licensee MDPI, Basel, Switzerland. This article is an open access article distributed under the terms and conditions of the Creative Commons Attribution (CC BY) license (https://creativecommons.org/licenses/by/4.0/).
Share and Cite
Milanese, C.; Cavedon, V.; Peluso, I.; Toti, E.; Zancanaro, C. The Limited Impact of Low-Volume Recreational Dance on Three-Compartment Body Composition and Apparent Bone Mineral Density in Young Girls. Children 2022, 9, 391. https://doi.org/10.3390/children9030391
Milanese C, Cavedon V, Peluso I, Toti E, Zancanaro C. The Limited Impact of Low-Volume Recreational Dance on Three-Compartment Body Composition and Apparent Bone Mineral Density in Young Girls. Children. 2022; 9(3):391. https://doi.org/10.3390/children9030391
Chicago/Turabian StyleMilanese, Chiara, Valentina Cavedon, Ilaria Peluso, Elisabetta Toti, and Carlo Zancanaro. 2022. "The Limited Impact of Low-Volume Recreational Dance on Three-Compartment Body Composition and Apparent Bone Mineral Density in Young Girls" Children 9, no. 3: 391. https://doi.org/10.3390/children9030391
APA StyleMilanese, C., Cavedon, V., Peluso, I., Toti, E., & Zancanaro, C. (2022). The Limited Impact of Low-Volume Recreational Dance on Three-Compartment Body Composition and Apparent Bone Mineral Density in Young Girls. Children, 9(3), 391. https://doi.org/10.3390/children9030391

