The Emotional Response to Pandemic of Middle- and High-School Students of an Italian Northern Province: The ERP Study
Abstract
:1. Introduction
2. Materials and Methods
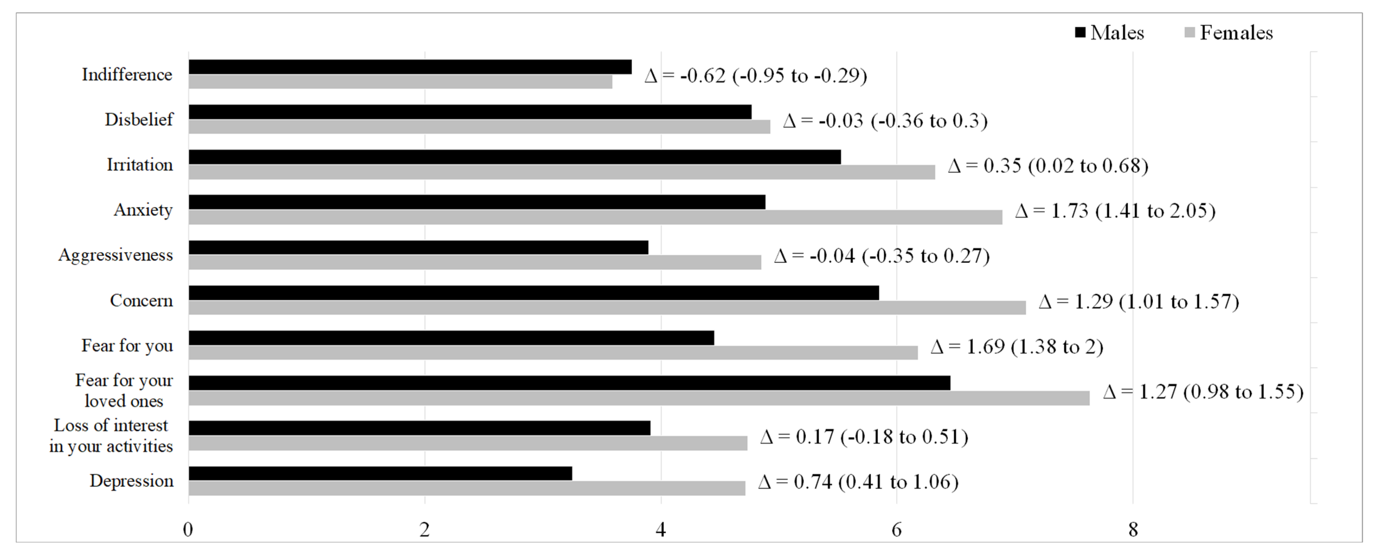
3. Results
4. Discussion
5. Conclusions
Supplementary Materials
Author Contributions
Funding
Institutional Review Board Statement
Informed Consent Statement
Data Availability Statement
Acknowledgments
Conflicts of Interest
References
- Talevi, D.; Socci, V.; Carai, M.; Carnaghi, G.; Faleri, S.; Trebbi, E.; Di Bernardo, A.; Capelli, F.; Pacitti, F. Mental health outcomes of the COVID-19 pandemic. Riv. Psichiatr. 2020, 55, 137–144. [Google Scholar] [CrossRef]
- Armitage, R.; Nellums, I.B. COVID-19 and the consequences of isolating the elderly. Lancet Public Health 2020, 5, e256. [Google Scholar] [CrossRef] [Green Version]
- Calenda, C.C.; Reynolds, C.F.; Applegate, W.B.; Sloane, P.D.; Zimmerman, S.; Newman, A.N.; Meeks, S.; Ouslander, J.G. COVID-19 Pandemic and Ageism: A Call for Humanitarian Care. Am. J. Geriatr. Psychiatry 2020, 28, 805–807. [Google Scholar] [CrossRef]
- Plagg, B.; Engl, A.; Piccoliori, G.; Eisendle, K. Prolonged social isolation of the elderly during COVID-19: Between benefit and damage. Arch. Gerontol. Geriatr. 2020, 89, 104086. [Google Scholar] [CrossRef]
- Li, S.; Zhang, Y. Mental healthcare for psychiatric inpatients during the COVID-19 epidemic. Gen. Psychiatry 2020, 33, e100216. [Google Scholar] [CrossRef] [Green Version]
- Bojdani, E.; Rajagopalan, A.; Chen, A.; Gearin, P.; Olcott, W.; Shankar, V.; Cloutier, A.; Solomon, H.; Naqvi, N.Z.; Batty, N.; et al. COVID-19 Pandemic: Impact on psychiatric care in the United States. Psychiatry Res. 2020, 289, 113069. [Google Scholar] [CrossRef]
- Gao, J.; Zheng, P.; Jia, Y.; Chen, H.; Mao, Y.; Chen, S.; Wang, Y.; Fu, H.; Dai, J. Mental health problems and social media exposure during COVID-19 outbreak. PLoS ONE 2020, 15, e0231924. [Google Scholar] [CrossRef]
- Gunnell, D.; Appleby, L.; Arensman, E. Suicide risk and prevention during the COVID-19 pandemic. Lancet Psychiatry 2020, 7, 468–471. [Google Scholar] [CrossRef]
- Yao, H.; Chen, J.H.; Xu, Y.F. Patients with mental health disorders in the COVID-19 epidemic. Lancet Psychiatry 2020, 7, e21. [Google Scholar] [CrossRef]
- Xiang, Y.T.; Zhao, Y.J.; Liu, Z.; Li, X.H.; Zhao, N.; Cheung, T.; Ng, C.H. The COVID-19 outbreak and psychiatric hospitals in China: Managing challenges through mental health service reform. Int. J. Biol. Sci. 2020, 16, 1741–1744. [Google Scholar] [CrossRef] [Green Version]
- Chew, N.W.S.; Lee, G.K.H.; Tan, B.Y.Q.; Jing, M.; Goh, Y.; Ngiam, N.J.H.; Yeo, L.L.L.; Ahmad, A.; Khan, F.A.; Shanmugam, G.N.; et al. A multinational, multicentre study on the psychological outcomes and associated physical symptoms amongst healthcare workers during COVID-19 outbreak. Brain Behav. Immun. 2020, 88, 559–565. [Google Scholar] [CrossRef]
- Santarone, K.; McKeneny, M.; Elkbuli, A. Preserving mental health and resilience in frontline healthcare workers during COVID-19. Am. J. Emerg. Med. 2020, 38, 1530–1531. [Google Scholar] [CrossRef]
- Tsamakis, K.; Rizos, E.; Manolis, A.J.; Chaidou, S.; Kumpouropoulos, S.; Spartalis, E.; Spandidos, D.A.; Tsiptsios, D.; Triantafyllis, A.S. COVID-19 pandemic and its impact on mental health of healthcare professionals. Exp. Ther. Med. 2020, 19, 3451–3453. [Google Scholar] [CrossRef] [Green Version]
- Zaka, A.; Shamloo, S.E.; Fiorente, P.; Tafuri, A. COVID-19 pandemic as a watershed moment: A call for systematic psychological health care for frontline medical staff. J. Health Psychol. 2020, 25, 883–887. [Google Scholar] [CrossRef]
- Zhang, W.R.; Wang, K.; Yin, L.; Zhao, W.; Xue, Q.; Peng, M.; Min, B.; Tian, Q.; Leng, H.; Du, J.; et al. Mental Health and Psychosocial Problems of Medical Health Workers during the COVID-19 Epidemic in China. Psychother. Psychosom. 2020, 89, 242–250. [Google Scholar] [CrossRef]
- Liebenz, M.; Bhugra, D.; Buadze, A.; Schleifer, R. Caring for persons in detention suffering with mental illness during the Covid-19 outbreak. Forensic Sci. Int. Mind Law 2020, 1, 100013. [Google Scholar] [CrossRef]
- Hewson, T.; Shepherd, A.; Hard, J.; Shaw, J. Effects of the COVID-19 pandemic on the mental health of prisoners. Lancet Psychiatry 2020, 7, 568–570. [Google Scholar] [CrossRef]
- Liem, A.; Wang, C.; Wariyanti, Y.; Latkin, C.A.; Hall, B.J. The neglected health of international migrant workers in the COVID-19 epidemic. Lancet Psychiatry 2020, 7, e20. [Google Scholar] [CrossRef]
- Xiao, H.; Shu, W.; Li, M.; Li, Z.; Tao, F.; Wu, X.; Yu, Y.; Meng, H.; Vermund, S.H.; Hu, Y. Social Distancing among Medical Students during the 2019 Coronavirus Disease Pandemic in China: Disease Awareness, Anxiety Disorder, Depression, and Behavioral Activities. Int. J. Environ. Res. Public Health 2020, 17, 5047. [Google Scholar] [CrossRef]
- Cao, W.; Fang, Z.; Hou, G.; Han, M.; Xu, X.; Dong, J.; Zheng, J. The psychological impact of the COVID-19 epidemic on college students in China. Psychiatry Res. 2020, 287, 112934. [Google Scholar] [CrossRef]
- Huckins, J.F.; da Silva, A.W.; Wang, W.; Hedlund, E.; Rogers, C.; Nepal, S.K.; Wu, J.; Obuchi, M.; Murphy, E.I.; Meyer, M.L.; et al. Mental Health and Behavior of College Students During the Early Phases of the COVID-19 Pandemic: Longitudinal Smartphone and Ecological Momentary Assessment Study. J. Med. Internet Res. 2020, 22, e20185. [Google Scholar] [CrossRef]
- Moccia, L.; Janiri, D.; Pepe, M.; Dattoli, L.; Molinaro, M.; De Martin, V.; Chieffo, D.; Janiri, L.; Fiorillo, A.; Sani, G.; et al. Affective temperament, attachment style, and the psychological impact of the COVID-19 outbreak: An early report on the Italian general population. Brain Behav. Immun. 2020, 87, 75–79. [Google Scholar] [CrossRef]
- Montemurro, N. The emotional impact of COVID-19: From medical staff to common people. Brain Behav. Immun. 2020, 87, 23–24. [Google Scholar] [CrossRef]
- Villani, L.; Pastorino, R.; Molinari, E.; Anelli, F.; Ricciardi, W.; Graffigna, G.; Boccia, S. Impact of the COVID-19 pandemic on psychological well-being of students in an Italian university: A web-based cross-sectional survey. Glob. Health 2021, 17, 39. [Google Scholar] [CrossRef]
- Balsamo, M.; Carlucci, L. Italians on the Age of COVID-19: The Self-Reported Depressive Symptoms through Web-Based Survey. Front. Psychol. 2020, 11, 569276. [Google Scholar] [CrossRef]
- Zhang, C.; Ye, M.; Fu, Y.; Yang, M.; Luo, F.; Yuan, J.; Tao, Q. The Psychological Impact of the COVID-19 Pandemic on Teenagers in China. J. Adolesc. Health 2020, 67, 747–755. [Google Scholar] [CrossRef]
- Radwan, E.; Radwan, A.; Radwan, W. The role of social media in spreading panic among primary and secondary school students during the COVID-19 pandemic: An online questionnaire study from the Gaza Strip, Palestine. Heliyon 2020, 6, e05807. [Google Scholar] [CrossRef]
- Karaman, M.A.; Esici, H.; Tomar, I.H.; Aliyev, R. COVID-19: Are School Counseling Services Ready? Students’ Psychological Symptoms, School Counselors’ Views, and Solutions. Front. Psychol. 2021, 12, 647740. [Google Scholar] [CrossRef]
- Ali, A.; Siddiqui, A.A.; Arshad, M.S.; Iqbal, F.; Arif, T.B. Effects of COVID-19 pandemic and lockdown on lifestyle and mental health of students: A retrospective study from Karachi, Pakistan. Ann. Méd.-Psychol. 2021, 1–9. [Google Scholar] [CrossRef]
- Singh, S.; Roy, D.; Sinha, K.; Parveen, S.; Sharma, G.; Joshi, G. Impact of COVID-19 and lockdown on mental health of children and adolescents: A narrative review with recommendations. Psychiatry Res. 2020, 293, 113429. [Google Scholar] [CrossRef]
- Panda, P.K.; Gupta, J.; Chowdhury, S.R.; Kumar, R.; Meena, A.K.; Madaan, P.; Sharawat, I.K.; Gulati, S. Psychological and Behavioral Impact of Lockdown and Quarantine Measures for COVID-19 Pandemic on Children, Adolescents and Caregivers: A Systematic Review and Meta-Analysis. J. Trop. Pediatrics 2021, 67, fmaa122. [Google Scholar] [CrossRef]
- Shah, K.; Mann, S.; Singh, R.; Bangar, R.; Kulkarni, R. Impact of COVID-19 on the Mental Health of Children and Adolescents. Cureus 2020, 12, e10051. [Google Scholar] [CrossRef]
- Akkaya-Kalayci, T.; Kothgassner, O.D.; Wenzel, T.; Goreis, A.; Chen, A.; Ceri, V.; Özlü-Erkilic, Z. The Impact of the COVID-19 Pandemic on Mental Health and Psychological Well-Being of Young People Living in Austria and Turkey: A Multicenter Study. Int. J. Environ. Res. Public Health 2020, 17, 9111. [Google Scholar] [CrossRef]
- Massa, J.L.P. Mental Health and COVID-19 in children and adolescents: Psychopathologycal and Public Health approach. Rev. Española Salud Publica 2020, 94, e202010141. [Google Scholar]
- Genta, F.D.; Neto, G.B.R.; Sunfeld, J.P.V.; Porto, J.F.; Xavier, A.D.; Moreno, C.R.C.; Lorenzi-Filho, G.; Genta, P.R. COVID-19 pandemic impact on sleep habits, chronotype, and health-related quality of life among high school students: A longitudinal study. J. Clin. Sleep Med. 2021, 17, 1371–1377. [Google Scholar] [CrossRef]
- Deolmi, M.; Pisani, F. Psychological and psychiatric impact of COVID-19 pandemic among children and adolescents. Acta Biomed. 2020, 91, e2020149. [Google Scholar] [CrossRef]
- Janiri, D.; Moccia, L.; Dattoli, L.; Pepe, M.; Molinaro, M.; De Martin, V.; Chieffo, D.; Di Nicola, M.; Fiorillo, A.; Janiri, L.; et al. Emotional dysregulation mediates the impact of childhood trauma on psychological distress: First Italian data during the early phase of COVID-19 outbreak. Aust. N. Z. J. Psychiatry 2021, 55, 1071–1078. [Google Scholar] [CrossRef]
- Buzzi, C.; Tucci, M.; Ciprandi, R.; Brambilla, I.; Caimmi, S.; Ciprani, G.; Marseglia, G.L. The psycho-social effects of COVID-19 on Italian adolescents’ attitudes and behaviors. Ital. J. Pediatrics 2020, 46, 69. [Google Scholar] [CrossRef]
- Sanchez-Gomez, M.; Giorgi, G.; Finstad, G.L.; Urbini, F.; Foti, G.; Mucci, N.; Zaffina, S.; Leon-Perez, J.M. COVID-19 Pandemic as a Traumatic vent and Its Associations with Fear and Mental Health: A Cognitive-Activation Approach. Int. J. Environ. Res. Public Health 2021, 18, 7422. [Google Scholar] [CrossRef]
- Woolson, R.F.; Clarke, W.R. Statistical Methods for the Analysis of Biomedical Data, 2nd ed.; John Wiley & Sons. Inc.: New York, NY, USA, 2002. [Google Scholar]
- Ghanamah, R.; Eghbaria-Ghanamah, H. Impact of COVID-19 Pandemic on Behavioral and Emotional Aspects and Daily Routines of Arab Israeli Children. Int. J. Environ. Res. Public Health 2021, 18, 2946. [Google Scholar] [CrossRef]
- Cacioppo, J.T.; Patrick, W. Loneliness: Human Nature and the Need of Social Connection; W.W. Norton: New York, NY, USA, 2008. [Google Scholar]
- Banerjee, D.; Rai, M. Social isolation in COVID-19: The impact of loneliness. Int. J. Soc. Psychiatry 2020, 66, 525–527. [Google Scholar] [CrossRef] [PubMed]
- Prout, T.A.; Zicha-Mano, S.; Aafjes-van Dorn, K.; Bekes, V.; Christman-Cohen, I.; Whistler, K.; Kui, T.; Di Giuseppe, M. Identifying predictors of psychological distress during COVID-19: A machine learning approach. Front. Psychol. 2020, 11, 3063. [Google Scholar] [CrossRef]


| Variables | Adults | HS | U-MS | R-MS |
|---|---|---|---|---|
| N | 635 | 744 | 67 | 66 |
| Sex (% males) | 303 (47.72%) | 220 (29.57%) | 32 (47.76%) | 34 (51.52%) |
| Age (mean ± SD) | 46.84 ± 17.16 | 16.71 ± 1.53 | 12.70 ± 1.85 | 12.33 ± 1.14 |
| Reaction | Adults (n = 635) | Students (n = 877) | Δ (95% CI) | HS (n = 744) | MS (n = 133) | Δ (95% CI) | U-MS (n = 67) | R-MS (n = 66) | Δ (95% CI) |
|---|---|---|---|---|---|---|---|---|---|
| Indifference | 2.72 ± 3.11 1 (0–5) | 4.33 ± 3.10 4 (1–7) | 1.97 (1.52 to 2.41) | 4.39 ± 3.09 5 (2–7) | 3.97 ± 3.18 4 (1–6) | −0.57 (−1.31 to 0.18) | 3.33 ± 3.34 3 (0–6) | 4.62 ± 2.89 4 (1–6) | 1.38 (0.20 to 2.56) |
| Disbelief | 5.04 ± 3.20 5 (2–8) | 4.75 ± 3.04 5 (2–7) | −0.93 (−1.50 to −0.35) | 4.94 ± 2.99 5 (2–7) | 3.65 ± 3.12 3 (1–6) | −0.50 (−1.25 to 0.24) | 2.97 ± 3.11 2 (0–5) | 4.35 ± 2.99 4.5 (2–7) | 1.51 (0.35 to 2.67) |
| Irritation | 5.38 ± 3.17 6 (3–8) | 6.47 ± 3.11 7 (4–9) | −0.12 (−0.65 to 0.40) | 6.73 ± 3.02 8 (5–9) | 5.01 ± 3.17 5 (2–8) | −1.28 (−1.94 to −0.63) | 5.21 ± 3.55 6 (2–8) | 4.80 ± 2.74 5 (3–7) | −0.17 (−1.25 to 0.91) |
| Anxiety | 5.44 ± 3.09 6 (3–8) | 6.60 ± 3.18 7 (5–10) | 0.56 (0.07 to 1.04) | 6.89 ± 3.04 8 (5–10) | 4.99 ± 3.48 6 (2–8) | −1.22 (−1.91 to −0.53) | 5.10 ± 3.71 6 (2–9) | 4.88 ± 3.27 6 (2–7) | 0.04 (−1.21 to 1.29) |
| Aggressiveness | 2.74 ± 2.89 2 (0–5) | 5.74 ± 3.42 6 (3–9) | 2.21 (1.72 to 2.70) | 6.26 ± 3.22 7 (3–9) | 2.87 ± 3.07 2 (0–5) | −2.76 (−3.39 to −2.12) | 3.74 ± 3.37 4 (0–6) | 1.98 ± 2.46 1 (0–3) | −1.65 (−2.81 to −0.48) |
| Concern | 6.81 ± 2.71 8 (5–9) | 6.46 ± 2.75 7 (5–9) | −0.31 (−0.79 to 0.17) | 6.63 ± 2.60 7 (5–9) | 5.53 ± 3.33 6 (3–9) | −0.88 (−1.52 to −0.24) | 5.39 ± 3.61 6 (1–9) | 5.68 ± 3.04 6 (4–8) | 0.00 (−1.20 to 1.20) |
| Fear for you | 5.39 ± 3.11 6 (3–8) | 5.60 ± 3.09 6 (3–8) | 0.29 (−0.23 to 0.81) | 5.75 ± 3.00 6 (3–8) | 4.72 ± 3.43 5 (1–8) | −0.29 (−0.98 to 0.40) | 4.30 ± 3.21 4 (1–7) | 5.15 ± 3.62 6 (1–8) | 0.74 (−0.45 to 1.94) |
| Fear for YLO | 7.49 ± 2.65 8 (6–10) | 6.95 ± 2.91 8 (5–9) | −0.89 (−1.40 to −0.39) | 7.04 ± 2.77 8 (5–9) | 6.46 ± 3.54 8 (3–10) | −0.55 (−1.24 to 0.14) | 6.19 ± 3.81 8 (2–10) | 6.73 ± 3.25 8 (5–10) | 0.61 (−0.64 to 1.87) |
| LOI in your activities | 3.38 ± 3.12 3 (0–6) | 5.17 ± 3.45 5 (2–8) | 1.21 (0.72 to 1.70) | 5.42 ± 3.42 6 (2–8) | 3.77 ± 3.25 3 (0–6) | −0.40 (−1.20 to 0.40) | 3.88 ± 3.53 3 (0–6) | 3.67 ± 2.97 3 (1–6) | 0.40 (−0.84 to 1.63) |
| Depression | 2.88 ± 2.97 2 (0–5) | 5.06 ± 3.56 5 (1–8) | 1.87 (1.40 to 2.34) | 5.44 ± 3.44 6 (2.5–8) | 2.93 ± 3.48 1 (0–5) | −1.79 (−2.53 to −1.06) | 3.74 ± 4.02 2 (0–8) | 2.11 ± 2.60 1 (0–4) | −1.64 (−2.87 to −0.40) |
| Reaction | Δ (99.15% CI) Row vs. Column | Adults | HS | U-MS |
|---|---|---|---|---|
| Indifference | HS | 2.04 (1.41 to 2.66) | ||
| U-MS | 0.89 (−0.22 to 2.01) | −1.14 (−2.21 to −0.08) | ||
| R-MS | 2.13 (0.66 to 3.61) | 0.10 (−1.34 to 1.54) | 1.24 (−0.46 to 2.94) | |
| Disbelief | HS | −0.82 (−1.61 to −0.02) | ||
| U-MS | −2.88 (−3.90 to −1.86) | −2.06 (−2.78 to −1.34) | ||
| R-MS | −1.53 (−2.76 to −0.30) | −0.71 (−1.69 to 0.27) | 1.35 (0.24 to 2.46) | |
| Irritation | HS | 0.07 (−0.65 to 0.80) | ||
| U-MS | −1.52 (−2.64 to −0.39) | −1.59 (−2.56 to −0.62) | ||
| R-MS | −1.98 (−3.06 to −0.90) | −2.05 (−2.96 to −1.15) | −0.46 (−1.69 to 0.76) | |
| Anxiety | HS | 0.75 (0.07 to 1.43) | ||
| U-MS | −0.38 (−1.44 to 0.69) | −1.12 (−2.07 to −0.18) | ||
| R-MS | −0.89 (−1.91 to 0.13) | −1.63 (−2.51 to −0.76) | −0.51 (−1.68 to 0.66) | |
| Aggressiveness | HS | 2.67 (1.94 to 3.40) | ||
| U-MS | 0.07 (−1.11 to 1.25) | −2.61 (−3.77 to −1.44) | ||
| R-MS | −1.73 (−2.52 to −0.94) | −4.40 (−5.16 to −3.64) | −1.80 (−2.97 to −0.62) | |
| Concern | HS | −0.25 (−0.91 to 0.40) | ||
| U-MS | −1.05 (−2.03 to −0.07) | −0.80 (−1.58 to −0.02) | ||
| R-MS | −1.03 (−2.03 to −0.03) | −0.78 (−1.57 to 0.02) | 0.02 (−1.01 to 1.06) | |
| Fear for you | HS | 0.36 (−0.36 to 1.07) | ||
| U-MS | −0.51 (−1.55 to 0.53) | −0.87 (−1.71 to −0.03) | ||
| R-MS | −0.05 (−1.20 to 1.09) | −0.41 (−1.35 to 0.54) | 0.46 (−0.72 to 1.64) | |
| Fear for your loved ones | HS | −0.86 (−1.55 to −0.17) | ||
| U-MS | −1.42 (−2.46 to −0.38) | −0.56 (−1.39 to 0.27) | ||
| R-MS | −1.01 (−2.11 to 0.08) | −0.15 (−1.04 to 0.73) | 0.41 (−0.74 to 1.55) | |
| Loss of interest in your activities | HS | 1.43 (0.73 to 2.12) | ||
| U-MS | −0.11 (−1.28 to 1.06) | −1.53 (−2.63 to −0.44) | ||
| R-MS | −0.39 (−1.51 to 0.73) | −1.82 (−2.85 to −0.79) | −0.28 (−1.65 to 1.09) | |
| Depression | HS | 2.21 (1.52 to 2.90) | ||
| U-MS | 0.78 (−0.42 to 1.97) | −1.43 (−2.59 to −0.28) | ||
| R-MS | −0.88 (−1.71 to −0.06) | −3.10 (−3.86 to −2.33) | −1.66 (−2.86 to −0.47) |
| Reaction | Indifference | Disbelief | Irritation | Anxiety | Aggressi-Veness | Concern | Fear for You | Fear for YLO | LOI in Your Activities | Depression |
|---|---|---|---|---|---|---|---|---|---|---|
| Indifference | 1 | |||||||||
| Disbelief | 0.099 *** | 1 | ||||||||
| Irritation | 0.125 *** | 0.243 *** | 1 | |||||||
| Anxiety | 0.072 ** | 0.185 *** | 0.423 *** | 1 | ||||||
| Aggressiveness | 0.205 *** | 0.208 *** | 0.518 *** | 0.443 *** | 1 | |||||
| Concern | −0.032 | 0.249 *** | 0.284 *** | 0.57 *** | 0.25 *** | 1 | ||||
| Fear for you | −0.037 | 0.241 *** | 0.27 *** | 0.59 *** | 0.323 *** | 0.692 *** | 1 | |||
| Fear for YBO | −0.091 *** | 0.214 *** | 0.209 *** | 0.362 *** | 0.157 *** | 0.537 *** | 0.544 *** | 1 | ||
| LOI in your activities | 0.264 *** | 0.129 *** | 0.305 *** | 0.342 *** | 0.434 *** | 0.207 *** | 0.197 *** | 0.115 *** | 1 | |
| Depression | 0.121 *** | 0.114 *** | 0.375 *** | 0.536 *** | 0.537 *** | 0.321 *** | 0.348 *** | 0.145 *** | 0.488 *** | 1 |
Publisher’s Note: MDPI stays neutral with regard to jurisdictional claims in published maps and institutional affiliations. |
© 2022 by the authors. Licensee MDPI, Basel, Switzerland. This article is an open access article distributed under the terms and conditions of the Creative Commons Attribution (CC BY) license (https://creativecommons.org/licenses/by/4.0/).
Share and Cite
Povero, M.; Turco, P.; Dal Negro, R.W. The Emotional Response to Pandemic of Middle- and High-School Students of an Italian Northern Province: The ERP Study. Children 2022, 9, 59. https://doi.org/10.3390/children9010059
Povero M, Turco P, Dal Negro RW. The Emotional Response to Pandemic of Middle- and High-School Students of an Italian Northern Province: The ERP Study. Children. 2022; 9(1):59. https://doi.org/10.3390/children9010059
Chicago/Turabian StylePovero, Massimiliano, Paola Turco, and Roberto Walter Dal Negro. 2022. "The Emotional Response to Pandemic of Middle- and High-School Students of an Italian Northern Province: The ERP Study" Children 9, no. 1: 59. https://doi.org/10.3390/children9010059
APA StylePovero, M., Turco, P., & Dal Negro, R. W. (2022). The Emotional Response to Pandemic of Middle- and High-School Students of an Italian Northern Province: The ERP Study. Children, 9(1), 59. https://doi.org/10.3390/children9010059

