Association Between Long Term Exposure to PM2.5 and Its Components on Severe Obesity in Chinese Children and Adolescents: A National Study in China
Abstract
1. Introduction
2. Methods
2.1. Study Population
2.2. Questionnaires, Physical Examination, and Definition of Severe Obesity
2.3. Exposure Assessments
2.4. Statistical Analysis
3. Results
3.1. Children’s Characteristics and Descriptive Statistics of the Exposure and Health Data
3.2. Effects of Long-Term Exposure to PM2.5 and Its Components on Overweight and Obesity
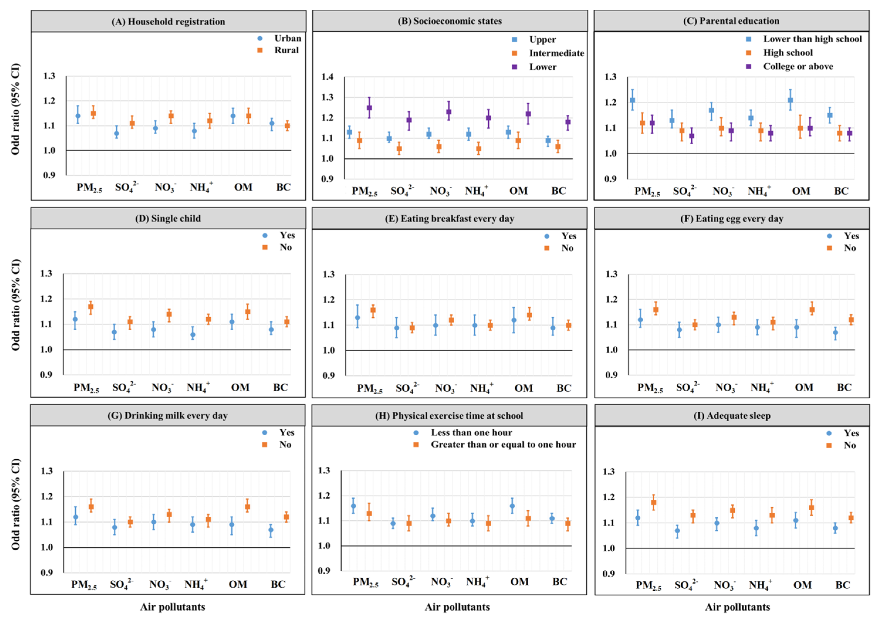
3.3. Effects of Long-Term Exposure to PM2.5 and Its Components on Severe Obesity in Different Subgroups
4. Discussion
5. Conclusions
Supplementary Materials
Author Contributions
Funding
Institutional Review Board Statement
Informed Consent Statement
Data Availability Statement
Acknowledgments
Conflicts of Interest
References
- Hong, Y.; Ullah, R.; Wang, J.B.; Fu, J.F. Trends of obesity and overweight among children and adolescents in China. World J. Pediatr. 2023, 19, 1115–1126. [Google Scholar] [CrossRef] [PubMed]
- Dong, Y.; Yuan, C.; Dang, J.; Song, X.; Cheng, G.; Chen, Y.; Wang, H.; Mi, J.; Xi, B.; Song, Y. Control of childhood obesity and implications for policy in China. Lancet Public Health 2024, 9, e1125–e1135. [Google Scholar] [CrossRef] [PubMed]
- Förster, L.J.; Vogel, M.; Stein, R.; Hilbert, A.; Breinker, J.L.; Böttcher, M.; Kiess, W.; Poulain, T. Mental health in children and adolescents with overweight or obesity. BMC Public Health 2023, 23, 135. [Google Scholar] [CrossRef] [PubMed]
- Tian, C.; Xu, M.; Lai, H.; Sun, M.; Lu, Y.; Wang, Y.; Tong, B.; Wang, Y.; Na, F.; Wang, J.; et al. Management for children and adolescents with overweight and obesity: A recommendations mapping. Pediatr. Res. 2024. [Google Scholar] [CrossRef] [PubMed]
- Liu, Z.; Yang, L.; Zhao, M.; Yu, Y.; Xi, B. Weight Status Change from Birth to Childhood and High Blood Pressure in Childhood. Future 2024, 2, 164–171. [Google Scholar] [CrossRef]
- Small, L.; Aplasca, A. Child Obesity and Mental Health: A Complex Interaction. Child Adolesc. Psychiatr. Clin. N. Am. 2016, 25, 269–282. [Google Scholar] [CrossRef]
- Santana, C.C.A.; Hill, J.O.; Azevedo, L.B.; Gunnarsdottir, T.; Prado, W.L. The association between obesity and academic performance in youth: A systematic review. Obes. Rev. Off. J. Int. Assoc. Study Obes. 2017, 18, 1191–1199. [Google Scholar] [CrossRef]
- Spahlholz, J.; Baer, N.; König, H.H.; Riedel-Heller, S.G.; Luck-Sikorski, C. Obesity and discrimination—A systematic review and meta-analysis of observational studies. Obes. Rev. Off. J. Int. Assoc. Study Obes. 2016, 17, 43–55. [Google Scholar] [CrossRef]
- Bass, R.; Eneli, I. Severe childhood obesity: An under-recognised and growing health problem. Postgrad. Med. J. 2015, 91, 639–645. [Google Scholar] [CrossRef]
- Narayan, K.M.; Boyle, J.P.; Thompson, T.J.; Gregg, E.W.; Williamson, D.F. Effect of BMI on lifetime risk for diabetes in the U.S. Diabetes Care 2007, 30, 1562–1566. [Google Scholar] [CrossRef]
- Dikaiou, P.; Björck, L.; Adiels, M.; Lundberg, C.E.; Mandalenakis, Z.; Manhem, K.; Rosengren, A. Obesity, overweight and risk for cardiovascular disease and mortality in young women. Eur. J. Prev. Cardiol. 2021, 28, 1351–1359. [Google Scholar] [CrossRef] [PubMed]
- Amini, M.; Zayeri, F.; Salehi, M. Trend analysis of cardiovascular disease mortality, incidence, and mortality-to-incidence ratio: Results from global burden of disease study 2017. BMC Public Health 2021, 21, 401. [Google Scholar] [CrossRef] [PubMed]
- Tong, J.; Ren, Y.; Liu, F.; Liang, F.; Tang, X.; Huang, D.; An, X.; Liang, X. The Impact of PM2.5 on the Growth Curves of Children’s Obesity Indexes: A Prospective Cohort Study. Front. Public Health 2022, 10, 843622. [Google Scholar] [CrossRef] [PubMed]
- Wang, Y.; Li, W.; Chen, S.; Zhang, J.; Liu, X.; Jiang, J.; Chen, L.; Tang, Z.; Wan, X.; Lian, X.; et al. PM2.5 constituents associated with childhood obesity and larger BMI growth trajectory: A 14-year longitudinal study. Environ. Int. 2024, 183, 108417. [Google Scholar] [CrossRef]
- Egusquiza, R.J.; Blumberg, B. Environmental Obesogens and Their Impact on Susceptibility to Obesity: New Mechanisms and Chemicals. Endocrinology 2020, 161, bqaa024. [Google Scholar] [CrossRef]
- Tan, Y.; Zhang, D.; Xiao, P.; Chen, X.; Zhang, Y.; Peng, C.; Peng, A. Prenatal exposure to PM2.5 and childhood body mass index growth trajectories from birth to 6 years old. Sci. Rep. 2024, 14, 16936. [Google Scholar] [CrossRef]
- Barkjohn, K.K.; Norris, C.; Cui, X.; Fang, L.; He, L.; Schauer, J.J.; Zhang, Y.; Black, M.; Zhang, J.; Bergin, M.H. Children’s microenvironmental exposure to PM2.5 and ozone and the impact of indoor air filtration. J. Expo. Sci. Environ. Epidemiol. 2020, 30, 971–980. [Google Scholar] [CrossRef]
- de Bont, J.; Díaz, Y.; de Castro, M.; Cirach, M.; Basagaña, X.; Nieuwenhuijsen, M.; Duarte-Salles, T.; Vrijheid, M. Ambient air pollution and the development of overweight and obesity in children: A large longitudinal study. Int. J. Obes. 2021, 45, 1124–1132. [Google Scholar] [CrossRef]
- Song, Y.; Agardh, A.; Ma, J.; Li, L.; Lei, Y.; Stafford, R.S.; Prochaska, J.J. National trends in stunting, thinness and overweight among Chinese school-aged children, 1985–2014. Int. J. Obes. 2019, 43, 402–411. [Google Scholar] [CrossRef]
- Hampl, S.E.; Hassink, S.G.; Skinner, A.C.; Armstrong, S.C.; Barlow, S.E.; Bolling, C.F.; Avila Edwards, K.C.; Eneli, I.; Hamre, R.; Joseph, M.M.; et al. Executive Summary: Clinical Practice Guideline for the Evaluation and Treatment of Children and Adolescents With Obesity. Pediatrics 2023, 151, e2022060640. [Google Scholar] [CrossRef]
- Geng, G.; Xiao, Q.; Liu, S.; Liu, X.; Cheng, J.; Zheng, Y.; Xue, T.; Tong, D.; Zheng, B.; Peng, Y.; et al. Tracking Air Pollution in China: Near Real-Time PM2.5 Retrievals from Multisource Data Fusion. Environ. Sci. Technol. 2021, 55, 12106–12115. [Google Scholar] [CrossRef] [PubMed]
- Xiao, Q.; Geng, G.; Liu, S.; Liu, J.; Meng, X.; Zhang, Q. Spatiotemporal continuous estimates of daily 1 km PM2.5 from 2000 to present under the Tracking Air Pollution in China (TAP) framework. Atmos. Chem. Phys. 2022, 22, 13229–13242. [Google Scholar] [CrossRef]
- Xiao, Q.; Zheng, Y.; Geng, G.; Chen, C.; Huang, X.; Che, H.; Zhang, X.; He, K.; Zhang, Q. Separating emission and meteorological contributions to long-term PM2.5 trends over eastern China during 2000–2018. Atmos. Chem. Phys. 2021, 21, 9475–9496. [Google Scholar] [CrossRef]
- Xiao, Q.; Geng, G.; Cheng, J.; Liang, F.; Li, R.; Meng, X.; Xue, T.; Huang, X.; Kan, H.; Zhang, Q.; et al. Evaluation of gap-filling approaches in satellite-based daily PM2.5 prediction models. Atmos. Environ. 2021, 244, 117921. [Google Scholar] [CrossRef]
- Liu, H.; Wang, L.; Wang, J.; Ming, H.; Wu, X.; Xu, G.; Zhang, S. Multidimensional spatial inequality in China and its relationship with economic growth. Humanit. Soc. Sci. Commun. 2024, 11, 1415. [Google Scholar] [CrossRef]
- Vested, A.; Giwercman, A.; Bonde, J.P.; Toft, G. Persistent organic pollutants and male reproductive health. Asian J. Androl. 2014, 16, 71–80. [Google Scholar] [CrossRef]
- Silveyra, P.; Al Housseiny, H.; Rebuli, M.E. Sex and Gender Differences in the Susceptibility to Environmental Exposures. In Sex-Based Differences in Lung Physiology; Silveyra, P., Tigno, X.T., Eds.; Springer International Publishing: Cham, Switzerland, 2021; pp. 251–290. [Google Scholar]
- Guo, Q.; Zhang, K.; Wang, B.; Cao, S.; Xue, T.; Zhang, Q.; Tian, H.; Fu, P.; Zhang, J.J.; Duan, X. Chemical constituents of ambient fine particulate matter and obesity among school-aged children: A representative national study in China. Sci. Total Environ. 2022, 849, 157742. [Google Scholar] [CrossRef]
- Jia, H.; Pan, J.; Huo, J.; Fu, Q.; Duan, Y.; Lin, Y.; Hu, X.; Cheng, J. Atmospheric black carbon in urban and traffic areas in Shanghai: Temporal variations, source characteristics, and population exposure. Environ. Pollut. 2021, 289, 117868. [Google Scholar] [CrossRef]
- Mota-Bertran, A.; Coenders, G.; Plaja, P.; Saez, M.; Barceló, M.A. Air pollution and children’s mental health in rural areas: Compositional spatio-temporal model. Sci. Rep. 2024, 14, 19363. [Google Scholar] [CrossRef]
- Werthmann, J.; Tuschen-Caffier, B.; Ströbele, L.; Kübel, S.L.; Renner, F. Healthy cravings? Impact of imagined healthy food consumption on craving for healthy foods and motivation to eat healthily—Results of an initial experimental study. Appetite 2023, 183, 106458. [Google Scholar] [CrossRef]
- Westerterp, K.R. Physical activity and physical activity induced energy expenditure in humans: Measurement, determinants, and effects. Front. Physiol. 2013, 4, 90. [Google Scholar] [CrossRef] [PubMed]
- Papatriantafyllou, E.; Efthymiou, D.; Zoumbaneas, E.; Popescu, C.A.; Vassilopoulou, E. Sleep Deprivation: Effects on Weight Loss and Weight Loss Maintenance. Nutrients 2022, 14, 1549. [Google Scholar] [CrossRef] [PubMed]
- Yuan, C.; Dong, Y.; Chen, H.; Ma, L.; Jia, L.; Luo, J.; Liu, Q.; Hu, Y.; Ma, J.; Song, Y. Public health interventions against childhood obesity in China. Lancet Public Health 2024, 9, e1115–e1124. [Google Scholar] [CrossRef] [PubMed]
- Yuan, C.; Dong, Y.; Chen, H.; Ma, L.; Jia, L.; Luo, J.; Liu, Q.; Hu, Y.; Ma, J.; Song, Y. Determinants of childhood obesity in China. Lancet Public Health 2024, 9, e1105–e1114. [Google Scholar] [CrossRef]




| Characteristics | Boys | Girls | p Value |
|---|---|---|---|
| N = 80,399 | N = 79,806 | ||
| Age (years) (mean ± SD) | 13.5 ± 2.89 | 13.4 ± 2.86 | 0.313 |
| BMI (mean ± SD) | 20.3 ± 4.05 | 19.7 ± 3.55 | <0.001 |
| Nutritional status (N, %) | <0.001 | ||
| Normal weight and thinness | 56,871 (70.7) | 65,611 (82.2) | |
| Overweight | 14,376 (17.9) | 11,117 (13.9) | |
| Class 1 Obesity | 6224 (7.7%) | 2118 (2.7) | |
| Class 2 Obesity | 2512 (3.1) | 809 (1.0) | |
| Class 3 Obesity | 416 (0.5) | 151 (0.2) | |
| Household registration (N, %) | 0.013 | ||
| Urban | 40,812 (50.8) | 40,018 (50.1) | |
| Rural | 39,587 (49.2) | 39,788 (49.9) | |
| Socioeconomic states (N, %) | 0.402 | ||
| Upper | 26,093 (32.5) | 25,921 (32.5) | |
| Intermediate | 27,478 (34.2) | 27,389 (34.3) | |
| Lower | 25,541 (31.8) | 25,299 (31.7) | |
| High school | 1287 (1.6) | 1197 (1.5) | |
| Parental education (N, %) | <0.001 | ||
| Lower than high school | 31,150 (38.7) | 31,625 (39.6) | |
| High school | 19,786 (24.6) | 19,785 (24.8) | |
| College or above | 24,953 (31.0) | 24,432 (30.6) | |
| Unknown | 4510 (5.6) | 3964 (5.0) | |
| Single child (N, %) | 36,301 (45.2) | 30,393 (38.1) | <0.001 |
| Eating breakfast every day (N, %) | 16,090 (20.0) | 12,700 (15.9) | <0.001 |
| Eating egg every day (N, %) | 27,966 (34.8) | 24,802 (31.1) | <0.001 |
| Drinking milk every day (N, %) | 27,966 (34.8) | 24,802 (31.1) | <0.001 |
| Sugary beverages (N, %) | <0.001 | ||
| Less than once per day | 61,292 (76.2) | 64,925 (81.4) | |
| Greater than or equal to once a day | 19,107 (23.8) | 14,881 (18.6) | |
| Physical exercise time at school (N, %) | <0.001 | ||
| Less than one hour | 45,827 (57.0) | 48,217 (60.4) | |
| Greater than or equal to one hour | 34,572 (43.0) | 31,589 (39.6) | |
| Adequate sleep (N, %) | 37,256 (46.3) | 38,653 (48.4) | <0.001 |
| GDP per capita (CNY) (mean ± SD) | 81,327 ± 36,427 | 81,304 ± 34,656 | 0.894 |
| Exposure Factor | Mean ± SD | 5th | 25th | 50th | 75th | 95th | IQR |
|---|---|---|---|---|---|---|---|
| PM2.5 (μg/m3) | 40.2 ± 10.81 | 23.6 | 34.5 | 43.0 | 46.0 | 61.1 | 11.6 |
| SO42− (μg/m3) | 6.5 ± 1.72 | 4.2 | 5.9 | 6.3 | 7.6 | 10.1 | 1.7 |
| NO3− (μg/m3) | 8.3 ± 3.00 | 3.6 | 7.0 | 8.5 | 9.9 | 14.0 | 2.9 |
| NH4+ (μg/m3) | 5.4 ± 1.74 | 2.7 | 4.7 | 5.3 | 6.4 | 8.8 | 1.6 |
| OM (μg/m3) | 9.8 ± 2.44 | 6.8 | 8.3 | 10.3 | 11.2 | 14.7 | 2.9 |
| BC (μg/m3) | 1.8 ± 0.42 | 1.3 | 1.7 | 1.9 | 2.0 | 2.7 | 0.4 |
| Temperature (°C) | 14.5 ± 4.92 | 6.3 | 14.2 | 15.4 | 17.1 | 22.9 | 2.9 |
| Relative humidity (%) | 67.2 ± 10.54 | 47 | 59 | 70 | 75 | 82 | 16 |
| Gender | Air Pollutants | Odd Ratio (95% CI) | |||
|---|---|---|---|---|---|
| Overweight | Class 1 Obesity | Class 2 Obesity | Class 3 Obesity | ||
| Boys | PM2.5 | 1.10 (1.06, 1.13) | 1.17 (1.13, 1.22) | 1.18 (1.11, 1.26) | 1.41 (1.22, 1.64) |
| SO42− | 1.04 (1.02, 1.07) | 1.11 (1.07, 1.15) | 1.13 (1.07, 1.20) | 1.29 (1.13, 1.46) | |
| NO3− | 1.07 (1.04, 1.10) | 1.12 (1.08, 1.17) | 1.13 (1.07, 1.20) | 1.32 (1.15, 1.50) | |
| NH4+ | 1.06 (1.03, 1.08) | 1.11 (1.07, 1.15) | 1.12 (1.06, 1.19) | 1.28 (1.12, 1.46) | |
| OM | 1.08 (1.05, 1.12) | 1.17 (1.12, 1.22) | 1.15 (1.08, 1.22) | 1.38 (1.20, 1.60) | |
| BC | 1.06 (1.03, 1.08) | 1.13 (1.09, 1.16) | 1.13 (1.07, 1.18) | 1.27 (1.14, 1.42) | |
| Girls | PM2.5 | 1.15 (1.11, 1.18) | 1.21 (1.13, 1.29) | 1.40 (1.25, 1.56) | 1.55 (1.21, 1.99) |
| SO42− | 1.10 (1.06, 1.12) | 1.17 (1.10, 1.24) | 1.31 (1.19, 1.44) | 1.51 (1.23, 1.85) | |
| NO3− | 1.12 (1.09, 1.15) | 1.19 (1.12, 1.26) | 1.36 (1.23, 1.50) | 1.62 (1.30, 2.03) | |
| NH4+ | 1.10 (1.07, 1.14) | 1.17 (1.10, 1.24) | 1.32 (1.20, 1.46) | 1.63 (1.31, 2.02) | |
| OM | 1.14 (1.10, 1.17) | 1.19 (1.11, 1.28) | 1.32 (1.18, 1.48) | 1.39 (1.08, 1.78) | |
| BC | 1.09 (1.07, 1.12) | 1.16 (1.10, 1.22) | 1.26 (1.16, 1.37) | 1.33 (1.10, 1.60) | |
Disclaimer/Publisher’s Note: The statements, opinions and data contained in all publications are solely those of the individual author(s) and contributor(s) and not of MDPI and/or the editor(s). MDPI and/or the editor(s) disclaim responsibility for any injury to people or property resulting from any ideas, methods, instructions or products referred to in the content. |
© 2024 by the authors. Licensee MDPI, Basel, Switzerland. This article is an open access article distributed under the terms and conditions of the Creative Commons Attribution (CC BY) license (https://creativecommons.org/licenses/by/4.0/).
Share and Cite
Guo, T.; Chen, T.; Chen, L.; Liu, J.; Song, X.; Zhang, Y.; Wang, R.; Jiang, J.; Qin, Y.; Dong, Z.; et al. Association Between Long Term Exposure to PM2.5 and Its Components on Severe Obesity in Chinese Children and Adolescents: A National Study in China. Children 2024, 11, 1536. https://doi.org/10.3390/children11121536
Guo T, Chen T, Chen L, Liu J, Song X, Zhang Y, Wang R, Jiang J, Qin Y, Dong Z, et al. Association Between Long Term Exposure to PM2.5 and Its Components on Severe Obesity in Chinese Children and Adolescents: A National Study in China. Children. 2024; 11(12):1536. https://doi.org/10.3390/children11121536
Chicago/Turabian StyleGuo, Tongjun, Tianjiao Chen, Li Chen, Jieyu Liu, Xinli Song, Yi Zhang, Ruolin Wang, Jianuo Jiang, Yang Qin, Ziqi Dong, and et al. 2024. "Association Between Long Term Exposure to PM2.5 and Its Components on Severe Obesity in Chinese Children and Adolescents: A National Study in China" Children 11, no. 12: 1536. https://doi.org/10.3390/children11121536
APA StyleGuo, T., Chen, T., Chen, L., Liu, J., Song, X., Zhang, Y., Wang, R., Jiang, J., Qin, Y., Dong, Z., Zhang, D., Song, Z., Yuan, W., Dong, Y., Song, Y., & Ma, J. (2024). Association Between Long Term Exposure to PM2.5 and Its Components on Severe Obesity in Chinese Children and Adolescents: A National Study in China. Children, 11(12), 1536. https://doi.org/10.3390/children11121536

