The Association Between Motor Competence and Inhibitory Control in Preschool Children
Abstract
1. Instruction
2. Materials and Methods
2.1. Participants
2.2. Measurements
2.2.1. Measurement of Movement Competence
2.2.2. Measurement of Inhibitory Control
2.2.3. Body Composition
2.3. Statistical Analysis
3. Result
3.1. Basic Information
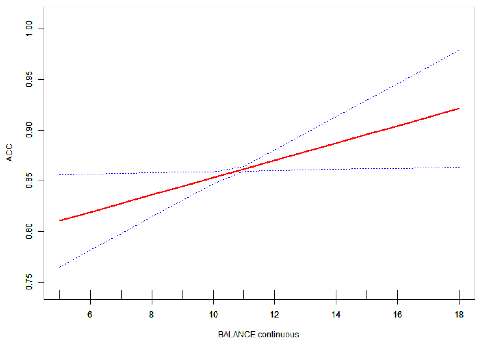
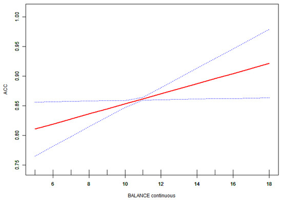
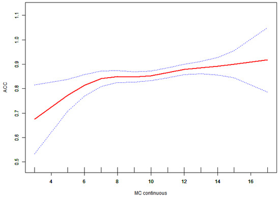
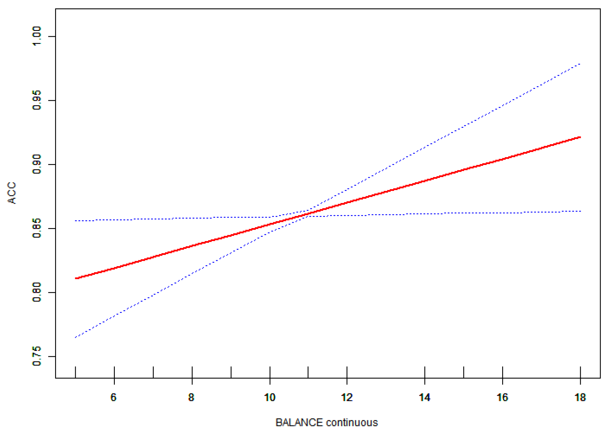
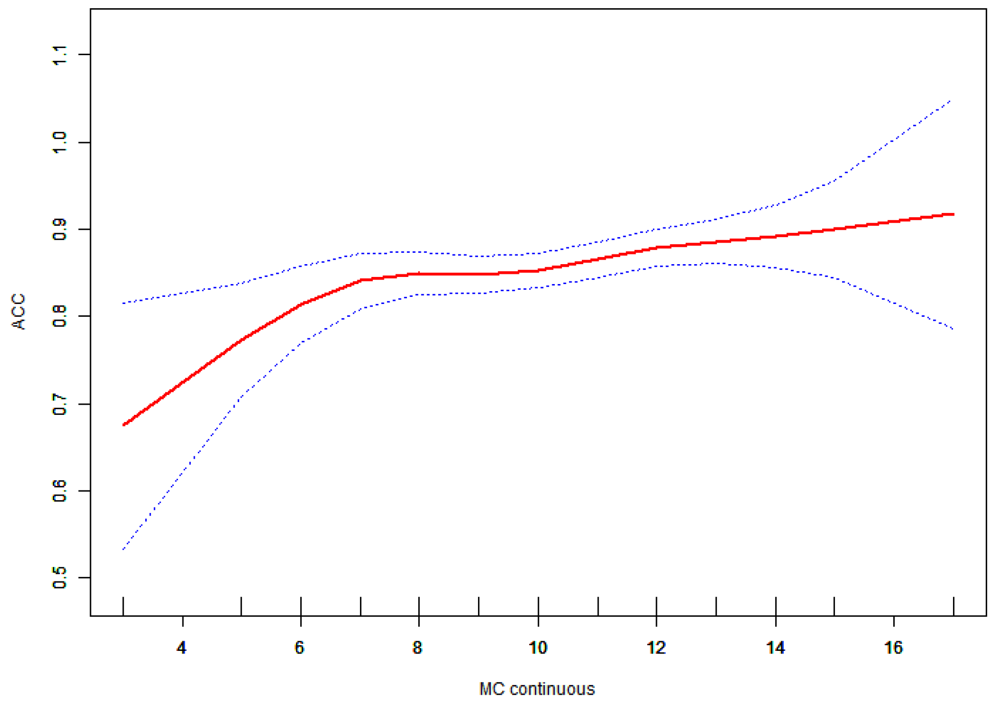
3.2. Relationship Between Motor Competence and Inhibitory Control (Accuracy)
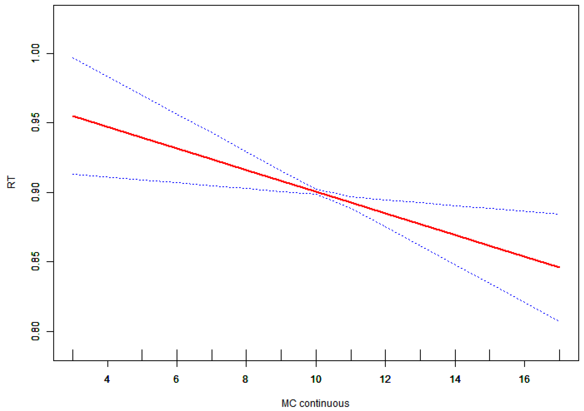
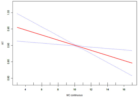
3.3. Relationship Between Motor Competence and Inhibitory Control (RT)
3.4. Relationship Between Motor Competence and Inhibitory Control—Piecewise Linear Regression
4. Discussion
Strengths and Limitations
5. Conclusions
Author Contributions
Funding
Institutional Review Board Statement
Informed Consent Statement
Data Availability Statement
Acknowledgments
Conflicts of Interest
References
- Liven, L.S.; Müller, U. (Eds.) Handbook of Child Psychology and Developmental Science: Cognitive Processes, 7th ed.; John Wiley & Sons, Inc.: Hoboken, NJ, USA, 2015; Volume 2, pp. 571–572. [Google Scholar]
- Privitera, A.J.; Zhou, Y.; Xie, X. Inhibitory control as a significant predictor of academic performance in Chinese high schoolers. Child Neuropsychol. 2023, 29, 457–473. [Google Scholar] [CrossRef] [PubMed]
- Landis, T.D.; Garcia, A.M.; Hart, K.C.; Graziano, P.A. Differentiating Symptoms of ADHD in Preschoolers: The Role of Emotion Regulation and Executive Function. J. Atten. Disord. 2021, 25, 1260–1271. [Google Scholar] [CrossRef]
- Mayer, M.A.; Catalani, F.; Fraire, J.; Deltetto, N.; Martín, L.; Beneitez, A.; Fischman, D.; Orden, A.B. Inhibitory control and obesity in adolescents: A prospective cohort study. Appetite 2022, 171, 105910. [Google Scholar] [CrossRef]
- Geeraerts, S.B.; Endendijk, J.J.; Deković, M.; Huijding, J.; Deater-Deckard, K.; Mesman, J. Inhibitory Control Across the Preschool Years: Developmental Changes and Associations with Parenting. Child Dev. 2021, 92, 335–350. [Google Scholar] [CrossRef]
- Hill, P.J.; McNarry, M.A.; Mackintosh, K.A.; Murray, M.A.; Pesce, C.; Valentini, N.C.; Getchell, N.; Tomporowski, P.D.; Robinson, L.E.; Barnett, L.M. The Influence of Motor Competence on Broader Aspects of Health: A Systematic Review of the Longitudinal Associations Between Motor Competence and Cognitive and Social-Emotional Outcomes. Sports Med. 2024, 54, 375–427. [Google Scholar] [CrossRef]
- Goodway, J.D.; Ozmun, J.C.; Gallahue, D.L. Understanding Motor Development: Infants, Children, Adolescents, Adults, 8th ed.; Jones & Bartlett: Burlington, MA, USA, 2020. [Google Scholar]
- Schweinfurth, M.K.; Call, J. Reciprocity: Different behavioural strategies, cognitive mechanisms and psychological processes. Learn. Behav. 2019, 47, 284–301. [Google Scholar] [CrossRef] [PubMed]
- Kim, H.; Duran, C.A.K.; Cameron, C.E.; Grissmer, D. Developmental Relations Among Motor and Cognitive Processes and Mathematics Skills. Child Dev. 2018, 89, 476–494. [Google Scholar] [CrossRef] [PubMed]
- Maurer, M.N.; Roebers, C.M. Towards a better understanding of the association between motor skills and executive functions in 5- to 6-year-olds: The impact of motor task difficulty. Hum. Mov. Sci. 2019, 66, 607–620. [Google Scholar] [CrossRef] [PubMed]
- Bi, C.; Cai, R.; Zhao, Y.; Lin, H.; Liu, H. Associations between cardiorespiratory fitness and executive function in Chinese adolescents. Sci. Rep. 2024, 14, 21089. [Google Scholar] [CrossRef] [PubMed]
- Albuquerque, M.R.; Rennó, G.V.C.; Bruzi, A.T.; Fortes, L.S.; Malloy-Diniz, L.F. Association between motor competence and executive functions in children. Appl. Neuropsychol. Child 2022, 11, 495–503. [Google Scholar] [CrossRef] [PubMed]
- Brown, T.; Lalor, A. The Movement Assessment Battery for Children--Second Edition (MABC-2): A review and critique. Phys. Occup. Ther. Pediatr. 2009, 29, 86–103. [Google Scholar] [CrossRef] [PubMed]
- Zhang, J.Y.; Shen, Q.Q.; Wang, D.L.; Hou, J.M.; Xia, T.; Qiu, S.; Wang, X.Y.; Zhou, S.B.; Yang, W.W.; Heng, S.Y.; et al. Physical activity intervention promotes working memory and motor competence in preschool children. Front. Public Health 2022, 10, 984887. [Google Scholar] [CrossRef] [PubMed]
- Li, B.; Li, R.; Qin, H.; Chen, T.; Sun, J. Effects of Chinese Martial Arts on Motor Skills in Children between 5 and 6 Years of Age: A Randomized Controlled Trial. Int. J. Environ. Res. Public Health 2022, 19, 10204. [Google Scholar] [CrossRef]
- Howard, S.J.; Melhuish, E. An Early Years Toolbox for Assessing Early Executive Function, Language, Self-Regulation, and Social Development: Validity, Reliability, and Preliminary Norms. J. Psychoeduc. Assess. 2017, 35, 255–275. [Google Scholar] [CrossRef]
- Luo, X.; Herold, F.; Ludyga, S.; Gerber, M.; Kamijo, K.; Pontifex, M.B.; Hillman, C.H.; Alderman, B.L.; Müller, N.G.; Kramer, A.F.; et al. Association of physical activity and fitness with executive function among preschoolers. Int. J. Clin. Health Psychol. 2023, 23, 100400. [Google Scholar] [CrossRef] [PubMed]
- Wang, B.; Tang, C.; Zhang, Q. The main changes, target directions, and practical directions of the National Physical Fitness Measurement Standards (Revised in 2023). J. Phys. Educ./Tiyu Xuekan 2024, 31, 147–152. [Google Scholar]
- Mecías-Calvo, M.; Carregal-San Emeterio, F.; Navarro-Patón, R. Do Gender and BMI Affect the Motor Skills of Five-Year-Old Preschoolers Differently? Children 2024, 11, 829. [Google Scholar] [CrossRef]
- Smits-Engelsman, B.; Coetzee, D.; Valtr, L.; Verbecque, E. Do Girls Have an Advantage Compared to Boys When Their Motor Skills Are Tested Using the Movement Assessment Battery for Children, 2nd Edition? Children 2023, 10, 1159. [Google Scholar] [CrossRef] [PubMed]
- Bao, R.; Wade, L.; Leahy, A.A.; Owen, K.B.; Hillman, C.H.; Jaakkola, T.; Lubans, D.R. Associations Between Motor Competence and Executive Functions in Children and Adolescents: A Systematic Review and Meta-analysis. Sports Med. 2024, 54, 2141–2156. [Google Scholar] [CrossRef]
- Pan, C.Y.; Sung, M.C.; Tsai, C.L.; Chen, F.C.; Chen, Y.J.; Chen, C.C. The relationships between motor skills and executive functions in children with and without autism spectrum disorder. Autism Res. 2024, 17, 1149–1160. [Google Scholar] [CrossRef] [PubMed]
- Klupp, S.; Grob, A.; Möhring, W. Aerobic fitness and fine motor skills are related to switching and updating in typically developing children. Psychol. Res. 2023, 87, 1401–1416. [Google Scholar] [CrossRef] [PubMed]
- Ludyga, S.; Möhring, W.; Budde, H.; Hirt, N.; Pühse, U.; Gerber, M. Neurocognitive processes mediate the relation between children’s motor skills, cardiorespiratory fitness and response inhibition: Evidence from source imaging. Psychophysiology 2021, 58, e13716. [Google Scholar] [CrossRef] [PubMed]
- Diamond, A. Close interrelation of motor development and cognitive development and of the cerebellum and prefrontal cortex. Child Dev. 2000, 71, 44–56. [Google Scholar] [CrossRef]
- Escolano-Pérez, E.; Herrero-Nivela, M.L.; Losada, J.L. Association Between Preschoolers’ Specific Fine (But Not Gross) Motor Skills and Later Academic Competencies: Educational Implications. Front. Psychol. 2020, 11, 1044. [Google Scholar] [CrossRef]
- Leisman, G.; Moustafa, A.A.; Shafir, T. Thinking, Walking, Talking: Integratory Motor and Cognitive Brain Function. Front. Public Health 2016, 4, 94. [Google Scholar] [CrossRef] [PubMed]
- Shi, J.; Wang, J.; Lang, J.; Zhang, Z.; Bi, Y.; Liu, R.; Jiang, S.; Hou, L. Effect of different motor skills training on motor control network in the frontal lobe and basal ganglia. Biol. Sport 2020, 37, 405–413. [Google Scholar] [CrossRef] [PubMed]
- Formenti, D.; Trecroci, A.; Duca, M.; Cavaggioni, L.; D’Angelo, F.; Passi, A.; Longo, S.; Alberti, G. Differences in inhibitory control and motor fitness in children practicing open and closed skill sports. Sci. Rep. 2021, 11, 4033. [Google Scholar] [CrossRef]
- Shi, P.; Feng, X. Motor skills and cognitive benefits in children and adolescents: Relationship, mechanism and perspectives. Front. Psychol. 2022, 13, 1017825. [Google Scholar] [CrossRef]
- Vints, W.A.J.; Levin, O.; Fujiyama, H.; Verbunt, J.; Masiulis, N. Exerkines and long-term synaptic potentiation: Mechanisms of exercise-induced neuroplasticity. Front. Neuroendocrinol. 2022, 66, 100993. [Google Scholar] [CrossRef]
- Michel, E.; Molitor, S. Fine motor skill automatization and working memory in children with and without potential fine motor impairments: An explorative study. Hum. Mov. Sci. 2022, 84, 102968. [Google Scholar] [CrossRef] [PubMed]
- Sobinov, A.R.; Bensmaia, S.J. The neural mechanisms of manual dexterity. Nat. Rev. Neurosci. 2021, 22, 741–757. [Google Scholar] [CrossRef] [PubMed]
- Wang, J.; Xu, R.; Guo, X.; Guo, S.; Zhou, J.; Lu, J.; Yao, D. Different Music Training Modulates Theta Brain Oscillations Associated with Executive Function. Brain Sci. 2022, 12, 1304. [Google Scholar] [CrossRef]
- Simpson, A.; Al Ruwaili, R.; Jolley, R.; Leonard, H.; Geeraert, N.; Riggs, K.J. Fine Motor Control Underlies the Association Between Response Inhibition and Drawing Skill in Early Development. Child Dev. 2019, 90, 911–923. [Google Scholar] [CrossRef]
- Mc Ardle, R.; Pratt, S.; Buckley, C.; Del Din, S.; Galna, B.; Thomas, A.; Rochester, L.; Alcock, L. Balance Impairments as Differential Markers of Dementia Disease Subtype. Front. Bioeng. Biotechnol. 2021, 9, 639337. [Google Scholar] [CrossRef]
- Divandari, N.; Bird, M.L.; Vakili, M.; Jaberzadeh, S. The association between dynamic balance and executive function: Which dynamic balance test has the strongest association with executive function? A systematic review and meta-analysis. Curr. Neurol. Neurosci. Rep. 2024, 24, 151–161. [Google Scholar] [CrossRef] [PubMed]
- Sugihara, Y.; Matsuura, T.; Kubo, Y.; Ohgomori, T. Activation of the Prefrontal Cortex and Improvement of Cognitive Performance with Standing on One Leg. Neuroscience 2021, 477, 50–62. [Google Scholar] [CrossRef] [PubMed]
- Gebel, A.; Lehmann, T.; Granacher, U. Balance task difficulty affects postural sway and cortical activity in healthy adolescents. Exp. Brain Res. 2020, 238, 1323–1333. [Google Scholar] [CrossRef]
- Veraksa, A.; Tvardovskaya, A.; Gavrilova, M.; Yakupova, V.; Musálek, M. Associations Between Executive Functions and Physical Fitness in Preschool Children. Front. Psychol. 2021, 12, 674746. [Google Scholar] [CrossRef] [PubMed]
- Li, Y.; Zhou, T.; Lu, Y.; Sang, M.; Liu, J.; He, X.; Quan, M. The association between the health-related physical fitness and inhibitory control in preschool children. BMC Pediatr. 2022, 22, 106. [Google Scholar] [CrossRef]
- Schott, N.; Mündörfer, A.; Holfelder, B. Neighborhood Socio-Economic Status Influences Motor Performance and Inhibitory Control in Kindergarten Children-Findings from the Cross-Sectional Kitafit Study. Children 2023, 10, 1332. [Google Scholar] [CrossRef] [PubMed]
- Pereira, J.V.; Vila-Nova, F.; Veiga, G.; Lopes, F.; Cordovil, R. Associations between outdoor play features and children’s behavior and health: A systematic review. Health Place 2024, 87, 103235. [Google Scholar] [CrossRef]




| Characteristics | Total (n = 153) | Boys (n = 80) | Girls (n = 73) | p |
|---|---|---|---|---|
| Anthropometric characteristics | ||||
| Age (years) | 4.97 ± 0.73 | 5.06 ± 0.72 | 4.88 ± 0.73 | |
| Height (cm) | 110.99 ± 6.63 | 111.92 ± 6.52 | 109.97 ± 6.65 | 0.07 |
| Weight (kg) | 19.43 ± 3.60 | 18.29 ± 2.84 | 18.89 ± 3.30 | 0.03 |
| BMI (kg/m2) | 15.26 ± 1.73 | 15.43 ± 1.97 | 15.07 ± 1.42 | 0.20 |
| Motor competence (score) | 10.30 ± 2.47 | 9.63 ± 2.57 | 11.04 ± 2.12 | 0.00 |
| Manual dexterity (score) | 9.02 ± 2.58 | 8.34 ± 2.68 | 9.77 ± 2.25 | 0.00 |
| Aiming and catching (score) | 10.86 ± 2.82 | 10.43 ± 3.13 | 11.34 ± 2.37 | 0.04 |
| Balance (score) | 10.73 ± 2.14 | 10.35 ± 1.97 | 11.15 ± 2.25 | 0.07 |
| inhibitory control | ||||
| No-Go ACC (%) | 78 ± 0.18 | 75 ± 0.19 | 82 ± 0.16 | 0.03 |
| Go ACC (%) | 88 ± 0.12 | 86 ± 0.13 | 90 ± 0.09 | 0.06 |
| ACC (%) | 86 ± 0.12 | 84 ± 0.12 | 88 ± 0.08 | 0.01 |
| RT (s) | 0.90 ± 0.09 | 0.88 ± 0.10 | 0.91 ± 0.08 | 0.03 |
| Model 1 | Model 2 | |||
|---|---|---|---|---|
| β (95% CI) | p | β (95% CI) | p | |
| Motor competence | ||||
| Motor competence (score) | 0.010 (0.003, 0.016) | 0.006 | 0.010 (0.003, 0.017) | 0.005 |
| Motor competence categorical | ||||
| Z1 | REP. | REP. | ||
| Z2 | 0.048 (0.011, 0.086) | 0.012 | 0.034 (−0.004, 0.071) | 0.078 |
| Z3 | 0.044 (−0.003, 0.091) | 0.069 | 0.051 (0.003, 0.098) | 0.037 |
| p for trend | 0.018 | 0.023 | ||
| Manual dexterity | ||||
| Manual dexterity (score) | 0.011 (0.004, 0.017) | 0.001 | 0.011 (0.004, 0.017) | 0.001 |
| Manual dexterity categorical | ||||
| Z1 | REP. | REP. | ||
| Z2 | 0.040 (0.002, 0.077) | 0.042 | 0.038 (0.001, 0.076) | 0.046 |
| Z3 | 0.106 (0.041, 0.171) | 0.002 | 0.106 (0.043, 0.170) | 0.001 |
| p for trend | 0.002 | 0.002 | ||
| Aiming and catching | ||||
| Aiming and catching (score) | 0.004 (−0.002, 0.010) | 0.153 | 0.004 (−0.002, 0.009) | 0.236 |
| Aiming and catching categorical | ||||
| Z1 | REP. | REP. | ||
| Z2 | 0.021 (−0.019, 0.060) | 0.307 | 0.015 (−0.023, 0.054) | 0.431 |
| Z3 | 0.033 (−0.017, 0.083) | 0.200 | 0.027 (−0.021, 0.075) | 0.269 |
| p for trend | 0.176 | 0.256 | ||
| Balance | ||||
| Balance (score) | 0.007 (−0.001, 0.015) | 0.106 | 0.009 (0.001, 0.016) | 0.038 |
| Balance categorical | ||||
| Z1 | REP. | REP. | ||
| Z2 | −0.010 (−0.050, 0.030) | 0.615 | 0.003 (−0.036, 0.043) | 0.869 |
| Z3 | 0.034 (−0.028, 0.097) | 0.287 | 0.065 (0.002, 0.129) | 0.045 |
| p for trend | 0.283 | 0.042 | ||
| Model 1 | Model 2 | |||
|---|---|---|---|---|
| β (95% CI) | p | β (95% CI) | p | |
| Motor competence | ||||
| Motor competence | −0.003 (−0.009, 0.003) | 0.286 | −0.008 (−0.014, −0.002) | 0.009 |
| Motor competence categorical | ||||
| Z1 | REP. | REP. | ||
| Z2 | 0.012 (−0.020, 0.044) | 0.464 | 0.004 (−0.027, 0.036) | 0.780 |
| Z3 | −0.013 (−0.054, 0.028) | 0.527 | −0.041 (−0.081, −0.002) | 0.043 |
| p for trend | 0.598 | 0.054 | ||
| Manual dexterity | ||||
| Manual dexterity (score) | −0.001 (−0.006, 0.005) | 0.815 | −0.004 (−0.010, 0.001) | 0.121 |
| Manual dexterity categorical | ||||
| Z1 | REP. | REP. | ||
| Z2 | 0.011 (−0.023, 0.045) | 0.515 | −0.005 (−0.038, 0.028) | 0.768 |
| Z3 | 0.002 (−0.044, 0.047) | 0.940 | −0.027 (−0.071, 0.018) | 0.238 |
| p for trend | 0.779 | 0.302 | ||
| Aiming and catching | ||||
| Aiming and catching(score) | −0.005 (−0.010, 0.000) | 0.055 | −0.006 (−0.011, −0.002) | 0.010 |
| Aiming and catching categorical | ||||
| Z1 | REP. | REP. | ||
| Z2 | −0.015 (−0.049, 0.019) | 0.393 | −0.019 (−0.051, 0.013) | 0.237 |
| Z3 | −0.024 (−0.067, 0.018) | 0.268 | −0.032 (−0.072, 0.008) | 0.116 |
| p for trend | 0.246 | 0.101 | ||
| Balance | ||||
| Balance(score) | −0.001 (−0.007, 0.006) | 0.869 | −0.005 (−0.012, 0.002) | 0.136 |
| Balance categorical | ||||
| Z1 | REP. | REP. | ||
| Z2 | 0.005 (−0.029, 0.039) | 0.768 | −0.004 (−0.038, 0.029) | 0.792 |
| Z3 | 0.006 (−0.048, 0.059) | 0.830 | −0.036 (−0.090, 0.017) | 0.185 |
| p for trend | 0.831 | 0.180 | ||
| Effect Size (β) | 95% CI | p Value | |
|---|---|---|---|
| <6 | 0.083 | 0.022 to 0.143 | 0.01 |
| ≥6 | 0.007 | 0.000 to 0.014 | 0.05 |
| Likelihood Ratio | 0.016 |
Disclaimer/Publisher’s Note: The statements, opinions and data contained in all publications are solely those of the individual author(s) and contributor(s) and not of MDPI and/or the editor(s). MDPI and/or the editor(s) disclaim responsibility for any injury to people or property resulting from any ideas, methods, instructions or products referred to in the content. |
© 2024 by the authors. Licensee MDPI, Basel, Switzerland. This article is an open access article distributed under the terms and conditions of the Creative Commons Attribution (CC BY) license (https://creativecommons.org/licenses/by/4.0/).
Share and Cite
Zhang, A.; Chen, X.; Zhao, D.; Zhang, Y. The Association Between Motor Competence and Inhibitory Control in Preschool Children. Children 2024, 11, 1537. https://doi.org/10.3390/children11121537
Zhang A, Chen X, Zhao D, Zhang Y. The Association Between Motor Competence and Inhibitory Control in Preschool Children. Children. 2024; 11(12):1537. https://doi.org/10.3390/children11121537
Chicago/Turabian StyleZhang, Aoyu, Xiaoxiao Chen, Deqiang Zhao, and Yanfeng Zhang. 2024. "The Association Between Motor Competence and Inhibitory Control in Preschool Children" Children 11, no. 12: 1537. https://doi.org/10.3390/children11121537
APA StyleZhang, A., Chen, X., Zhao, D., & Zhang, Y. (2024). The Association Between Motor Competence and Inhibitory Control in Preschool Children. Children, 11(12), 1537. https://doi.org/10.3390/children11121537
