Prognostic Significance of ROR2 Expression in Patients with Urothelial Carcinoma
Abstract
:1. Introduction
2. Materials and Methods
2.1. Public Data
2.2. Patient Data and Tissues
2.3. Quantitative Real-Time PCR
2.4. Immunohistochemistry
2.5. Gene Ontology (GO) Enrichment Analysis
2.6. Statistical Analysis
3. Results
3.1. Data Mining of Significantly Altered Genes Belong to the JNK Cascade in UC Progression
3.2. Descriptive Characteristics and Association with ROR2 Status
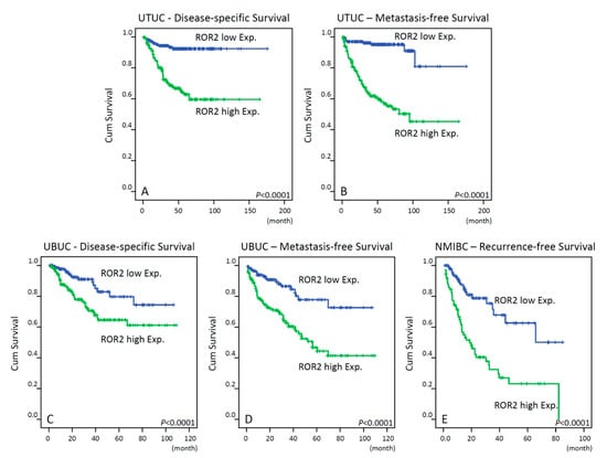
3.3. Prognostic Significance of ROR2 Immunoexpression
3.4. GO Enrichment Analysis of ROR2 Co-Expressed Genes in UC
4. Discussion
5. Conclusions
Supplementary Materials
Author Contributions
Funding
Institutional Review Board Statement
Informed Consent Statement
Data Availability Statement
Conflicts of Interest
References
- Bray, F.; Ferlay, J.; Soerjomataram, I.; Siegel, R.L.; Torre, L.A.; Jemal, A. Global cancer statistics 2018: GLOBOCAN estimates of incidence and mortality worldwide for 36 cancers in 185 countries. CA Cancer J. Clin. 2018, 68, 394–424. [Google Scholar] [CrossRef] [Green Version]
- Babjuk, M.; Burger, M.; Comperat, E.M.; Gontero, P.; Mostafid, A.H.; Palou, J.; van Rhijn, B.W.G.; Roupret, M.; Shariat, S.F.; Sylvester, R.; et al. European Association of Urology Guidelines on Non-muscle-invasive Bladder Cancer (TaT1 and Carcinoma In Situ)–2019 Update. Eur. Urol. 2019, 76, 639–657. [Google Scholar] [CrossRef] [PubMed]
- Witjes, J.A.; Bruins, H.M.; Cathomas, R.; Comperat, E.M.; Cowan, N.C.; Gakis, G.; Hernandez, V.; Linares Espinos, E.; Lorch, A.; Neuzillet, Y.; et al. European Association of Urology Guidelines on Muscle-invasive and Metastatic Bladder Cancer: Summary of the 2020 Guidelines. Eur. Urol. 2021, 79, 82–104. [Google Scholar] [CrossRef] [PubMed]
- Roupret, M.; Babjuk, M.; Burger, M.; Capoun, O.; Cohen, D.; Comperat, E.M.; Cowan, N.C.; Dominguez-Escrig, J.L.; Gontero, P.; Hugh Mostafid, A.; et al. European Association of Urology Guidelines on Upper Urinary Tract Urothelial Carcinoma: 2020 Update. Eur. Urol. 2021, 79, 62–79. [Google Scholar] [CrossRef]
- van Osch, F.H.; Jochems, S.H.; van Schooten, F.J.; Bryan, R.T.; Zeegers, M.P. Quantified relations between exposure to tobacco smoking and bladder cancer risk: A meta-analysis of 89 observational studies. Int. J. Epidemiol. 2016, 45, 857–870. [Google Scholar] [CrossRef] [PubMed] [Green Version]
- Figueroa, J.D.; Middlebrooks, C.D.; Banday, A.R.; Ye, Y.; Garcia-Closas, M.; Chatterjee, N.; Koutros, S.; Kiemeney, L.A.; Rafnar, T.; Bishop, T.; et al. Identification of a novel susceptibility locus at 13q34 and refinement of the 20p12.2 region as a multi-signal locus associated with bladder cancer risk in individuals of European ancestry. Hum. Mol. Genet. 2016, 25, 1203–1214. [Google Scholar] [CrossRef] [Green Version]
- Martin, C.; Leiser, C.L.; O′Neil, B.; Gupta, S.; Lowrance, W.T.; Kohlmann, W.; Greenberg, S.; Pathak, P.; Smith, K.R.; Hanson, H.A. Familial Cancer Clustering in Urothelial Cancer: A Population-Based Case-Control Study. J. Natl. Cancer Inst. 2018, 110, 527–533. [Google Scholar] [CrossRef] [PubMed] [Green Version]
- Bubici, C.; Papa, S. JNK signalling in cancer: In need of new, smarter therapeutic targets. Br. J. Pharmacol 2014, 171, 24–37. [Google Scholar] [CrossRef]
- Semba, T.; Sammons, R.; Wang, X.; Xie, X.; Dalby, K.N.; Ueno, N.T. JNK Signaling in Stem Cell Self-Renewal and Differentiation. Int. J. Mol. Sci. 2020, 21, 2613. [Google Scholar] [CrossRef] [Green Version]
- Zeke, A.; Misheva, M.; Remenyi, A.; Bogoyevitch, M.A. JNK Signaling: Regulation and Functions Based on Complex Protein-Protein Partnerships. Microbiol. Mol. Biol. Rev. 2016, 80, 793–835. [Google Scholar] [CrossRef] [Green Version]
- Papa, S.; Choy, P.M.; Bubici, C. The ERK and JNK pathways in the regulation of metabolic reprogramming. Oncogene 2019, 38, 2223–2240. [Google Scholar] [CrossRef] [PubMed] [Green Version]
- Debebe, Z.; Rathmell, W.K. Ror2 as a therapeutic target in cancer. Pharmacol. Ther. 2015, 150, 143–148. [Google Scholar] [CrossRef]
- Morioka, K.; Tanikawa, C.; Ochi, K.; Daigo, Y.; Katagiri, T.; Kawano, H.; Kawaguchi, H.; Myoui, A.; Yoshikawa, H.; Naka, N.; et al. Orphan receptor tyrosine kinase ROR2 as a potential therapeutic target for osteosarcoma. Cancer Sci. 2009, 100, 1227–1233. [Google Scholar] [CrossRef]
- Yamamoto, H.; Oue, N.; Sato, A.; Hasegawa, Y.; Yamamoto, H.; Matsubara, A.; Yasui, W.; Kikuchi, A. Wnt5a signaling is involved in the aggressiveness of prostate cancer and expression of metalloproteinase. Oncogene 2010, 29, 2036–2046. [Google Scholar] [CrossRef] [PubMed] [Green Version]
- Wright, T.M.; Brannon, A.R.; Gordan, J.D.; Mikels, A.J.; Mitchell, C.; Chen, S.; Espinosa, I.; van de Rijn, M.; Pruthi, R.; Wallen, E.; et al. Ror2, a developmentally regulated kinase, promotes tumor growth potential in renal cell carcinoma. Oncogene 2009, 28, 2513–2523. [Google Scholar] [CrossRef] [PubMed] [Green Version]
- Lara, E.; Calvanese, V.; Huidobro, C.; Fernandez, A.F.; Moncada-Pazos, A.; Obaya, A.J.; Aguilera, O.; Gonzalez-Sancho, J.M.; Sanchez, L.; Astudillo, A.; et al. Epigenetic repression of ROR2 has a Wnt-mediated, pro-tumourigenic role in colon cancer. Mol. Cancer 2010, 9, 170. [Google Scholar] [CrossRef] [PubMed] [Green Version]
- Geng, M.; Cao, Y.C.; Chen, Y.J.; Jiang, H.; Bi, L.Q.; Liu, X.H. Loss of Wnt5a and Ror2 protein in hepatocellular carcinoma associated with poor prognosis. World J. Gastroenterol. 2012, 18, 1328–1338. [Google Scholar] [CrossRef] [PubMed]
- Fan, E.W.; Li, C.C.; Wu, W.J.; Huang, C.N.; Li, W.M.; Ke, H.L.; Yeh, H.C.; Wu, T.F.; Liang, P.I.; Ma, L.J.; et al. FGF7 Over Expression is an Independent Prognosticator in Patients with Urothelial Carcinoma of the Upper Urinary Tract and Bladder. J. Urol. 2015, 194, 223–229. [Google Scholar] [CrossRef]
- Li, W.M.; Huang, C.N.; Ke, H.L.; Li, C.C.; Wei, Y.C.; Yeh, H.C.; Chang, L.L.; Huang, C.H.; Liang, P.I.; Yeh, B.W.; et al. MCM10 overexpression implicates adverse prognosis in urothelial carcinoma. Oncotarget 2016, 7, 77777–77792. [Google Scholar] [CrossRef] [Green Version]
- Liang, P.I.; Yeh, B.W.; Li, W.M.; Chan, T.C.; Chang, I.W.; Huang, C.N.; Li, C.C.; Ke, H.L.; Yeh, H.C.; Wu, W.J.; et al. DPP4/CD26 overexpression in urothelial carcinoma confers an independent prognostic impact and correlates with intrinsic biological aggressiveness. Oncotarget 2017, 8, 2995–3008. [Google Scholar] [CrossRef] [PubMed] [Green Version]
- Chang, I.W.; Lin, V.C.; Hung, C.H.; Wang, H.P.; Lin, Y.Y.; Wu, W.J.; Huang, C.N.; Li, C.C.; Li, W.M.; Wu, J.Y.; et al. GPX2 underexpression indicates poor prognosis in patients with urothelial carcinomas of the upper urinary tract and urinary bladder. World J. Urol. 2015, 33, 1777–1789. [Google Scholar] [CrossRef] [PubMed]
- Edris, B.; Espinosa, I.; Muhlenberg, T.; Mikels, A.; Lee, C.H.; Steigen, S.E.; Zhu, S.; Montgomery, K.D.; Lazar, A.J.; Lev, D.; et al. ROR2 is a novel prognostic biomarker and a potential therapeutic target in leiomyosarcoma and gastrointestinal stromal tumour. J. Pathol. 2012, 227, 223–233. [Google Scholar] [CrossRef] [Green Version]
- Guo, M.; Ma, G.; Zhang, X.; Tang, W.; Shi, J.; Wang, Q.; Cheng, Y.; Zhang, B.; Xu, J. ROR2 knockdown suppresses breast cancer growth through PI3K/ATK signaling. Aging 2020, 12, 13115–13127. [Google Scholar] [CrossRef]
- Frenquelli, M.; Caridi, N.; Antonini, E.; Storti, F.; Vigano, V.; Gaviraghi, M.; Occhionorelli, M.; Bianchessi, S.; Bongiovanni, L.; Spinelli, A.; et al. The WNT receptor ROR2 drives the interaction of multiple myeloma cells with the microenvironment through AKT activation. Leukemia 2020, 34, 257–270. [Google Scholar] [CrossRef]
- Lu, C.; Wang, X.; Zhu, H.; Feng, J.; Ni, S.; Huang, J. Over-expression of ROR2 and Wnt5a cooperatively correlates with unfavorable prognosis in patients with non-small cell lung cancer. Oncotarget 2015, 6, 24912–24921. [Google Scholar] [CrossRef] [Green Version]
- Leow, J.J.; Chong, Y.L.; Chang, S.L.; Valderrama, B.P.; Powles, T.; Bellmunt, J. Neoadjuvant and Adjuvant Chemotherapy for Upper Tract Urothelial Carcinoma: A 2020 Systematic Review and Meta-analysis, and Future Perspectives on Systemic Therapy. Eur. Urol. 2021, 79, 635–654. [Google Scholar] [CrossRef] [PubMed]
- Menck, K.; Heinrichs, S.; Baden, C.; Bleckmann, A. The WNT/ROR Pathway in Cancer: From Signaling to Therapeutic Intervention. Cells 2021, 10, 142. [Google Scholar] [CrossRef] [PubMed]
- Xu, J.; Shi, J.; Tang, W.; Jiang, P.; Guo, M.; Zhang, B.; Ma, G. ROR2 promotes the epithelial-mesenchymal transition by regulating MAPK/p38 signaling pathway in breast cancer. J. Cell Biochem. 2020, 121, 4142–4153. [Google Scholar] [CrossRef]
- Peng, H.; Nerreter, T.; Chang, J.; Qi, J.; Li, X.; Karunadharma, P.; Martinez, G.J.; Fallahi, M.; Soden, J.; Freeth, J.; et al. Mining Naive Rabbit Antibody Repertoires by Phage Display for Monoclonal Antibodies of Therapeutic Utility. J. Mol. Biol. 2017, 429, 2954–2973. [Google Scholar] [CrossRef]
- Goydel, R.S.; Weber, J.; Peng, H.; Qi, J.; Soden, J.; Freeth, J.; Park, H.; Rader, C. Affinity maturation, humanization, and co-crystallization of a rabbit anti-human ROR2 monoclonal antibody for therapeutic applications. J. Biol. Chem. 2020, 295, 5995–6006. [Google Scholar] [CrossRef] [PubMed] [Green Version]
- Tam, S.Y.; Law, H.K. JNK in Tumor Microenvironment: Present Findings and Challenges in Clinical Translation. Cancers 2021, 13, 2196. [Google Scholar] [CrossRef] [PubMed]
- Wu, Q.; Wu, W.; Jacevic, V.; Franca, T.C.C.; Wang, X.; Kuca, K. Selective inhibitors for JNK signalling: A potential targeted therapy in cancer. J. Enzyme Inhib. Med. Chem. 2020, 35, 574–583. [Google Scholar] [CrossRef] [PubMed] [Green Version]



| Probe | Comparing MIBC vs. NMIBC | Gene Symbol | Gene Title | Biological Process | |
|---|---|---|---|---|---|
| Log Ratio | p-Value | ||||
| 204813_at | –0.9123 | 0.0024 | MAPK10 | mitogen-activated protein kinase 10 | JNK cascade, protein amino acid phosphorylation, signal transduction |
| 205578_at | 0.6393 | <0.0001 | ROR2 | receptor tyrosine kinase-like orphan receptor 2 | JNK cascade, Wnt receptor signaling pathway; calcium modulating pathway, cartilage condensation, cell differentiation, embryonic genitalia morphogenesis, multicellular organismal development, protein amino acid phosphorylation, signal transduction, skeletal development, somitogenesis |
| 214246_x_at | –0.5616 | 0.0083 | MINK1 | misshapen-like kinase 1 (zebrafish) | JNK cascade, multicellular organismal development, negative thymic T cell selection, protein amino acid phosphorylation, protein kinase cascade, response to stress |
| 218311_at | –0.5919 | 0.0072 | MAP4K3 | mitogen-activated protein kinase kinase kinase kinase 3 | JNK cascade, protein amino acid phosphorylation, protein kinase cascade, response to stress |
| 227850_x_at | –1.6026 | <0.0001 | CDC42EP5 | CDC42 effector protein (Rho GTPase binding) 5 | JNK cascade, Rho protein signal transduction, positive regulation of actin filament polymerization, positive regulation of pseudopodium formation, regulation of cell shape |
| 230100_x_at | –0.6927 | 0.0011 | PAK1 | p21/Cdc42/Rac1-activated kinase 1 (STE20 homolog; yeast) | ER-nuclear signaling pathway, JNK cascade, apoptosis, cytoskeleton organization and biogenesis, dendrite development, protein amino acid phosphorylation |
| Parameter | Category | Upper Urinary Tract Urothelial Carcinoma | Urinary Bladder Urothelial Carcinoma | ||||||
|---|---|---|---|---|---|---|---|---|---|
| Case No. | ROR2 Expression | p-Value | Case No. | ROR2 Expression | p-Value | ||||
| Low | High | Low | High | ||||||
| Gender | Male | 158 | 71 | 87 | 0.082 | 216 | 110 | 106 | 0.534 |
| Female | 182 | 99 | 83 | 79 | 37 | 42 | |||
| Age (years) | <65 | 138 | 69 | 69 | 1.000 | 121 | 59 | 62 | 0.759 |
| ≥65 | 202 | 101 | 101 | 174 | 88 | 86 | |||
| Tumor location | Renal pelvis | 141 | 63 | 78 | 0.232 | - | - | - | - |
| Ureter | 150 | 82 | 68 | - | - | - | - | ||
| Renal pelvis & ureter | 49 | 25 | 24 | - | - | - | - | ||
| Multifocality | Single | 278 | 137 | 141 | 0.574 | - | - | - | - |
| Multifocal | 62 | 33 | 29 | - | - | - | - | ||
| Primary tumor (T) | Ta | 89 | 57 | 32 | <0.001 * | 84 | 56 | 28 | <0.001 * |
| T1 | 92 | 54 | 38 | 88 | 43 | 45 | |||
| T2–T4 | 159 | 59 | 100 | 123 | 48 | 75 | |||
| Nodal metastasis | Negative (N0) | 312 | 165 | 147 | <0.001 * | 266 | 136 | 130 | 0.177 |
| Positive (N1–N2) | 28 | 5 | 23 | 29 | 11 | 18 | |||
| Histological grade | Low grade | 56 | 37 | 19 | 0.008 * | 56 | 40 | 16 | <0.001 * |
| High grade | 284 | 133 | 151 | 239 | 107 | 132 | |||
| Vascular invasion | Absent | 234 | 138 | 96 | <0.001 * | 246 | 129 | 117 | 0.045 * |
| Present | 106 | 32 | 74 | 49 | 18 | 31 | |||
| Perineural invasion | Absent | 321 | 162 | 159 | 0.479 | 275 | 139 | 136 | 0.362 |
| Present | 19 | 8 | 11 | 20 | 8 | 12 | |||
| Mitotic rate (per 10 high power fields) | <10 | 173 | 92 | 81 | 0.233 | 139 | 71 | 68 | 0.686 |
| ≥10 | 167 | 78 | 89 | 156 | 76 | 80 | |||
| Parameter | Category | Case No. | Disease-Specific Survival | Metastasis-Free Survival | ||||||||
|---|---|---|---|---|---|---|---|---|---|---|---|---|
| Univariate Analysis | Multivariate Analysis | Univariate Analysis | Multivariate Analysis | |||||||||
| No. of Event | p-Value | R.R. | 95% CI | p-Value | No. of Event | p-Value | R.R. | 95% CI | p-Value | |||
| Gender | Male | 158 | 28 | 0.8286 | - | - | - | 32 | 0.7904 | - | - | - |
| Female | 182 | 33 | - | - | - | 38 | - | - | - | |||
| Age (years) | <65 | 138 | 26 | 0.9943 | - | - | - | 30 | 0.8470 | - | - | - |
| ≥65 | 202 | 35 | - | - | - | 40 | - | - | - | |||
| Tumor side | Right | 177 | 34 | 0.7366 | - | - | - | 38 | 0.3074 | - | - | - |
| Left | 154 | 26 | - | - | - | 32 | - | - | - | |||
| Bilateral | 9 | 1 | - | - | - | 0 | - | - | - | |||
| Tumor location | Renal pelvis | 141 | 24 | 0.0079 * | 1 | - | 0.934 | 31 | 0.0659 | - | - | - |
| Ureter | 150 | 22 | 0.864 | 0.467–1.601 | 25 | - | - | - | ||||
| Renal pelvis& ureter | 49 | 15 | 1.430 | 0.392–5.215 | 14 | - | - | - | ||||
| Multifocality | Single | 273 | 48 | 0.0026 * | 1 | - | 0.005 * | 52 | 0.0127 * | 1 | - | <0.001 * |
| Multifocal | 62 | 18 | 3.026 | 1.400–6.539 | 18 | 2.897 | 1.657–5.065 | |||||
| Primary tumor (T) | Ta | 89 | 2 | <0.0001 * | 1 | - | 0.035 * | 4 | <0.0001 * | 1 | - | 0.037 * |
| T1 | 92 | 9 | 4.810 | 1.009–22.935 | 15 | 4.390 | 1.403–13.739 | |||||
| T2–T4 | 159 | 50 | 5.640 | 1.223–26.013 | 51 | 2.990 | 0.920–9.723 | |||||
| Nodal metastasis | Negative (N0) | 312 | 42 | <0.0001 * | 1 | - | <0.001 * | 55 | <0.0001 * | 1 | - | 0.010 * |
| Positive (N1-N2) | 28 | 19 | 4.062 | 2.187–7.535 | 15 | 2.262 | 1.217–4.205 | |||||
| Histological grade | Low grade | 56 | 4 | 0.0215 * | 1 | - | 0.052 | 3 | 0.0027 * | 1 | - | 0.265 |
| High grade | 284 | 57 | 2.701 | 0.933–7.348 | 67 | 1.592 | 0.703–3.606 | |||||
| Vascular invasion | Absent | 234 | 24 | <0.0001 * | 1 | - | 0.309 | 26 | <0.0001 * | 1 | - | 0.016 * |
| Present | 106 | 37 | 1.371 | 0.746–2.518 | 44 | 2.186 | 1.156–4.132 | |||||
| Perineural invasion | Absent | 321 | 50 | <0.0001 * | 1 | - | <0.001 * | 61 | <0.0001 * | 1 | - | 0.001 * |
| Present | 19 | 11 | 4.753 | 2.274–9.931 | 9 | 3.634 | 1.706–7.740 | |||||
| Mitotic rate (per 10 high power fields) | <10 | 173 | 27 | 0.167 | - | - | 30 | 0.0823 | - | - | ||
| ≥10 | 167 | 34 | - | - | 40 | - | - | |||||
| ROR2 expression | Low | 170 | 11 | <0.0001 * | 1 | - | 0.001 * | 9 | <0.0001 * | 1 | - | <0.001 * |
| High | 170 | 45 | 3.302 | 1.621–6.727 | 61 | 6.691 | 3.181–14.075 | |||||
| Parameter | Category | Case No. | Disease-Specific Survival | Metastasis-Free Survival | ||||||||
|---|---|---|---|---|---|---|---|---|---|---|---|---|
| Univariate Analysis | Multivariate Analysis | Univariate Analysis | Multivariate Analysis | |||||||||
| No. of Event | p-Value | R.R. | 95% CI | p-Value | No. of Event | p-Value | R.R. | 95% CI | p-Value | |||
| Gender | Male | 216 | 41 | 0.4446 | - | - | - | 60 | 0.2720 | - | - | - |
| Female | 79 | 11 | - | - | - | 16 | - | - | - | |||
| Age (years) | <65 | 121 | 17 | 0.1136 | - | - | - | 31 | 0.6875 | - | - | - |
| ≥65 | 174 | 35 | - | - | - | 45 | - | - | - | |||
| Primary tumor (T) | Ta | 84 | 1 | <0.0001 * | 1 | - | <0.001 * | 4 | <0.0001 * | 1 | - | 0.001 * |
| T1 | 88 | 9 | 5.708 | 0.612–53.214 | 23 | 4.603 | 1.317–16.085 | |||||
| T2–T4 | 123 | 42 | 24.526 | 2.818–213.432 | 49 | 7.448 | 2.182–25.426 | |||||
| Nodal metastasis | Negative (N0) | 266 | 41 | 0.0002 * | 1 | - | 0.194 | 61 | <0.0001 * | 1 | - | 0.167 |
| Positive (N1–N2) | 29 | 11 | 1.602 | 0.787–3.263 | 15 | 2.108 | 1.132–3.925 | |||||
| Histological grade | Low grade | 56 | 2 | 0.0013 * | 1 | - | 0.969 | 5 | 0.0007 * | 1 | - | 0.614 |
| High grade | 239 | 50 | 0.970 | 0.211–4.462 | 71 | 1.031 | 0.365–2.910 | |||||
| Vascular invasion | Absent | 246 | 37 | 0.0024 * | 1 | - | 0.136 | 54 | 0.0001 * | 1 | - | 0.928 |
| Present | 49 | 15 | 0.581 | 0.285–1.187 | 22 | 0.935 | 0.507–1.724 | |||||
| Perineural invasion | Absent | 275 | 44 | 0.0001 * | 1 | - | 0.067 | 66 | 0.0007 * | 1 | - | 0.326 |
| Present | 20 | 8 | 2.226 | 0.946–5.240 | 10 | 1.472 | 0.691–3.136 | |||||
| Mitotic rate (per 10 high power fields) | <10 | 139 | 12 | <0.0001 * | 1 | - | 0.013 * | 23 | <0.0001 * | 1 | - | 0.012 * |
| ≥10 | 156 | 40 | 2.381 | 1.198–4.732 | 53 | 1.967 | 1.162–3.329 | |||||
| ROR2 expression | Low | 147 | 9 | <0.0001 * | 1 | - | 0.013 * | 19 | <0.0001 * | 1 | - | <0.001 * |
| High | 148 | 43 | 2.166 | 1.178–3.983 | 57 | 2.786 | 1.646–4.714 | |||||
| Parameter | Category | Case No. | Bladder Recurrence-Free Survival | ||||
|---|---|---|---|---|---|---|---|
| Univariate Analysis | Multivariate Analysis | ||||||
| No. of Event | p-Value | R.R. | 95% CI | p-Value | |||
| Gender | Male | 125 | 46 | 0.3370 | - | - | - |
| Female | 47 | 19 | - | - | - | ||
| Age (years) | <65 | 70 | 30 | 0.3857 | - | - | - |
| ≥65 | 102 | 35 | - | - | - | ||
| Primary tumor (T) | Ta | 84 | 27 | 0.0193 * | 1 | - | 0.765 |
| T1 | 88 | 38 | 1.098 | 0.597–2.019 | |||
| Histological grade | Low grade | 54 | 15 | 0.0101 * | 1 | - | 0.261 |
| High grade | 118 | 50 | 1.513 | 0.735–3.115 | |||
| Vascular invasion | Absent | 171 | 65 | 0.6639 | - | - | - |
| Present | 1 | 0 | - | - | - | ||
| Perineural invasion | Absent | 169 | 64 | 0.4725 | - | - | - |
| Present | 3 | 1 | - | - | - | ||
| Mitotic rate (per 10 high power fields) | <10 | 94 | 35 | 0.1853 | - | - | - |
| ≥10 | 78 | 30 | - | - | - | ||
| ROR2 expression | Low | 99 | 20 | <0.0001 * | 1 | - | <0.001 * |
| High | 73 | 45 | 3.033 | 1.758–5.233 | |||
Publisher’s Note: MDPI stays neutral with regard to jurisdictional claims in published maps and institutional affiliations. |
© 2021 by the authors. Licensee MDPI, Basel, Switzerland. This article is an open access article distributed under the terms and conditions of the Creative Commons Attribution (CC BY) license (https://creativecommons.org/licenses/by/4.0/).
Share and Cite
Yeh, C.-F.; Chan, T.-C.; Ke, H.-L.; Chen, T.-J.; Wu, L.-C.; Lee, H.-Y.; Wei, Y.-C.; Wu, W.-J.; Li, C.-F.; Li, W.-M. Prognostic Significance of ROR2 Expression in Patients with Urothelial Carcinoma. Biomedicines 2021, 9, 1054. https://doi.org/10.3390/biomedicines9081054
Yeh C-F, Chan T-C, Ke H-L, Chen T-J, Wu L-C, Lee H-Y, Wei Y-C, Wu W-J, Li C-F, Li W-M. Prognostic Significance of ROR2 Expression in Patients with Urothelial Carcinoma. Biomedicines. 2021; 9(8):1054. https://doi.org/10.3390/biomedicines9081054
Chicago/Turabian StyleYeh, Cheng-Fa, Ti-Chun Chan, Hung-Lung Ke, Tzu-Ju Chen, Li-Ching Wu, Hsiang-Ying Lee, Yu-Ching Wei, Wen-Jeng Wu, Chien-Feng Li, and Wei-Ming Li. 2021. "Prognostic Significance of ROR2 Expression in Patients with Urothelial Carcinoma" Biomedicines 9, no. 8: 1054. https://doi.org/10.3390/biomedicines9081054
APA StyleYeh, C.-F., Chan, T.-C., Ke, H.-L., Chen, T.-J., Wu, L.-C., Lee, H.-Y., Wei, Y.-C., Wu, W.-J., Li, C.-F., & Li, W.-M. (2021). Prognostic Significance of ROR2 Expression in Patients with Urothelial Carcinoma. Biomedicines, 9(8), 1054. https://doi.org/10.3390/biomedicines9081054

