Next Article in Journal
Endothelial Aldehyde Dehydrogenase 2 as a Target to Maintain Vascular Wellness and Function in Ageing
Previous Article in Journal
Cytotoxic Effects of the Dual ErbB Tyrosine Kinase Inhibitor, Lapatinib, on Walker 256 Rat Breast Tumour and IEC-6 Rat Normal Small Intestinal Cell Lines
 
 
Font Type:
Arial Georgia Verdana
Font Size:
Aa Aa Aa
Line Spacing:
Column Width:
Background:
Review

Beneficial Biological Activities of Cinnamomum osmophloeum and Its Potential Use in the Alleviation of Oral Mucositis: A Systematic Review

1
PhD Program of Biotechnology and Industry, Da-Yeh University, Dacun, Changhua 51591, Taiwan
2
School of Dentistry, Baiturrahmah University, Kuranji, Padang 25155, Indonesia
3
Department of Material Science and Engineering, Da-Yeh University, Dacun, Changhua 51591, Taiwan
4
School of Nutrition, Chung Shan Medical University, Taichung 40201, Taiwan
5
Department of Nutrition, Chung Shan Medical University Hospital, Taichung 40201, Taiwan
6
Department of Food Science and Biotechnology, Da-Yeh University, Dacun, Changhua 51591, Taiwan
*
Author to whom correspondence should be addressed.
Biomedicines 2020, 8(1), 3; https://doi.org/10.3390/biomedicines8010003
Submission received: 19 November 2019 / Revised: 29 December 2019 / Accepted: 30 December 2019 / Published: 1 January 2020
(This article belongs to the Section Drug Discovery and Development)

Abstract

The aim of this review was to provide an updated overview of studies on the medical-biological activities of Cinnamomum osmophloeum (C. osmophloeum) in vitro and in vivo and the potential therapeutic use of natural agents prepared from this plant for the alleviation of oral mucositis (OM). Reported articles were collected using web search engine tools. The systematic review was organized according to the preferred reporting items for reviews and meta-analyses (PRISMA) statement. Additional sources were identified through cross-referencing to identify the potential use of C. osmophloeum in the alleviation of OM. The results disclosed that C. osmophloeum is comprised of bioactive ingredients that could act diversely as a reagent in anti-inflammation, antibacterial, antioxidant, anti-hyperglycemic, antidyslipidemia, anti-cancer, renal disease therapy and anti-hyperuricemia capacities. Recent studies revealed that the overall effects on anti-inflammation, wound repair, and the antibacterial and antioxidant activities of its constituents would act as a potential remedy for oral mucositis. Up-to-date in vitro and in vivo studies on the medical-biological activities of C. osmophloeum suggested that C. osmophloeum and its constituents could be promising remedies as adjuvants in OM therapy and warrant further investigation.

Graphical Abstract

1. Introduction

Cinnamon plants (Cinnamomum spp.) are of the genus Lauraceae, native to South and Southeast Asia, and are generally used as food flavors and traditional medicinal plants. Cinnamomum osmophloeum, commonly known as indigenous cinnamon or pseudocinnamon, is endemic to Taiwan’s natural hardwood forests [1]. Major components of the essential oils extracted from C. osmophloeum leaves explored by high-performance liquid chromatography (HPLC) are as follows: α-pinene, camphene, benzaldehyde, β-pinene, 3-pheayl pionaldehyde, cis-cinnamaldehyde, trans-cinnamaldehyde, isobornylacetate, eugenol, and cinnamil acetate [2]. The essential oils extracted from C. osmophloeum leaves comprise 101 volatile compounds, as identified by GC/MS analysis, including monoterpenoids, sesquiterpenoids, alcohols, phenols, aldehydes, ketones, esters, acids, and other miscellaneous compounds. It was demonstrated that the linalool chemotypes present in C. osmophloeum were as follows: linalool, trans-cinnamyl acetate, camphor, cinnamaldehyde, 3-phenyl-2-propenal, caryophyllene, coumarin, bornyl acetate, limonene, α-(+)-pinene, estragole, and caryophyllene oxide [3]. In several studies (both in vitro and in vivo), C. osmophloeum has been applied as an alternative natural therapy to treat certain compromised and uncompromised diseases [3,4,5,6,7].
Oral mucositis (OM) is known as the inflammation of oral mucosa, usually occurring as an adverse side-effect of chemotherapy and/or radiation therapy (radiotherapy), and is manifested as atrophy, swelling, erythema, and ulceration [8]. OM occurrence in the hospital might increase costs and deteriorate oral health quality of life [9,10,11]. Hence, oral care treatments, including nutritional care, pain control, oral cleansing, palliation of a dry mouth, bleeding handling, and medicinal interventions have been introduced to decrease the severity of OM after cancer therapy [12]. Patients receiving radiotherapy to head and neck areas are at a significant risk of developing oral mucositis. The risk is lower (less than 50% or little risk) in patients with prolonged chemotherapy, patients receiving surgery, and patients with radiotherapy to non-head and neck areas [10,13]. The underlying pathophysiology of OM is divided into five phases: (1) initiation, (2) primary damage response, (3) signaling and amplification, (4) ulceration (symptomatic phase), and (5) healing [14,15,16]. The first phase (initiation stage) happens after exposure to radiotherapy or chemotherapy. It consists of two events: DNA breakdown and the generation of reactive oxygen species (ROS). DNA strand breakdowns lead to direct injury and death of the cells, and reactive oxygen species play a role as key initiators and mediators of downstream biological events. During the second phase (primary damage response), activator transduction pathways are stimulated by the DNA breaks strand, which can lead to the activation of several transcription factors, including p53 and nuclear factor kappa-B (NF-κB). NF-κB works as a controller for the expression of a broad range of genes, and produces a series of mediators, including pro-inflammatory cytokines and both pro- and anti-apoptotic cellular changes. During phase III (signal amplification stage), pro-inflammatory cytokines deliver a positive reaction to enhance and accelerate the process of wound healing. During phase IV (ulceration phase, also called symptomatic phase), it is common for the mucosal surface to become re-infected with bacteria. Bacterial invasion stimulates macrophage accumulation to conceal additional amounts of pro-inflammatory cytokines. During phase V (healing stage), signals from the connective tissue to the bordering epithelium can activate the migration, propagation, and differentiation of cells, resulting in healed mucosa. A number of biomaterials explored for OM therapy perform their principal mechanisms linked to pathophysiology by depressing pro-inflammatory cytokines. In addition to anti-inflammation, antioxidant, antifungal, antibacterial, and immunomodulator mechanisms of action have been reported [17]. As one of the encouraging biomaterials, C. osmophloeum might be a potential alleviator of OM.
Previous studies on cinnamon have been limited to C. osmophloeum [1]. However, different species of cinnamon might possess diverse beneficial biological activities aiming at various medical therapies. Therefore, we have provided an updated extensive overview on studies of the medical-biological activities of C. osmophloeum and its principal ingredients, both in vitro and in vivo. The potential use of this natural component in oral mucositis therapy is also discussed.

2. Materials and Methods

A computerized search for the reported works was performed through PubMed®, Scopus, ScienceDirect, and Web of Science databases by using the key words “cinnamon osmophloeum”, “indigenous cinnamon”, and “pseudocinnamon”. A systematic review was conducted following PRISMA. In order to identify the potential use of C. osmophloeum in the alleviation of OM, additional sources were identified through cross-referencing.
In addition, previously published review articles were searched to gain additional information. In order to identify the potential use of C. osmophloeum in the alleviation of OM induced by radiotherapy and/or chemotherapy, a second computerized search using PubMed®, Scopus, ScienceDirect, and Web of Science databases was carried out by utilizing keywords with C. osmophloeum constituents that possess anti-inflammation, antioxidant, and antibacterial activities with OM, including “cinnamaldehyde + oral mucositis”, “trans-cinnamaldehyde + oral mucositis”, “kaempferitin + oral mucositis”, “kaempferol + oral mucositis”, “cinnamic acid + oral mucositis”, “cinnamyl alcohol + oral mucositis”, “cinnamyl acetate + oral mucositis”, “alloaromadendrene + oral mucositis”, and “linalool + oral mucositis”.

3. Results and Discussion

3.1. Medical-Biological Activities of C. osmophloeum

A set of 51 articles related to C. osmophloeum was identified, in which 18 articles were excluded because they were duplicate papers (n = 2), were not related to the beneficial biological activities (n = 2), or were irrelevant articles (n = 14). Irrelevant articles involved studies not related to medical uses, studies related to mushroom planting in C. osmophloeum, and review article(s) (Figure 1). Specific studies (2 to 4) discussed the beneficial biological activities [3,18,19,20,21,22] and suggested more than one chemical compound as the active content. Some beneficial biological activities have been summarized in Table 1 and consist of anti-inflammatory activities [20,22,23,24,25,26,27,28,29,30], wound repair activities [20], antibacterial activities [31,32], antifungal activities [33,34], antioxidant activities [18,20,35,36,37], anti-hyperglycemic activities [3,18,21], antidyslipidemia activities [38,39], anti-cancer and anti-tumor activities [22], renal disease therapy, and anti-hyperuricemia activities [2,4]. In addition, studies on the leaves, twigs, barks, heartwoods, and roots of C. osmophloeum were also reported.
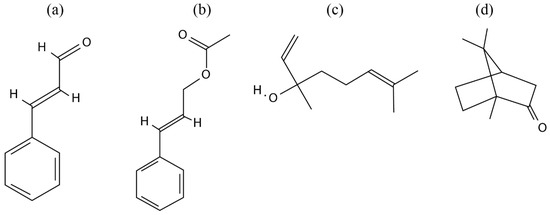
It was conveyed that C. osmophloeum comprised six chemotypes; cinnamaldehyde, cinnamaldehyde/cinnamyl acetate, cinnamyl acetate, linalool, camphor, and mixed types (Table 2). The chemical structures of cinnamaldehyde, cinnamyl acetate, linalool, and camphor are given in Figure 2. Most of the studies showed that the dominant chemical contents of the cinnamaldehyde type were cinammaldehyde/trans-cinnamaldehyde [2,29,31,32,33,34,36,37,47,48], benzaldehyde [32,33,37,48], benzenepropanal [37,47,48,49], and cinnamyl acetate/trans-cinnamyl acetate [2,29,36]. The cinnamaldehyde/cinnamyl acetate type encompassed cinnamyl acetate, trans-cinnamaldehyde, and benzenepropanal [34,48,49]. The cinnamyl acetate type included cinnamyl acetate [29,34], 2-methylbenzofuran, and geranyl acetate [34]. The linalool type contained linalool [3,29,34,48] and cinnamaldehyde/trans-cinnamaldehyde [3,34]. The camphor type contained camphor/D-(+)-camphor and L-bornyl acetate [29,34,36,48] and limonene [34,48]. The mixed type comprised spathulenol [24], neral [32,33], L-bornyl acetate/bornyl acetate [29,30,34,41,48], 1,8-cineol [24,32,33], T-cadinol, and α-cadinol [29,34,41,48].

3.1.1. Anti-Inflammatory and Wound Repair Activities

Numerous studies reported the anti-inflammatory effect of C. osmophloeum [24,25,26,28,29,30,40] and they have been applied to the medical treatment of animal organs, such as endotoxin-induced intestinal injury [27], pancreas protection [3], and lipopolysaccharide/D-galactosamine (LPS/D-GaIN)-induced acute hepatitis [6]. Some of these studies identified the specific constituents of C. osmophloeum that accounted for the anti-inflammatory effect [23,26,28,30,40]. For example, Kaempferitin, a constituent of C. osmophloeum, was reported to be an anti-inflammatory that could down-regulate the extracellular LDL-R (Low-Density Lipoprotein-Receptor), followed by ameliorating subsequent chronic inflammation-related diabetes mellitus [26]. Several constituents of C. osmophloeum, including trans-cinnamaldehyde, caryophyllene oxide, L-borneol, L-bornyl acetate, eugenol, β-caryophyllene, E-nerolidol, and cinnamyl, were demonstrated to be anti-inflammatory, which could suppress the synthesis of nitric oxide (NO) by LPS-stimulated macrophages through an identical mechanism [29,30]. Cinnamaldehyde was verified as the major anti-inflammation constituent whose activities were derived from the in vitro synthesis of LPS-stimulated macrophages [23].
Other constituents such as Kaempferol glycosides were associated with nitric oxide inhibitory activities [28]. In certain studies, linalool extracted from C. osmophloeum exhibited a protective effect on the pancreas by ameliorating pancreatic levels of interleukin (IL)-1β and nitric oxide [3], which play an important role in the prevention of LPS-induced inflammation in vivo [40].
C. osmophloeum has been used as a tyrosinase suppressor, which exhibited a substantial effect on wound repair. This phenomenon occurred through the inhibition of tyrosinase activity and reduced melanin content. Lee et al. carried out an animal experiment and explored the role of C. osmophloeum in wound repair and as an anti-oxidative agent. They evaluated a wound size assay, which revealed a decrease in the wound area by day 5 [20].
In light of the specific activities of the constituents of C. osmophloeum, it is noteworthy to mention that one specific and major constituent (flavanol glycosides) with outstanding properties was involved in inhibiting the production of NO and cytokines (TNF-a and IL-12), from LPS/IFNc-activated macrophages (inhibition of inflammatory activities) [25]. An additional study revealed the in vitro inhibitory effect of IL-1â and IL-6 production resulting from the 21 constituents of C. osmophloeum (cell-mediated immune response) observed [24]. Anti-inflammatory activity studies of C. osmophloeum have also been applied systemically in specific disease treatment [3,22,27,40]. Numerous mechanisms of inhibiting inflammation, including the compositional contents, mechanisms, anatomical parts, and promising investigations, have also been reported elsewhere [22,23,24,25,26,28,40,45].

3.1.2. Antimicrobial Activities

The literature survey indicated that several pathogenic bacteria, including Escherichia coli, Pseudomonas aeruginosa, Enterococcus faecalis, Staphylococcus aureus, Staphylococcus epidermidis, methicillin-resistant Staphylococcus aureus (MRSA), Klebsiella pneumoniae, Salmonella sp., and Vibrio parahaemolyticus have been used to investigate the antibacterial activity of C. osmophloeum [30]. For constituents of C. osmophloeum, the order of antibacterial activities was in the following sequence: cinnamaldehyde > cinnamic acid > cinnamyl alcohol > cinnamyl acetate. Cinnamaldehyde has been used as a bactericidal agent of Legionella pneumophila in vitro [31]. Two investigations confirmed that C. osmophloeum possesses antibacterial activities in both Gram-negative and Gram-positive bacteria [31,32]. Hence, further study should be carried out to examine animals infected by a specific group or both Gram-negative and Gram-positive bacteria.
C. osmophloeum also has antifungal properties in rot fungi, such as Coriolus versicolor, Lenzites betulina, Pycnoporus coccineus, Trichaptum abietinum, Oligoporus lowe, Laetiporus sulphureus, Antrodia taxa, Fomitopsis pinicola, and Phaeolus schweinitzii [33,34].

3.1.3. Antioxidant Activities

As one of the biomaterials commonly used for traditional medical therapy, C. osmophloeum has been reported to be antioxidative, and its properties encompassing other medical-biological effects have been assessed systematically and independently by researchers worldwide [18,20,35,36,37,41].
For the analysis of anti-oxidant activities, both in vitro [18,20,35,37,41] and in vivo [35,36] investigations have been carried out. The investigations consisted of several studies: a 2,2-diphenyl-1-picrylhydrazyl (DPPH) scavenging activity assay [18,20,35], a superoxide radical scavenging assay (NBT Assay), reducing power, lipid peroxidation using mouse brain homogenates, the metal chelating ability, photochemiluminescence (PCL) [35], and an oxidative stress resistance assay [36]. Several constituents of C. osmophloeum comprising trans-cinnamaldehyde [36], alloaromadendrene [41], and kaempferol-7-O-rhamnoside [35] were proven to possess antioxidant properties.
DPPH and NBT Assays reported the antioxidant activities of kaempferol-7-O-rhamnoside [35]. The content had an excellent inhibitory effect on rat aldose reductase [51]. The flavonoid glycoside was proven to be the key antioxidant in a C. osmophloeum twig ethanolic extract [35]. These activities are associated with beneficial health effects. Therefore, cinnamomum has been widely used for its medicinal purpose and in nutritional food [52].

3.1.4. Antidyslipidemic Activities

The activity of C. osmophloeum in lowering the cholesterol level was investigated by Lin et al. They showed that both Kaempferol and kaempferitrin from C. osmophloeum have antidyslipidemic activity [38]. Furthermore, the S-(þ)-linalool in C. osmophloeum was also reported to have hypolipidemic activity by inhibiting the accumulation of body fat through downregulating adipocyte differentiation [39]. Two in vivo studies disclosed encouraging results demonstrating that S-(þ)-linalool was effective at cutting lipid accumulation. They also showed that low-density lipoprotein (LDL) was significantly decreased compared to high-density lipoprotein (HDL) [38,39].

3.1.5. Anti-Hyperglycemic Activities

Diabetes mellitus (DM) has become a serious medical problem. Numerous studies have been conducted by adapting natural materials as DM therapy. Among these bio-resource candidates, C. osmophloeum is one of the promising candidates. Proanthocyanidin and tannin from C. osmophloeum may possess anti-hyperglycemic activity [21]. CoTE (C. osmophloeum twig extracts) showed protein tyrosine phosphatase 1B inhibitory (PTP1B) activity to improve the insulin or leptin resistance [18]. Linalool, the constituent of the essential oil of C. Osmophloeum, might ameliorate the pancreatic values of thiobarbituric acid reactive substances. The activities of superoxide dismutase and glutathione reductase ameliorated pancreatic levels of IL-1β and NO in vivo in streptozotocin-diabetes mellitus (STZ-DM)) animals [3]. It was reported that a higher degree of polymerization of proanthocyanidins correlates with the inhibitory activity of α-glucosidase and α-amylase [21]. The studies explored leaves and twigs with different contents for decreasing the blood glucose level and treating diabetes mellitus. The results indicated that the leaves were more effective than the twigs, which contained less linalool. Moreover, in a practical sense, the leaves were much easier to preserve than twigs.

3.1.6. Effects on the Cardiovascular System

Cinnamaldehyde was shown to be one of the protective ingredients for cerebral microvascular endothelial cells in mice induced by aortic banding (AB) by reducing IL-1β-induced cyclooxygenase-2 (COX-2) activity [53]. In addition, the protective role of cinnamaldehyde in cardiac hypertrophy induced by AB was related to its regulatory effect on the ERK1/2 signaling pathway [7]. The effect on the cardiovascular system was related to the anti-inflammatory mechanism [7,53]. The authors introduced cinnamaldehyde as a major compound extracted from C. osmophloeum and it was bought from Sigma-Aldrich (USA). It was discussed that Cinnamomum cassia (C. cassia) would be a potential drug for cardiovascular disease [7]. Unreliable cinnamon species (C. cassia or C. osmophloeum) used in the report would be a critical issue to clarify because the authors may have been inconsistent in discussing the species of cinnamon.

3.1.7. Effect on Renal Disease and Anti-Hyperuricemia

It was reported that cinnamaldehyde in C. osmophloeum successfully inhibited the high glucose-induced hypertrophy of renal interstitial fibroblasts, as indicated by the decreased cell size; the falling cellular hypertrophy index; and the descending protein levels of collagen IV, fibronectin, and α-smooth muscle actin [4]. In order to decrease the level of uricemia, several in vivo study reports confirmed the proposed mechanisms [2,5]. The cinnamaldehyde type of C. osmophloeum leaf oil demonstrated anti-hyperuricemia effects through its xanthine oxidase inhibitory activity. Xanthine oxidase can catalyze the oxidation of hypoxanthine/xanthine to produce uric acid. Gout and hyperuricemia are caused by an excessive accumulation of uric acid [2,19].

3.1.8. Anti-Tumor and Anti-Cancer Activity

Trans-cinnamaldehyde, a bioactive content of C. osmophloeum, showed an inhibition of tumor growth [46,54,55]. It could stimulate Ca2+ entry with subsequent cell membrane scrambling and cell shrinkage, hallmarks of eryptosis, and the suicidal death of erythrocytes [46]. Trans-cinnamaldehyde exposure induced cell death via caspase-dependent and -independent pathways resulting from the depletion or induction of ROS [54]. Lignan ester, one of the C. osmophloeum constituents, was shown to be a possible anticancer compound (liver and oral cancer). The cytotoxicity had a significant effect on human liver cancer (HepG2 and Hep3B) and oral cancer (Ca9-22) cells [42].

3.2. Potential Use of C. osmophloeum for the Treatment of Oral Mucositis (OM)

The current protocols of medicine for chemotherapy are associated with oral mucositis. Cytarabine, high-dose 5-fluororacil, alkylating agents, and platinum-based compounds are highly associated with the incidence of oral mucositis. Actinomycin D, amsacrin, bleomycin, busulfan, capecitabine, carboplatin, chlorambucil, cisplatin, cytarabine, docetaxel, doxorubicin, etoposide, floxuridine, ifofsamide, irinotecan, leucovorin, methotrexate, mitoxantron, oxaliplatin, paclitaxel, plicamycin, tioguanin, vinblastine, vincristine, vindecine, and vinorelbine (the protocol can be combined) are the medicines used for chemotherapy and are reported to lead to the development of oral mucositis [56,57]. In order to prevent oral mucositis, the Multinational Association of Supportive Care in Cancer (MASCC) and International Society of Oral Oncology (ISOO) help clinics by comprising Clinical Practice Guidelines for Oral Mucositis [58]. The recommendations are comprised of basic oral care, growth factors and cytokines, anti-inflammatory agents, laser and other light therapy, cryotherapy, and natural and miscellaneous agents (Table 3). Köstler et al. provided several experimental approaches to treat oral mucositis; they included locally applied non-pharmacological methods, anti-inflammatory and mucosa protectant agents, cytokines, granulocyte colony-stimulating factor (G-CSF, filgrastim) and granulocyte-macrophage colony-stimulating factor (GM-CSF, molgramostim), antiseptic agents, corticosteroids, mouth-coating agents, and dexpanthenol [57].
The study of C. osmophloeum and/or its constituents in OM are limited. In one study, the effect of cinnamaldehyde on oral mucositis and an evaluation of the salivary total antioxidant capacity of gamma-irradiated rats were carried out. The saliva samples were taken from the rats in triplicate [59]. In order to evaluate the consequences and severity of mucositis, the conditions of the oral cavity were assessed by using Parkin’s clinical scale, where 0 represents normal mucosa, 0.5 indicates normally pink mucosa, 1 stands for minor red mucosa, 2 is severe red mucosa, 3 is local desquamation, 4 describes exudation and crust around less than half of the lip area, and 5 characterizes exudation and crust for more than half of the lip area [60]. The authors concluded that the clinical effects in the intervention group seemed to be due to the antioxidant, antibacterial, and anti-inflammatory effects of cinnamaldehyde. It is noteworthy to mention that through anti-inflammation and antioxidant mechanisms, cinnamaldehyde would delay the onset of oral mucositis. Moreover, alteration in the oral microflora of existing bacteria in the fourth phase (ulceration phase) could exacerbate the severity of mucositis, whereas cinnamaldehyde alleviated oral mucositis via its antibacterial properties [59]. A recent investigation reported the effect of cinnamon bark fractions (an essential oil and an aqueous extract) on Candida albicans growth inhibition (growth, biofilm formation, and adherence properties) and oral epithelial cells (barrier integrity and inflammatory response) [61]. The anti-adherence and anti-inflammatory properties of proanthocyanidins, a family of polyphenols containing flavan-3-ol oligomers and polymers, are used to treat oral infections [61,62]. The two pro-inflammatory cytokines, IL-6 and IL-8, which serve as important cytokines in the development of oral mucositis, were reduced by an aqueous extract enriched with proanthocyanidins of the cinnamon fraction. This shows that the cinnamon presented in the study may be a promising agent in the alleviation of oral mucositis [61].
Other biomaterials or herbal products, such as Aloe vera, Acacia catechu, Chamomile, Hangeshashinto, indigowood root (Isatis indigotica Fort.), honey, Traumeel S, water grass decoction, and Weleda Ratanhia, also showed similar effects on the alleviation of OM via anti-inflammation activities [17,63,64,65,66,67,68,69,70,71,72]. The bioactive properties of the yarrow plant (Achillea mileofolium), honey, Callendula officinalis flowers, Hipophae rhamnoides L. plant, Chamomile, and Aloe vera were associated with antioxidant, anti-inflammatory, antibacterial, and wound healing effects of oral mucositis therapy (Table 4) [64,65,66,72,73,74,75,76,77]. Similar to the advantages of the medical-biological activities of these herbal agents, C. osmophloeum would provide an identical mechanism for relieving oral mucositis.
According to antibacterial mechanisms, several studies demonstrated bacterial changes due to radiotherapy and/or chemotherapy [85]. The bacteria were Gemella haemolysans, Streptococcus mitis [86], Escherichia coli, Pseudomonas aeruginosa, Enterobacter sp., Klebsiella pneumonia [87], Staphylococcus aureus, Staphylococcus epidermidis, Parvimonasmicra, Fusobacterium nucleatum, Treponema denticola, C. glabrata, C. kefyr [88], and Porphyromonas gingivalis [89]. Among these bacteria, C. osmophloeum has been confirmed to possess the antibacterial properties of Pseudomonas aeruginosa, Staphylococcus aureus, and Staphylococcus epidermidis (Figure 3) [32].
Flavanoid-rich fractions containing kaempferitin in Bauhinia forficata leaves have been investigated and shown to be effective ingredients for preventing the intestinal toxic effects of irinotecan chemotherapy. It was stated that kaempferitin, as one of the major active contents of C. osmophloeum, has been tested to prevent or reduce the severity of intestinal mucositis [26,90]. The chemotherapy drug 5-Fluororacil possesses side effects (i.e., induces mucositis manifestations in oral and gastrointestinal after chemotherapy). Chimonatus Nitens var. salicifolius aqueous extract contains three flavonoid contents: quercetin, kaempferol, and rutin, which might have an anti-inflammatory effect on gastrointestinal mucositis [91]. Kaempferol, cinamic acid, and nine other constituents obtained in mucoadhesive propolis agent have been proven to be effective in reducing radiation-induced oral mucositis. A clinical study of 24 patients revealed that mucositis only developed in two patients and each developed grade 1 mucositis and grade 2 mucositis, respectively; however, in the remaining 20 patients, mucositis did not develop [92].
Previous studies investigated the potential of C. osmophloeum to reduce oral mucositis. Nonetheless, C. osmopohloeum, which is a species of cinnamon, faces challenges in its use as an oral treatment. In addition, this review has several limitations. First, there are limited data on the medical-biological effects of C. osmophloeum and its potential use in oral mucositis therapy. Secondly, the reported events related to oral stomatitis allergy induced by cinnamon should be a concern [93,94,95]. In summary, C. osmophloeum and its constituent are anticipated to be effective and efficient in reducing the severity of OM by preventing secondary bacterial infection through their bactericidal activity, preventing the development of the second phase of OM (the primary damage response) or interrupting the third phase in which pro-inflammatory cytokines could enhance and accelerate the process of wound healing (Figure 4).

4. Conclusions

In conclusion, in vitro and animal studies have revealed the various medical-biological activities of C. osmophloeum encompassing anti-inflammatory, antibacterial, antioxidant, anti-tumor and anti-cancer, anti-hyperglycemic, anti-hyperuricemia, and antidyslipidemic activities and the effect on the cardiovascular system that have been used for renal disease therapy. Various chemical contents identified in C. osmophloeum contribute to its valuable medical bioactivities. Several medical-biological activities are attributed to the active ingredients of C. osmophloeum for OM therapy. The key to OM alleviation could be the anti-inflammatory effect of C. osmophloeum, as the activation of several transcription factors might release the inflammatory reaction in the second phase of OM. The antibacterial and antioxidant properties of CO might also alleviate OM. These effects might occur during the first phase of OM, preventing the generation of reactive oxygen species, or in the fourth phase, inhibiting colonized bacteria. It was suggested that bacterial cell wall products could be prevented from entering the oral submucosa.

Author Contributions

A.B. and S.-C.L. conceived and designed the work, A.B. and V.N. collected the data (computerized search), P.-C.Y. and C.-T.L. verified the analytical methods, A.B. and S.-C.L. organized the paper, and P.-C.Y. and S.-C.L. analyzed the findings of this work. All authors discussed the results and contributed to the final manuscript. All authors have read and agreed to the published version of the manuscript.

Funding

The authors acknowledge the financial support by a grant from the Ministry of Science and Technology, Taiwan, ROC (NSC 101-2324-B-040-008-MY3).

Conflicts of Interest

The authors declare no conflicts of interest. The funders had no role in the design of the study; in the collection, analyses, or interpretation of data; in the writing of the manuscript, or in the decision to publish the results.

References

  1. Ribeiro-Santos, R.; Andrade, M.; Madella, D.; Martinazzo, A.P.; de Aquino Garcia Moura, L.; de Melo, N.R.; Sanches-Silva, A. Revisiting an ancient spice with medicinal purposes: Cinnamon. Trends Food Sci. Technol. 2017, 62, 154–169. [Google Scholar] [CrossRef]
  2. Wang, S.Y.; Yang, C.W.; Liao, J.W.; Zhen, W.W.; Chu, F.H.; Chang, S.T. Essential oil from leaves of Cinnamomum osmophloeum acts as a xanthine oxidase inhibitor and reduces the serum uric acid levels in oxonate-induced mice. Phytomedicine 2008, 15, 940–945. [Google Scholar] [CrossRef] [PubMed]
  3. Lee, S.-C.; Xu, W.-X.; Lin, L.-Y.; Yang, J.-J.; Liu, C.-T. Chemical Composition and Hypoglycemic and Pancreas-Protective Effect of Leaf Essential Oil from Indigenous Cinnamon (Cinnamomum osmophloeum Kanehira). J. Agric. Food Chem. 2013, 61, 4905–4913. [Google Scholar] [CrossRef]
  4. Chao, L.K.; Chang, W.T.; Shih, Y.W.; Huang, J.S. Cinnamaldehyde impairs high glucose-induced hypertrophy in renal interstitial fibroblasts. Toxicol Appl. Pharm. 2010, 244, 174–180. [Google Scholar] [CrossRef] [PubMed]
  5. Huang, J.-S.; Lee, Y.-H.; Chuang, L.-Y.; Guh, J.-Y.; Hwang, J.-Y. Cinnamaldehyde and Nitric Oxide Attenuate Advanced Glycation End Products-Induced the JAK/STAT Signaling in Human Renal Tubular Cells. J. Cell. Biochem. 2015, 116, 1028–1038. [Google Scholar] [CrossRef]
  6. Tung, Y.-T.; Huang, C.-C.; Ho, S.-T.; Kuo, Y.-H.; Lin, C.-C.; Lin, C.-T.; Wu, J.-H. Bioactive Phytochemicals of Leaf Essential Oils of Cinnamomum osmophloeum Prevent Lipopolysaccharide/d-Galactosamine (LPS/d-GalN)-Induced Acute Hepatitis in Mice. J. Agric. Food Chem. 2011, 59, 8117–8123. [Google Scholar] [CrossRef]
  7. Yang, L.; Wu, Q.-Q.; Liu, Y.; Hu, Z.-F.; Bian, Z.-Y.; Tang, Q.-Z. Cinnamaldehyde attenuates pressure overload-induced cardiac hypertrophy. Int. J. Clin. Exp. Pathol. 2015, 8, 14345–14354. [Google Scholar]
  8. Raber-Durlacher, J.E.; Elad, S.; Barasch, A. Oral mucositis. Oral Oncol. 2010, 46, 452–456. [Google Scholar] [CrossRef]
  9. Elting, L.S.; Cooksley, C.D.; Chambers, M.S.; Garden, A.S. Risk, Outcomes, and Costs of Radiation-Induced Oral Mucositis Among Patients With Head-and-Neck Malignancies. Int. J. Radiat. Oncol. Biol. Phys. 2007, 68, 1110–1120. [Google Scholar] [CrossRef]
  10. Elting, L.S.; Keefe, D.M.; Sonis, S.T.; Garden, A.S.; Spijkervet, F.K.L.; Barasch, A.; Tishler, R.B.; Canty, T.P.; Kudrimoti, M.K.; Vera-Llonch, M.; et al. Patient-reported measurements of oral mucositis in head and neck cancer patients treated with radiotherapy with or without chemotherapy. Cancer 2008, 113, 2704–2713. [Google Scholar] [CrossRef]
  11. Murphy, B.A.; Beaumont, J.L.; Isitt, J.; Garden, A.S.; Gwede, C.K.; Trotti, A.M.; Meredith, R.F.; Epstein, J.B.; Le, Q.-T.; Brizel, D.M.; et al. Mucositis-Related Morbidity and Resource Utilization in Head and Neck Cancer Patients Receiving Radiation Therapy With or Without Chemotherapy. J. Pain Symptom Manag. 2009, 38, 522–532. [Google Scholar] [CrossRef] [PubMed]
  12. Lalla, R.V.; Sonis, S.T.; Peterson, D.E. Management of oral mucositis in patients who have cancer. Dent. Clin. North. Am. 2008, 52, 61-viii. [Google Scholar] [CrossRef] [PubMed]
  13. Sonis, S.; Treister, N. Oral mucositis. In Oral complications of cancer and its management, 1st ed.; Davies, A., Epstein, J., Eds.; Oxford Universirty Press: Oxford, UK; New York, NY, USA, 2010; Volume 1, pp. 141–148. [Google Scholar]
  14. Sonis, S.T. Pathobiology of oral mucositis: Novel insights and opportunities. J. Supportive Oncol. 2007, 5, 3–11. [Google Scholar]
  15. Sonis, S.T. New thoughts on the initiation of mucositis. Oral Dis. 2010, 16, 597–600. [Google Scholar] [CrossRef] [PubMed]
  16. Sonis, S.T. The pathobiology of mucositis. Nat. Rev. Cancer 2004, 4, 277–284. [Google Scholar] [CrossRef] [PubMed]
  17. Baharvand, M.; Jafari, S.; Mortazavi, H. Herbs in Oral Mucositis. J. Clin. Diagn Res. 2017, 11, ZE05–ZE11. [Google Scholar] [CrossRef]
  18. Lin, G.M.; Chen, Y.H.; Yen, P.L.; Chang, S.T. Antihyperglycemic and antioxidant activities of twig extract from Cinnamomum osmophloeum. J. Tradit Complement. Med. 2016, 6, 281–288. [Google Scholar] [CrossRef]
  19. Huang, C.-Y.; Yeh, T.-F.; Hsu, F.-L.; Lin, C.-Y.; Chang, S.-T.; Chang, H.-T. Xanthine Oxidase Inhibitory Activity and Thermostability of Cinnamaldehyde-Chemotype Leaf Oil of Cinnamomum osmophloeum Microencapsulated with β-Cyclodextrin. Molecules 2018, 23, 1107. [Google Scholar] [CrossRef]
  20. Lee, M.-G.; Kuo, S.-Y.; Yen, S.-Y.; Hsu, H.-F.; Leung, C.-H.; Ma, D.-L.; Wen, Z.-H.; Wang, H.-M.D. Evaluation of Cinnamomum osmophloeum Kanehira Extracts on Tyrosinase Suppressor, Wound Repair Promoter, and Antioxidant. Sci. World J. 2015, 2015, 7. [Google Scholar] [CrossRef]
  21. Lin, G.-M.; Lin, H.-Y.; Hsu, C.-Y.; Chang, S.-T. Structural characterization and bioactivity of proanthocyanidins from indigenous cinnamon (Cinnamomum osmophloeum). J. Sci. Food Agric. 2016, 96, 4749–4759. [Google Scholar] [CrossRef]
  22. Rao, Y.K.; Fang, S.-H.; Tzeng, Y.-M. Evaluation of the anti-inflammatory and anti-proliferation tumoral cells activities of Antrodia camphorata, Cordyceps sinensis, and Cinnamomum osmophloeum bark extracts. J. Ethnopharmacol. 2007, 114, 78–85. [Google Scholar] [CrossRef] [PubMed]
  23. Chao, L.K.; Hua, K.-F.; Hsu, H.-Y.; Cheng, S.-S.; Lin, I.F.; Chen, C.-J.; Chen, S.-T.; Chang, S.-T. Cinnamaldehyde inhibits pro-inflammatory cytokines secretion from monocytes/macrophages through suppression of intracellular signaling. Food Chem. Toxicol. 2008, 46, 220–231. [Google Scholar] [CrossRef] [PubMed]
  24. Chao, L.K.; Hua, K.-F.; Hsu, H.-Y.; Cheng, S.-S.; Liu, J.-Y.; Chang, S.-T. Study on the Antiinflammatory Activity of Essential Oil from Leaves of Cinnamomum osmophloeum. J. Agric. Food Chem. 2005, 53, 7274–7278. [Google Scholar] [CrossRef] [PubMed]
  25. Fang, S.-H.; Rao, Y.K.; Tzeng, Y.-M. Inhibitory effects of flavonol glycosides from Cinnamomum osmophloeum on inflammatory mediators in LPS/IFN-γ-activated murine macrophages. Bioorganic Med. Chem. 2005, 13, 2381–2388. [Google Scholar] [CrossRef] [PubMed]
  26. Ku, W.-c.; Chang, Y.-l.; Wu, S.-f.; Shih, H.-n.; Tzeng, Y.-m.; Kuo, H.-r.; Chang, K.-m.; Agrawal, D.C.; Liu, B.-l.; Chang, C.-a.; et al. A comparative proteomic study of secretomes in kaempferitrin-treated CTX TNA2 astrocytic cells. Phytomedicine 2017, 36, 137–144. [Google Scholar] [CrossRef]
  27. Lee, S.-C.; Hsu, J.-S.; Li, C.-C.; Chen, K.-M.; Liu, C.-T. Protective Effect of Leaf Essential Oil from Cinnamomum osmophloeum Kanehira on Endotoxin-Induced Intestinal Injury in Mice Associated with Suppressed Local Expression of Molecules in the Signaling Pathways of TLR4 and NLRP3. PLoS ONE 2015, 10, e0120700. [Google Scholar] [CrossRef]
  28. Lin, H.-Y.; Chang, S.-T. Kaempferol glycosides from the twigs of Cinnamomum osmophloeum and their nitric oxide production inhibitory activities. Carbohydr. Res. 2012, 364, 49–53. [Google Scholar] [CrossRef]
  29. Tung, Y.T.; Yen, P.L.; Lin, C.Y.; Chang, S.T. Anti-inflammatory activities of essential oils and their constituents from different provenances of indigenous cinnamon (Cinnamomum osmophloeum) leaves. Pharm. Biol. 2010, 48, 1130–1136. [Google Scholar] [CrossRef]
  30. Tung, Y.-T.; Chua, M.-T.; Wang, S.-Y.; Chang, S.-T. Anti-inflammation activities of essential oil and its constituents from indigenous cinnamon (Cinnamomum osmophloeum) twigs. Bioresour. Technol. 2008, 99, 3908–3913. [Google Scholar] [CrossRef]
  31. Chang, C.W.; Chang, W.L.; Chang, S.T.; Cheng, S.S. Antibacterial activities of plant essential oils against Legionella pneumophila. Water Res. 2008, 42, 278–286. [Google Scholar] [CrossRef]
  32. Chang, S.-T.; Chen, P.-F.; Chang, S.-C. Antibacterial activity of leaf essential oils and their constituents from Cinnamomum osmophloeum. J. Ethnopharmacol. 2001, 77, 123–127. [Google Scholar] [CrossRef]
  33. Wang, S.-Y.; Chen, P.-F.; Chang, S.-T. Antifungal activities of essential oils and their constituents from indigenous cinnamon (Cinnamomum osmophloeum) leaves against wood decay fungi. Bioresour. Technol. 2005, 96, 813–818. [Google Scholar] [CrossRef] [PubMed]
  34. Cheng, S.-S.; Liu, J.-Y.; Hsui, Y.-R.; Chang, S.-T. Chemical polymorphism and antifungal activity of essential oils from leaves of different provenances of indigenous cinnamon (Cinnamomum osmophloeum). Bioresour. Technol. 2006, 97, 306–312. [Google Scholar] [CrossRef] [PubMed]
  35. Chua, M.T.; Tung, Y.T.; Chang, S.T. Antioxidant activities of ethanolic extracts from the twigs of Cinnamomum osmophloeum. Bioresour Technol 2008, 99, 1918–1925. [Google Scholar] [CrossRef] [PubMed]
  36. Hsu, F.-L.; Li, W.-H.; Yu, C.-W.; Hsieh, Y.-C.; Yang, Y.-F.; Liu, J.-T.; Shih, J.; Chu, Y.-J.; Yen, P.-L.; Chang, S.-T.; et al. In Vivo Antioxidant Activities of Essential Oils and Their Constituents from Leaves of the Taiwanese Cinnamomum osmophloeum. J. Agric. Food Chem. 2012, 60, 3092–3097. [Google Scholar] [CrossRef] [PubMed]
  37. Yeh, H.-F.; Luo, C.-Y.; Lin, C.-Y.; Cheng, S.-S.; Hsu, Y.-R.; Chang, S.-T. Methods for Thermal Stability Enhancement of Leaf Essential Oils and Their Main Constituents from Indigenous Cinnamon (Cinnamomum osmophloeum). J. Agric. Food Chem. 2013, 61, 6293–6298. [Google Scholar] [CrossRef]
  38. Lin, T.-Y.; Liao, J.-W.; Chang, S.-T.; Wang, S.-Y. Antidyslipidemic Activity of Hot-water Extracts from Leaves of Cinnamomum osmophloeum Kaneh. Phytother. Res. 2011, 25, 1317–1322. [Google Scholar] [CrossRef]
  39. Cheng, B.H.; Sheen, L.Y.; Chang, S.T. Hypolipidemic effects of S-(+)-linalool and essential oil from Cinnamomum osmophloeum ct. linalool leaves in mice. J. Tradit Complement. Med. 2018, 8, 46–52. [Google Scholar] [CrossRef]
  40. Lee, S.-C.; Wang, S.-Y.; Li, C.-C.; Liu, C.-T. Anti-inflammatory effect of cinnamaldehyde and linalool from the leaf essential oil of Cinnamomum osmophloeum Kanehira in endotoxin-induced mice. J. Food Drug Anal. 2018, 26, 211–220. [Google Scholar] [CrossRef]
  41. Yu, C.-W.; Li, W.-H.; Hsu, F.-L.; Yen, P.-L.; Chang, S.-T.; Liao, V.H.-C. Essential Oil Alloaromadendrene from Mixed-Type Cinnamomum osmophloeum Leaves Prolongs the Lifespan in Caenorhabditis elegans. J. Agric. Food Chem. 2014, 62, 6159–6165. [Google Scholar] [CrossRef]
  42. Chen, T.H.; Huang, Y.H.; Lin, J.J.; Liau, B.C.; Wang, S.Y.; Wu, Y.C.; Jong, T.T. Cytotoxic lignan esters from Cinnamomum osmophloeum. Planta Med. 2010, 76, 613–619. [Google Scholar] [CrossRef] [PubMed]
  43. Lee, M.-J.; Rao, Y.K.; Chen, K.; Lee, Y.-C.; Tzeng, Y.-M. Effect of flavonol glycosides from cinnamomum osmophloeum leaves on adiponectin secretion and phosphorylation of insulin receptor-β in 3t3-l1 adipocytes. J. Ethnopharmacol. 2009, 126, 79–85. [Google Scholar] [CrossRef]
  44. Cheng, B.-H.; Sheen, L.-Y.; Chang, S.-T. Evaluation of anxiolytic potency of essential oil and s-(+)-linalool from cinnamomum osmophloeum ct. Linalool leaves in mice. J. Tradit. Complement Med. 2014, 5, 27–34. [Google Scholar] [CrossRef] [PubMed][Green Version]
  45. Lin, S.-S.C.; Lu, T.-M.; Chao, P.-C.; Lai, Y.-Y.; Tsai, H.-T.; Chen, C.-S.; Lee, Y.-P.; Chen, S.-C.; Chou, M.-C.; Yang, C.-C. In Vivo Cytokine Modulatory Effects of Cinnamaldehyde, the Major Constituent of Leaf Essential Oil from Cinnamomum osmophloeum Kaneh. Phytother. Res. 2011, 25, 1511–1518. [Google Scholar] [CrossRef] [PubMed]
  46. Theurer, M.; Shaik, N.; Lang, F. Stimulation of suicidal erythrocyte death by trans-cinnamaldehyde. Phytomedicine 2013, 20, 1119–1123. [Google Scholar] [CrossRef] [PubMed]
  47. Mdoe, F.P.; Cheng, S.-S.; Msangi, S.; Nkwengulila, G.; Chang, S.-T.; Kweka, E.J. Activity of Cinnamomum osmophloeum leaf essential oil against Anopheles gambiae s.s. Parasit Vectors 2014, 7, 209. [Google Scholar] [CrossRef] [PubMed]
  48. Cheng, S.-S.; Liu, J.-Y.; Tsai, K.-H.; Chen, W.-J.; Chang, S.-T. Chemical Composition and Mosquito Larvicidal Activity of Essential Oils from Leaves of Different Cinnamomum osmophloeum Provenances. J. Agric. Food Chem. 2004, 52, 4395–4400. [Google Scholar] [CrossRef]
  49. Cheng, S.-S.; Liu, J.-Y.; Lin, C.-Y.; Hsui, Y.-R.; Lu, M.-C.; Wu, W.-J.; Chang, S.-T. Terminating red imported fire ants using Cinnamomum osmophloeum leaf essential oil. Bioresour. Technol. 2008, 99, 889–893. [Google Scholar] [CrossRef]
  50. Cheng, S.-S.; Liu, J.-Y.; Huang, C.-G.; Hsui, Y.-R.; Chen, W.-J.; Chang, S.-T. Insecticidal activities of leaf essential oils from cinnamomum osmophloeum against three mosquito species. Bioresour. Technol. 2009, 100, 457–464. [Google Scholar] [CrossRef]
  51. Shimizu, M.; Ito, T.; Terashima, S.; Hayashi, T.; Arisawa, M.; Morita, N.; Kurokawa, S.; Ito, K.; Hashimoto, Y. Inhibition of lens aldose reductase by flavonoids. Phytochemistry 1984, 23, 1885–1888. [Google Scholar] [CrossRef]
  52. Przygodzka, M.; Zielińska, D.; Ciesarová, Z.; Kukurová, K.; Zieliński, H. Comparison of methods for evaluation of the antioxidant capacity and phenolic compounds in common spices. LWT Food Sci. Technol. 2014, 58, 321–326. [Google Scholar] [CrossRef]
  53. Guo, J.-Y.; Huo, H.-R.; Zhao, B.-S.; Liu, H.-B.; Li, L.-F.; Ma, Y.-Y.; Guo, S.-Y.; Jiang, T.-L. Cinnamaldehyde reduces IL-1β-induced cyclooxygenase-2 activity in rat cerebral microvascular endothelial cells. Eur. J. Pharmacol. 2006, 537, 174–180. [Google Scholar] [CrossRef] [PubMed]
  54. Gan, F.F.; Chua, Y.S.; Scarmagnani, S.; Palaniappan, P.; Franks, M.; Poobalasingam, T.; Bradshaw, T.D.; Westwell, A.D.; Hagen, T. Structure–activity analysis of 2′-modified cinnamaldehyde analogues as potential anticancer agents. Biochem. Biophys. Res. Commun. 2009, 387, 741–747. [Google Scholar] [CrossRef]
  55. Wu, S.-J.; Ng, L.-T. MAPK inhibitors and pifithrin-alpha block cinnamaldehyde-induced apoptosis in human PLC/PRF/5 cells. Food Chem. Toxicol. 2007, 45, 2446–2453. [Google Scholar] [CrossRef]
  56. Curra, M.; Soares Junior, L.A.V.; Martins, M.D.; Santos, P.S.d.S. Chemotherapy protocols and incidence of oral mucositis. An integrative review. Einstein (Sao Paulo) 2018, 16, eRW4007. [Google Scholar] [CrossRef] [PubMed]
  57. Köstler, W.J.; Hejna, M.; Wenzel, C.; Zielinski, C.C. Oral Mucositis Complicating Chemotherapy and/or Radiotherapy: Options for Prevention and Treatment. CA: A Cancer J. Clin. 2001, 51, 290–315. [Google Scholar] [CrossRef]
  58. Lalla, R.V.; Bowen, J.; Barasch, A.; Elting, L.; Epstein, J.; Keefe, D.M.; McGuire, D.B.; Migliorati, C.; Nicolatou-Galitis, O.; Peterson, D.E.; et al. MASCC/ISOO clinical practice guidelines for the management of mucositis secondary to cancer therapy. Cancer 2014, 120, 1453–1461. [Google Scholar] [CrossRef]
  59. Molania, T.; Moghadamnia, A.A.; Pouramir, M.; Aghel, S.; Moslemi, D.; Ghassemi, L.; Motallebnejad, M. The effect of Cinnamaldehyde on mucositis and salivary antioxidant capacity in gamma-irradiated rats (a preliminary study). Daru 2012, 20, 89. [Google Scholar] [CrossRef]
  60. Parkins, C.S.; Fowler, J.F.; Yu, S. A murine model of lip epidermal/mucosal reactions to X-irradiation. Radiother. Oncol. 1983, 1, 159–165. [Google Scholar] [CrossRef]
  61. Veilleux, M.-P.; Grenier, D. Determination of the effects of cinnamon bark fractions on Candida albicans and oral epithelial cells. BMC Complement. Altern. Med. 2019, 19, 303. [Google Scholar] [CrossRef]
  62. Feghali, K.; Feldman, M.; La, V.D.; Santos, J.; Grenier, D. Cranberry Proanthocyanidins: Natural Weapons against Periodontal Diseases. J. Agric. Food Chem. 2012, 60, 5728–5735. [Google Scholar] [CrossRef] [PubMed]
  63. Raeessi, M.A.; Raeessi, N.; Panahi, Y.; Gharaie, H.; Davoudi, S.M.; Saadat, A.; Karimi Zarchi, A.A.; Raeessi, F.; Ahmadi, S.M.; Jalalian, H. “Coffee plus honey” versus “topical steroid” in the treatment of chemotherapy-induced oral mucositis: A randomised controlled trial. BMC Complement. Altern. Med. 2014, 14, 293. [Google Scholar] [CrossRef] [PubMed]
  64. Fidler, P.; Loprinzi, C.L.; O’Fallon, J.R.; Leitch, J.M.; Lee, J.K.; Hayes, D.L.; Novotny, P.; Clemens-Schutjer, D.; Bartel, J.; Michalak, J.C. Prospective evaluation of a chamomile mouthwash for prevention of 5-FU-induced oral mucositis. Cancer 1996, 77, 522–525. [Google Scholar] [CrossRef]
  65. Mazokopakis, E.E.; Vrentzos, G.E.; Papadakis, J.A.; Babalis, D.E.; Ganotakis, E.S. Wild chamomile (Matricaria recutita L.) mouthwashes in methotrexate-induced oral mucositis. Phytomedicine 2005, 12, 25–27. [Google Scholar] [CrossRef]
  66. Pourdeghatkar, F.; Motaghi, M.; Darbandi, B.; BagherSalimi, A. The Effect of Chamomile Mouthwash on the Prevention of Oral Mucositis Caused by Chemotherapy in Children with Acute Lymphoblastic Leukemia. SSU 2017, 7, 76–81. [Google Scholar]
  67. Aoyama, T.; Nishikawa, K.; Takiguchi, N.; Tanabe, K.; Imano, M.; Fukushima, R.; Sakamoto, J.; Oba, M.S.; Morita, S.; Kono, T.; et al. Double-blind, placebo-controlled, randomized phase II study of TJ-14 (hangeshashinto) for gastric cancer chemotherapy-induced oral mucositis. Cancer Chemother Pharm. 2014, 73, 1047–1054. [Google Scholar] [CrossRef]
  68. Kono, T.; Kaneko, A.; Matsumoto, C.; Miyagi, C.; Ohbuchi, K.; Mizuhara, Y.; Miyano, K.; Uezono, Y. Multitargeted Effects of Hangeshashinto for Treatment of Chemotherapy-Induced Oral Mucositis on Inducible Prostaglandin E2 Production in Human Oral Keratinocytes. Integr. Cancer Ther. 2014, 13, 435–445. [Google Scholar] [CrossRef]
  69. You, W.C.; Hsieh, C.C.; Huang, J.T. Effect of Extracts from Indigowood Root (Isatis indigotica Fort.) on Immune Responses in Radiation-Induced Mucositis. J. Altern. Complementary Med. 2009, 15, 771–778. [Google Scholar] [CrossRef]
  70. Tiemann, P.; Toelg, M.; Ramos, F.M.H. Administration of Ratanhia-based herbal oral care products for the prophylaxis of oral mucositis in cancer chemotherapy patients: A clinical trial. Evid Based Complement. Altern. Med. 2007, 4, 361–366. [Google Scholar] [CrossRef]
  71. Sahebjamee, M.; Mansourian, A.; Hajimirzamohammad, M.; Zadeh, M.T.; Bekhradi, R.; Kazemian, A.; Manifar, S.; Ashnagar, S.; Doroudgar, K. Comparative Efficacy of Aloe vera and Benzydamine Mouthwashes on Radiation-induced Oral Mucositis: A Triple-blind, Randomised, Controlled Clinical Trial. Oral Health Prev. Dent. 2015, 13, 309–315. [Google Scholar] [CrossRef]
  72. Hawley, P.; Hovan, A.; McGahan, C.E.; Saunders, D. A randomized placebo-controlled trial of manuka honey for radiation-induced oral mucositis. Supportive Care Cancer 2014, 22, 751–761. [Google Scholar] [CrossRef]
  73. Miranzadeh, S.; Adib-Hajbaghery, M.; Soleymanpoor, L.; Ehsani, M. A New mouthwash for Chemotherapy Induced Stomatitis. Nurs. Midwifery Stud. 2014, 3, e20249. [Google Scholar] [CrossRef] [PubMed]
  74. Babaee, N.; Moslemi, D.; Khalilpour, M.; Vejdani, F.; Moghadamnia, Y.; Bijani, A.; Baradaran, M.; Kazemi, M.T.; Khalilpour, A.; Pouramir, M.; et al. Antioxidant capacity of calendula officinalis flowers extract and prevention of radiation induced oropharyngeal mucositis in patients with head and neck cancers: A randomized controlled clinical study. Daru 2013, 21, 18. [Google Scholar] [CrossRef] [PubMed]
  75. Khanal, B.; Baliga, M.; Uppal, N. Effect of topical honey on limitation of radiation-induced oral mucositis: An intervention study. Int. J. Oral Maxillofac. Surg. 2010, 39, 1181–1185. [Google Scholar] [CrossRef] [PubMed]
  76. Kuduban, O.; Mazlumoglu, M.R.; Kuduban, S.D.; Erhan, E.; Cetin, N.; Kukula, O.; Yarali, O.; Cimen, F.K.; Cankaya, M. The effect of hippophae rhamnoides extract on oral mucositis induced in rats with methotrexate. J. Appl Oral Sci 2016, 24, 423–430. [Google Scholar] [CrossRef][Green Version]
  77. Motallebnejad, M.; Akram, S.; Moghadamnia, A.; Moulana, Z.; Omidi, S. The effect of topical application of pure honey on radiation-induced mucositis: A randomized clinical trial. J. Contemp. Dent. Pract. 2008, 9, 40–47. [Google Scholar] [CrossRef]
  78. Rashad, U.M.; Al-Gezawy, S.M.; El-Gezawy, E.; Azzaz, A.N. Honey as topical prophylaxis against radiochemotherapy-induced mucositis in head and neck cancer. J. Laryngol. Otol. 2009, 123, 223–228. [Google Scholar] [CrossRef]
  79. Lambros, M.P.; Kondapalli, L.; Parsa, C.; Mulamalla, H.C.; Orlando, R.; Pon, D.; Huang, Y.; Chow, M.S.S. Molecular signatures in the prevention of radiation damage by the synergistic effect of n-acetyl cysteine and qingre liyan decoction, a traditional chinese medicine, using a 3-dimensional cell culture model of oral mucositis. Evid. Based Complement Alternat. Med. 2015, 2015, 425760. [Google Scholar] [CrossRef]
  80. Loo, W.T.Y.; Jin, L.J.; Chow, L.W.C.; Cheung, M.N.B.; Wang, M. Rhodiola algida improves chemotherapy-induced oral mucositis in breast cancer patients. Expert Opin. Investig. Drugs 2010, 19, S91–S100. [Google Scholar] [CrossRef]
  81. Wu, M.-h.; Yuan, B.; Liu, Q.-f.; Wang, Q. Study of qingre liyan decoction (清热利咽汤) in treating and preventing acute radioactive oral mucositis. Chin. J. Integr. Med. 2007, 13, 280–284. [Google Scholar] [CrossRef]
  82. Puataweepong, P.; Dhanachai, M.; Dangprasert, S.; Sithatani, C.; Sawangsilp, T.; Narkwong, L.; Puttikaran, P.; Intragumtornchai, T. The efficacy of oral aloe vera juice for radiation induced mucositis in head and neck cancer patients: A double-blind placebo-controlled study. Asian Biomedicine 2009, 3, 375–382. [Google Scholar]
  83. De Freitas Cuba, L.; Braga Filho, A.; Cherubini, K.; Salum, F.G.; Figueiredo, M.A.Z.d. Topical application of aloe vera and vitamin e on induced ulcers on the tongue of rats subjected to radiation: Clinical and histological evaluation. Support. Care Cancer 2016, 24, 2557–2564. [Google Scholar] [CrossRef] [PubMed]
  84. Sencer, S.F.; Zhou, T.; Freedman, L.S.; Ives, J.A.; Chen, Z.; Wall, D.; Nieder, M.L.; Grupp, S.A.; Yu, L.C.; Sahdev, I.; et al. Traumeel s in preventing and treating mucositis in young patients undergoing sct: A report of the children’s oncology group. Bone Marrow Transplant 2012, 47, 1409–1414. [Google Scholar] [CrossRef] [PubMed]
  85. Braga, F.T.M.M.; Santos, A.C.F.; Bueno, P.C.P.; Silveira, R.C.C.P.; Santos, C.B.; Bastos, J.K.; Carvalho, E.C. Use of chamomilla recutita in the prevention and treatment of oral mucositis in patients undergoing hematopoietic stem cell transplantation: A randomized, controlled, phase ii clinical trial. Cancer Nursing 2015, 38, 322–329. [Google Scholar] [CrossRef]
  86. Napeñas, J.J.; Brennan, M.T.; Coleman, S.; Kent, M.L.; Noll, J.; Frenette, G.; Nussbaum, M.L.; Mougeot, J.-L.; Paster, B.J.; Lockhart, P.B.; et al. Molecular methodology to assess the impact of cancer chemotherapy on the oral bacterial flora: A pilot study. Oral Surg. Oral Med. Oral Pathol. Oral Radiol. Endodontol. 2010, 109, 554–560. [Google Scholar] [CrossRef]
  87. Sonalika, W.G.; Amsavardani Tayaar, S.; Bhat, K.G.; Patil, B.R.; Muddapur, M.V. Oral microbial carriage in oral squamous cell carcinoma patients at the time of diagnosis and during radiotherapy – A comparative study. Oral Oncol. 2012, 48, 881–886. [Google Scholar] [CrossRef]
  88. Panghal, M.; Kaushal, V.; Kadayan, S.; Yadav, J.P. Incidence and risk factors for infection in oral cancer patients undergoing different treatments protocols. BMC Oral Health 2012, 12, 22. [Google Scholar] [CrossRef]
  89. Laheij, A.M.G.A.; de Soet, J.J.; von dem Borne, P.A.; Kuijper, E.J.; Kraneveld, E.A.; van Loveren, C.; Raber-Durlacher, J.E. Oral bacteria and yeasts in relationship to oral ulcerations in hematopoietic stem cell transplant recipients. Supportive Care Cancer 2012, 20, 3231–3240. [Google Scholar] [CrossRef]
  90. Cechinel-Zanchett, C.C.; Boeing, T.; Somensi, L.B.; Steimbach, V.M.B.; Campos, A.; Krueger, C.d.M.A.; Schultz, C.; Sant’ana, D.d.M.G.; Cechinel-Filho, V.; Mota da Silva, L.; et al. Flavonoid-rich fraction of Bauhinia forficata Link leaves prevents the intestinal toxic effects of irinotecan chemotherapy in IEC-6 cells and in mice. Phytother. Res. 2019, 33, 90–106. [Google Scholar] [CrossRef]
  91. Liu, Z.; Xi, J.; Schröder, S.; Wang, W.; Xie, T.; Wang, Z.; Bao, S.; Fei, J. Chimonanthus nitens var. salicifolius Aqueous Extract Protects against 5-Fluorouracil Induced Gastrointestinal Mucositis in a Mouse Model. Evid. -Based Complementary Altern. Med. 2013, 2013, 12. [Google Scholar] [CrossRef]
  92. Vladimir, R.A.S.N.; Gustavo, S.A.; Rafael, T.G.; Samara, H.I.; Maralice, C.B.; Evandro, N.A.; Efigenia Ferreira e, F.; Ana Cristina Viana, C.; Alexandre, A.S.; Sheila, R.L.A.; et al. Mucoadhesive Propolis Gel for Prevention of Radiation-Induced Oral Mucositis. Curr. Clin. Pharmacol. 2014, 9, 359–364. [Google Scholar] [CrossRef]
  93. Georgakopoulou, E.A. Cinnamon contact stomatitis. J. Derm. Case Rep. 2010, 4, 28–29. [Google Scholar] [CrossRef] [PubMed]
  94. Tremblay, S.; Avon, S.L. Contact allergy to cinnamon: Case report. J. Can. Dent. Assoc. 2008, 74, 445–461. [Google Scholar] [PubMed]
  95. Calapai, G.; Miroddi, M.; Mannucci, C.; Minciullo, P.L.; Gangemi, S. Oral adverse reactions due to cinnamon-flavoured chewing gums consumption. Oral Dis. 2014, 20, 637–643. [Google Scholar] [CrossRef]
Figure 1. The systematic search for medical-biological activities of Cinnamomum osmophloeum.
Figure 1. The systematic search for medical-biological activities of Cinnamomum osmophloeum.
Biomedicines 08 00003 g001
Figure 2. Chemical structures of Cinnamomum osmophloeum chemotypes: (a) cinnamaldehyde, (b) cinnamyl acetate, (c) linalool, and (d) camphor.
Figure 2. Chemical structures of Cinnamomum osmophloeum chemotypes: (a) cinnamaldehyde, (b) cinnamyl acetate, (c) linalool, and (d) camphor.
Biomedicines 08 00003 g002
Figure 3. Antibacterial properties of C. osmophloeum (A) and bacterial infection of oral mucositis (B).
Figure 3. Antibacterial properties of C. osmophloeum (A) and bacterial infection of oral mucositis (B).
Biomedicines 08 00003 g003
Figure 4. Proposed potential use of C. osmophloeum in the alleviation of oral mucositis (OM). C. osmophloeum ameliorated oxidative stress and pro-inflammation through its constituents. Several studies have investigated the anti-inflammation, antibacterial, and antioxidant activities. The review of medical-biological activities showed that C. osmophloeum and its constituents inhibit the pro-inflammatory response. C. osmophloeum potentially prevents the second phase of oral mucositis (the primary damage response) or may intercept in the third phase, with pro-inflammatory cytokines providing a positive reaction to enhance and accelerate the process of wound healing. C. osmophloeum was also confirmed to be bactericidal and inhibit bacteria which can reduce the severity of oral mucositis or secondary bacterial infection.
Figure 4. Proposed potential use of C. osmophloeum in the alleviation of oral mucositis (OM). C. osmophloeum ameliorated oxidative stress and pro-inflammation through its constituents. Several studies have investigated the anti-inflammation, antibacterial, and antioxidant activities. The review of medical-biological activities showed that C. osmophloeum and its constituents inhibit the pro-inflammatory response. C. osmophloeum potentially prevents the second phase of oral mucositis (the primary damage response) or may intercept in the third phase, with pro-inflammatory cytokines providing a positive reaction to enhance and accelerate the process of wound healing. C. osmophloeum was also confirmed to be bactericidal and inhibit bacteria which can reduce the severity of oral mucositis or secondary bacterial infection.
Biomedicines 08 00003 g004
Table 1. Beneficial biological activities of C. osmophloeum.
Table 1. Beneficial biological activities of C. osmophloeum.
BioactivityChemical IdentificationC. osmophloeum PartsConstituent (s)StudyMechanisms Reference
Anti-inflammatory effectLC-MS/MSLeavesKaempferitrinIn vitroDown-regulate the extracellular LDL-R (chronic inflammation-related diabetes mellitus)Ku et al., (2017) [26]
GC-MSTwigsTrans-cinnamaldehyde, caryophyllene oxide, L-borneol, L-bornyl acetate, eugenol, β-caryophyllene, E-nerolidol, and cinnamylIn vitroSuppressing nitric oxide synthesis by LPS-stimulated macrophagesTung et al. (2008) [30]
GC-MSLeavesTrans-cinnamaldehyde,(-)-aromadendrene,
caryophyllene oxide,
T-cadinol, and α-cadinol
In vitroSuppressing nitric oxide production by LPS-stimulated macrophagesTung et al. (2010) [29]
GC-MS and HPLCLeavesCinnamaldehydeIn vitroCinnamaldehyde inhibits LPS-mediated pro-inflammatory cytokine productionChao et al. (2008) [23]
TLCLeavesNAIn vitroInhibition of the production of NO and cytokines (TNF-a and IL-12), from LPS/IFNc-activated macrophagesFang, Rao & Tzeng (2005) [25]
CC, HPLC, TLC, ESIMS, and GC-MSTwigsKaempferol glycosidesIn vitroNitric oxide production inhibitory activitiesLin & Chang(2012) [28]
GC-MSLeavesLinalool and cinnamaldehydeIn vivoInhibition of the expression of molecules in both TLR4 and NLRP3 signaling pathwaysLee et al. (2018) [40]
GC-MSLeaves21 compounds were identifiedIn vitroInhibition of IL-1â and IL-6 productionChao et al. (2005) [24]
Antibacterial activityGCLeavesCinnamaldehydeIn vitroBactericidalChang, Chen & Chang (2001) [32]
GC-MSLeavesCinnamaldehyde, cinnamic acid, cinnamyl alcohol, and cinnamyl acetateIn vitroBacterial inhibitionChang et al. (2008) [31]
Antifungal activityGC-MSLeavesCinnamaldehydeIn vitroNACheng et al. (2006) [34]
GC-MSLeavesCinnamaldehydeIn vitroNAWang, Chen & Chang (2005) [33]
Antioxidant activitiesESIMSTwigsKaempferol-7-O-rhamnosideIn vitroNAChua, Tung, & Chang (2008) [35]
GC-MS and
GC−FID
LeavesAlloaromadendreneIn vitroNAYu et al. (2014) [41]
GC-MS and GC-FIDLeavesTrans-cinnamaldehyde In vitroNAYeh et al. (2013) [37]
GC-MS and GC-FIDLeavesTrans cinnamaldehydeIn vivoExpression of antioxidative-related genes was pointedly affected by essential oils from C. osmophloeum.Hsu et al. (2012) [36]
Antidyslipidemic activityHPLCLeavesKaempferol and kaempferitrinIn vivoCholesterol-lowering activityLin et al. (2011) [38]
Anti-hyperglycemic and antioxidant activitiesA modified vanillin-H2SO4 assay
A modified acid-butanol assay
The AlCl3 method
TwigsProanthocyanidin and tannin contentsIn vitroCoTE has PTP1B inhibitory activity to improve insulin or leptin resistanceLin et al. (2016) [18]
Hepatoprotective effectsNALeavestrans-cinnamaldehyde, ()-aromadendrene, T-cadinol, or R-cadinolIn vivoThe modulation of anti-inflammatory activities (decreased the aspartate aminotransferase (AST), alanine aminotransferase (ALT), tumor necrosis factor-R (TNF-R), and interleukin 6 (IL-6) levels in serum)Tung et al. (2011) [6]
Pancreas Protective Effect and Hypoglycemic activityGC/MSLeavesLinaloolIn vivo1. Decreased pancreatic values of thiobarbituric acid reactive substances and activities of superoxide dismutase and glutathione reductase
2. Decreased pancreatic levels of interleukin-1β and nitric oxide
Lee et al. (2013) [3]
Prevent Cardiac HypertrophyHPLCLeavesCinnamaldehydeIn vivoThe protective role of cinnamaldehyde related to the ERK1/2 signaling pathway.Yang et al. (2015) [7]
Treatment of renal interstitial fibroblastsNALeavesCinnamaldehydeIn vitroInhibit high glucose-induced hypertrophy (decreased cell size; cellular hypertrophy index; and protein levels of collagen IV, fibronectin, and α-smooth muscle actin).Chao et al. (2010) [4]
Anticancer (liver and oral cancer) TLC, CC and HPLCHeart wood and rootsLignan EstersIn vitroTumor cell growth inhibitionChen et al. (2010) [42]
Anti-diabetesTLCTwigsKaempferol glycosides CO-1 and CO-2In vitroEnhanced adiponectin secretion, and activation of the insulin signaling pathwayLee et al. (2009) [43]
Anti-hyperuricemia effectGC-MSLeavesCinnamaldehydeIn vivoActs as a xanthine oxidase inhibitor and reduces the serum uric acid levelsWang et al. (2008) [2]
Anxiolytic propertiesHPLCLeavesLinaloolIn vivoReduced the amount of 5-HT, DA and NE and increased the level of dopamine in striatumCheng et al. (2014) [44]
Wound Repair Promoter and AntioxidantNALeavesNAIn vitro and in vivoInhibited tyrosinase activity and reduced melanin contentLee et al. (2015) [20]
Anti-inflammatory and anti-cancer propertiesNABarksNAIn vivoThe growth inhibition of NO, TNF-, and IL-12, and tumor cell proliferationRao et al. (2007) [22]
Hypolipidemic effectsNALeavesS-(þ)-linaloolIn vivoInhibited lipid accumulation through downregulation of 3T3-L1 adipocyte differentiationCheng et al. (2018) [39]
Effect on the human immune system HS-GC/MS and HPLCLeavesCinnamaldehydeIn vivoCytokines modulatory effectLin et al. (2011) [45]
Potential skin-whitening and protective agentNALeavesCinnamaldehyde and cinnamylacetateIn vitroNeutralized the IBMX-induced increase in melanin content in B16-F10 cells by inhibiting tyrosinase gene expression at the level of transcriptionLee et al. (2015) [20]
Anti-inflammatory effect in intestineGC/MSLeavesLinaloolIn vivoThe suppression of the TLR4 pathway by CO and partly by the inhibitory effect of CO on the activity of xanthine oxidaseLee et al. (2015) [27]
Anti-tumorNALeavesTrans-cinnamaldehydeIn vitroTrans-cinnamaldehyde triggers suicidal death oferythrocytes, i.e., cells devoid of mitochondria and gene expression.Theurer et al. (2013) [46]
Dietary supplements and treatment of hyperuricemia and goutGC-MS and GC-FIDLeavesCinnamaldehydeIn vitroThe xanthine oxidase inhibitory activityHuang et al. (2018) [19]
Anti-hyperglycemic and antioxidant activities(MALDI/MS) (RP-HPLC) /MS/MSTwigsProanthocyanidinIn vitroThe proanthocyanidins in CoTE mainly consisted of (epi)catechin and contained at least one A-type linkage. The inhibitory activity of α-glucosidase and α-amylaseLin et al. (2016) [21]
NA: Not available; LC: liquid chromatography; MS: mass spectrometry; GC: gas chromatography; HPLC: high-performance liquid chromatography; TLC: thin layer chromatography; CC: column chromatography; ESIMS: electrospray ionization mass spectrometry; GC-FID: gas chromatography−flame ionization detection; MALDI: matrix-assisted laser desorption/ionization; RP: reverse phase.
Table 2. Chemotypes and chemical compositions of C. osmophloeum. All of the studies on C. osmophloeum chemical contents utilized leaf extracts, except number 48 (twig extract).
Table 2. Chemotypes and chemical compositions of C. osmophloeum. All of the studies on C. osmophloeum chemical contents utilized leaf extracts, except number 48 (twig extract).
NoChemical CompositionsReferences
Cinnamaldehyde type
1Cinnamaldehyde, Geranyl acetate, Benzaldehyde.Chang et al. (2001), Wang et al. (2005) [32,33]
2trans-Cinnamaldehyde, Benzenepropanal, 4-Allylanisole.Chang et al. (2008) [31]
3trans-Cinnamaldehyde, Cinnamyl acetate,
3-Phenylpropionaldehyde.
Tung et al. (2010) [29]
4trans-Cinnamaldehyde, Cinnamyl acetate,
3-Phenylpropionaldehyde.
Tung et al. (2010) [29]
5trans-Cinnamaldehyde, Cinnamyl acetate,
3-Phenylpropionaldehyde.
Tung et al. (2010) [29]
6trans-Cinnamaldehyde, Cinnamyl acetate, 3-Pheaylpionaldehyde.Wang et al. (2008) [2]
7trans-Cinnamaldehyde, trans-Cinnamyl acetate,
3-Phenylpropionaldehyde.
Hsu et al. (2012) [36]
8trans-Cinnamaldehyde, Benzenepropanal, Benzaldehyde.Yeh et al. (2013), Cheng (2008) [37,49]
9trans-Cinnamaldehyde, Benzaldehyde, Benzenepropanal.Yeh et al. (2013) [37]
10trans-Cinnamaldehyde, Benzaldehyde, Benzenepropanal.Yeh et al. (2013) [37]
11trans-Cinnamaldehyde, Benzaldehyde, Benzenepropanal.Yeh et al. (2013) [37]
12trans-Cinnamaldehyde, Linalool, trans-Cinnamyl acetate.Yeh et al. (2013) [37]
13trans-Cinnamaldehyde, Benzaldehyde,
3-Phenylpropionaldehyde.
Huang et al. (2018) [19]
14trans-Cinnamaldehyde, trans-Cinnamyl acetate, Benzenepropanal.Mdoe et al. (2014) [47]
15Cinnamaldehyde, Geranyl acetate, Benzaldehyde.Wang et al. (2005) [33]
16trans-Cinnamaldehyde, Cinnamyl acetate, β-Caryophyllene.Cheng et al. (2004) [48]
17trans-Cinnamaldehyde, Benzenepropanal, benzaldehyde.Cheng et al. (2004) [48]
18trans-Cinnamaldehyde, Benzenepropanal, benzaldehyde.Cheng et al. (2004) [48]
19trans-Cinnamaldehyde, Benzenepropanal,
4-Allylanisole.
Cheng et al. (2009) [50]
20trans-Cinnamaldehyde, Cinnamyl acetate, Bornyl acetate.Cheng et al. (2006) [34]
21trans-Cinnamaldehyde, Benzenepropanal, Eugenol.Cheng et al. (2006) [34]
22trans-Cinnamaldehyde, Benzenepropanal, Cinnamyl acetate.Cheng et al. (2006) [34]
Cinnamaldehyde/Cinnamyl acetate type
23Cinnamyl acetate, trans-Cinnamaldehyde, Benzenepropanal.Chang et al. (2008) [31]
24trans-Cinnamaldehyde, Cinnamyl acetate, Benzenepropanal.Cheng et al. (2004) [48]
25Cinnamyl acetate, trans-Cinnamaldehyde, Camphene.Cheng et al. (2004) [48]
26Cinnamyl acetate, trans-Cinnamaldehyde, Benzenepropanal.Cheng et al. (2009) [50]
27trans-Cinnamaldehyde, Cinnamyl acetate, Benzenepropanal.Cheng et al. (2006) [34]
28Cinnamyl acetate, trans-Cinnamaldehyde, Camphene.Cheng et al. (2006) [34]
Cinnamyl acetate type
29Cinnamyl acetate, 2-Methylbenzofuran, Geranyl acetate.Chang et al. (2008) [31]
30Cinnamyl acetate, trans-Cinnamaldehyde, Caryophyllene oxide.Tung et al. (2010) [29]
31Cinnamyl acetate, 2-Methylbenzofuran, Geranyl acetate.Cheng et al. (2009) [50]
32Cinnamyl acetate, 2-Methylbenzofuran, Geranyl acetate.Cheng et al. (2006) [34]
Linalool type
33Linalool, trans-Cinnamaldehyde, Cinnamyl acetate.Chang et al. (2008) [31]
34Linalool, β-Caryophyllene, 4-Allylanisole.Tung et al. (2010) [29]
35Linalool, Cinnamaldehyde, 3-phenyl-2-propenal.Lee et al. (2013) [3]
36Linalool, Citral, Coumarin.Cheng et al. (2004) [48]
37Linalool, trans-Cinnamaldehyde,
4-Allylanisole.
Cheng et al. (2009) [50]
38Linalool, Coumarin, trans-Cinnamaldehyde.Cheng et al. (2006) [34]
Camphor type
39Camphor, L-Bornyl acetate, (+)-Limonene.Chang et al. (2008) [31]
40D-(+)-Camphor, L-Bornyl acetate, α-TerpineolTung et al. (2010) [29]
41D-(+)-Camphor, L-Bornyl acetate, α-Terpineol.Hsu et al. (2012) [36]
42Camphor, bornyl acetate, Limonene.Cheng et al. (2004) [48]
43Camphor, L-Bornyl acetate, (+)-Limonene.Cheng et al. (2009) [50]
44Camphor, Bornyl acetate, Limonene.Cheng et al. (2006) [34]
Mixed type
45Spathulenol, Linalool, α-Terpineol.Chang et al. (2008) [31]
46Neral, 1.8-Cineol, Linalool.Chang et al. (2001), Wang et al. (2005) [32,33]
47L-Bornyl acetate, Caryophyllene oxide, γ-Eudesmol.Tung et al. (2008) [30]
48L-Bornyl acetate, α-Cadinol, T-Cadinol.Tung et al. (2010) [29]
49L-bornyl acetate, T-Cadinol, α -Cadinol.Yu et al. (2014) [41]
501,8-cineole, spathulenol, santolina triene.Chao et al. (2005) [24]
51T-Cadinol, α -Cadinol., bornyl acetate.Cheng et al. (2004) [48]
52Geranial, Neral, 1,8-Cineole.Cheng et al. (2009) [50]
53T-Cadinol, α -Cadinol, bornyl acetate.Cheng et al. (2006) [34]
Table 3. Interventions to prevent oral mucositis (clinical practice guidelines) proposed by the Multinational Association of Supportive Care in Cancer (MASCC) and International Society of Oral Oncology (ISOO).
Table 3. Interventions to prevent oral mucositis (clinical practice guidelines) proposed by the Multinational Association of Supportive Care in Cancer (MASCC) and International Society of Oral Oncology (ISOO).
InterventionProtocolPopulationEvidence of Effectiveness
Basic oral careTooth brushing, flossing, and one mouth rinseAll age groups and across all cancer treatment modalitiesNot strong evidence
Growth factors and cytokinesPalifermin (keratinocyte
growth factor-1)
Patients receiving high-dose chemotherapy and total body irradiation, followed by autologous stem cell transplantation for hematological malignanciesStrong evidence
Anti-inflammatory agentsBenzydamine mouthwashPatients with head and neck cancer receiving moderate-dose radiation therapy (up to 50 Grays), without concomitant chemotherapyStrong evidence
Laser and other light therapyLow-level laser therapy (LLLT)Patients receiving
high-dose chemotherapy for HSCT with or without
total body irradiation
Strong evidence
CryotherapyThe placement
of ice chips in the mouth
Patients receiving bolus
dosing of 5-fluorouracil
Strong evidence
Natural and miscellaneous agentsSystemic zinc supplements administered orally (antioxidant effect)Patients with oral cancer undergoing radiotherapy or chemoradiationNot strong evidence
Table 4. Bioactive properties of natural agents for oral mucositis therapy.
Table 4. Bioactive properties of natural agents for oral mucositis therapy.
Natural AgentsBioactivityReferences
Yarrow Plant (Achillea millefolium)Anti-bacterial and anti-inflammatory effectMirazandeh et al. (2014) [73]
Manuka Honey (Leptospermum scoparium)Wound healing and anti-microbialHawley et al. (2013) [72]
Weleda Pflanzen-Zahngel and Weleda Ratanhia-MundwasserAnti-inflammatory,
anti-bacterial, and lesion healing
Tiemann et al. (2007) [70]
Calendula officinalis flowersAnti-inflammatory, anti-bacterial, and anti-oxidantBabaee et al. (2013) [74]
Honey and coffeeAntioxidant, anti-microbial,
and anti-inflammatory
Raeessi et al. (2014) [63]
Aloe veraAnti-inflammatory, bactericidal, and wound healingSahebjamee et al. (2015) [71]
Hangeshashinto: Pinelliae tuber, Scutellariae Radix, Glycyrrhizae Radix, Zizyphi Fructus, Ginseng Radix, Zingiberis Processum rhizoma, and Coptidis rhizomeAnti-inflammatoryAoyama et al. (2014) [67]
Indigowood Root (Isatis indigotica Fort.)Anti-inflammatoryYou et al. (2009) [69]
Topical HoneyAnti-inflammatory, anti-microbial, and wound healingKhanal et al. (2010) [75]
Hippophae rhamnoides L. plantAnti-oxidant, anti-ulcerogenic, anti-inflammatory, anti-microbial, and proinflammatory cytokine
Antagonist
Kuduban et al. (2016) [76]
Honey from the clover plant Trifolium alexandrenumAnti-microbialRashad et al. (2009) [78]
Qingre Liyan decoctionAnti-oxidant and anti-inflammatoryLambros et al. (2014) [79]
HangeshashintoAnti-inflammatory and anti-microbialKono et al. (2014) [65]
ChamomileAnti-inflammatory, anti-bacterial,
and antifungal
Fidler et al. (1996) [64]
Rhodila algidaAnti-oxidant and immunostimulantLoo et al. (2010) [80]
Qingre Liyan DecoctionEnhancing body immunity and promoting salivary EGFWu et al. (2007) [81]
ChamomileAnti-inflammatory, anti-bacterial,
and anti-fungal
Pourdeghatkar et al. (2017) [66]
Pure HoneyAnti-bacterial and anti-inflammatoryMotallebnejad et al. (2008) [77]
Aloe veraAnti-inflammatory, anti-bacterial,
and anti-fungal
Puataweepong et al. (2009) [82]
Aloe vera and vitamin EAntioxidant, anti-inflammatory, and healing propertiesCuba et al. (2015) [83]
Traumeel SAnti-inflammatorySencer et al. (2012) [84]
Chamomilla recutitaAnti-inflammatoryBraga et al. (2015) [85]
Wild chamomile (Matricaria recutita L.)Anti-inflammatory, anti-bacterial,
and anti-fungal
Mazokopakis et al. (2003) [65]

Share and Cite

MDPI and ACS Style

Bakar, A.; Yao, P.-C.; Ningrum, V.; Liu, C.-T.; Lee, S.-C. Beneficial Biological Activities of Cinnamomum osmophloeum and Its Potential Use in the Alleviation of Oral Mucositis: A Systematic Review. Biomedicines 2020, 8, 3. https://doi.org/10.3390/biomedicines8010003

AMA Style

Bakar A, Yao P-C, Ningrum V, Liu C-T, Lee S-C. Beneficial Biological Activities of Cinnamomum osmophloeum and Its Potential Use in the Alleviation of Oral Mucositis: A Systematic Review. Biomedicines. 2020; 8(1):3. https://doi.org/10.3390/biomedicines8010003

Chicago/Turabian Style

Bakar, Abu, Pin-Chuan Yao, Valendriyani Ningrum, Cheng-Tzu Liu, and Shih-Chieh Lee. 2020. "Beneficial Biological Activities of Cinnamomum osmophloeum and Its Potential Use in the Alleviation of Oral Mucositis: A Systematic Review" Biomedicines 8, no. 1: 3. https://doi.org/10.3390/biomedicines8010003

APA Style

Bakar, A., Yao, P.-C., Ningrum, V., Liu, C.-T., & Lee, S.-C. (2020). Beneficial Biological Activities of Cinnamomum osmophloeum and Its Potential Use in the Alleviation of Oral Mucositis: A Systematic Review. Biomedicines, 8(1), 3. https://doi.org/10.3390/biomedicines8010003

Note that from the first issue of 2016, this journal uses article numbers instead of page numbers. See further details here.

Article Metrics

Back to TopTop