Detection of CADM1, MAL, and PAX1 Methylation by ddPCR for Triage of HPV-Positive Cervical Lesions
Abstract
1. Introduction
2. Materials and Methods
2.1. General Information
2.2. Preanalytical Biomaterial Processing
2.3. HPV Detection and Genotyping
2.4. Methylation-Specific Polymerase Chain Reaction (MSP)
2.5. Statistical Analysis
3. Results
3.1. Comparison of ddPCR and qPCR Performance
3.2. Comparison of CADM1, MAL, and PAX1 Methylation Between HPV-Positive and HPV-Negative Patients
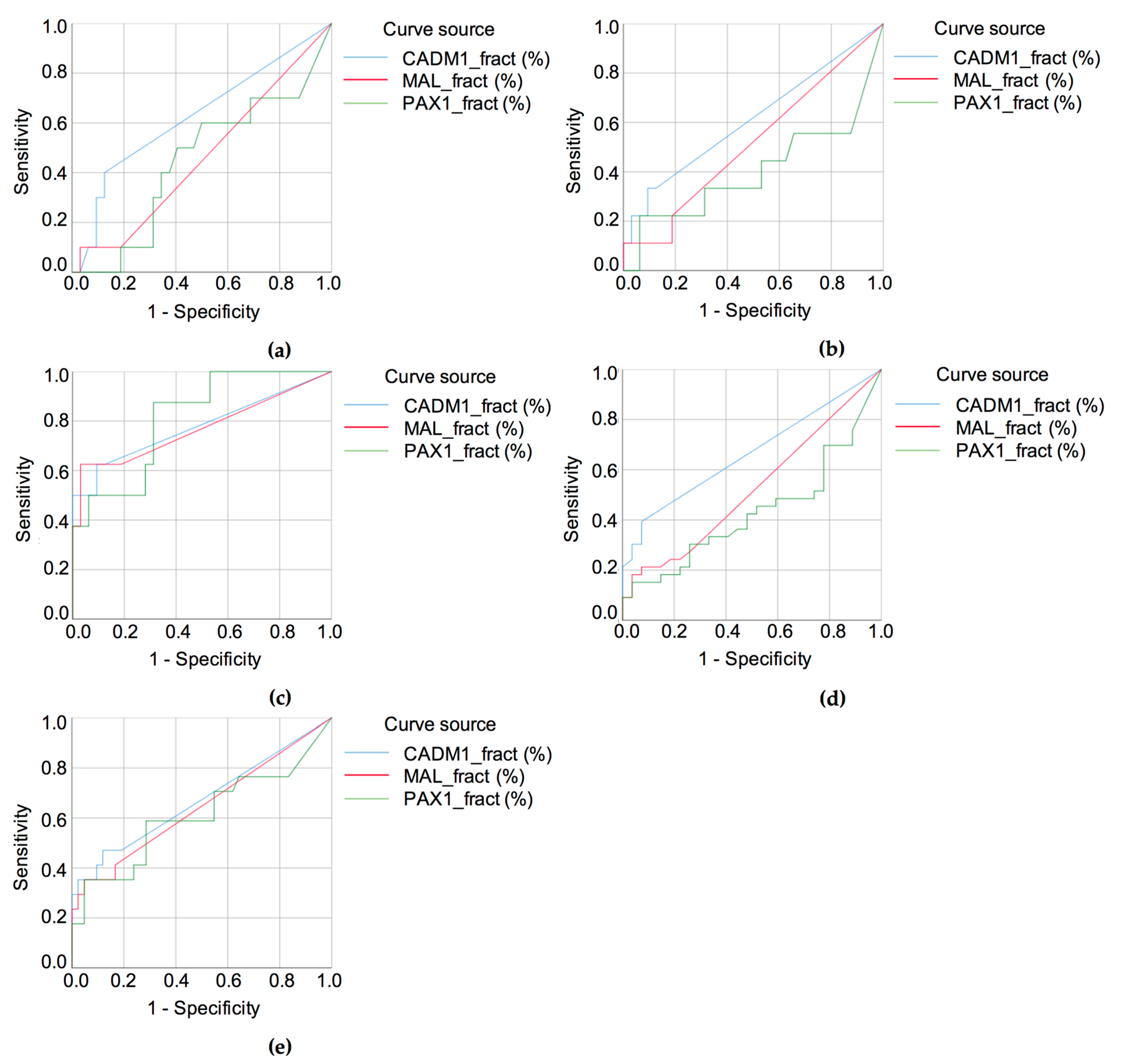
3.3. Evaluation of the Diagnostic Potential of CADM1, MAL, and PAX1 Methylation
4. Discussion
5. Conclusions
Supplementary Materials
Author Contributions
Funding
Institutional Review Board Statement
Informed Consent Statement
Data Availability Statement
Conflicts of Interest
Abbreviations
| HSIL | High-grade squamous intraepithelial lesion |
| NILM | Negative test for intraepithelial lesion or malignancy |
| LSIL | Low-grade squamous intraepithelial lesion |
| CIN | Cervical intraepithelial neoplasia |
| ddPCR | Droplet digital polymerase chain reaction |
| qPCR | Real-time polymerase chain reaction |
| ROC | Receiver operating characteristic |
| HPV | Human papillomavirus |
| DNA | Deoxyribonucleic acid |
| CC | Cervical cancer |
| CADM1 | Cell adhesion molecule 1 |
| MAL | T-cell differentiation protein |
| PAX1 | Paired Box 1 |
References
- Bray, F.; Laversanne, M.; Sung, H.; Ferlay, J.; Siegel, R.L.; Soerjomataram, I.; Jemal, A. Global Cancer Statistics 2022: GLOBOCAN Estimates of Incidence and Mortality Worldwide for 36 Cancers in 185 Countries. CA Cancer J. Clin. 2023, 74, 229–263. [Google Scholar] [CrossRef] [PubMed]
- Centers for Disease Control and Prevention (CDC). Cancers Associated with Human Papillomavirus. 2024. Available online: https://www.cdc.gov/united-states-cancer-statistics/publications/hpv-associated-cancers.html (accessed on 5 April 2025).
- Scott-Wittenborn, N.; Fakhry, C. Epidemiology of HPV-related malignancies. Semin. Radiat. Oncol. 2021, 31, 286–296. [Google Scholar] [CrossRef] [PubMed]
- Bernard, H.U.; Burk, R.D.; Chen, Z.; van Doorslaer, K.; zur Hausen, H.; de Villiers, E.M. Classification of papillomaviruses (PVs) based on 189 PV types and proposal of taxonomic amendments. Virology 2010, 401, 70–79. [Google Scholar] [CrossRef] [PubMed]
- Mac, M.; Cary, A.M. Epigenetic regulation of the human papillomavirus life cycle. Pathogens 2020, 9, 483. [Google Scholar] [CrossRef]
- Bzhalava, D.; Eklund, C.; Dillner, J. International standardization and classification of human papillomavirus types. Virology 2015, 476, 341–344. [Google Scholar] [CrossRef]
- Buck, C.B.; Thompson, C.D.; Roberts, J.N.; Müller, M.; Lowy, D.R.; Schiller, J.T. Carrageenan is a potent inhibitor of papillomavirus infection. PLoS Pathog. 2006, 2, e69. [Google Scholar] [CrossRef]
- Bouvard, V.; Baan, R.; Straif, K.; Grosse, Y.; Secretan, B.; El Ghissassi, F.; Benbrahim-Tallaa, L.; Guha, N.; Freeman, C.; Galichet, L.; et al. A review of human carcinogens—Part B: Biological agents. Lancet Oncol. 2009, 10, 321–322. [Google Scholar] [CrossRef]
- Muñoz, N.; Bosch, F.X.; de Sanjosé, S.; Herrero, R.; Castellsagué, X.; Shah, K.V.; Snijders, P.J.F.; Meijer, C.J.L.M. Epidemiologic classification of human papillomavirus types associated with cervical cancer. N. Engl. J. Med. 2003, 348, 518–527. [Google Scholar] [CrossRef]
- Doorbar, J. The papillomavirus life cycle. J. Clin. Virol. 2005, 32 (Suppl. 1), S7–S15. [Google Scholar] [CrossRef]
- Lam, J.U.H.; Rebolj, M.; Dugue, P.A.; Bonde, J.; von Euler-Chelpin, M.; Lynge, E. Condom use in prevention of human papillomavirus infections and cervical neoplasia: Systematic review of longitudinal studies. J. Med. Screen. 2014, 21, 38–50. [Google Scholar] [CrossRef]
- Schiffman, M.; Castle, P.E.; Jeronimo, J.; Rodriguez, A.C.; Wacholder, S. Human papillomavirus and cervical cancer. Lancet 2007, 370, 890–907. [Google Scholar] [CrossRef] [PubMed]
- Ho, G.Y.; Bierman, R.; Beardsley, L.; Chang, C.J.; Burk, R.D. Natural history of cervicovaginal papillomavirus infection in young women. N. Engl. J. Med. 1998, 338, 423–428. [Google Scholar] [CrossRef] [PubMed]
- Zhang, L.; Tan, W.; Yang, H.; Zhang, S.; Dai, Y. Detection of host cell gene/HPV DNA methylation markers: A promising triage approach for cervical cancer. Front. Oncol. 2022, 12, 831949. [Google Scholar] [CrossRef] [PubMed]
- Wentzensen, N.; Sherman, M.E.; Schiffman, M.; Wang, S.S. Utility of methylation markers in cervical cancer early detection: Appraisal of the state-of-the-science. Gynecol. Oncol. 2009, 112, 293–299. [Google Scholar] [CrossRef]
- Su, H.; Jin, X.; Kong, L.; You, Y.; Wu, H.; Liou, Y.; Li, L. The triage role of cytological DNA methylation in women with non-16/18, specifically genotyping high-risk HPV infection. Br. J. Cancer 2025, 132, 1064–1071. [Google Scholar] [CrossRef]
- Clarke, M.A.; Wentzensen, N. Strategies for screening and early detection of cervical cancer: A review of the evidence. Clin. Obstet. Gynecol. 2013, 56, 3–20. [Google Scholar]
- Mirabello, L.; Schiffman, M.; Ghosh, A.; Rodriguez, A.C.; Vasiljevic, N.; Wentzensen, N.; Herrero, R.; Hildesheim, A.; Wacholder, S.; Scibior-Bentkowska, D.; et al. Elevated methylation of HPV16 DNA is associated with the development of high-grade cervical intraepithelial neoplasia. Int. J. Cancer 2013, 132, 1412–1422. [Google Scholar] [CrossRef]
- Kelly, H.; Benavente, Y.; Pavon, M.A.; De Sanjose, S.; Mayaud, P.; Lorincz, A.T. Performance of DNA methylation assays for detection of high-grade cervical intraepithelial neoplasia (CIN2+): A systematic review and meta-analysis. Br. J. Cancer 2019, 121, 954–965. [Google Scholar] [CrossRef]
- Su, P.H.; Lai, H.C.; Huang, R.L.; Chao, T.K.; Liu, H.Y.; Lin, L.Y.; Wang, Y.-C.; Wu, T.-I.; Chan, M.W.Y.; Liao, C.-C.; et al. Paired box-1 (PAX1) activates multiple phosphatases and inhibits kinase cascades in cervical cancer. Sci. Rep. 2019, 9, 9195. [Google Scholar] [CrossRef]
- Hindson, B.J.; Ness, K.D.; Masquelier, D.A.; Belgrader, P.; Heredia, N.J.; Makarewicz, A.J.; Bright, I.J.; Lucero, M.Y.; Hiddessen, A.L.; Legler, T.C.; et al. High-throughput droplet digital PCR system for absolute quantitation of DNA copy number. Anal. Chem. 2011, 83, 8604–8610. [Google Scholar] [CrossRef]
- Naegele, S.; Ruiz-Torres, D.A.; Zhao, Y.; Goss, D.; Faden, D.L. Comparing the diagnostic performance of quantitative PCR, digital droplet PCR, and next-generation sequencing liquid biopsies for human papillomavirus–associated cancers. J. Mol. Diagn. 2024, 26, 179–190. [Google Scholar] [CrossRef] [PubMed]
- Overmeer, R.M.; Louwers, J.A.; Meijer, C.J.; van Kemenade, F.J.; Hesselink, A.T.; Daalmeijer, N.F.; Wilting, S.M.; Heideman, D.A.M.; Verheijen, R.H.M.; Marchien van Baal, A.Z.W.; et al. Combined CADM1 and MAL promoter methylation analysis to detect (pre-) malignant cervical lesions in high-risk HPV-positive women. Int. J. Cancer 2011, 129, 2218–2225. [Google Scholar] [CrossRef] [PubMed]
- Nikolaidis, C.; Nena, E.; Panagopoulou, M.; Karaglani, M.; Chatzaki, E.; Agorastos, T.; Constantinidis, T.C. PAX1 methylation as an auxiliary biomarker for cervical cancer screening: A meta-analysis. Cancer Epidemiol. 2015, 39, 682–686. [Google Scholar] [CrossRef] [PubMed]
- Steenbergen, R.D.; Kramer, D.; Braakhuis, B.J.; Stern, P.L.; Verheijen, R.H.; Meijer, C.J.; Snijders, P.J. TSLC1 gene silencing in cervical cancer cell lines and cervical neoplasia. J. Natl. Cancer Inst. 2004, 96, 294–305. [Google Scholar] [CrossRef]
- Overmeer, R.M.; Henken, F.E.; Snijders, P.J.; Claassen-Kramer, D.; Berkhof, J.; Helmerhorst, T.; Heideman, D.; Wilting, S.M.; Murakami, Y.; Ito, A.; et al. Association between dense CADM1 promoter methylation and reduced protein expression in high-grade CIN and cervical SCC. J. Pathol. 2008, 215, 388–397. [Google Scholar] [CrossRef]
- Kim, M.K.; Lee, I.H.; Lee, K.H.; Lee, Y.K.; So, K.A.; Hong, S.R.; Hwang, C.S.; Kee, M.-K.; Rhee, J.E.; Kang, C.; et al. DNA methylation in human papillomavirus-infected cervical cells is elevated in high-grade squamous intraepithelial lesions and cancer. J. Gynecol. Oncol. 2016, 27, e14. [Google Scholar] [CrossRef]
- De Strooper, L.M.A.; Hesselink, A.T.; Berkhof, J.; Meijer, C.J.; Snijders, P.J.; Steenbergen, R.D.; Heideman, D.A.; Massuger, L.F.; Van Kemenade, F.; Van Der Zee, A.G.; et al. Combined CADM1/MAL methylation and cytology testing for colposcopy triage of high-risk HPV-positive women. Cancer Epidemiol. Biomarkers Prev. 2014, 23, 1933–1937. [Google Scholar] [CrossRef]
- Hesselink, A.T.; Heideman, D.A.; Steenbergen, R.D.; Coupé, V.M.; Overmeer, R.M.; Rijkaart, D.; Berkhof, J.; Meijer, C.J.; Snijders, P.J.; Van Den Broek, I.; et al. Combined promoter methylation analysis of CADM1 and MAL in cervical scrapings is accurate in detecting CIN3 and cervical cancer. Clin. Cancer Res. 2011, 17, 2459–2465. [Google Scholar] [CrossRef]
- Clarke, M.A.; Cheung, L.C.; Castle, P.E.; Schiffman, M.; Tokugawa, D.; Fetterman, B.; Poitras, N.E.; Lorey, T.; Gage, J.C.; Wentzensen, N.; et al. Five-year risk of CIN3+ and cervical cancer for women with HPV-positive and HPV-negative high-grade cytology. JAMA Oncol. 2018, 4, 76–83. [Google Scholar]
- La Rocca, F.; Grieco, V.; Ruggieri, V.; Zifarone, E.; Villani, O.; Zoppoli, P.; Russi, S.; Laurino, S.; Falco, G.; Calice, G.; et al. Superiority of droplet digital PCR over real-time quantitative PCR for JAK2 V617F allele mutational burden assessment in myeloproliferative neoplasms: A retrospective study. Diagnostics 2020, 10, 143. [Google Scholar] [CrossRef]
- Zhao, Y.; Ma, Y.; Li, X.; Johnson, A.; Smith, B.; Williams, C.; Patel, D.; Garcia, E.; Robinson, F.; Martinez, G.; et al. Digital PCR for methylation analysis of tumor suppressor genes in serum: A systematic review and meta-analysis. Clin. Epigenetics 2020, 12, 20. [Google Scholar]
- Devonshire, A.S.; Whale, A.S.; Gutteridge, A.; Jones, G.; Cowen, S.; Foy, C.A.; Huggett, J.F.; Morris, M.R.; Pons, A.; Reed, J.E.; et al. Towards standardisation of cell-free DNA measurement in plasma: Controls for extraction efficiency, fragment size bias and quantification. Anal. Bioanal. Chem. 2014, 406, 6499–6512. [Google Scholar] [CrossRef] [PubMed]
- Clark, S.J.; Harrison, J.; Paul, C.L.; Frommer, M. High sensitivity mapping of methylated cytosines. Nucleic Acids Res. 1994, 22, 2990–2997. [Google Scholar] [CrossRef] [PubMed]
- Peronace, C.; Cione, E.; Abrego-Guandique, D.M.; De Fazio, M.; Panduri, G.; Caroleo, M.C.; Cannataro, R.; Minchella, P. FAM19A4 and hsa-miR124-2 Double Methylation as Screening for ASC-H- and CIN1 HPV-Positive Women. Pathogens 2024, 13, 312. [Google Scholar] [CrossRef]
- Zyrianova, A.F.; Parshina, E.A. Critical aspects of bisulfite conversion for DNA methylation analysis in clinical settings. Clin. Pract. 2023, 11, 629883. [Google Scholar] [CrossRef]







| Parameters | NILM (n = 34) | LSIL (n = 15) | HSIL (n = 12) | Carcinoma (n = 12) | Control Group (n = 26) |
|---|---|---|---|---|---|
| Age, years 1 | 29 (18:40) | 25 (21:32) | 35 (21:49) | 44 (30:70) | 27 (21:43) |
| HPV status: | |||||
| 16/18, n | 20 (58.8%) | 11 (73.3%) | 9 (75%) | 11 (91.7%) | 0 (0%) |
| other HPV, n | 28 (82.4%) | 13 (86.7%) | 8 (66.7%) | 5 (41.7%) | 0 (0%) |
| Smoking: | |||||
| yes, n | 4 (11.8%) | 7 (46.7%) | 4 (33.3%) | 4 (33.3%) | 3 (11.5%) |
| no, n | 30 (88.2%) | 8 (53.3%) | 8 (66.7%) | 8 (66.7%) | 23 (88.5%) |
| Number of pregnancies: | |||||
| <3, n | 33 (97.1%) | 15 (100%) | 10 (83.3%) | 9 (75%) | 25 (96.2%) |
| ≥3, n | 1 (2.9%) | 0 (0%) | 2 (16.7%) | 3 (25%) | 1 (3.8%) |
| Condom use: | |||||
| yes, n | 14 (41.2%) | 8 (53.3%) | 1 (8.3%) | 1 (8.3%) | 19 (73.1%) |
| no, n | 20 (58.8%) | 7 (46.7%) | 11 (91.7%) | 11 (91.7%) | 7 (26.9%) |
| Number of sexual partners: | |||||
| <4, n | 30 (88.2%) | 12 (80%) | 8 (66.7%) | 7 (58.3%) | 22 (84.6%) |
| ≥4, n | 4 (11.8%) | 3 (20%) | 4 (33.3%) | 5 (41.7%) | 4 (15.4%) |
| Years of sexual activity: | |||||
| <10, n | 16 (47.1%) | 13 (86.7%) | 3 (25%) | 0 (0%) | 17 (65.4%) |
| ≥10, n | 18 (52.9%) | 2 (13.3%) | 9 (75%) | 12 (100%) | 9 (34.6%) |
| Pap Test/Biopsy | CADM1 (%) | MAL (%) | PAX1 (%) |
|---|---|---|---|
| NILM | 0 [0; 0] | 0 [0; 0] | 0.77 [0.22; 2.75] |
| LSIL | 0 [0; 0.04] | 0 [0; 0] | 0.91 [0.03; 1.53] |
| HSIL | 0 [0; 0.63] | 0 [0; 0] | 0.63 [0.1; 1.73] |
| Carcinoma | 2.37 [0.07; 9.61] | 1.97 [0.02; 6.37] | 6.49 [2.23; 22.02] |
| p-value * | <0.001 | <0.001 | 0.010 |
Disclaimer/Publisher’s Note: The statements, opinions and data contained in all publications are solely those of the individual author(s) and contributor(s) and not of MDPI and/or the editor(s). MDPI and/or the editor(s) disclaim responsibility for any injury to people or property resulting from any ideas, methods, instructions or products referred to in the content. |
© 2025 by the authors. Licensee MDPI, Basel, Switzerland. This article is an open access article distributed under the terms and conditions of the Creative Commons Attribution (CC BY) license (https://creativecommons.org/licenses/by/4.0/).
Share and Cite
Anisimova, M.; Jain, M.; Shcherbakova, L.; Aminova, L.; Bugerenko, A.; Novitskaya, N.; Samokhodskaya, L.; Kokarev, V.; Inokenteva, V.; Panina, O. Detection of CADM1, MAL, and PAX1 Methylation by ddPCR for Triage of HPV-Positive Cervical Lesions. Biomedicines 2025, 13, 1450. https://doi.org/10.3390/biomedicines13061450
Anisimova M, Jain M, Shcherbakova L, Aminova L, Bugerenko A, Novitskaya N, Samokhodskaya L, Kokarev V, Inokenteva V, Panina O. Detection of CADM1, MAL, and PAX1 Methylation by ddPCR for Triage of HPV-Positive Cervical Lesions. Biomedicines. 2025; 13(6):1450. https://doi.org/10.3390/biomedicines13061450
Chicago/Turabian StyleAnisimova, Maria, Mark Jain, Liya Shcherbakova, Liana Aminova, Andrey Bugerenko, Natalia Novitskaya, Larisa Samokhodskaya, Vladislav Kokarev, Victoria Inokenteva, and Olga Panina. 2025. "Detection of CADM1, MAL, and PAX1 Methylation by ddPCR for Triage of HPV-Positive Cervical Lesions" Biomedicines 13, no. 6: 1450. https://doi.org/10.3390/biomedicines13061450
APA StyleAnisimova, M., Jain, M., Shcherbakova, L., Aminova, L., Bugerenko, A., Novitskaya, N., Samokhodskaya, L., Kokarev, V., Inokenteva, V., & Panina, O. (2025). Detection of CADM1, MAL, and PAX1 Methylation by ddPCR for Triage of HPV-Positive Cervical Lesions. Biomedicines, 13(6), 1450. https://doi.org/10.3390/biomedicines13061450

