A Cost-Effective and Robust Cell-Based Bioassay Method for Evaluating the Bioactivity of Trastuzumab-like Antibodies
Abstract
1. Introduction
2. Materials and Methods
2.1. Materials
2.2. Cell Lines and Culture Conditions
2.3. RNA Extraction and RT-qPCR
2.4. Immunoblotting
2.5. Inhibition of Proliferation (IOP) Assay
2.6. Flow Cytometry
2.7. Validation of IOP Assay
2.8. Statistical Analysis
3. Results
3.1. Selection of Cell Line for IOP Assay for Assessing the Biological Activity of Trastuzumab Biosimilar Drugs
3.2. Optimization of IOP Assay for Assessing the Biological Activity on SKBR3 Cells
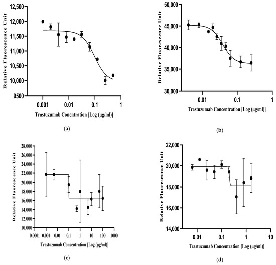
3.2.1. Optimization of the Working Drug Concentration Range
3.2.2. Optimization of the Cell Seeding Density
3.2.3. Optimization of the Incubation Time
3.3. Validation of Inhibition of Proliferation (IOP) Assay
3.3.1. Specificity
3.3.2. Linearity and Range
3.3.3. Precision and Repeatability
3.3.4. Accuracy
3.4. Comparison of the Biological Activity of the Trastuzumab Biosimilar Drugs
3.4.1. Based on the Inhibition of Proliferation (IOP) Assay
3.4.2. Based on the Binding Assay by Flow Cytometry
4. Discussion
5. Conclusions
Author Contributions
Funding
Institutional Review Board Statement
Informed Consent Statement
Data Availability Statement
Acknowledgments
Conflicts of Interest
References
- Hynes, N.E.; Lane, H.A. ERBB receptors and cancer: The complexity of targeted inhibitors. Nat. Rev. Cancer 2005, 5, 341–354. [Google Scholar] [CrossRef] [PubMed]
- Swain, S.M.; Shastry, M.; Hamilton, E. Targeting HER2-positive breast cancer: Advances and future directions. Nat. Rev. Drug Discov. 2023, 22, 101–126. [Google Scholar] [CrossRef] [PubMed]
- Wang, X.; An, Z.; Luo, W.; Xia, N.; Zhao, Q. Molecular and functional analysis of monoclonal antibodies in support of biologics development. Protein Cell 2018, 9, 74–85. [Google Scholar] [CrossRef] [PubMed]
- Kang, H.-N.; Thorpe, R.; Knezevic, I. Survey participants from 19 countries, The regulatory landscape of biosimilars: WHO efforts and progress made from 2009 to 2019. Biologicals 2020, 65, 1–9. [Google Scholar] [CrossRef] [PubMed]
- Miller, E.M.; Schwartzberg, L.S. Biosimilars for breast cancer: A review of HER2-targeted antibodies in the United States. Ther. Adv. Med. Oncol. 2019, 11, 1758835919887044. [Google Scholar] [CrossRef]
- Biologics, M.B. Biocon and Mylan Launch Trastuzumab Biosimilar, OgivriTM (Trastuzumab-Dkst), in the U.S. 2019. Available online: https://www.biocon.com/biocon-and-mylan-launch-trastuzumab-biosimilar-ogivri-trastuzumab-dkst-in-the-u-s/ (accessed on 7 May 2024).
- Wang, J.; Chow, S.-C. On the Regulatory Approval Pathway of Biosimilar Products. Pharmaceuticals 2012, 5, 353–368. [Google Scholar] [CrossRef]
- Nupur, N.; Joshi, S.; Gulliarme, D.; Rathore, A.S. Analytical Similarity Assessment of Biosimilars: Global Regulatory Landscape, Recent Studies and Major Advancements in Orthogonal Platforms. Front. Bioeng. Biotechnol. 2022, 10, 832059. [Google Scholar] [CrossRef]
- Mascarenhas-Melo, F.; Diaz, M.; Gonçalves, M.B.; Vieira, P.; Bell, V.; Viana, S.; Nunes, S.; Paiva-Santos, A.C.; Veiga, F. An Overview of Biosimilars—Development, Quality, Regulatory Issues, and Management in Healthcare. Pharmaceuticals 2024, 17, 235. [Google Scholar] [CrossRef]
- White, J.R.; Abodeely, M.; Ahmed, S.; Debauve, G.; Johnson, E.; Meyer, D.M.; Mozier, N.M.; Naumer, M.; Pepe, A.; Qahwash, I.; et al. Best practices in bioassay development to support registration of biopharmaceuticals. BioTechniques 2019, 67, 126–137. [Google Scholar] [CrossRef]
- Goyal, P.; Iyer, J.; Adhikary, L.; Vats, B.; Kabadi, P.; Pai, H.; Ranayhossaini, D.; Gouda, S.; Subbarao, M.; Mehta, G.; et al. Physicochemical and functional characterization of trastuzumab-dkst, a trastuzumab biosimilar. Future Med. Chem. 2021, 13, 1531–1557. [Google Scholar] [CrossRef]
- Chand, S.; Vaish, U.; Sharma, A.; Mishra, N.N.; Prasad, J.P.; Mahajan, R.V. A reliable assay for ensuring the biological activity of anti T lymphocyte immunoglobulin as an alternate to compendial flow cytometry method. Biologicals 2020, 65, 33–38. [Google Scholar] [CrossRef] [PubMed]
- Guideline, I.H.T. Validation of Analytical Procedures: Text and methodology Q2 (R1) version 4. In Proceedings of the International Conference for Harmonization, Geneva, Switzerland, November 2005; Available online: https://database.ich.org/sites/default/files/Q2%28R1%29%20Guideline.pdf (accessed on 20 September 2024).
- Guidelines on Similar Biologics: Regulatory Requirements for Marketing Authorization in India. 2016. Available online: https://ibkp.dbtindia.gov.in/DBT_Content_Test/CMS/Guidelines/20181115140059519_Guidelines-on-Similar-Biologics-2016.pdf (accessed on 20 September 2024).
- 19/108; WHO International Standard 1st International Standard for the Biological Activities of Trastuzumab. WHO: Geneva, Switzerland, 2021. Available online: https://nibsc.org/documents/ifu/19-108.pdf (accessed on 20 September 2024).
- Livak, K.J.; Schmittgen, T.D. Analysis of relative gene expression data using real-time quantitative PCR and the 2(-Delta Delta C(T)) Method. Methods 2001, 25, 402–408. [Google Scholar] [CrossRef] [PubMed]
- USP Chapter <1032> Development and Design of Bioassays; USP Pharmacopeical Convention: Rockville, MD, USA, 2017; USP 35-NF-30, (n.d.); Available online: https://www.ipqpubs.com/wp-content/uploads/2010/06/USP_1032.pdf (accessed on 20 September 2024).
- <1032> Biological Assay Validation, (n.d.). Available online: https://doi.org/10.31003/USPNF_M912_01_01 (accessed on 20 September 2024).
- USP Chapter <1032> Analysis of Biological Assays; USP Pharmacopeical Convention: Rockville, MD, USA, 2013; USP 35-NF-30, (n.d.); Available online: https://doi.org/10.31003/USPNF_M5677_01_01 (accessed on 20 September 2024).
- Chapter, Statistical Analysis of Results of Biological Assays and Test. In European Pharmacopeia 6.0, 5th ed.; The Stationery Office: London, UK, 2005; Available online: http://www.uspbpep.com/ep60/5.3.%20%20statistical%20analysis%20of%20results%20of%20biological%20assays%20and%20tests%2050300e.pdf (accessed on 20 September 2024).
- Agency, E.M. Development and Manufacture of Drug Substances (Chemical Entities and Biotechnological/Biological Entities) Q11. 2012. Available online: https://www.ema.europa.eu/en/documents/scientific-guideline/ich-guideline-q11-development-and-manufacture-drug-substances-chemical-entities-and-biotechnologicalbiological-entities_en.pdf (accessed on 20 September 2024).
- Shalini, S.; Sharma, A.; Mishra, N.N.; Sharma, R.K.; Chander, H.; Anvikar, A.R.; Chand, S. Cost effective and reliable cell based ELISA as an alternative method of flow cytometry for assessment of binding activity of Vedolizumab. Heliyon 2023, 9, e13570. [Google Scholar] [CrossRef] [PubMed]
- Kirchhoff, C.F.; Wang, X.-Z.M.; Conlon, H.D.; Anderson, S.; Ryan, A.M.; Bose, A. Biosimilars: Key regulatory considerations and similarity assessment tools. Biotechnol. Bioeng. 2017, 114, 2696–2705. [Google Scholar] [CrossRef]
- Lazar, I.M.; Karcini, A.; Haueis, J.R.S. Mapping the cell-membrane proteome of the SKBR3/HER2+ cell line to the cancer hallmarks. PLoS ONE 2022, 17, e0272384. [Google Scholar] [CrossRef]
- Kauraniemi, P.; Hautaniemi, S.; Autio, R.; Astola, J.; Monni, O.; Elkahloun, A.; Kallioniemi, A. Effects of Herceptin treatment on global gene expression patterns in HER2-amplified and nonamplified breast cancer cell lines. Oncogene 2004, 23, 1010–1013. [Google Scholar] [CrossRef]
- DeFazio-Eli, L.; Strommen, K.; Dao-Pick, T.; Parry, G.; Goodman, L.; Winslow, J. Quantitative assays for the measurement of HER1-HER2 heterodimerization and phosphorylation in cell lines and breast tumors: Applications for diagnostics and targeted drug mechanism of action. Breast Cancer Res. 2011, 13, R44. [Google Scholar] [CrossRef]
- Gross, T.; Dewes, P.; Szórádi, T.; Lübbert, P.; Jeney, C. Highly Sensitive HER2 Detection in BT474 and MCF7 Cells Using the PICO Technology. 2023. Available online: https://www.actome.de/downloads/PICOvsWesternBlot_app_note.pdf (accessed on 24 August 2024).
- Ram, S.; Kim, D.; Ober, R.J.; Ward, E.S. The level of HER2 expression is a predictor of antibody-HER2 trafficking behavior in cancer cells. MAbs 2014, 6, 1211–1219. [Google Scholar] [CrossRef]
- Jastrzebski, K.; Thijssen, B.; Kluin, R.J.C.; de Lint, K.; Majewski, I.J.; Beijersbergen, R.L.; Wessels, L.F.A. Integrative Modeling Identifies Key Determinants of Inhibitor Sensitivity in Breast Cancer Cell Lines. Cancer Res. 2018, 78, 4396–4410. [Google Scholar] [CrossRef]
- Sajadimajd, S.; Yazdanparast, R. Differential behaviors of trastuzumab-sensitive and -resistant SKBR3 cells treated with menadione reveal the involvement of Notch1/Akt/FOXO1 signaling elements. Mol. Cell Biochem. 2015, 408, 89–102. [Google Scholar] [CrossRef]
- ICH Topic Q 6 B Specifications: Test Procedures and Acceptance Criteria for Biotechnological/Biological Products. 1999. Available online: https://www.ema.europa.eu/en/documents/scientific-guideline/ich-q-6-b-test-procedures-and-acceptance-criteria-biotechnologicalbiological-products-step-5_en.pdf (accessed on 20 September 2024).
- Láng, J.A.; Balogh, Z.C.; Nyitrai, M.F.; Juhász, C.; Gilicze, A.K.B.; Iliás, A.; Zólyomi, Z.; Bodor, C.; Rábai, E. In vitro functional characterization of biosimilar therapeutic antibodies. Drug Discov. Today Technol. 2020, 37, 41–50. [Google Scholar] [CrossRef]









| Product/Brand Name | Manufacturer |
|---|---|
| 1st WHO International Standard (NIBSC-19/108) for the biological activity of trastuzumab | NIBSC, UK |
| CANMab | M/s Biocon India Pvt. Ltd., Bangalore, Karnataka, India |
| TrastuRel | M/s Reliance Life Sciences, Mumbai, MH, India |
| Eleftha | M/s Intas Pharmaceuticals Ltd., Ahmedabad, GJ, India |
| Vivitra | M/s Zydus Ahmedabad, GJ, India |
| Parameter | Experimental Conditions | Optimized Conditions |
|---|---|---|
| Working drug dose range | 0.01–100 µg/mL, 0.063–1.6 µg/mL, 0.001–0.5 µg/mL, and 0.004–0.25 µg/mL | 0.004–0.25 µg/mL |
| Seeding density | 5.0 × 103, 1.0 × 104 and 2.0 × 104 cells per well | 1.0 × 104 cells per well in 96-well plate |
| Drug incubation time | 96 h, 120 h, 168 h | 120 h |
| Analyst | Analyst 1 | Analyst 2 | |||||
|---|---|---|---|---|---|---|---|
| Performance | Performance 1 | Performance 2 | Performance 3 | Performance 1 | Performance 2 | Performance 3 | Performance 4 |
| Relative Potency (RP) | 122 | 120.7 | 119.1 | 92.6 | 91.7 | 81 | 83.4 |
| Ln (RP) | 4.80 | 4.79 | 4.77 | 4.52 | 4.51 | 4.39 | 0.42 |
| Mean | 4.62 | ||||||
| SD | 0.17 | ||||||
| GM | 100.01 | ||||||
| % GCV | 19.58 | ||||||
| % Relative Bias | 0.0067 | ||||||
| Analyst | Performance | Relative Potency (RP) | Ln (RP) | Mean (Ln RP) | SD (Ln RP) | % GCV |
|---|---|---|---|---|---|---|
| Analyst 1 | Performance 1 | 122 | 4.80 | 4.79 | 0.012 | 1.21 |
| Analyst 1 | Performance 2 | 120.7 | 4.79 | |||
| Analyst 1 | Performance 3 | 119.1 | 4.77 |
| Relative Potency (%) of IOP | Relative Potency (%) of Flow Cytometry | |
|---|---|---|
| NIBSC-19/108 | 101.9667 | 100.7 |
| Biosimilar 1 | 121.3 | 116.45 |
| Biosimilar 2 | 116.1 | 125.45 |
| Biosimilar 3 | 112.7 | 118.9 |
| Biosimilar 4 | 110.4633 | 129.65 |
Disclaimer/Publisher’s Note: The statements, opinions and data contained in all publications are solely those of the individual author(s) and contributor(s) and not of MDPI and/or the editor(s). MDPI and/or the editor(s) disclaim responsibility for any injury to people or property resulting from any ideas, methods, instructions or products referred to in the content. |
© 2024 by the authors. Licensee MDPI, Basel, Switzerland. This article is an open access article distributed under the terms and conditions of the Creative Commons Attribution (CC BY) license (https://creativecommons.org/licenses/by/4.0/).
Share and Cite
Bharali, P.; Chand, S.; Chander, H. A Cost-Effective and Robust Cell-Based Bioassay Method for Evaluating the Bioactivity of Trastuzumab-like Antibodies. Biomedicines 2025, 13, 23. https://doi.org/10.3390/biomedicines13010023
Bharali P, Chand S, Chander H. A Cost-Effective and Robust Cell-Based Bioassay Method for Evaluating the Bioactivity of Trastuzumab-like Antibodies. Biomedicines. 2025; 13(1):23. https://doi.org/10.3390/biomedicines13010023
Chicago/Turabian StyleBharali, Pooja, Subhash Chand, and Harish Chander. 2025. "A Cost-Effective and Robust Cell-Based Bioassay Method for Evaluating the Bioactivity of Trastuzumab-like Antibodies" Biomedicines 13, no. 1: 23. https://doi.org/10.3390/biomedicines13010023
APA StyleBharali, P., Chand, S., & Chander, H. (2025). A Cost-Effective and Robust Cell-Based Bioassay Method for Evaluating the Bioactivity of Trastuzumab-like Antibodies. Biomedicines, 13(1), 23. https://doi.org/10.3390/biomedicines13010023

